Petrography, Fluid Inclusions and Isotopic Analysis of Ordovician Carbonate Reservoirs in the Central Ordos Basin, NW China
Abstract
1. Introduction
2. Geological Setting
3. Samples and Methods
4. Results
4.1. Petrography Characteristics
4.2. Fluid Inclusion Petrography
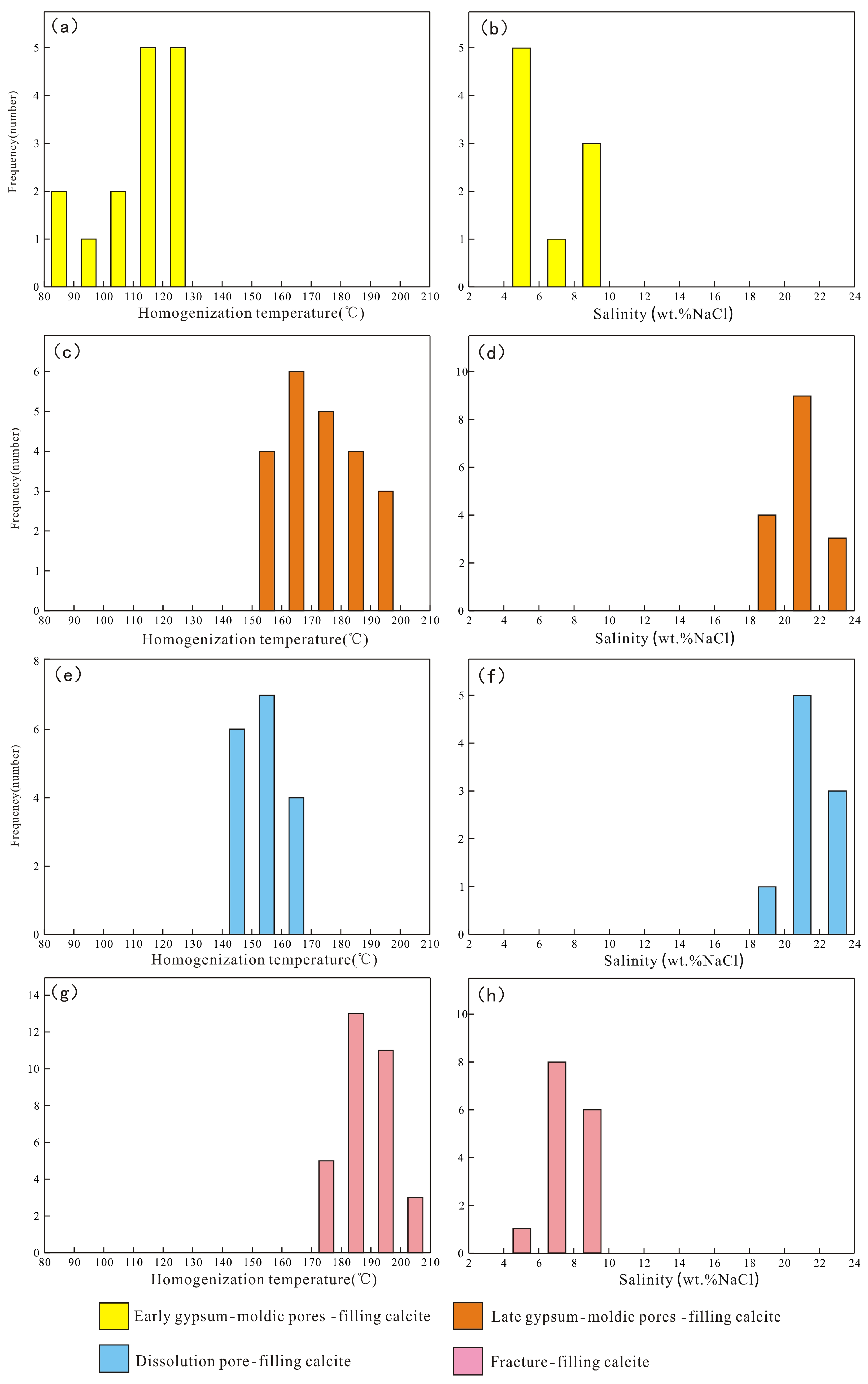
4.3. Microthermometry
4.4. Raman Analysis of Fluid Inclusions
4.5. Carbon and Oxygen Isotopes
5. Discussions
5.1. Types and Phases of Paleofluids
5.2. Genesis of the Fluid
5.3. Timing Constraint and Paleopressure of Fluids
5.3.1. Timing Constraint of Fluid Evolution
5.3.2. Paleopressure of Fluid

5.4. Relationships Between Fluid Evolution and Petroleum Accumulation
6. Conclusions
- (1)
- The secondary calcite of the Majiagou Formation was divided into four categories, including early gypsum-moldic pore-filling calcite, late gypsum-moldic pore-filling calcite, dissolution pore-filling calcite and fracture-filling calcite.
- (2)
- There are four stages of fluid activity: the fluids in the first stage were derived from Ordovician seawater, weakly altered by diagenesis; the fluids in the second stage were derived from acidic diagenetic fluid associated with hydrocarbon generation; the fluids in the third stage were derived from the diagenetic fluid formed by the degradation of organic acid salts or thermochemical sulfate reduction; the fourth stage of fluids should be derived from the low-salinity fluids.
- (3)
- The approximate time of the first fluid activity with a normal formation pressure is at 228–222 Ma. Subsequently, the formation pressure was continuously increased during the fluid evolution in the second and third stages, resulting in the Majiagou Formation becoming a closed environment with overpressure. In the fourth stage of fluid, the overpressure system was disrupted due to the development of faults and fractures at 130–97 Ma.
- (4)
- There are two stages of petroleum accumulation. In the period from the late Triassic to early Jurassic in the tectonic extension stage, there was small-scale liquid oil accumulation at 215–185 Ma, corresponding to the second fluid activity. In the early Cretaceous in the tectonic compression stage, there was large-scale gas accumulation at 130–97 Ma, corresponding to the fourth fluid activity. This indicates that faults may be the main gas migration pathway in the Ordovician pre-salt reservoirs.
Author Contributions
Funding
Data Availability Statement
Acknowledgments
Conflicts of Interest
References
- Hao, F.; Zhang, Z.; Zou, H.; Zhang, Y.; Yang, Y. Origin and mechanism of the formation of the low-oil-saturation Moxizhuang field, Junggar Basin, China: Implication for petroleum exploration in basins having complex histories. AAPG Bull. 2011, 95, 983–1008. [Google Scholar] [CrossRef]
- Feng, J.L.; Cao, J.; Hu, K.; Peng, X.Q.; Chen, Y.; Wang, Y.F.; Wang, M. Dissolution and its impacts on reservoir formation in moderately to deeply buried strata of mixed siliciclastic–carbonate sediments, northwestern Qaidam Basin, northwest China. Mar. Pet. Geol. 2013, 39, 124–137. [Google Scholar] [CrossRef]
- Bagrintseva, K.I. Carbonate Reservoir Rocks; John Wiley & Sons: Hoboken, NJ, USA, 2015. [Google Scholar]
- Zhu, D.; Meng, Q.; Jin, Z.; Liu, Q.; Hu, W. Formation mechanism of deep Cambrian dolomite reservoirs in the Tarim basin, northwestern China. Mar. Pet. Geol. 2015, 59, 232–244. [Google Scholar] [CrossRef]
- Abdelkhalek, W.; Khouni, R.; Gaidi, S.; Salem, A.B.; Melki, F.; Radwan, A.E. Relationship Between Fault Systems and Fracturing in Complex Fractured Carbonate Reservoir in the Tunisian Pelagian Block Using Integrated Seismic and Petrophysical Analysis: Implications for Petroleum Exploration and Development. Geol. J. 2025. [Google Scholar] [CrossRef]
- Hao, F.; Guo, T.; Zhu, Y.; Cai, X.; Zou, H.; Li, P. Evidence for multiple stages of oil cracking and thermochemical sulfate reduction in the Puguang gas field, Sichuan Basin, China. AAPG Bull. 2008, 92, 611–637. [Google Scholar] [CrossRef]
- Ohm, S.E.; Karlsen, D.A.; Austin, T.J.F. Geochemically driven exploration models in uplifted area: Examples from the Norwegian Barents Sea. AAPG Bull. 2008, 92, 1191–1223. [Google Scholar] [CrossRef]
- Maliva, R.G.; Missimer, T.M.; Clayton, E.A.; Dickson, J.A.D. Diagenesis and porosity preservation in Eocene microporous limestones, South Florida, USA. Sediment. Geol. 2009, 217, 85–94. [Google Scholar] [CrossRef]
- Huang, H.; Li, R.; Chen, W.; Chen, L.; Jiang, Z.; Xiong, F.; Guan, W.; Zhang, S.; Tian, B. Revisiting movable fluid space in tight fine-grained reservoirs: A case study from Shahejie shale in the Bohai Bay Basin, NE China. J. Pet. Sci. Eng. 2021, 207, 109170. [Google Scholar] [CrossRef]
- Guo, Y.; Fu, J.; Wei, X.; Xu, W.; Sun, L.; Liu, J.; Zhao, Z.; Zhang, Y.; Gao, J.; Zhang, Y. Natural gas accumulation and models in Ordovician carbonates, Ordos Basin, NW China. Pet. Explor. Dev. 2014, 41, 437–448. [Google Scholar] [CrossRef]
- Xu, W.; Li, J.; Liu, X.; Li, N.; Zhang, C.; Zhang, Y.; Fu, L.; Bai, Y.; Huang, Z.; Gao, J.; et al. Accumulation conditions and exploration directions of Ordovician lower assemblage natural gas, Ordos Basin, NW China. Pet. Explor. Dev. 2021, 48, 641–654. [Google Scholar] [CrossRef]
- Huang, H.; Li, R.; Lyu, Z.; Cheng, Y.; Zhao, B.; Jiang, Z.; Zhang, Y.; Xiong, F. Comparative study of methane adsorption of Middle-Upper Ordovician marine shales in the western Ordos Basin, NW China: Insights into impacts of moisture on thermodynamics and kinetics of adsorption. Chem. Eng. J. 2022, 446, 137411. [Google Scholar] [CrossRef]
- Feng, Z.Z.; Zhang, Y.S.; Jin, Z.K. Type, origin, and reservoir characteristics of dolostones of the Ordovician Majiagou Group, Ordos, North China Platform. Sediment. Geol. 1998, 118, 127–140. [Google Scholar] [CrossRef]
- Chen, A.; Yang, S.; Xu, S.; Ogg, J.; Chen, H.; Zhong, Y. Sedimentary model of marine evaporites and implications for potash deposits exploration in China. Carbonates Evaporites 2019, 34, 83–99. [Google Scholar] [CrossRef]
- Liu, Q.; Chen, M.; Liu, W.; Li, J.; Han, P.; Guo, Y. Origin of natural gas from the Ordovician paleo-weathering crust and gas-filling model in Jingbian gas field, Ordos Basin, China. J. Asian Earth Sci. 2009, 35, 74–88. [Google Scholar] [CrossRef]
- Li, W.; Tu, J.; Zhang, J.; Zhang, B. Accumulation and potential analysis of self-sourced natural gas in the Majiagou Formation of Ordos Basin, NW China. Pet. Explor. Dev. 2017, 44, 552–562. [Google Scholar] [CrossRef]
- Wang, K.; Pang, X.; Zhao, Z.; Wang, S.; Hu, T.; Zhang, K.; Zheng, T. Geochemical characteristics and origin of natural gas in southern Jingbian gas field, Ordos Basin, China. J. Nat. Gas Sci. Eng. 2017, 46, 515–525. [Google Scholar] [CrossRef]
- Han, W.; Chang, X.; Tao, S.; Hou, L.; Ma, W.; Yao, J.; Meng, S. Geochemical characteristics and genesis of pre-salt gases in the Ordos Basin, China. J. Pet. Sci. Eng. 2019, 179, 92–103. [Google Scholar] [CrossRef]
- Han, W.; Ma, W.; Tao, S.; Huang, S.; Hou, L.; Yao, J. Carbon Isotope reversal and its relationship with natural gas origins in the Jingbian gas field, Ordos Basin, China. Int. J. Coal Geol. 2018, 196, 260–273. [Google Scholar] [CrossRef]
- Han, W.; Tao, S.; Hou, L.; Yao, J. Geochemical characteristics and genesis of oil-derived gas in the Jingbian gas field, Ordos Basin, China. Eng. Fuel. 2017, 31, 10432–10441. [Google Scholar] [CrossRef]
- Yu, W.; Wang, F.; Gong, L.; Wang, G.; Tian, J.; Ma, Z. Sedimentary environment characteristics and tectonic implications of Yanghugou Formation in the western margin of Ordos Basin. China. J. Chengdu Univ. Technol. (Sci. Technol. Ed.) 2021, 48, 691–704, (In Chinese with English Abstract). [Google Scholar]
- Lai, J.; Wang, S.; Wang, G.; Shi, Y.; Zhao, T.; Pang, X.; Fan, X.; Qin, Z.; Fan, X. Pore structure and fractal characteristics of Ordovician Majiagou carbonate reservoirs in Ordos basin, China. AAPG Bull. 2019, 103, 2573–2596. [Google Scholar] [CrossRef]
- Chen, A.; Xu, S.; Yang, S.; Chen, H.; Su, Z.; Zhong, Y.; Hu, S. Ordovician deep dolomite reservoirs in the intracratonic Ordos Basin, China: Depositional model and Diagenetic evolution. Energy Explor. Exploit. 2018, 36, 850–871. [Google Scholar] [CrossRef]
- Fu, S.Y.; Zhang, C.G.; Chen, H.D.; Chen, A.Q.; Zhao, J.X.; Su, Z.T.; Yang, S.; Wang, G.; Mi, W.T. Characteristics, formation and evolution of pre-salt dolomite reservoirs in the fifth member of the Majiagou Formation, mid-east Ordos Basin, NW China. Pet. Explor. Dev. 2019, 46, 1153–1164. [Google Scholar] [CrossRef]
- Ronchi, P.; Ortenzi, A.; Borromeo, O.; Claps, M.; Zempolich, W.G. Depositional setting and diagenetic processes and their impact on the reservoir quality in the late Visean–Bashkirian Kashagan carbonate platform (Pre-Caspian Basin, Kazakhstan). AAPG Bull. 2010, 94, 1313–1348. [Google Scholar] [CrossRef]
- Paganoni, M.; Al Harthi, A.; Morad, D.; Morad, S.; Ceriani, A.; Mansurbeg, H.; Al Suwaidi, A.; Al-Aasm, I.; Ehrenberg, S.N.; Sirat, M. Impact of stylolitization on diagenesis of a Lower Cretaceous carbonate reservoir from a giant oilfield, Abu Dhabi, United Arab Emirates. Sediment. Geol. 2016, 335, 70–92. [Google Scholar] [CrossRef]
- Khitab, U.; Umar, M.; Jamil, M. Microfacies, diagenesis and hydrocarbon potential of Eocene carbonate strata in Pakistan. Carbonates Evaporites 2020, 35, 70. [Google Scholar] [CrossRef]
- Rahim, H.U.; Ahmad, W.; Jamil, M.; Khalil, R. Sedimentary facies, diagenetic analysis, and sequence stratigraphic control on reservoir evaluation of eocene sakesar limestone, upper indus basin, NW himalayas. Carbonates Evaporites 2024, 39, 15. [Google Scholar] [CrossRef]
- Liu, Q.; Jin, Z.; Meng, Q.; Wu, X.; Jia, H. Genetic types of natural gas and filling patterns in Daniudi gas field, Ordos Basin, China. J. Asian Earth Sci. 2015, 107, 1–11. [Google Scholar] [CrossRef]
- Wu, X.; Ni, C.; Chen, Y.; Zhu, J.; Li, K.; Zeng, H. Source of the Upper Paleozoic natural gas in the Dingbei area, Ordos Basin, China. J. Nat. Gas Geosci. 2019, 4, 183–190. [Google Scholar] [CrossRef]
- Yang, Y.; Li, W.; Ma, L. Tectonic and stratigraphic controls of hydrocarbon systems in the Ordos basin: A multicycle cratonic basin in central China. AAPG Bull. 2005, 89, 255–269. [Google Scholar] [CrossRef]
- Xi, S.; Xiong, Y.; Liu, X.; Lei, J.; Liu, M.; Liu, L.; Liu, Y.; Wen, H.; Tan, X. Sedimentary environment and sea level change of the subsalt interval of member 5 of Majiagou Formation in Central Ordos Basin. J. Palaeogeogr. 2017, 19, 773–790, (In Chinese with English Abstract). [Google Scholar]
- Zhang, B.; Zhang, J.; Zhao, H.; Nie, F.; Wang, Y.; Zhang, Y. Tectonic evolution of the western Ordos Basin during the Palaezoic-Mesozoic times as constrained by detrital zircon ages. Int. Geol. Rev. 2018, 61, 461–480. [Google Scholar] [CrossRef]
- Bodnar, R.J. Revised equation and table for determining the freezing point depression of H2O-NaCl solutions. Geochim. Cosmochim. Acta 1993, 57, 683–684. [Google Scholar] [CrossRef]
- Li, R.; Chen, L.; Li, Y.; Song, N. The thermal history reconstruction and hydrocarbon accumulation period discrimination of Gaoyou depression in Subei Basin. Earth Sci. Front. 2010, 17, 151–159. [Google Scholar]
- Huang, Y.; He, S.; Guo, X.; Wu, Z.; Zhai, G.; Huang, Z.; Zhang, M.; Xiao, Q. Pressure–temperature–time–composition (P–T–t–x) of paleo–fluid in Permian organic–rich shale of Lower Yangtze Platform, China: Insights from fluid inclusions in fracture cements. Mar. Pet. Geol. 2021, 126, 104936. [Google Scholar] [CrossRef]
- Bourdet, J.; Pironon, J.; Levresse, G.; Tritlla, J. Petroleum accumulation and leakage in a deeply buried carbonate reservoir, Níspero field (Mexico). Mar. Pet. Geol. 2010, 27, 126–142. [Google Scholar] [CrossRef]
- Xiong, J.; Liu, X.; Liang, L. Adsorption model of shale to CH4 based on adsorption potential theory and its application. J. Chengdu Univ. Technol. Nat. Sci. Ed. 2014, 41, 604–611, (In Chinese with English Abstract). [Google Scholar]
- Dai, J.; Ni, Y.; Qin, S.; Huang, S. Geochemical characteristics of ultra-deep natural gas in the Sichuan Basin, SW China. Explor. Dev. 2018, 45, 619–628. [Google Scholar] [CrossRef]
- Su, A.; Chen, H.; Feng, Y.X.; Zhao, J.X.; Wang, Z. Paleo fluid system change from deep burial to exhumation of the Precambrian petroleum reservoirs in the Sichuan Basin, China: Evidence from PTX records. Mar. Pet. Geol. 2023, 155, 106404. [Google Scholar] [CrossRef]
- Lei, H.; Huang, W.; Yin, S.; Wang, Y. Dissolution characteristics of deep buried dolostone in the member 5 of Majiagou Formation in southern Ordos Basin. J. Palaeogeogr. 2020, 22, 1041–1052, (In Chinese with English Abstract). [Google Scholar]
- Liu, M.; Xiong, Y.; Xiong, C.; Liu, Y.; Liu, L.; Xiao, D.; Tan, X. Evolution of diagenetic system and its controls on the reservoir quality of pre-salt dolostone: The case of the Lower Majiagou Formation in the central Ordos Basin, China. Mar. Pet. Geol. 2020, 122, 104674. [Google Scholar] [CrossRef]
- Xiong, Y.; Tan, X.; Dong, G.; Wang, L.; Ji, H.; Liu, Y.; Wen, C. Diagenetic differentiation in the Majiagou Formation, Ordos Basin, China: Facies, geochemical and reservoir heterogeneity constraints. J. Pet. Sci. Eng. 2020, 191, 107179. [Google Scholar] [CrossRef]
- Roedder, E. Volume 12: Fluid inclusions. Rev. Mineral. 1984, 12, 644. [Google Scholar]
- Goldstein, R.H.; Reynolds, T.J. Systematics of Fluid Inclusions in Diagenetic Minerals: SEPM Short Course 31. Soc. Sediment. Geol. 1994, 31, 188. [Google Scholar]
- Goldstein, R.H. Fluid inclusions in sedimentary and diagenetic systems. Lithos 2001, 55, 159–193. [Google Scholar] [CrossRef]
- Irwin, H.; Curtis, C.; Coleman, M. Isotopic evidence for source of diagenetic carbonates formed during buried of organic-rich sediments. Nature 1977, 269, 64–78. [Google Scholar] [CrossRef]
- Bjørlykke, K.; Gran, K. Salinity variations in North Sea formation waters: Implications for large-scale fluid movements. Mar. Pet. Geol. 1994, 11, 5–9. [Google Scholar] [CrossRef]
- Bjørlykke, K.; Jahren, J. Open or closed geochemical systems during diagenesis in sedimentary basins: Constraints on mass transfer during diagenesis and the prediction of porosity in sandstone and carbonate reservoirs. AAPG Bull. 2012, 96, 2193–2214. [Google Scholar] [CrossRef]
- Sharp, Z. Principles of Stable Isotope Geochemistry; Pearson Prentice Hall: Upper Saddle River, NJ, USA, 2007. [Google Scholar]
- Brand, U.; Jiang, G.; Azmy, K.; Bishop, J.; Montañez, I.P. Diagenetic evaluation of a Pennsylvanian carbonate succession (Bird Spring Formation, Arrow Canyon, Nevada, USA)—1: Brachiopod and whole rock comparison. Chem. Geol. 2012, 308, 26–39. [Google Scholar] [CrossRef]
- Schobben, M.; Ullmann, V.; Leda, L.; Korn, D.; Struck, U.; Reimold, W.U.; Ghaderi, A.; Algeo, T.J.; Korte, C. Discerning primary versus diagenetic signals in carbonate carbon and oxygen isotope records: An example from the Permian–Triassic boundary of Iran. Chem. Geol. 2016, 422, 94–107. [Google Scholar] [CrossRef]
- Trotter, J.A.; Williams, I.S.; Barnes, C.R.; Lécuyer, C.; Nicoll, R.S. Did cooling oceans trigger Ordovician biodiversification? Evidence from conodont thermometry. Science 2008, 321, 550–554. [Google Scholar] [CrossRef]
- Veizer, J.; Ala, D.; Azmy, K.; Bruckschen, P.; Buhl, D.; Bruhn, F.; Carden, G.A.; Diener, A.; Ebneth, S.; Godderis, Y.; et al. 87Sr/86Sr, δ13C and δ18O evolution of Phanerozoic seawater. Chem. Geol. 1999, 161, 59–88. [Google Scholar] [CrossRef]
- Bottinga, Y. Calculated fractionation factors for carbon and hydrogen isotope exchange in the system calcite-carbon dioxide-graphite-methane-hydrogen-water vapor. Geochim. Cosmochim. Acta 1969, 33, 49–64. [Google Scholar] [CrossRef]
- Jiang, L.; Worden, R.H.; Cai, C. Generation of isotopically and compositionally distinct water during thermochemical sulfate reduction (TSR) in carbonate reservoirs:Triassic Feixianguan Formation, Sichuan Basin, China. Geochim. Cosmochim. Acta 2015, 165, 249–262. [Google Scholar] [CrossRef]
- Friedman, I.; O’Neil, J.R. Compilation of stable isotope fractionation factors of geochemical interest. Surv. Prof. Pap. K. 1977, 440, 12. [Google Scholar]
- Coplen, T.B.; Kendall, C.; Hopple, J. Comparison of stable isotope reference samples. Nature 1983, 302, 236–238. [Google Scholar] [CrossRef]
- Lima, B.E.M.; Tedeschi, L.R.; Pestilho, A.L.S.; Santos, R.V.; Vazquez, J.C.; Guzzo, J.V.P.; De Ros, L.F. Deep-burial hydrothermal alteration of the Pre-Salt carbonate reservoirs from northern Campos Basin, offshore Brazil: Evidence from petrography, fluid inclusions, Sr, C and O isotopes. Mar. Pet. Geol. 2020, 113, 104143. [Google Scholar] [CrossRef]
- Guo, X.; Chen, J.; Yuan, S. Constraint of in-situ calcite U-Pb dating by laser ablation on geochronology of hydrocarbon accumulation in petroliferous basins: A case study of Dongying sag in the Bohai Bay Basin. Acta Pet. Sin. 2020, 41, 284–291. [Google Scholar]
- Guo, X.; Liu, K.; Jia, C.; Song, Y.; Zhao, M.; Lu, X. Effects of early petroleum charge and overpressure on reservoir porosity preservation in the giant Kela-2 gas field, Kuqa depression, Tarim Basin, northwest China. AAPG Bull. 2016, 100, 191–212. [Google Scholar] [CrossRef]
- Ren, Z.; Zhang, S.; Gao, S.; Cui, J.; Xiao, Y.; Xiao, H. Tectonic thermal history and its significance on the formation of oil and gas accumulation and mineral deposit in Ordos Basin. Sci. China Ser. D Earth Sci. 2007, 50, 27–38. [Google Scholar] [CrossRef]
- English, J.M.; Finkbeiner, T.; English, K.L.; Cherif, R.Y. State of stress in exhumed basins and implications for fluid flow: Insights from the Illizi Basin, Algeria. Geol. Soc. Lond. Spec. Publ. 2017, 458, 89–112. [Google Scholar] [CrossRef]
- Zhang, Y.; Frantz, J. Determination of the Homogenization Temperature and Densities of Supercritical Fluids in the System NaCl-KCl-CaCl-H2O Using Synthetic Fluid inclusions. Chem. Geol. 1987, 64, 335–350. [Google Scholar] [CrossRef]
- Steele-MacInnis, M.; Lecumberri-Sanchez, P.; Bodnar, R.J. HokieFlincs_H2O-NaCl: A Microsoft Excel spreadsheet for interpreting microthermometric data from fluid inclusions based on the PVTX properties of H2O–NaCl. Comput. Geosci. 2012, 49, 334–337. [Google Scholar] [CrossRef]
- Ge, Y. Trapping Mechanism of Hydrocabon Inclusion in Carbonate and Its Response to Hydrocarbon Accumulation. Ph.D. Thesis, China University of Petroleum, Qingdao, China, 2010. (In Chinese with English Abstract). [Google Scholar]
- Zhang, N. Analysis Technology and Application of Fluid Inclusions in Petroliferous Basins; Petroleum Industry Press: Beijing, China, 2016; (In Chinese with English Abstract). [Google Scholar]
- Huang, Z.; Ren, Z.; Chen, Y.; Zheng, Q. The geochem ical characteristics and thermal evolution of Ordovician source rocks in the north of Tianhuan depression, Ordos basin. Acta Geol. Sin. 2022, 96, 3967–3976, (In Chinese with English Abstract). [Google Scholar]








| No. | Samples | Wells | Depth/m | Type of Samples |
|---|---|---|---|---|
| 1 | B44 | S367 | 3903.8 | Early gypsum-moldic pore-filling calcite |
| 2 | B45 | S367 | 3904.6 | |
| 3 | B282 | L55 | 3902.7 | |
| 4 | B292 | L55 | 3853.04 | |
| 5 | B261 | L107 | 4007.63 | Late gypsum-moldic pore-filling calcite |
| 6 | B262 | L107 | 4011.49 | |
| 7 | B251 | L103 | 4135.7 | |
| 8 | B252 | L103 | 4140.46 | |
| 9 | B123 | L64 | 4259.35 | Dissolution pore-filling calcite |
| 10 | B129 | L64 | 4261.43 | |
| 11 | B305 | L87 | 4288.8 | |
| 12 | B303 | S269 | 3924 | |
| 13 | B290 | L81 | 4136.69 | Fracture-filling calcite |
| 14 | B247 | L103 | 3686.93 | |
| 15 | B284 | L70 | 4067.74 | |
| 16 | B311 | L86 | 4217.5 | |
| 17 | B283 | L55 | 3898.82 | |
| 18 | B249 | L103 | 4047.88 | |
| 19 | B310 | L86 | 4216 |
| Sample Type | Samples Number | d13CV-PDB/‰ | d18OV-PDB/‰ |
|---|---|---|---|
| Early gypsum-moldic pores-filling calcite | B44-1 | −3.25 | −13.95 |
| B44-2 | −3.36 | −14.10 | |
| B45 | −3.41 | −14.22 | |
| Late gypsum-moldic pores-filling calcite | B262-1 | −20.93 | −11.97 |
| B262-2 | −21.07 | −12.22 | |
| B261 | −20.31 | −12.17 | |
| Dissolution pore-filling calcite | B248-1 | −3.01 | −14.02 |
| B248-2 | −3.12 | −14.15 | |
| B249 | −3.06 | −14.10 | |
| Fracture-filling calcite | B290-1 | −4.09 | −14.41 |
| B290-2 | −4.06 | −14.47 | |
| B289 | −4.13 | −14.34 | |
| Host rock | H247 | −0.30 | −7.00 |
| H248 | −1.13 | −8.84 | |
| H262 | −1.98 | −7.40 | |
| H290 | −1.30 | −7.64 |
| Sample Type | 18OPDB/‰ (Calcites) | Mean Homogenization Temperature/°C | 18OPDB/‰ (Fluides) | 18OSMOW/‰ (Fluides) |
|---|---|---|---|---|
| Early gypsum-moldic pores-filling calcite | −14.09 | 118.4 | −29.33 | 0.67 |
| Late gypsum-moldic pore-filling calcite | −12.12 | 170.2 | −23.37 | 6.81 |
| Dissolution pore-filling calcite | −14.09 | 155.1 | −26.36 | 3.74 |
| Fracture-filling calcite | −14.41 | 191.2 | −24.41 | 5.74 |
| Mean Th/°C | Mean Salinity /% | A1 | A2 | Capture Temperature/°C | Capture Pressure /Mpa | Geothermal Gradient/°C/km | Land Surface Temperature/°C | Depth /km | Pressure Coefficient |
|---|---|---|---|---|---|---|---|---|---|
| 118.4 | 6.57 | −2515.17 | 21.28217 | 135.7 | 37.34 | 30 ± 2 | 20.0 | 3.86 ± 0.3 | 0.97 ± 0.1 |
| 170.2 | 21.4 | −3377.28 | 19.88207 | 202.4 | 64.75 | 40 ± 2 | 20.0 | 4.56 ± 0.3 | 1.42 ± 0.1 |
| 155.1 | 21.7 | −3184.2 | 20.56361 | 183.0 | 57.87 | 35 ± 2 | 20.0 | 4.66 ± 0.3 | 1.24 ± 0.1 |
| 191.2 | 7.62 | −3290.98 | 17.26639 | 229.5 | 67.13 | 40 ± 2 | 20.0 | 5.24 ± 0.3 | 1.28 ± 0.1 |
Disclaimer/Publisher’s Note: The statements, opinions and data contained in all publications are solely those of the individual author(s) and contributor(s) and not of MDPI and/or the editor(s). MDPI and/or the editor(s) disclaim responsibility for any injury to people or property resulting from any ideas, methods, instructions or products referred to in the content. |
© 2025 by the authors. Licensee MDPI, Basel, Switzerland. This article is an open access article distributed under the terms and conditions of the Creative Commons Attribution (CC BY) license (https://creativecommons.org/licenses/by/4.0/).
Share and Cite
Wu, X.; Wang, P.; Jiang, H.; Huang, H.; Chen, T.; Chen, L.; Wang, D.; Chen, J. Petrography, Fluid Inclusions and Isotopic Analysis of Ordovician Carbonate Reservoirs in the Central Ordos Basin, NW China. Minerals 2025, 15, 860. https://doi.org/10.3390/min15080860
Wu X, Wang P, Jiang H, Huang H, Chen T, Chen L, Wang D, Chen J. Petrography, Fluid Inclusions and Isotopic Analysis of Ordovician Carbonate Reservoirs in the Central Ordos Basin, NW China. Minerals. 2025; 15(8):860. https://doi.org/10.3390/min15080860
Chicago/Turabian StyleWu, Xiaoli, Ping Wang, Haijian Jiang, Hexin Huang, Tong Chen, Lei Chen, Dongxing Wang, and Junnian Chen. 2025. "Petrography, Fluid Inclusions and Isotopic Analysis of Ordovician Carbonate Reservoirs in the Central Ordos Basin, NW China" Minerals 15, no. 8: 860. https://doi.org/10.3390/min15080860
APA StyleWu, X., Wang, P., Jiang, H., Huang, H., Chen, T., Chen, L., Wang, D., & Chen, J. (2025). Petrography, Fluid Inclusions and Isotopic Analysis of Ordovician Carbonate Reservoirs in the Central Ordos Basin, NW China. Minerals, 15(8), 860. https://doi.org/10.3390/min15080860

