Cook with Different Pots, but Similar Taste? Comparison of Phase Angle Using Bioelectrical Impedance Analysis According to Device Type and Examination Posture
Abstract
1. Introduction
2. Methods
2.1. Study Population
2.2. BIA Measurement Protocol/Technique
2.3. Statistical Analysis
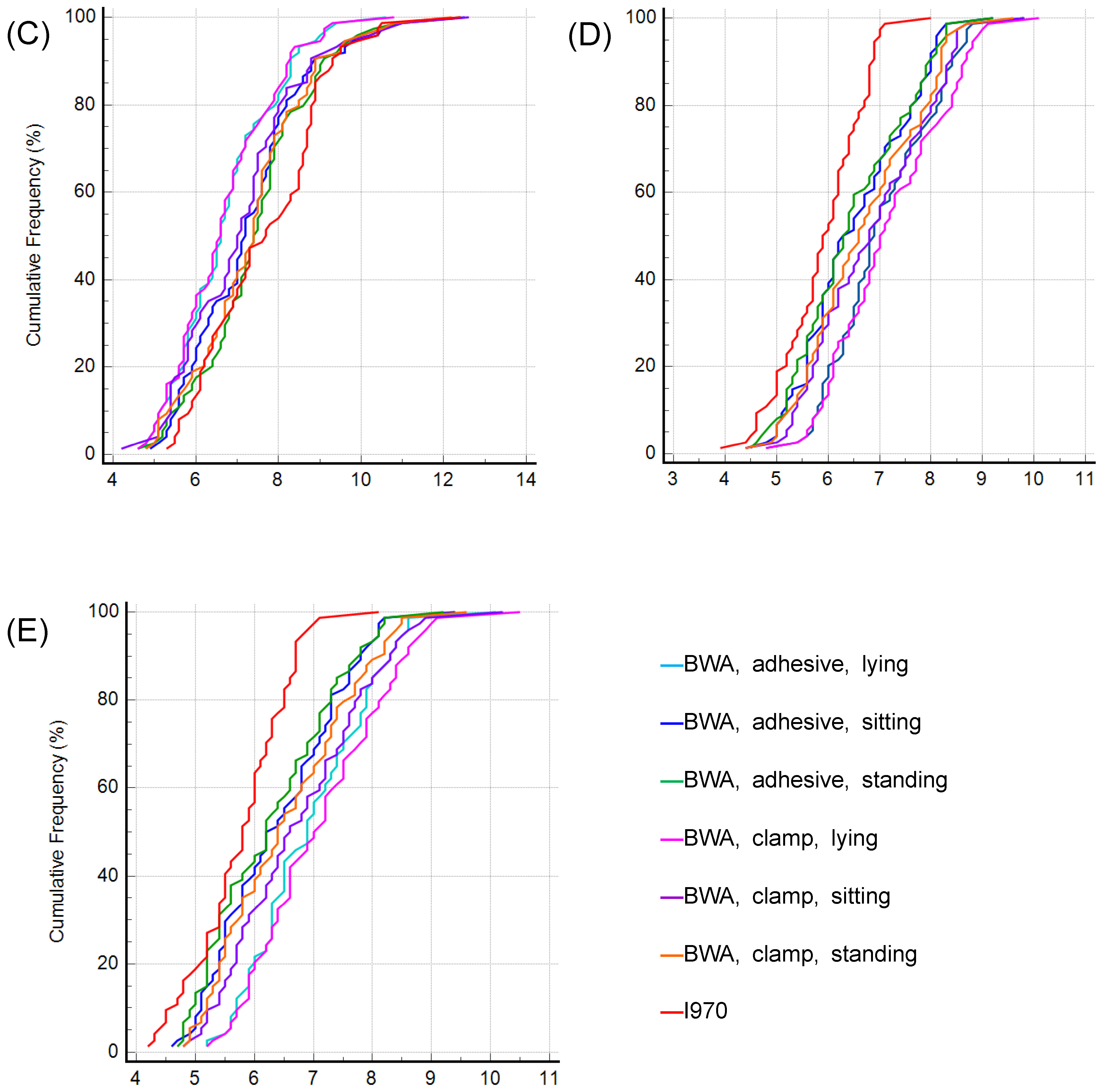
3. Results
3.1. ICC of the Phase Angle (phA)
3.2. Differences between the Seven Measurement Methods
4. Discussion
Supplementary Materials
Author Contributions
Funding
Institutional Review Board Statement
Informed Consent Statement
Data Availability Statement
Conflicts of Interest
References
- Dehghan, M.; Merchant, A.T. Is bioelectrical impedance accurate for use in large epidemiological studies? Nutr. J. 2008, 7, 26. [Google Scholar] [CrossRef]
- Campa, F.; Toselli, S.; Mazzilli, M.; Gobbo, L.A.; Coratella, G. Assessment of body composition in athletes: A narrative review of available methods with special reference to quantitative and qualitative bioimpedance analysis. Nutrients 2021, 13, 1620. [Google Scholar] [CrossRef] [PubMed]
- Mialich, M.S.; Sicchieri, J.M.F.; Junior, A.A.J. Analysis of body composition: A critical review of the use of bioelectrical impedance analysis. Int. J. Clin. Nutr. 2014, 2, 1–10. [Google Scholar]
- Kyle, U. Bioelectrical impedance analysis? part I: Review of principles and methods. Clin. Nutr. 2004, 23, 1226–1243. [Google Scholar] [CrossRef] [PubMed]
- Aleixo, G.F.P.; Shachar, S.S.; Nyrop, K.A.; Muss, H.B.; Battaglini, C.L.; Williams, G.R. Bioelectrical impedance analysis for the assessment of sarcopenia in patients with cancer: A systematic review. Oncologist 2020, 25, 170–182. [Google Scholar] [CrossRef]
- Di Vincenzo, O.; Marra, M.; Di Gregorio, A.; Pasanisi, F.; Scalfi, L. Bioelectrical impedance analysis (BIA)-derived phase angle in sarcopenia: A systematic review. Clin. Nutr. 2021, 40, 3052–3061. [Google Scholar] [CrossRef]
- Orsso, C.E.; Silva, M.I.B.; Gonzalez, M.C.; Rubin, D.A.; Heymsfield, S.B.; Prado, C.M.; Haqq, A.M. Assessment of body composition in pediatric overweight and obesity: A systematic review of the reliability and validity of common techniques. Obes. Rev. 2020, 21, e13041. [Google Scholar] [CrossRef] [PubMed]
- Lee, S.W.; Ngoh, C.L.Y.; Chua, H.R.; Haroon, S.; Wong, W.K.; Lee, E.J.; Lau, T.W.; Sethi, S.; Teo, B.W. Evaluation of different bioimpedance methods for assessing body composition in Asian non-dialysis chronic kidney disease patients. Kidney Res. Clin. Pract. 2019, 38, 71–80. [Google Scholar] [CrossRef] [PubMed]
- Mullie, L.; Obrand, A.; Bendayan, M.; Trnkus, A.; Ouimet, M.C.; Moss, E.; Chen-Tournoux, A.; Rudski, L.G.; Afilalo, J. Phase angle as a biomarker for frailty and postoperative mortality: The BICS study. J. Am. Heart Assoc. 2018, 7, e008721. [Google Scholar] [CrossRef]
- Bansal, N.; Zelnick, L.R.; Himmelfarb, J.; Chertow, G.M. Bioelectrical impedance analysis measures and clinical outcomes in CKD. Am. J. Kidney Dis. 2018, 72, 662–672. [Google Scholar] [CrossRef]
- Böhm, A.; Heitmann, B.L. The use of bioelectrical impedance analysis for body composition in epidemiological studies. Eur. J. Clin. Nutr. 2013, 67, S79–S85. [Google Scholar] [CrossRef]
- Stuivenberg, N. The use of bio-electrical impedance analysis (BIA) to guide fluid management, resuscitation and deresuscitation in critically ill patients: A bench-to-bedside review. Anaesthesiol. Intensive Ther. 2014, 46, 11. [Google Scholar]
- Chung, Y.J.; Kim, E.Y. Usefulness of bioelectrical impedance analysis as a guidance of fluid management in critically ill patients after major abdomen surgery; a single center, prospective cohort study. Surg. Metab. Nutr. 2020, 1, 53–60. [Google Scholar] [CrossRef]
- Lee, Y.H.; Lee, J.-D.; Kang, D.R.; Hong, J.; Lee, J. Bioelectrical impedance analysis values as markers to predict severity in critically ill patients. J. Crit. Care 2017, 40, 103–107. [Google Scholar] [CrossRef]
- Segal, K.R.; Gutin, B.; Presta, E.; Wang, J.; Itallie, T.B.V. Estimation of human body composition by electrical impedance methods: A comparative study. J. Appl. Physiol. 1985, 58, 1565–1571. [Google Scholar] [CrossRef]
- Wattanapenpaiboon, N.; Lukito, W.; Strauss, B.; Hsu-Hage, B.H.; Wahlqvist, M.; Stroud, D. Agreement of skinfold measurement and bioelectrical impedance analysis (BIA) methods with dual energy X-ray absorptiometry (DEXA) in estimating total body fat in Anglo-Celtic Australians. Int. J. Obes. 1998, 22, 854–860. [Google Scholar] [CrossRef] [PubMed]
- Oshima, Y.; Shiga, T. Within-day variability of whole-body and segmental bioelectrical impedance in a standing position. Eur. J. Clin. Nutr. 2006, 60, 938–941. [Google Scholar] [CrossRef] [PubMed]
- Gallagher, M.; Walker, K.; O’Dea, K. The influence of a breakfast meal on the assessment of body composition using bioelectrical impedance. Eur. J. Clin. Nutr. 1998, 52, 94–97. [Google Scholar] [CrossRef]
- Deurenberg, P.; Weststrate, J.A.; Paymans, I.; van der Kooy, K. Factors affecting bioelectrical impedance measurements in humans. Eur. J. Clin. Nutr. 1988, 42, 1017–1022. [Google Scholar]
- Kyle, U.G.; Bosaeus, I.; De Lorenzo, A.D.; Deurenberg, P.; Elia, M.; Manuel Gómez, J.; Heitmann, B.L.; Kent-Smith, L.; Melchior, J.C.; Pirlich, M.; et al. Bioelectrical impedance analysis—Part II: Utilization in clinical practice. Clin. Nutr. 2004, 23, 1430–1453. [Google Scholar] [CrossRef]
- Mally, K.; Dittmar, M. Comparison of three segmental multifrequency bioelectrical impedance techniques in healthy adults. Ann. Hum. Biol. 2012, 39, 468–478. [Google Scholar] [CrossRef]
- Genton, L.; Herrmann François, R.; Spörri, A.; Graf, C.E. Association of mortality and phase angle measured by different bioelectrical impedance analysis (BIA) devices. Clin. Nutr. 2018, 37, 1066–1069. [Google Scholar] [CrossRef]
- Giada, B.; Maria, R.L.; Paola, A.; Olivia, D.V.; Giuliana, V.; Luca, S. Bioelectrical impedance analysis-derived phase angle and body composition are predictors of health-related fitness in children and adolescents with obesity. Children 2022, 9, 1943. [Google Scholar]
- Koo, T.K.; Li, M.Y. A guideline of selecting and reporting intraclass correlation coefficients for reliability research. J. Chiropr. Med. 2016, 15, 155–163. [Google Scholar] [CrossRef]
- Giavarina, D. Understanding Bland Altman analysis. Biochem. Med. 2015, 25, 141–151. [Google Scholar] [CrossRef] [PubMed]
- Kumar, S.; Dutt, A.; Hemraj, S.; Bhat, S.; Manipadybhima, B. Phase angle measurement in healthy human subjects through bio-impedance analysis. Iran. J. Basic Med. Sci. 2012, 15, 5. [Google Scholar]
- Lee, L.W.; Lu, H.K.; Chen, Y.Y.; Lai, C.L.; Chu, L.P.; Hsieh, M.C.; Hsieh, K.C. Prediction and discrimination of skeletal muscle function by bioelectrical impedance vector analysis using a standing impedance analyzer in healthy Taiwanese adults. PLoS ONE 2020, 15, e0231604. [Google Scholar] [CrossRef] [PubMed]
- Edoardo, R.; Antonietta, G.; Chiara, P.; Amalia, C.; Daniolo, A.F.; Maurizio, M. Phase angle, nutritional status, and mortality in systemic sclerosis: An exploratory pilot study. Nutrition 2023, 107, 111946. [Google Scholar]
- Koelmeyer, L.A.; Ward, L.C.; Dean, C.; Boyages, J. Body Positional Effects on Bioimpedance Spectroscopy Measurements for Lymphedema Assessment of the Arm. Lymphat. Res. Biol. 2020, 18, 464–473. [Google Scholar] [CrossRef]
- Hussain, R.; Shah, M.; Iqbal, S.; Rehman, W.; Khan, S.; Rasheed, L.; Naz, H.; Al-Ghulikah, H.A.; Elkaeed, E.B.; Pashameah, R.A.; et al. Molecular iodine-promoted oxidative cyclization for the synthesis of 1,3,4-thiadiazole-fused-[1,2,4]-Thiadiazole incorporating a 1,4-benzodioxine moiety as a potent inhibitor of-amylase and-glucosidase: In vitro and in silico studies. Front. Chem. 2022, 10, 1023316. [Google Scholar] [CrossRef]
- Olivia, D.V.; Maurizio, M.; Valentina, A.; Rosa, S.; Giada, B.; Iolanda, C.; Luca, S.; Fabrizio, P. Comparison of bioelectrical impedance analysis–derived phase angle in individuals with different weight status. Nutrition 2023, 108, 111960. [Google Scholar]
- Dellinger, J.R.; Johnson, B.A.; Benavides, M.L.; Moore, M.L.; Stratton, M.T.; Harty, P.S.; Siedler, M.R.; Tinsley, G.M. Agreement of bioelectrical resistance, reactance, and phase angle values from supine and standing bioimpedance analyzers. Physiol. Meas. 2021, 42, 035003. [Google Scholar] [CrossRef] [PubMed]





| All (n = 74) | Men (n = 42) | Women (n = 32) | |
|---|---|---|---|
| Age (years) | 34.5 ± 10.2 | 32.8 ± 8.6 | 36.6 ± 11.7 |
| (31, 20–63) | (32, 20–63) | (32, 22–58) | |
| Height (cm) | 169.1 ± 9.4 | 175.4 ± 6.2 | 150.7 ± 5.66 |
| (169.5, 148–189.6) | (176,162–189.6) | (160.7, 148–171) | |
| Weight (kg) | 69.5 ± 15.6 | 80 ± 10.7 | 55.7 ± 8.94 |
| (72, 40–115.3) | (79.4, 53.9–115.3) | (54.9, 40.5–73.8) | |
| BMI (kg/m2) | 24.1 ± 3.8 | 25.9 ± 2.7 | 21.6 ± 3.6 |
| (24.5, 15.8–33) | (25.8, 20.5–33) | (20.4, 15.8–30.3) | |
| Phase angle | |||
| Aly | 6.8 ± 1.1 | 7.5 ± 0.9 | 5.9 ± 0.7 |
| (6.8, 4.8–9.3) | (7.3, 5.8–9.3) | (5.8, 4.8–7.6) | |
| Asit | 6.4 ± 1.1 | 7.2 ± 0.9 | 5.5 ± 0.7 |
| (6.5, 4.3–9.0) | (7.0, 5.4–9.0) | (5.4, 4.3–7.3) | |
| Astd | 6.4 ± 1.1 | 7.1 ± 0.9 | 5.5 ± 0.8 |
| (6.4, 4.3–9.0) | (7.0, 5.6–9.0) | (5.4, 4.3–7.3) | |
| Cly | 6.7 ± 1.2 | 7.4 ± 0.9 | 5.7 ± 0.7 |
| (6.7, 4.6–9.2) | (6.9, 5.3–9.0) | (5.4, 4.3–7.2) | |
| Csit | 6.4 ± 1.2 | 7.2 ± 0.9 | 5.4 ± 0.7 |
| (6.5, 4.3–9.0) | (6.9, 5.3–9.0) | (5.4, 4.3–7.2) | |
| Cstd | 4.4 ± 1.2 | 7.1 ± 0.9 | 5.3 ± 0.8 |
| (6.4, 4.2–9.0) | (6.9, 5.2–9.0) | (5.3, 4.2–7.1) | |
| I970 | 5.8 ± 0.8 | 6.3 ± 0.5 | 5.0 ± 0.5 |
| (5.9, 4.1–7.5) | (6.3, 4.7–7.5) | (4.9, 4.1–5.9) | |
| Aly | Asit | Astd | Cly | Csit | Cstd | I970 | |
|---|---|---|---|---|---|---|---|
| Aly | 0.36 * | 0.36 * | 0.12 * | 0.36 * | 0.44 * | 1.04 * | |
| Asit | 0.00 | 0.24 * | 0.00 | 0.08 * | 0.68 * | ||
| Astd | 0.24 * | 0.00 | 0.08 * | 0.68 * | |||
| Cly | 0.24 * | 0.31 * | 0.91 * | ||||
| Csit | 0.07 * | 0.67 * | |||||
| Cstd | 0.60 * | ||||||
| I970 |
Disclaimer/Publisher’s Note: The statements, opinions and data contained in all publications are solely those of the individual author(s) and contributor(s) and not of MDPI and/or the editor(s). MDPI and/or the editor(s) disclaim responsibility for any injury to people or property resulting from any ideas, methods, instructions or products referred to in the content. |
© 2023 by the authors. Licensee MDPI, Basel, Switzerland. This article is an open access article distributed under the terms and conditions of the Creative Commons Attribution (CC BY) license (https://creativecommons.org/licenses/by/4.0/).
Share and Cite
Yang, J.; Kim, J.; Chun, B.-c.; Lee, J.-m. Cook with Different Pots, but Similar Taste? Comparison of Phase Angle Using Bioelectrical Impedance Analysis According to Device Type and Examination Posture. Life 2023, 13, 1119. https://doi.org/10.3390/life13051119
Yang J, Kim J, Chun B-c, Lee J-m. Cook with Different Pots, but Similar Taste? Comparison of Phase Angle Using Bioelectrical Impedance Analysis According to Device Type and Examination Posture. Life. 2023; 13(5):1119. https://doi.org/10.3390/life13051119
Chicago/Turabian StyleYang, Jihyun, Jeehyun Kim, Byung-chul Chun, and Jae-myeong Lee. 2023. "Cook with Different Pots, but Similar Taste? Comparison of Phase Angle Using Bioelectrical Impedance Analysis According to Device Type and Examination Posture" Life 13, no. 5: 1119. https://doi.org/10.3390/life13051119
APA StyleYang, J., Kim, J., Chun, B.-c., & Lee, J.-m. (2023). Cook with Different Pots, but Similar Taste? Comparison of Phase Angle Using Bioelectrical Impedance Analysis According to Device Type and Examination Posture. Life, 13(5), 1119. https://doi.org/10.3390/life13051119

