Influence of Genotypic and Environmental Factors on Tobacco Leaves Based on Metabolomics
Abstract
:1. Introduction
2. Materials and Methods
2.1. Plant Material, Growth Conditions and Experimental Design
2.2. Sample Extraction
2.3. Soil Composition of the Selected Regions
2.4. LC-MS/MS
2.5. Data Analyses
3. Results and Discussion
3.1. PCA Analysis of UPLC Q-TOF/MS Data
3.2. OPLS-DA Analysis of UPLC Q-TOF/MS Data
3.3. Identification of Biomarkers
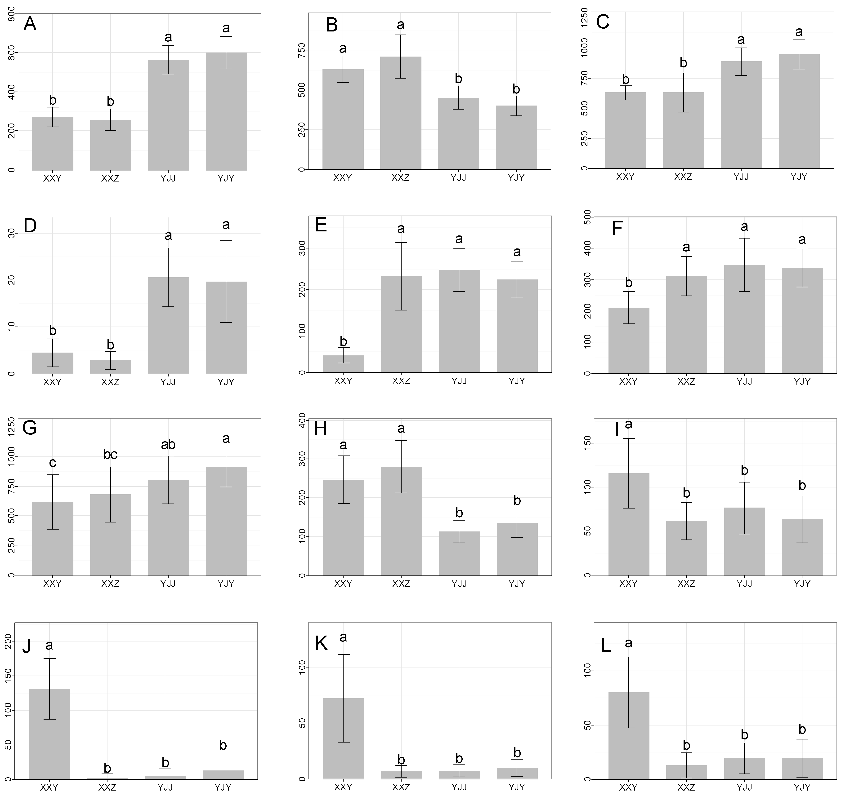
3.4. Influence of Genotype and Environmental Factor Interaction on the Accumulation of Tobacco Metabolites by Univariate Analysis
4. Conclusions
Supplementary Materials
Author Contributions
Funding
Acknowledgments
Conflicts of Interest
References
- Torras-Claveria, L.; Jáuregui, O.; Codina, C.; Tiburcio, A.F.; Bastida, J.; Viladomat, F. Analysis of phenolic compounds by high-performance liquid chromatography coupled to electrospray ionization tandem mass spectrometry in senescent and water-stressed tobacco. Plant Sci. 2012, 182, 71–78. [Google Scholar] [CrossRef] [PubMed]
- Shoji, T.; Hashimoto, T. Polyamine-derived alkaloids in plants: Molecular elucidation of biosynthesis. In Polyamines; Springer: Tokyo, Japan, 2015; pp. 189–200. [Google Scholar]
- Aniszewski, T. Alkaloids-Secrets of Life: Aklaloid Chemistry, Biological Significance, Applications and Ecological Role; Elsevier: Amsterdam, The Netherlands, 2007. [Google Scholar]
- Grynkiewicz, G.; Gadzikowska, M. Tropane alkaloids as medicinally useful natural products and their synthetic derivatives as new drugs. Pharmacol. Rep. 2008, 60, 439. [Google Scholar] [PubMed]
- Camacho-Cristóbal, J.J.; Anzellotti, D.; González-Fontes, A. Changes in phenolic metabolism of tobacco plants during short-term boron deficiency. Plant Physiol. Biochem. 2002, 40, 997–1002. [Google Scholar] [CrossRef]
- Kim, H.-J.; Park, K.-J.; Lim, J.-H. Metabolomic analysis of phenolic compounds in buckwheat (Fagopyrum esculentum M.) sprouts treated with methyl jasmonate. J. Agric. Food Chem. 2011, 59, 5707–5713. [Google Scholar] [CrossRef] [PubMed]
- McGrath, T.E.; Brown, A.P.; Meruva, N.K.; Chan, W.G. Phenolic compound formation from the low temperature pyrolysis of tobacco. J. Anal. Appl. Pyrolysis 2009, 84, 170–178. [Google Scholar] [CrossRef]
- Donaldson, J.R.; Lindroth, R.L. Genetics, environment, and their interaction determine efficacy of chemical defense in trembling aspen. Ecology 2007, 88, 729–739. [Google Scholar] [CrossRef] [PubMed]
- Roessner, U.; Luedemann, A.; Brust, D.; Fiehn, O.; Linke, T.; Willmitzer, L.; Fernie, A.R. Metabolic profiling allows comprehensive phenotyping of genetically or environmentally modified plant systems. Plant Cell 2001, 13, 11–29. [Google Scholar] [CrossRef] [PubMed] [Green Version]
- Li, L.; Zhao, C.; Chang, Y.; Lu, X.; Zhang, J.; Zhao, Y.; Zhao, J.; Xu, G. Metabolomics study of cured tobacco using liquid chromatography with mass spectrometry: Method development and its application in investigating the chemical differences of tobacco from three growing regions. J. Sep. Sci. 2014, 37, 1067–1074. [Google Scholar] [CrossRef] [PubMed]
- Wiklund, S.; Johansson, E.; Sjöström, L.; Mellerowicz, E.J.; Edlund, U.; Shockcor, J.P.; Gottfries, J.; Moritz, T.; Trygg, J. Visualization of GC/TOF-MS-based metabolomics data for identification of biochemically interesting compounds using OPLS class models. Anal. Chem. 2008, 80, 115–122. [Google Scholar] [CrossRef] [PubMed]
- Sana, T.R.; Roark, J.C.; Li, X.; Waddell, K.; Fischer, S.M. Molecular formula and METLIN Personal Metabolite Database matching applied to the identification of compounds generated by LC/TOF-MS. J. Biomol. Tech.—JBT 2008, 19, 258. [Google Scholar]
- Slimestad, R.; Verheul, M. Review of flavonoids and other phenolics from fruits of different tomato (Lycopersicon esculentum Mill.) cultivars. J. Sci. Food Agric. 2009, 89, 1255–1270. [Google Scholar] [CrossRef]
- Martinoia, E.; Rentsch, D. Malate compartmentation-responses to a complex metabolism. Annu. Rev. Plant Biol. 1994, 45, 447–467. [Google Scholar] [CrossRef]
- Casati, P.; Drincovich, M.F.; Edwards, G.E.; Andreo, C.S. Malate metabolism by NADP-malic enzyme in plant defense. Photosynth. Res. 1999, 61, 99–105. [Google Scholar] [CrossRef]
- Casati, P.; Drincovich, M.F.; Andreo, C.S.; Donahue, R.; Edwards, G.E. UV-B, red and far-red light regulate induction of the C4 isoform of NADP-malic enzyme in etiolated maize seedlings. Funct. Plant Biol. 1998, 25, 701–708. [Google Scholar] [CrossRef]
- Hårdh, J.; Persson, A.; Ottosson, L. Quality of vegetables cultivated at different latitudes in Scandinavia. Acta Agric. Scand. 1977, 27, 81–96. [Google Scholar] [CrossRef]
- Davik, J.; Kjersti Bakken, A.; Holte, K.; Blomhoff, R. Effects of genotype and environment on total anti-oxidant capacity and the content of sugars and acids in strawberries (Fragaria × ananassa Duch.). J. Hortic. Sci. Biotechnol. 2006, 81, 1057–1063. [Google Scholar] [CrossRef]
- Rivero, R.M.; Ruiz, J.M.; Garcıa, P.C.; Lopez-Lefebre, L.R.; Sánchez, E.; Romero, L. Resistance to cold and heat stress: Accumulation of phenolic compounds in tomato and watermelon plants. Plant Sci. 2001, 160, 315–321. [Google Scholar] [CrossRef]
- Winkel-Shirley, B. Biosynthesis of flavonoids and effects of stress. Curr. Opin. Plant Biol. 2002, 5, 218–223. [Google Scholar] [CrossRef]
) the group in the XXZ samples; (
) the group in the YJJ samples; (
) the group in the YJY samples.
) the group in the XXZ samples; (
) the group in the YJJ samples; (
) the group in the YJY samples.


| Growing Locations | Cultivars | Sampling Date |
|---|---|---|
| Xiangxian, Henan Province (XX) | Yunyan87 (XXY) | 5 August |
| Xiangxian, Henan Province (XX) | Yunyan87 (XXY) | 15 August |
| Xiangxian, Henan Province (XX) | Yunyan87 (XXY) | 25 August |
| Xiangxian, Henan Province (XX) | Zhongyan100 (XXZ) | 5 August |
| Xiangxian, Henan Province (XX) | Zhongyan100 (XXZ) | 15 August |
| Xiangxian, Henan Province (XX) | Zhongyan100 (XXZ) | 25 August |
| Yanji, Jilin Province (YJ) | Yunyan87 (YJY) | 5 August |
| Yanji, Jilin Province (YJ) | Yunyan87 (YJY) | 15 August |
| Yanji, Jilin Province (YJ) | Yunyan87 (YJY) | 25 August |
| Yanji, Jilin Province (YJ) | Jiyan9 (YJJ) | 5 August |
| Yanji, Jilin Province (YJ) | Jiyan9 (YJJ) | 15 August |
| Yanji, Jilin Province (YJ) | Jiyan9 (YJJ) | 25 August |
| Index | Retention Time (min) | Mass | Elemental Composition (ppm) | MS/MS | Compounds |
|---|---|---|---|---|---|
| compound 1 | 4.35 | 707.181 | 0.2, C32H36O18 | 353, 191, 85 | conjugated Chlorogenic acid |
| compound 2 | 4.35 | 353.0873 | 0.0, C16H17O9 | 191, 85 | Chlorogenic acid |
| compound 3 | 5.18 | 771.1967 | −0.4, C33H40O21 | 609, 301, 271 | Quercetin 3-rutinoside-7-glucoside |
| compound 4 | 7.15 | 609.1449 | −1.1, C27H29O16 | 301, 271 | Rutin (Quercetin 3-O-rutinoside) |
| compound 5 | 0.59 | 377.0847 | −0.3, C22H17O4S | 341, 191 | Unknown |
| compound 6 | 0.62 | 133.0138 | 0.8, C4H5O5 | 115, 71 | Malic acid |
| compound 7 | 12.51 | 437.2174 | −0.2, C23H34O8 | 395, 377, 233, 116 | Ouabagenin |
| compound 8 | 4.8 | 353.0871 | −0.6, C16H17O9 | 191, 173, 135 | neochlorogenic acid |
| compound 9 | 0.6 | 191.0555 | −0.5, C7H11O6 | 85 | quinate |
| compound 10 | 16.81 | 681.2962 | −1.2, C37H46O12 | 292, 116 | Taxezopidine K1 |
| compound 11 | 17.04 | 681.2962 | −1.2, C37H46O12 | 292, 146, 116 | Taxezopidine K2 |
| compound l2 | 16.55 | 681.2957 | −1.2, C37H46O12 | 146, 116 | Taxezopidine K3 |
Publisher’s Note: MDPI stays neutral with regard to jurisdictional claims in published maps and institutional affiliations. |
© 2022 by the authors. Licensee MDPI, Basel, Switzerland. This article is an open access article distributed under the terms and conditions of the Creative Commons Attribution (CC BY) license (https://creativecommons.org/licenses/by/4.0/).
Share and Cite
Fu, B.; Liang, J.; Zhang, M.; Zhao, M.; Ji, X.; Wang, J. Influence of Genotypic and Environmental Factors on Tobacco Leaves Based on Metabolomics. Life 2022, 12, 590. https://doi.org/10.3390/life12040590
Fu B, Liang J, Zhang M, Zhao M, Ji X, Wang J. Influence of Genotypic and Environmental Factors on Tobacco Leaves Based on Metabolomics. Life. 2022; 12(4):590. https://doi.org/10.3390/life12040590
Chicago/Turabian StyleFu, Bo, Junyang Liang, Mengmeng Zhang, Mingqin Zhao, Xiaoming Ji, and Jing Wang. 2022. "Influence of Genotypic and Environmental Factors on Tobacco Leaves Based on Metabolomics" Life 12, no. 4: 590. https://doi.org/10.3390/life12040590
APA StyleFu, B., Liang, J., Zhang, M., Zhao, M., Ji, X., & Wang, J. (2022). Influence of Genotypic and Environmental Factors on Tobacco Leaves Based on Metabolomics. Life, 12(4), 590. https://doi.org/10.3390/life12040590
