Design and Validation of an Improved Rotational Variable Stiffness Mechanism †
Abstract
1. Introduction
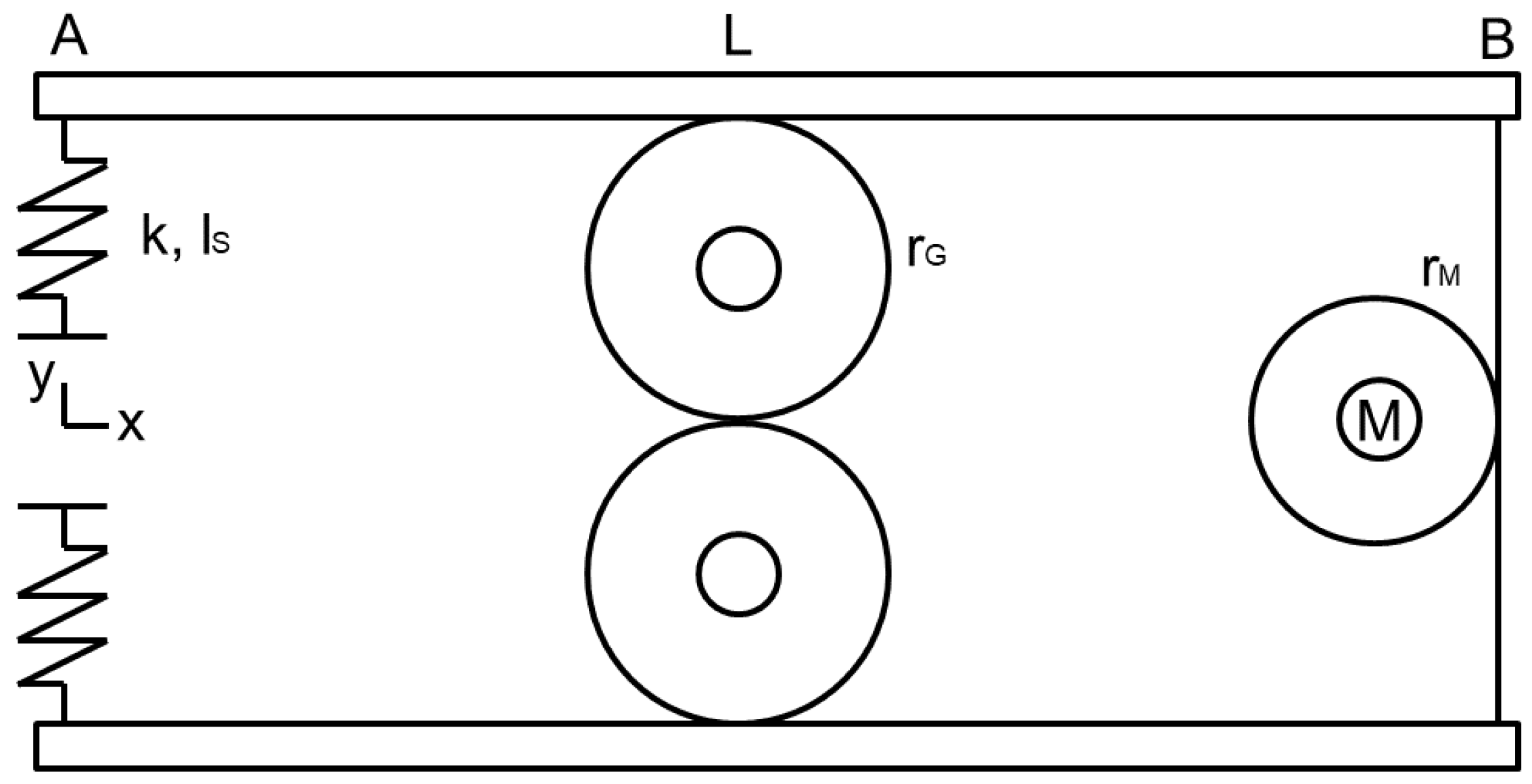
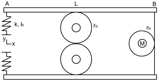
2. Methods
3. Results
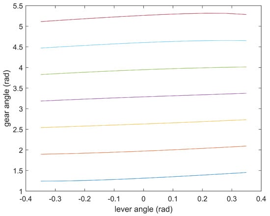
3.1. Simulation Results
3.2. Discussion of Simulation Results
3.3. Prototyping and Testing
4. Conclusions
Author Contributions
Funding
Data Availability Statement
Acknowledgments
Conflicts of Interest
References
- Vanderborght, B.; Albu-Schäffer, A.; Bicchi, A.; Burdet, E.; Caldwell, D.G.; Carloni, R.; Catalano, M.; Eiberger, O.; Friedl, W.; Ganesh, G.; et al. Variable impedance actuators: A review. Robot. Auton. Syst. 2013, 61, 1601–1614. [Google Scholar] [CrossRef]
- Sugar, T.G. A novel selective compliant actuator. Mechatronics 2002, 12, 1157–1171. [Google Scholar] [CrossRef]
- Tsagarakis, N.G.; Laffranchi, M.; Vanderborght, B.; Caldwell, D.G. A compact soft actuator unit for small scale human friendly robots. In Proceedings of the 2009 IEEE international conference on robotics and automation, Kobe, Japan, 12–17 May 2009; IEEE: Piscataway, NJ, USA, 2009; pp. 4356–4362. [Google Scholar]
- Palli, G.; Berselli, G.; Melchiorri, C.; Vassura, G. Design of a Variable Stiffness Actuator Based on Flexures. J. Mech. Robot. 2011, 3, 034501. [Google Scholar] [CrossRef]
- English, C.; Russell, D. Implementation of variable joint stiffness through antagonistic actuation using rolamite springs. Mech. Mach. Theory 1999, 34, 27–40. [Google Scholar] [CrossRef]
- Xiong, X.; Sun, X.; Chen, W.; Zhi, Y.; Fang, X. Design of a Variable Stiffness Actuator Based on Variable Radius Mechanisms. In Proceedings of the 2022 IEEE/ASME International Conference on Advanced Intelligent Mechatronics (AIM), Sapporo, Japan, 11–15 July 2022; IEEE: Piscataway, NJ, USA, 2022; pp. 1567–1572. [Google Scholar]
- Yigit, C.B.; Bayraktar, E.; Boyraz, P. Low-cost variable stiffness joint design using translational variable radius pulleys. Mech. Mach. Theory 2018, 130, 203–219. [Google Scholar] [CrossRef]
- Zhou, X.; Jun, S.k.; Krovi, V. A cable based active variable stiffness module with decoupled tension. J. Mech. Robot. 2015, 7, 011005. [Google Scholar] [CrossRef]
- Nelson, C.A.; Nouaille, L.; Poisson, G. A redundant rehabilitation robot with a variable stiffness mechanism. Mech. Mach. Theory 2020, 150, 103862. [Google Scholar] [CrossRef]
- Li, Z.; Bai, S. Design and modelling of a compact variable stiffness mechanism for wearable elbow exoskeletons. In Proceedings of the 2019 7th International Conference on Control, Mechatronics and Automation (ICCMA), Delft, The Netherlands, 6–8 November 2019; IEEE: Piscataway, NJ, USA, 2019; pp. 342–346. [Google Scholar]
- Tsagarakis, N.G.; Sardellitti, I.; Caldwell, D.G. A new variable stiffness actuator (CompAct-VSA): Design and modelling. In Proceedings of the 2011 IEEE/RSJ International Conference on Intelligent Robots and Systems, San Francisco, CA, USA, 25–30 September 2011; IEEE: Piscataway, NJ, USA, 2011; pp. 378–383. [Google Scholar]
- Jafari, A.; Tsagarakis, N.G.; Caldwell, D.G. AwAS-II: A new actuator with adjustable stiffness based on the novel principle of adaptable pivot point and variable lever ratio. In Proceedings of the 2011 IEEE International Conference on Robotics and Automation, Shanghai, China, 9–13 May 2011; IEEE: Piscataway, NJ, USA, 2011; pp. 4638–4643. [Google Scholar]
- Groothuis, S.S.; Rusticelli, G.; Zucchelli, A.; Stramigioli, S.; Carloni, R. The vsaUT-II: A novel rotational variable stiffness actuator. In Proceedings of the 2012 IEEE International Conference on Robotics and Automation, St Paul, MN, USA, 14–18 May 2012; IEEE: Piscataway, NJ, USA, 2012; pp. 3355–3360. [Google Scholar]
- Fumagalli, M.; Barrett, E.; Stramigioli, S.; Carloni, R. The mVSA-UT: A miniaturized differential mechanism for a continuous rotational variable stiffness actuator. In Proceedings of the 2012 4th IEEE RAS & EMBS International Conference on Biomedical Robotics and Biomechatronics (BioRob), Rome, Italy, 24–27 June 2012; IEEE: Piscataway, NJ, USA, 2012; pp. 1943–1948. [Google Scholar]
- Kim, B.S.; Song, J.B. Hybrid dual actuator unit: A design of a variable stiffness actuator based on an adjustable moment arm mechanism. In Proceedings of the 2010 IEEE International Conference on Robotics and Automation, Anchorage, AK, USA, 3–7 May 2010; IEEE: Piscataway, NJ, USA, 2010; pp. 1655–1660. [Google Scholar]
- Liu, Y.; Cui, S.; Sun, Y. Mechanical design and analysis of a novel variable stiffness actuator with symmetrical pivot adjustment. Front. Mech. Eng. 2021, 16, 711–725. [Google Scholar] [CrossRef]
- Van Ham, R.; Vanderborght, B.; Van Damme, M.; Verrelst, B.; Lefeber, D. MACCEPA, the mechanically adjustable compliance and controllable equilibrium position actuator: Design and implementation in a biped robot. Robot. Auton. Syst. 2007, 55, 761–768. [Google Scholar] [CrossRef]
- Visser, L.C.; Carloni, R.; Ünal, R.; Stramigioli, S. Modeling and design of energy efficient variable stiffness actuators. In Proceedings of the 2010 IEEE International Conference on Robotics and Automation, Anchorage, AK, USA, 3–7 May 2010; IEEE: Piscataway, NJ, USA, 2010; pp. 3273–3278. [Google Scholar]
- Nelson, C. A Novel Mechanism for Rotational Variable Stiffness. In Proceedings of the IFToMM World Congress on Mechanism and Machine Science, Tokyo, Japan, 5–10 November 2023; Springer: Berlin/Heidelberg, Germany, 2023; pp. 445–454. [Google Scholar]
- Nelson, C. An Improved Mechanism for Rotational Variable Stiffness. In Proceedings of the IFToMM Symposium on Mechanism Design for Robotics, Timişoara, Romania, 27–29 June 2024; Springer: Berlin/Heidelberg, Germany, 2024; pp. 385–394. [Google Scholar]
- Garrido-Jurado, S.; Muñoz-Salinas, R.; Madrid-Cuevas, F.J.; Marín-Jiménez, M.J. Automatic generation and detection of highly reliable fiducial markers under occlusion. Pattern Recognit. 2014, 47, 2280–2292. [Google Scholar] [CrossRef]
- Bradski, G. The OpenCV library. Dr. Dobb’S J. Softw. Tools 2000, 120, 122–125. [Google Scholar]
- Bishop, G.; Welch, G. An introduction to the kalman filter. Proc. SIGGRAPH Course 2001, 8, 41. [Google Scholar]











| Gear Position [cm] | Angular Displacement, [deg] | Stiffness, k [Nm/rad] | |||||
|---|---|---|---|---|---|---|---|
| 200 g | 400 g | 600 g | 800 g | 1000 g | |||
| test 1 | 12.8 | 2 | 8.5 | 9.5 | 11.7 | 15.5 | 1.42 |
| test 2 | 16.8 | 6.2 | 10.3 | 13.8 | 18 | 23 | 0.98 |
| test 3 | 20 | 7.9 | 12.5 | 20.3 | 27.1 | 34.5 | 0.70 |
| test 4 | 24 | 5.5 | 19.1 | 32.1 | 35.3 | 39.2 | 0.49 |
| test 5 | 27.2 | 17.6 | 34.7 | — | — | — | 0.28 |
Disclaimer/Publisher’s Note: The statements, opinions and data contained in all publications are solely those of the individual author(s) and contributor(s) and not of MDPI and/or the editor(s). MDPI and/or the editor(s) disclaim responsibility for any injury to people or property resulting from any ideas, methods, instructions or products referred to in the content. |
© 2024 by the authors. Licensee MDPI, Basel, Switzerland. This article is an open access article distributed under the terms and conditions of the Creative Commons Attribution (CC BY) license (https://creativecommons.org/licenses/by/4.0/).
Share and Cite
Nelson, C.; Moomau, K.; Li, Y. Design and Validation of an Improved Rotational Variable Stiffness Mechanism. Machines 2025, 13, 6. https://doi.org/10.3390/machines13010006
Nelson C, Moomau K, Li Y. Design and Validation of an Improved Rotational Variable Stiffness Mechanism. Machines. 2025; 13(1):6. https://doi.org/10.3390/machines13010006
Chicago/Turabian StyleNelson, Carl, Kasey Moomau, and Yucheng Li. 2025. "Design and Validation of an Improved Rotational Variable Stiffness Mechanism" Machines 13, no. 1: 6. https://doi.org/10.3390/machines13010006
APA StyleNelson, C., Moomau, K., & Li, Y. (2025). Design and Validation of an Improved Rotational Variable Stiffness Mechanism. Machines, 13(1), 6. https://doi.org/10.3390/machines13010006

