Re-Visiting the Quantification of Hematite by Diffuse Reflectance Spectroscopy
Abstract
1. Introduction
2. Materials and Methods
2.1. Materials
2.2. Methods
3. Results and Discussion
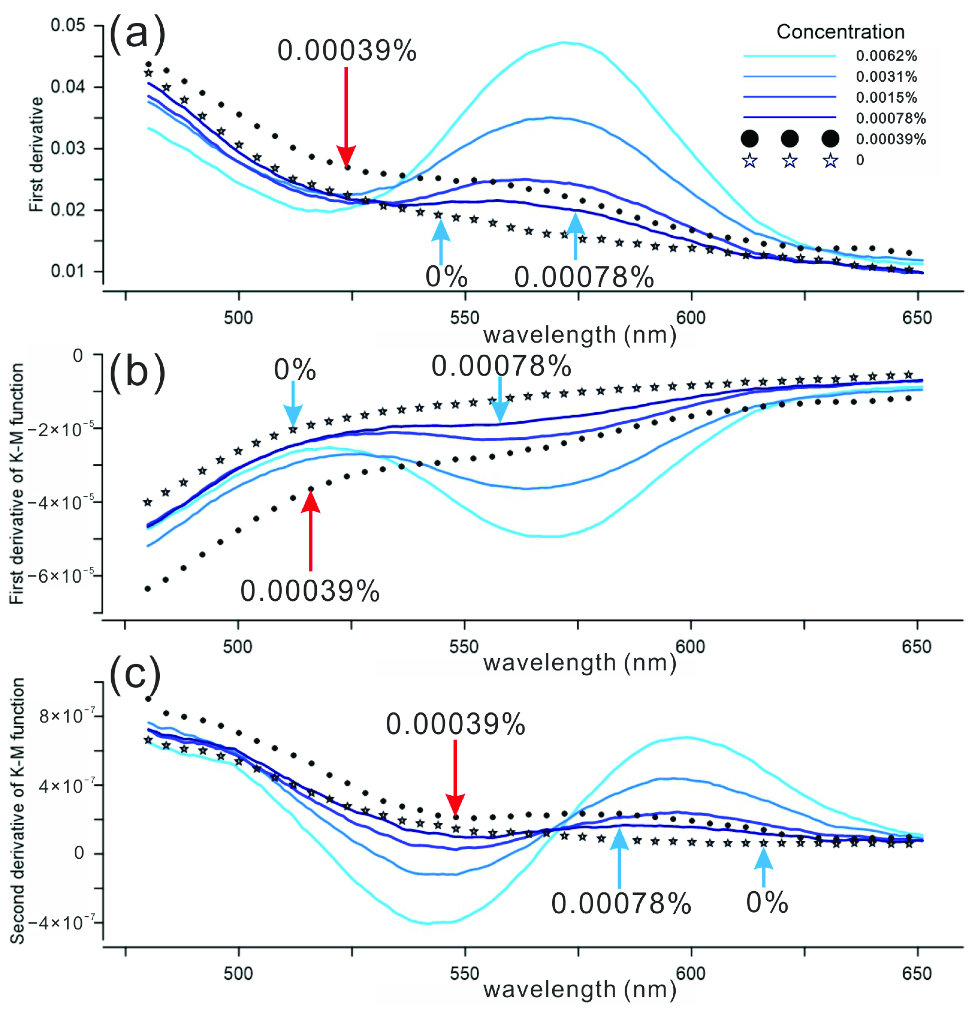
3.1. The DRS Detection Limit of the Hematite Concentration
3.1.1. The Technical DRS Detection Limit
3.1.2. The DRS Detection Limit for Natural Samples
3.2. Transfer Function between the DRS Proxy and Hematite Concentration
3.3. Application to Natural Samples
3.4. Comparison between DRS and Magnetic Methods
4. Conclusions
Author Contributions
Funding
Data Availability Statement
Acknowledgments
Conflicts of Interest
References
- Christensen, P.; Wyatt, M.; Glotch, T.; Rogers, D.; Anwar, S.; Arvidson, R.; Bandfield, J.; Blaney, D.; Budney, C.; Calvin, W.; et al. Mineralogy at Meridiani Planum from the Mini-TES Experiment on the Opportunity Rover. Science 2005, 306, 1733–1739. [Google Scholar] [CrossRef] [PubMed]
- Jiang, Z.; Liu, Q.; Barrón, V.; Torrent, J. Magnetic discrimination between Al-substituted hematites synthesized by hydrothermal and thermal dehydration methods and its geological significance. J. Geophys. Res. 2012, 117, B02102. [Google Scholar] [CrossRef]
- Jiang, Z.; Liu, Q.; Zhao, X.; Roberts, A.; Heslop, D.; Barrón, V.; Torrent, J. Magnetism of Al-substituted magnetite reduced from Al-hematite. J. Geophys. Res. Solid Earth 2016, 121, 4195–4210. [Google Scholar] [CrossRef]
- Li, S.; Lucey, P.; Fraeman, A.; Poppe, A.; Sun, V.; Hurley, D.; Schultz, P. Widespread hematite at high latitudes of the Moon. Sci. Adv. 2020, 6, eaba1940. [Google Scholar] [CrossRef] [PubMed]
- Liu, Q.; Torrent, J.; Barrón, V.; Duan, Z.; Bloemendal, J. Quantification of hematite from the visible diffuse reflectance spectrum: Effects of aluminium substitution and grain morphology. Clay Miner. 2011, 46, 137–147. [Google Scholar] [CrossRef]
- Roberts, A.; Zhao, X.; Heslop, D.; Abrajevitch, A.; Chen, Y.-H.; Hu, P.; Jiang, Z.; Liu, Q.; Pillans, B. Hematite (α-Fe2O3) quantification in sedimentary magnetism: Limitations of existing proxies and ways forward. Geosci. Lett. 2020, 7, 8. [Google Scholar] [CrossRef]
- Torrent, J.; Barrón, V. Iron oxides in relation to the colour of Mediterranean soils. Appl. Study Cult. Herit. Clays 2003, 377–386. Available online: www.uco.es/organiza/departamentos/decraf/pdf-edaf/ASOCHAC.pdf (accessed on 6 July 2022).
- Torrent, J.; Barrón, V. The visible diffuse reflectance spectrum in relation to the color and crystal properties of hematite. Clays Clay Miner. 2003, 51, 309–317. [Google Scholar] [CrossRef]
- Walker, T.; Larson, E.; Hoblitt, R. Nature and origin of hematite in the Moenkopi Formation (Triassic), Colorado Plateau: A contribution to the origin of magnetism in red beds. J. Geophys. Res. 1981, 86, 317–333. [Google Scholar] [CrossRef]
- Cogné, J.-P.; Halim, N.; Chen, Y.; Courtillot, V. Resolving the problem of shallow magnetizations of Tertiary age in Asia: Insights from paleomagnetic data from the Qiangtang, Kunlun, and Qaidam blocks (Tibet, China), and a new hypothesis. J. Geophys. Res. 1999, 1041, 17715–17734. [Google Scholar] [CrossRef]
- Collinson, D. Carrier of Remanent Magnetization in Certain Red Sandstones. Nature 1966, 210, 516–517. [Google Scholar] [CrossRef]
- Narumoto, K.; Yang, Z.; Takemoto, K.; Zaman, H.; Morinaga, H.; Otofuji, Y.-I. Anomalously shallow inclination in middle-northern part of the South China Block: Palaeomagnetic study of Late Cretaceous red beds from Yichang area. Geophys. J. Inter. 2005, 164, 290–300. [Google Scholar] [CrossRef]
- Tan, X.; Kodama, K.; Wang, P.; Fang, D. Palaeomagnetism of Early Triassic limestones from the Huanan Block, South China: No evidence for separation between the Huanan and Yangtze blocks during the Early Mesozoic. Geophys. J. Inter. 2008, 142, 241–256. [Google Scholar] [CrossRef][Green Version]
- Zhu, R.; Potts, R.; Pan, Y.; Lü, L.Q.; Yao, H.T.; Deng, C.; Qin, H. Paleomagnetism of the Yuanmou Basin near the southeastern margin of the Tibetan Plateau and its constraints on late Neogene sedimentation and tectonic rotation. Earth Planet. Sci. Lett. 2008, 272, 97–104. [Google Scholar] [CrossRef]
- Carter-Stiglitz, B.; Banerjee, S.; Gourlan, A.; Oches, E. A multi-proxy study of Argentina loess: Marine oxygen isotope stage 4 and 5 environmental record from pedogenic hematite. Palaeogeogr. Palaeoclimatol. Palaeoecol. 2006, 239, 45–62. [Google Scholar] [CrossRef]
- Ji, J.; Balsam, W.; Chen, J.; Liu, L. Rapid and Quantitative Measurement of Hematite and Goethite in the Chinese Loess-paleosol Sequence by Diffuse Reflectance Spectroscopy. Clays Clay Miner. 2002, 50, 208–216. [Google Scholar] [CrossRef]
- Ji, J.; Chen, J.; Balsam, W.; Lu, H.; Sun, Y.; Xu, H. High resolution hematite/goethite records from Chinese loess sequences for the last glacial-interglacial cycle: Rapid climatic response of the East Asian Monsoon to the tropical Pacific. Geophys. Res. Lett. 2004, 310, L03207. [Google Scholar] [CrossRef]
- Jiang, Z.; Liu, Q.; Roberts, A.; Barrón, V.; Torrent, J.; Zhang, Q. A new model for transformation of ferrihydrite to hematite in soils and sediments. Geology 2018, 46, 987–990. [Google Scholar] [CrossRef]
- Jiang, Z.; Liu, Q.; Roberts, A.; Dekkers, M.; Barrón, V.; Torrent, J.; Sanzhong, L. The Magnetic and Color Reflectance Properties of Hematite: From Earth to Mars. Rev. Geophys. 2022, 60, e2020RG000698. [Google Scholar] [CrossRef]
- Langmuir, D. Particle size effect on the reaction goethite = hematite + water. Am. J. Sci. 1972, 272, 972. [Google Scholar] [CrossRef]
- Lepre, C.; Olsen, P. Hematite reconstruction of Late Triassic hydroclimate over the Colorado Plateau. Proc. Natl. Acad. Sci. USA 2021, 118, e2004343118. [Google Scholar] [CrossRef]
- Liu, Q.; Barrón, V.; Torrent, J.; Eeckhout, S.; Deng, C. Magnetism of intermediate hydromaghemite in the transformation of 2-line ferrihydrite into hematite and its paleoenvironmental implications. J. Geophys. Res. 2008, 113, B01103. [Google Scholar] [CrossRef]
- Liu, Q.; Bloemendal, J.; Torrent, J.; Deng, C. Contrasting behavior of hematite and goethite within paleosol S5 of the Luochuan profile, Chinese Loess Plateau. Geophys. Res. Lett. 2006, 332, L20301. [Google Scholar] [CrossRef]
- Maher, B. Characterisation of Soils by Mineral Magnetic Measurements. Phys. Earth Planet. Inter. 1986, 42, 76–92. [Google Scholar] [CrossRef]
- Torrent, J.; Barrón, V.; Liu, Q. Magnetic enhancement is linked to and precedes hematite formation in aerobic soil. Geophys. Res. Lett. 2006, 33, L02401. [Google Scholar] [CrossRef]
- Torrent, J.; Liu, Q.; Bloemendal, J.; Barrón, V. Magnetic Enhancement and Iron Oxides in the Upper Luochuan Loess-Paleosol Sequence, Chinese Loess Plateau. Soil Sci. Soc. Am. J. 2007, 71, 1570–1578. [Google Scholar] [CrossRef]
- Yamazaki, T.; Ioka, N. Environmental rock-magnetism of pelagic clay: Implications for Asian eolian input to the North Pacific since the Pliocene. Paleoceanography 1997, 12, 111–124. [Google Scholar] [CrossRef]
- Barrón, V.; Torrent, J. Evidence for a simple pathway to maghemite in Earth and Mars soils. Geochim. Et Cosmochim. Acta 2002, 66, 2801–2806. [Google Scholar] [CrossRef]
- Barrón, V.; Torrent, J.; Greenwood, J. Transformation of jarosite to hematite in simulated Martian Brines. Earth Planet. Sci. Lett. 2006, 251, 380–385. [Google Scholar] [CrossRef]
- Bertelsen, P.; Goetz, W.; Madsen, M.; Kinch, K.; Hviid, S.; Knudsen, J.; Gunnlaugsson, H.; Merrison, J.; Nørnberg, P.; Squyres, S.; et al. Magnetic Properties Experiments on the Mars Exploration Rover Spirit at Gusev Crater. Science 2004, 305, 827–829. [Google Scholar] [CrossRef]
- Hynek, B.; Arvidson, R.; Phillips, R. Geologic setting and origin of Terra Meridiani hematite deposit on Mars. J. Geophys. Res. Planets 2002, 107, 5088. [Google Scholar] [CrossRef]
- Balsam, W.; Ji, J.; Renock, D.; Deaton, B.; Williams, E. Determining hematite content from NUV/Vis/NIR spectra: Limits of detection. Am. Mineral. 2014, 99, 2280–2291. [Google Scholar] [CrossRef]
- Torrent, J.; Schwertmann, U.; Fechter, H.; Alferez, F. Quantitative Relationships between Soil Color and Hematite Content. Soil Sci. 1983, 136, 354–358. [Google Scholar] [CrossRef]
- Abrajevitch, A.; Pillans, B.; Roberts, A.; Kodama, K. Magnetic Properties and Paleomagnetism of Zebra Rock, Western Australia: Chemical Remanence Acquisition in Hematite Pigment and Ediacaran Geomagnetic Field Behavior. Geochem. Geophys. Geosyst. 2018, 19, 732–748. [Google Scholar] [CrossRef]
- Jiang, Z.; Liu, Q.; Colombo, C.; Barrón, V.; Torrent, J.; Hu, P. Quantification of Al-goethite from diffuse reflectance spectroscopy and magnetic methods. Geophys. J. Inter. 2013, 196, 131–144. [Google Scholar] [CrossRef]
- Özdemir, Ö.; Dunlop, D. Thermoremanence and stable memory of single-domain hematites. Geophys. Res. Lett. 2002, 29, 1877. [Google Scholar] [CrossRef]
- Özdemir, Ö.; Dunlop, D. Thermoremanent magnetization of multidomain hematite. J. Geophys. Res. 2005, 110, B09104. [Google Scholar] [CrossRef]
- Dunlop, D. Hematite: Intrinsic and Defect Ferromagnetism. Science 1970, 169, 858–860. [Google Scholar] [CrossRef]
- Banerjee, S. New Grain Size Limits for Palaeomagnetic Stability in Haematite. Nature 1971, 232, 15–16. [Google Scholar] [CrossRef]
- Collinson, D. Investigations into the Stable Remanent Magnetization of Sediments. Geophys. J. R. Astron. Soc. 1969, 18, 211–222. [Google Scholar] [CrossRef]
- Creer, K.M. Superparamagnetism in Red Sandstones. Geophys. J. R. Astron. Soc. 1961, 5, 16–28. [Google Scholar] [CrossRef]
- Liu, Q.; Roberts, A.; Torrent, J.; Horng, C.-S.; Larrasoaña, J. What do the HIRM and S-ratio really mean in environmental magnetism? Geochem. Geophys. Geosyst. 2007, 8, Q09011. [Google Scholar] [CrossRef]
- Thompson, R. Modelling magnetization data using SIMPLEX. Phys. Earth Planet. Inter. 1986, 42, 113–127. [Google Scholar] [CrossRef]
- Barrón, V.; Rendon, J.; Torrent, J.; Serna, C. Relation of Infrared, Crystallochemical, and Morphological Properties of Al-Substituted Hematites. Clays Clay Miner. 1984, 32, 475–479. [Google Scholar] [CrossRef]
- Barrón, V.; Torrent, J. Iron, manganese and aluminium oxides and oxyhydroxides. Eur. Mineral. Union Notes Mineral. 2013, 14, 297–336. [Google Scholar] [CrossRef]
- Deng, C.; Liu, Q.; Wang, W.; Liu, C. Chemical overprint on the natural remanent magnetization of a subtropical red soil sequence in the Bose Basin, southern China. Geophys. Res. Lett. 2007, 34, L22308. [Google Scholar] [CrossRef]
- Liu, Q.; Roberts, A.; Larrasoaña, J.; Banerjee, S.; Guyodo, Y.; Tauxe, L.; Oldfield, F. Environmental Magnetism: Principles and Applications. Rev. Geophys. 2012, 50, RG4002. [Google Scholar] [CrossRef]
- Schwertmann, U.; Fitzpatrick, R.W.; Le Roux, J. Al Substitution and Differential Disorder in Soil Hematites. Clays Clay Miner. 1977, 25, 373–374. [Google Scholar] [CrossRef]
- Schwertmann, U.; Fitzpatrick, R.; Taylor, R.M.; Lewis, D.G. The influence of aluminium on iron oxides. Part II. Preparation and properties of Al-substituted hematites. Clays Clay Miner. 1979, 27, 105–112. [Google Scholar] [CrossRef]
- Hao, Q.; Oldfield, F.; Bloemendal, J.; Torrent, J.; Guo, Z. The record of changing hematite and goethite accumulation over the past 22 Myr on the Chinese Loess Plateau from magnetic measurements and diffuse reflectance spectroscopy. J. Geophys. Res. 2009, 114, B12101. [Google Scholar] [CrossRef]
- Hu, P.; Jiang, Z.; Liu, Q.; Heslop, D.; Roberts, A.; Torrent, J.; Barrón, V. Estimating the concentration of aluminum-substituted hematite and goethite using diffuse reflectance spectrometry and rock magnetism: Feasibility and limitations: Al-hematite/goethite quantification. J. Geophys. Res. Solid Earth 2016, 121, 4180–4194. [Google Scholar] [CrossRef]
- Banwart, S.; Davies, S.; Stumm, W. The role of oxalate in accelerating the reductive dissolution of hematite (α-Fe2O3) by ascorbate. Colloids Surf. 1989, 39, 303–309. [Google Scholar] [CrossRef]
- Zinder, B.; Furrer, G.; Stumm, W. The coordination chemistry of weathering: II. Dissolution of Fe(III) oxides. Geochim. Et Cosmochim. Acta 1986, 50, 1861–1869. [Google Scholar] [CrossRef]
- Hu, P.; Liu, Q.; Torrent, J.; Barrón, V.; Jin, C. Characterizing and quantifying iron oxides in Chinese loess/paleosols: Implications for pedogenesis. Earth Planet. Sci. Lett. 2013, 369–370, 271–283. [Google Scholar] [CrossRef]
- Bigham, J.; Golden, D.; Bowen, L.; Buol, S.; Weed, S. Iron Oxide Mineralogy of Well-drained Ultisols and Oxisols: I. Characterization of Iron Oxides in Soil Clays by Mössbauer Spectroscopy, X-ray Diffractometry, and Selected Chemical Techniques1. Soil Sci. Soc. Am. J. 1978, 42, 816–825. [Google Scholar] [CrossRef]
- Brown, G.; Wood, I.G. Estimation of Iron Oxides in Soil Clays by Profile Refinement Combined with Differential X-ray Diffraction. Clay Miner. 1985, 20, 15–27. [Google Scholar] [CrossRef]
- Deaton, B.; Balsam, W. Visible Spectroscopy—A Rapid Method for Determining Hematite and Goethite Concentration in Geologic Materials. J. Sediment. Res. 1991, 61, 628–632. [Google Scholar] [CrossRef]
- Schulze, D. Identification of Soil Iron Oxide Minerals by Differential X-ray Diffraction. Soil Sci. Soc. Am. J. 1981, 45, 437–440. [Google Scholar] [CrossRef]
- Xie, Q.Q.; Chen, T.H.; Xu, X.C.; Qing, C.S.; Xu, H.F.; Sun, Y.B.; Ji, J.F. Transformation relationship among different magnetic minerals within loess-paleosol sediments of the Chinese Loess Plateau. Sci. China Ser. D-Earth Sci. 2009, 52, 313–322. [Google Scholar] [CrossRef]
- Deaton, B. Quantification of rock color from Munsell chips. J. Sediment. Res. 1987, 57, 774–776. [Google Scholar] [CrossRef]
- Laamanen, H.; Jääskeläinen, T.; Parkkinen, J. Conversion between the reflectance spectra and the Munsell notations. Color Res. Appl. 2006, 31, 57–66. [Google Scholar] [CrossRef]
- Munsell, A. On the relation of the intensity of chromatic stimulus (physical saturation) to chromatic sensation. Psychol. Bull. 1909, 6, 238–239. [Google Scholar] [CrossRef]
- Scheinost, A.; Schwertmann, U. Color Identification of Iron Oxides and Hydroxysulfates: Use and Limitations. Soil Sci. Soc. Am. J. 1999, 63, 1463–1471. [Google Scholar] [CrossRef]
- Sticher, H. Goethe und der Boden. J. Plant Nutr. Soil Sci. 1982, 145, 623–630. [Google Scholar] [CrossRef]
- Balsam, W.; Ji, J.; Chen, J. Climatic interpretation of the Luochuan and Lingtai loess sections, China, based on changing iron oxide mineralogy and magnetic susceptibility. Earth Planet. Sci. Lett. 2004, 223, 335–348. [Google Scholar] [CrossRef]
- Barrón, V.; Montealegre, L. Iron oxides and color of Triassic sediments; application of the Kubelka-Munk theory. Am. J. Sci. 1986, 286, 792–802. [Google Scholar] [CrossRef]
- Ji, J.; Balsam, W.; Chen, J. Mineralogic and Climatic Interpretations of the Luochuan Loess Section (China) Based on Diffuse Reflectance Spectrophotometry. Quat. Res. 2001, 56, 23–30. [Google Scholar] [CrossRef]
- Zhang, Q.; Liu, Q.; Roberts, A.; Larrasoaña, J.; Shi, X.; Jin, C. Mechanism for enhanced eolian dust flux recorded in North Pacific Ocean sediments since 4.0 Ma: Aridity or humidity at dust source areas in the Asian interior? Geology 2019, 48, 77–81. [Google Scholar] [CrossRef]
- Robinson, S. The Late Pleistocene paleoclimate record of North Atlantic deep-sea sediments revealed by mineral-magnetic measurements. Phys. Earth Planet. Inter. 1986, 42, 22–47. [Google Scholar] [CrossRef]
- Shields, J.; Paul, E.; Arnaud, R.; Head, W. Spectrophoto-metric measurement of soil colour and its relationship to soil organic matter. Can. J. Soil Sci. 1968, 48, 271–280. [Google Scholar] [CrossRef]
- Torrent, J.; Barrón, V. Diffuse Reflectance Spectroscopy. In Methods of Soil Analysis (Part 5): Mineralogical Methods; Ulery, A.L., Drees, L.R., Eds.; Soil Science Society of America: Madison, WI, USA, 2008; pp. 367–385. [Google Scholar]
- Balsam, W.; Wolhart, R. Sediment dispersal in the Argentine Basin: Evidence from visible light spectra. Deep-Sea Res. Part II-Top. Stud. Oceanogr. 1993, 40, 1001–1031. [Google Scholar] [CrossRef]
- Barranco, F.; Balsam, W.; Deaton, B.C. Quantitative reassessment of brick red lutites: Evidence from reflectance spectrophotometry. Mar. Geol. 1989, 89, 299–314. [Google Scholar] [CrossRef]
- Kosmas, C.; Curi, N.; Bryant, R.; Franzmeier, D. Characterization of Iron Oxide Minerals by Second-Derivative Visible Spectroscopy1. Soil Sci. Soc. Am. J.-SSSAJ 1984, 48, 401–405. [Google Scholar] [CrossRef]
- Scheinost, A.; Chavernas, A.; Barrón, V.; Torrent, J. Use and limitations of second-derivative diffuse reflectance spectroscopy in the visible to near-infrared range to identify and quantify Fe oxides in soils. Clays Clay Miner. 1998, 46, 528–536. [Google Scholar] [CrossRef]
- Mehra, O.P.; Jackson, M.L. Iron oxide removal from soils and clays by a dithionite-citrate system buffered with sodium bicarbonate. Clays Clay Miner. 1960, 7, 317–327. [Google Scholar] [CrossRef]
- Barrón, V.; Torrent, J. Use of the Kubelka—Munk Theory to Study the Influence of Iron Oxides on Soil Colour. J. Soil Sci. 1986, 37, 499–510. [Google Scholar] [CrossRef]
- Miller, D.N.; Folk, R.L. Occurrence of detrital magnetite and ilmenite in red sediments: New approach to significance of redbeds. Bull. Am. Assoc. Petrol. Geol. 1955, 39, 338–345. [Google Scholar] [CrossRef]










| Concentration % | 0.025 | 0.012 | 0.0062 | 0.0031 | 0.0015 | 0.00078 |
|---|---|---|---|---|---|---|
| DRS estimation % | 0.024 | 0.013 | 0.0064 | 0.0032 | 0.0014 | 0.00024 |
| Relative error % | 4 | 8.3 | 3.2 | 3.2 | 6.6 | 69.2 |
| S-ratio estimation % | 0.015 | 0.004 | 0.0054 | 0.0118 | 0.0095 | 0.00303 |
| Relative error % | 40 | 66.6 | 12.9 | 280.6 | 533.3 | 288.4 |
| HIRM estimation % | 0.016 | 0.003 | 0.0052 | 0.0114 | 0.0093 | 0.00349 |
| Relative error % | 36 | 75 | 16.1 | 267.7 | 520 | 347.4 |
Publisher’s Note: MDPI stays neutral with regard to jurisdictional claims in published maps and institutional affiliations. |
© 2022 by the authors. Licensee MDPI, Basel, Switzerland. This article is an open access article distributed under the terms and conditions of the Creative Commons Attribution (CC BY) license (https://creativecommons.org/licenses/by/4.0/).
Share and Cite
Cao, W.; Jiang, Z.; Gai, C.; Barrón, V.; Torrent, J.; Zhong, Y.; Liu, Q. Re-Visiting the Quantification of Hematite by Diffuse Reflectance Spectroscopy. Minerals 2022, 12, 872. https://doi.org/10.3390/min12070872
Cao W, Jiang Z, Gai C, Barrón V, Torrent J, Zhong Y, Liu Q. Re-Visiting the Quantification of Hematite by Diffuse Reflectance Spectroscopy. Minerals. 2022; 12(7):872. https://doi.org/10.3390/min12070872
Chicago/Turabian StyleCao, Wei, Zhaoxia Jiang, Congcong Gai, Vidal Barrón, José Torrent, Yi Zhong, and Qingsong Liu. 2022. "Re-Visiting the Quantification of Hematite by Diffuse Reflectance Spectroscopy" Minerals 12, no. 7: 872. https://doi.org/10.3390/min12070872
APA StyleCao, W., Jiang, Z., Gai, C., Barrón, V., Torrent, J., Zhong, Y., & Liu, Q. (2022). Re-Visiting the Quantification of Hematite by Diffuse Reflectance Spectroscopy. Minerals, 12(7), 872. https://doi.org/10.3390/min12070872

