Data-Driven Models for Gas Turbine Online Diagnosis
Abstract
:1. Introduction
2. Gas Turbine Simulation Techniques
2.1. Thermodynamic Model
2.2. Multilayer Perceptron
2.3. Polynomials
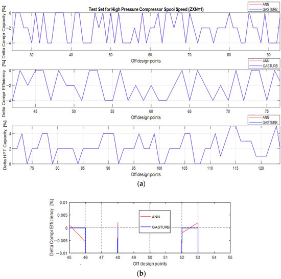
3. Turbo Shaft Diagnostic Models
3.1. Input Data
3.2. Perceptron Configuration
3.3. One Regime Diagnostic Model
3.4. Extended Diagnostic Model
3.5. Comparison between Approximation Functions for the Extended Model
4. Diagnostic Models of the Turbo Fan
4.1. Input Data
4.2. Extended MLP-Based Turbo Fan Diagnostic Model
4.3. Comparison between MLP- and Polynomials-Based Models
5. Conclusions
Author Contributions
Funding
Informed Consent Statement
Data Availability Statement
Acknoledgements
Conflicts of Interest
References
- Borguet, S.; Léonard, O.; Dewallef, P. Regression-Based Modelling of a Fleet of Gas Turbine Engines for Performance Trending. In Proceedings of the ASME Turbo Expo 2015: Turbine Technical Conference and Exposition GT-2015, Montréal, QC, Canada, 15–19 June 2015. [Google Scholar]
 - Fentaye, A.D.; Baheta, A.T.; Gilani, S.I.; Kyprianidis, K.G. A Review on Gas Turbine Gas-Path Diagnostics: State of the Art Methods, Challenges and Opportunities. Aerospace 2019, 6, 83. [Google Scholar] [CrossRef] [Green Version]
 - Tahan, M.; Tsoutsanis, E.; Muhammad, M.; Abdul Karima, Z.A. Performance based health monitoring, diagnostics and prognostics for condition based maintenance of gas turbines: A review. Appl. Energy 2017, 198, 122–144. [Google Scholar] [CrossRef] [Green Version]
 - Ogaji, S.; Sampath, S.; Singh, R.; Probert, S.D. Parameter selection for diagnosing a gas-turbine’s performance-deterioration. Appl. Energy 2002, 73, 25–46. [Google Scholar] [CrossRef]
 - Sielemann, M.; Thorade, M.; Claesson, J.; Nguyen, A.; Zhao, X.; Sahoo, S.; Kyprianidis, K. Modelica and Functional Mock-up Interface: Open Standards for Gas Turbine Simulation. In Proceedings of the ASME Turbo Expo 2019: Turbine Technical Conference and Exposit, Chennai, India, 17–21 June 2019. [Google Scholar]
 - GasTurb GmbH. GasTurb. 2020. [En línea]. Available online: http://www.gasturb.de/ (accessed on 16 December 2021).
 - Groetsch, C.W. Inverse Problems in the Mathematical Sciences; Vieweg: Berlin, Alemania, 1993. [Google Scholar]
 - Mosegaard, K.; Tarantola, A. Monte Carlo sampling of solutions to inverse problems. J. Geophys. Res. Solid Earth 1995, 100, 12431–12447. [Google Scholar] [CrossRef]
 - Volponi, A.J. Gas Turbine Condition Monitoring and Fault Diagnostics I. In Gas Turbines; Von Karman Institute for Fluid Dynamics: Sint-Genesius-Rode, Belgium, 2003; (Lecture Series 2003-01). [Google Scholar]
 - Doel, D.L. Interpretation of weighted-least-squares gas path analysis results. J. Eng. Gas Turbines Power Julio 2003, 125, 624–633. [Google Scholar] [CrossRef]
 - Kamboukos, P.; Mathioudakis, K. Comparison of Linear and Non Linear Gas Turbine Performance Diagnostics. J. Eng. Gas Turbines Power 2005, 127, 49–56. [Google Scholar] [CrossRef]
 - Stamatis, A.; Mathioudakis, K.; Smith, M.; Papaili, K. Gas turbine component fault identification by means of adaptive performance modeling. In Gas Turbine and Aeroengine Congress and Exibition; ASME Digital Collection: Brussels, Belgium, 1990. [Google Scholar]
 - Gatto, E.L.; Li, Y.; Pilidis, P. Gas turbine off-design performance adaptation using a genetic algorithm. In IGTI/ASME Turbo Expo 2006; ASME Digital Collection: Barcelona, Spain, 2006. [Google Scholar]
 - Khustochka, O.; Yepifanov, S.; Zelenskyi, R.; Przysowa, R. Estimation of Performance Parameters of Turbine Engine Components Using Experimental Data in Parametric Uncertainty Conditions. Aerospace 2020, 7, 6. [Google Scholar] [CrossRef] [Green Version]
 - Stenfelt, M.; Zaccaria, V.; Kyprianidis, K. Automatic gas turbine matching scheme adaptation for robust GPA diagnostics. In Proceedings of the ASME Turbo Expo 2019, Phoenix, AZ, USA, 17–21 June 2019. [Google Scholar]
 - Misté, G.A.; Benini, E. Turbojet Engine Performance Tuning With a New Map Adaptation Concept. J. Eng. Gas Turbines Power 2014, 136, 071202. [Google Scholar] [CrossRef]
 - Fast, M.; Assadi, M.; De, S. Condition based maintenance of gas turbines using simulation data and artificial neural network: A demonstration of feasibility. In Proceedings of the IGTI/ASME Turbo Expo 2008, Berlin, Germany, 9–13 June 2008. [Google Scholar]
 - Saravanamuttoo, H.I.H.; MacIsaac, B.D. Thermodynamic Models for Pipeline Gas Turbine Diagnostics. ASME J. Eng. Power 1983, 105, 875–884. [Google Scholar] [CrossRef]
 - Duda, R.O. Pattern Classification; Wiley-Interscience: New York, NY, USA, 2001. [Google Scholar]
 - Haykin, S. Neural Networks; Macmillan College Publishing Company: New York, NY, USA, 1994. [Google Scholar]
 - Thomas, A.J.; Petridis, M.; Walters, S.D. On Predicting the Optimal Number Hidden Nodes. In Proceedings of the International Conference on Computational Science and Computational Intelligence, Las Vegas, NV, USA, 7–9 December 2015. [Google Scholar]
 - Ojha, V.; Snasel, V.; Abraham, A. Metaheuristic Design of Feedforward Neural Networks: A Review of Two Decades of Research. Eng. Appl. Artif. Intell. 2017, 60, 97–116. [Google Scholar] [CrossRef] [Green Version]
 - Loboda, I.; Feldshteyn, Y. Polynomials and Neural Networks for Gas Turbine Monitoring: A Comparative Study. Int. J. Turbo Jet Engines 2011, 28, 227–236. [Google Scholar] [CrossRef]
 - Volponi, A.J. Gas turbine parameter corrections. In International Gas Turbine & Aeroengine Congress & Exhibition; ASME Digital Collection: Stockholm, Sweden, 1998. [Google Scholar]
 - Eswaran, K.; Singh, V. Some Theorems for Feed Forward Neural Networks. Int. J. Comput. Appl. 2015, 130, 1–17. [Google Scholar] [CrossRef]
 - Castillo, I.G.; Loboda, I.; Díaz, J.G. Perceptrón Multicapa para Filtración de Datos de Entrada en el Diagnóstico de Turbinas de Gas. In Memorias del Congreso Internacional de Ingeniería Electromecánica y de Sistemas CIIES 2014; CD Publishing: Ciudad de México, Mexico, 2014. [Google Scholar]
 - Lu, P.; Zhang, M.; Hsu, T.C.; Zhang, J. An Evaluation of Engine Faults Diagnostics Using Artificial Neural Networks. J. Eng. Gas Turbines Power 2001, 123, 340–346. [Google Scholar] [CrossRef]
 - Hecht-Nielsen, R. Kolmogorov’s mapping neural network existence theorem. In Proceedings of the International Conference on Neural Networks, San Diego, CA, USA, 21–24 June 1987. [Google Scholar]
 - Demuth, H.; Beale, M. Neural Network Toolbox for Use with Matlab, User’s Guide; The MathWorks: Natick, MA, USA, 2002. [Google Scholar]
 








| # | Name | Abbreviation | 
|---|---|---|
| OPERATING CONDITION (U) | ||
| 1 | Compressor Spool Speed | ZXN | 
| FAULT PARAMETERS (Θ) | ||
| 1 | Compressor Capacity Delta [%] | ΔCC | 
| 2 | Compressor Efficiency Delta [%] | ΔCE | 
| 3 | HPT Capacity Delta [%] | ΔHPTC | 
| 4 | HPT Efficiency Delta [%] | ΔHPTE | 
| 5 | PT Capacity Delta [%] | ΔPTC | 
| 6 | PT Efficiency Delta [%] | ΔPTE | 
| MONITORED VARIABLES (Y) | ||
| 1 | Shaft Power Delivered | SPD | 
| 2 | Fuel Flow | FF | 
| 3 | Compressor Exit Pressure | P3 | 
| 4 | HP Turbine Exit Pressure | P44 | 
| 5 | PT Turbine Exit Pressure | P5 | 
| 6 | Compressor Exit Temperature | T3 | 
| 7 | HP Turbine Exit Temperature | T44 | 
| 8 | PT Turbine Exit Temperature | T5 | 
| Fault Parameters  | ANN 1 Training Method: Trainrp Epochs: 8000  | ANN 2 Training Method: Trainrp Epochs: 15,000  | ANN 1 Training Method: Trainbr Epochs: 500  | ANN 2 Training Method: Trainbr Epochs: 500  | ||||
|---|---|---|---|---|---|---|---|---|
| Learning | Validation | Learning | Validation | Learning | Validation | Learning | Validation | |
| ΔCC | 0.1910 | 0.1992 | 0.0380 | 0.0400 | 0.0109 | 0.0116 | 0.0073 | 0.0081 | 
| ΔCE | 0.1037 | 0.1092 | 0.0163 | 0.0184 | 0.0076 | 0.0082 | 0.0073 | 0.0079 | 
| ΔHPTC | 0.2043 | 0.2062 | 0.1797 | 0.1811 | 0.0205 | 0.0228 | 0.0089 | 0.0091 | 
| ΔHPTE | 0.1974 | 0.2019 | 0.0387 | 0.0415 | 0.0151 | 0.0159 | 0.0085 | 0.0087 | 
| ΔPTC | 0.2051 | 0.2125 | 0.1783 | 0.1843 | 0.0246 | 0.0274 | 0.0076 | 0.0078 | 
| ΔPTE | 0.1971 | 0.2016 | 0.0592 | 0.0614 | 0.0286 | 0.0304 | 0.0078 | 0.0088 | 
| Average | 0.1831 | 0.1884 | 0.0850 | 0.0878 | 0.0179 | 0.0194 | 0.0079 | 0.0084 | 
| Fault Parameter | Neurons in the 2nd Hidden Layer | ||||||||||
|---|---|---|---|---|---|---|---|---|---|---|---|
| 9 | 10 | 11 | 12 | 13 | 14 | 15 | 16 | 17 | 18 | 19 | |
| ΔCC | 0.1809 | 0.0290 | 0.0339 | 0.0301 | 0.0319 | 0.0174 | 0.0198 | 0.0124 | 0.0100 | 0.0166 | 0.0099 | 
| ΔCE | 0.0367 | 0.1811 | 0.0252 | 0.0172 | 0.0221 | 0.0157 | 0.0169 | 0.0153 | 0.0162 | 0.0073 | 0.0156 | 
| ΔHPTC | 0.1767 | 0.0478 | 0.1754 | 0.1500 | 0.1789 | 0.0190 | 0.0177 | 0.0125 | 0.0197 | 0.0117 | 0.0122 | 
| ΔHPTE | 0.0346 | 0.0398 | 0.0391 | 0.0241 | 0.0388 | 0.0165 | 0.0174 | 0.0191 | 0.0129 | 0.0115 | 0.0071 | 
| ΔPTC | 0.0445 | 0.1828 | 0.0392 | 0.1519 | 0.0426 | 0.0200 | 0.0186 | 0.0231 | 0.0164 | 0.0187 | 0.0114 | 
| ΔPTE | 0.0336 | 0.1836 | 0.1813 | 0.0464 | 0.0288 | 0.0160 | 0.0257 | 0.0149 | 0.0134 | 0.0128 | 0.0203 | 
| Average | 0.0845 | 0.1107 | 0.0824 | 0.0700 | 0.0572 | 0.0174 | 0.0193 | 0.0162 | 0.0148 | 0.0131 | 0.0128 | 
| Fault Parameters | Neurons in the 2nd Hidden Layer | ||||||||||
| 20 | 21 | 22 | 23 | 24 | 25 | 26 | 27 | 28 | 29 | 30 | |
| ΔCC | 0.0084 | 0.0081 | 0.0090 | 0.0081 | 0.0070 | 0.0082 | 0.0101 | 0.0073 | 0.0055 | 0.0066 | 0.0089 | 
| ΔCE | 0.0069 | 0.0057 | 0.0067 | 0.0079 | 0.0050 | 0.0052 | 0.0055 | 0.0066 | 0.0044 | 0.0055 | 0.0063 | 
| ΔHPTC | 0.0086 | 0.0083 | 0.0109 | 0.0091 | 0.0082 | 0.0086 | 0.0087 | 0.0084 | 0.0059 | 0.0068 | 0.0090 | 
| ΔHPTE | 0.0084 | 0.0088 | 0.0126 | 0.0087 | 0.0075 | 0.0082 | 0.0083 | 0.0106 | 0.0065 | 0.0073 | 0.0064 | 
| ΔPTC | 0.0098 | 0.0099 | 0.0112 | 0.0078 | 0.0085 | 0.0100 | 0.0114 | 0.0087 | 0.0068 | 0.0074 | 0.0091 | 
| ΔPTE | 0.0098 | 0.0084 | 0.0135 | 0.0088 | 0.0096 | 0.0093 | 0.0107 | 0.0097 | 0.0064 | 0.0086 | 0.0088 | 
| Average | 0.0087 | 0.0082 | 0.0107 | 0.0084 | 0.0076 | 0.0082 | 0.0091 | 0.0085 | 0.0059 | 0.0071 | 0.0081 | 
| Fault Parameter/Relative Compressor Spool Speed | 1 | 0.9 | 0.8 | 0.7 | 0.6 | 
|---|---|---|---|---|---|
| ΔCC | 0.0055 | 0.0095 | 0.0066 | 0.0105 | 0.0075 | 
| ΔCE | 0.0044 | 0.0064 | 0.0050 | 0.0083 | 0.0054 | 
| ΔHPTC | 0.0059 | 0.0086 | 0.0084 | 0.0084 | 0.0090 | 
| ΔHPTE | 0.0065 | 0.0114 | 0.0075 | 0.0077 | 0.0044 | 
| ΔPTC | 0.0068 | 0.0114 | 0.0084 | 0.0098 | 0.0113 | 
| ΔPTE | 0.0064 | 0.0123 | 0.0125 | 0.0160 | 0.0166 | 
| Average | 0.0059 | 0.0099 | 0.0081 | 0.0101 | 0.0090 | 
| Fault Parameter | ANN 1 Trainrp | ANN 2 Trainrp | ANN 1 Trainbr  | ANN 2 Trainbr  | ||||
|---|---|---|---|---|---|---|---|---|
| LEARN | VALID | LEARN | VALID | LEARN | VALID | LEARN | VALID | |
| ΔCC | 0.1086 | 0.103 | 0.0995 | 0.101 | 0.0146 | 0.0151 | 0.0499 | 0.0502 | 
| ΔCE | 0.2582 | 0.257 | 0.2515 | 0.2447 | 0.1171 | 0.117 | 0.0446 | 0.0465 | 
| ΔHPTC | 0.203 | 0.2064 | 0.2171 | 0.2185 | 0.0545 | 0.0602 | 0.0416 | 0.0451 | 
| ΔHPTE | 0.2401 | 0.2394 | 0.2469 | 0.2476 | 0.0857 | 0.0856 | 0.0476 | 0.0478 | 
| ΔPTC | 0.2143 | 0.2084 | 0.225 | 0.2142 | 0.043 | 0.0457 | 0.0663 | 0.0721 | 
| ΔPTE | 0.2783 | 0.2846 | 0.2636 | 0.2713 | 0.1779 | 0.1798 | 0.18 | 0.1822 | 
| Average | 0.2171 | 0.2165 | 0.2173 | 0.2162 | 0.0821 | 0.0839 | 0.0717 | 0.0740 | 
| Fault Parameters | Neurons in the 2nd Hidden Layer (RMSE) | |||||
|---|---|---|---|---|---|---|
| 19 | 21 | 22 | 23 | 24 | 25 | |
| ΔCC | 0.1787 | 0.1796 | 0.0549 | 0.0502 | 0.0438 | 0.0595 | 
| ΔCE | 0.0512 | 0.0577 | 0.0427 | 0.0465 | 0.0496 | 0.0451 | 
| ΔHPTC | 0.1805 | 0.1771 | 0.0548 | 0.0451 | 0.0396 | 0.0529 | 
| ΔHPTE | 0.0453 | 0.0521 | 0.0471 | 0.0478 | 0.0454 | 0.0538 | 
| ΔPTC | 0.1822 | 0.0720 | 0.1813 | 0.0721 | 0.0704 | 0.0715 | 
| ΔPTE | 0.1799 | 0.1825 | 0.1824 | 0.1822 | 0.1835 | 0.0726 | 
| Average | 0.1363 | 0.1202 | 0.0939 | 0.0740 | 0.0721 | 0.0592 | 
| Fault Parameters | Neurons in the 2nd Hidden Layer (RMSE) | |||||
| 26 | 27 | 28 | 29 | 30 | 31 | |
| ΔCC | 0.0449 | 0.0523 | 0.0464 | 0.0671 | 0.0431 | 0.0455 | 
| ΔCE | 0.0373 | 0.0481 | 0.0374 | 0.0445 | 0.0364 | 0.0369 | 
| ΔHPTC | 0.0392 | 0.0488 | 0.0406 | 0.0478 | 0.0382 | 0.0399 | 
| ΔHPTE | 0.0399 | 0.0491 | 0.0473 | 0.0405 | 0.0424 | 0.0424 | 
| ΔPTC | 0.0494 | 0.0617 | 0.0863 | 0.0712 | 0.0522 | 0.0591 | 
| ΔPTE | 0.1802 | 0.0601 | 0.1827 | 0.0689 | 0.1808 | 0.1824 | 
| Average | 0.0652 | 0.0534 | 0.0734 | 0.0567 | 0.0655 | 0.0677 | 
| Fault Parameter | Two Hidden Layers MLP | Polynomials | ||||
|---|---|---|---|---|---|---|
| LEARN | VALID | TEST | LEARN | VALID | TEST | |
| ΔCC | 0.0518 | 0.0523 | 0.0689 | 0.1888 | 0.1849 | 0.1448 | 
| ΔCE | 0.0462 | 0.0481 | 0.0570 | 0.0940 | 0.0901 | 0.0693 | 
| ΔHPTC | 0.0476 | 0.0488 | 0.0531 | 0.0735 | 0.0715 | 0.0546 | 
| ΔHPTE | 0.0505 | 0.0491 | 0.0582 | 0.0664 | 0.0662 | 0.0558 | 
| ΔPTC | 0.0593 | 0.0617 | 0.0616 | 0.2287 | 0.2279 | 0.1633 | 
| ΔPTE | 0.0593 | 0.0601 | 0.0583 | 0.3946 | 0.3876 | 0.3226 | 
| AVERAGE | 0.0525 | 0.0534 | 0.0595 | 0.1743 | 0.1714 | 0.1350 | 
| # | Name | Abbreviation | Name | Abbreviation | 
|---|---|---|---|---|
| FAULT PARAMETERS (Θ) | MONITORED VARIABLES (Y) | |||
| 1 | LPC Capacity Delta [%] | ΔLPCC | Net Thrust | NT | 
| 2 | LPC Efficiency Delta [%] | ΔLPCE | Fuel Flow | FF | 
| 3 | HPC Capacity Delta [%] | ΔHPCC | HPC Exit Pressure | P3 | 
| 4 | HPC Efficiency Delta [%] | ΔHPCE | HPT Exit Pressure | P44 | 
| 5 | HPT Capacity Delta [%] | ΔHPTC | LPT Exit Pressure | P5 | 
| 6 | HPT Efficiency Delta [%] | ΔHPTE | HPC Exit Temperature | T3 | 
| 7 | LPT Capacity Delta [%] | ΔLPTC | LPT Exit Temperature | T5 | 
| 8 | LPT Efficiency Delta [%] | ΔLPTE | OPERATING CONDITION (U) | |
| HPC Spool Speed | ZXNH | |||
| Fault Parameter | Neurons Number in the 2nd Hidden Layer | |||||||
|---|---|---|---|---|---|---|---|---|
| 14 | 15 | 16 | 17 | 18 | 19 | 20 | 21 | |
| ΔLPCC | 1.2903 | 1.2797 | 1.2820 | 1.2674 | 1.2270 | 1.2857 | 1.2719 | 1.2752 | 
| ΔLPCE | 0.5195 | 0.5141 | 0.5153 | 0.5161 | 0.5536 | 0.5196 | 0.5286 | 0.5093 | 
| ΔHPCC | 0.1842 | 0.1994 | 0.1884 | 0.1976 | 0.2129 | 0.1798 | 0.1928 | 0.1863 | 
| ΔHPCE | 0.2311 | 0.2453 | 0.2385 | 0.2359 | 0.2469 | 0.2301 | 0.2263 | 0.2356 | 
| ΔHPTC | 0.1431 | 0.1500 | 0.1527 | 0.1623 | 0.1418 | 0.1498 | 0.1571 | 0.1524 | 
| ΔHPTE | 0.1787 | 0.1891 | 0.1810 | 0.1818 | 0.1865 | 0.1715 | 0.1798 | 0.1802 | 
| ΔLPTC | 0.3961 | 0.3930 | 0.3945 | 0.3858 | 0.4114 | 0.3890 | 0.3920 | 0.3872 | 
| ΔLPTE | 0.2981 | 0.2964 | 0.2963 | 0.2953 | 0.2885 | 0.2941 | 0.3149 | 0.2970 | 
| Average | 0.4051 | 0.4084 | 0.4061 | 0.4053 | 0.4086 | 0.4024 | 0.4079 | 0.4029 | 
| Fault Parameter | Neurons Number in the 2nd Hidden Layer | |||||||
| 22 | 23 | 24 | 25 | 26 | 27 | 28 | 29 | |
| ΔLPCC | 1.2641 | 1.2656 | 1.2728 | 1.2309 | 1.2807 | 1.2801 | 1.2988 | 1.2191 | 
| ΔLPCE | 0.5364 | 0.5296 | 0.5524 | 0.5251 | 0.5338 | 0.5454 | 0.5469 | 0.5530 | 
| ΔHPCC | 0.1806 | 0.1866 | 0.1862 | 0.2084 | 0.2093 | 0.2033 | 0.1945 | 0.2092 | 
| ΔHPCE | 0.2405 | 0.2464 | 0.2405 | 0.2378 | 0.2531 | 0.2370 | 0.2338 | 0.2434 | 
| ΔHPTC | 0.1494 | 0.1492 | 0.1499 | 0.1562 | 0.1559 | 0.1447 | 0.1488 | 0.1570 | 
| ΔHPTE | 0.1761 | 0.1849 | 0.1841 | 0.1964 | 0.1738 | 0.1886 | 0.1745 | 0.1890 | 
| ΔLPTC | 0.3949 | 0.3958 | 0.3933 | 0.3797 | 0.3870 | 0.3933 | 0.3842 | 0.3816 | 
| ΔLPTE | 0.2984 | 0.2891 | 0.2946 | 0.2970 | 0.3043 | 0.2898 | 0.2981 | 0.2887 | 
| Average | 0.4050 | 0.4059 | 0.4092 | 0.4039 | 0.4122 | 0.4103 | 0.4100 | 0.4051 | 
| Fault Parameter | MLP | Polynomials | 
|---|---|---|
| ΔLPCC | 1.2857 | 1.3230 | 
| ΔLPCE | 0.5196 | 1.1355 | 
| ΔHPCC | 0.1798 | 0.6951 | 
| ΔHPCE | 0.2301 | 0.6106 | 
| ΔHPTC | 0.1498 | 0.4753 | 
| ΔHPTE | 0.1715 | 0.5401 | 
| ΔLPTC | 0.3890 | 0.6701 | 
| ΔLPTE | 0.2941 | 0.5859 | 
| Average | 0.4024 | 0.7544 | 
Publisher’s Note: MDPI stays neutral with regard to jurisdictional claims in published maps and institutional affiliations.  | 
© 2021 by the authors. Licensee MDPI, Basel, Switzerland. This article is an open access article distributed under the terms and conditions of the Creative Commons Attribution (CC BY) license (https://creativecommons.org/licenses/by/4.0/).
Share and Cite
Castillo, I.G.; Loboda, I.; Pérez Ruiz, J.L. Data-Driven Models for Gas Turbine Online Diagnosis. Machines 2021, 9, 372. https://doi.org/10.3390/machines9120372
Castillo IG, Loboda I, Pérez Ruiz JL. Data-Driven Models for Gas Turbine Online Diagnosis. Machines. 2021; 9(12):372. https://doi.org/10.3390/machines9120372
Chicago/Turabian StyleCastillo, Iván González, Igor Loboda, and Juan Luis Pérez Ruiz. 2021. "Data-Driven Models for Gas Turbine Online Diagnosis" Machines 9, no. 12: 372. https://doi.org/10.3390/machines9120372
APA StyleCastillo, I. G., Loboda, I., & Pérez Ruiz, J. L. (2021). Data-Driven Models for Gas Turbine Online Diagnosis. Machines, 9(12), 372. https://doi.org/10.3390/machines9120372
        
                                                
