Chirvinskyite, (Na,Ca)13(Fe,Mn,□)2(Ti,Nb)2(Zr,Ti)3-(Si2O7)4(OH,O,F)12, a New Mineral with a Modular Wallpaper Structure, from the Khibiny Alkaline Massif (Kola Peninsula, Russia)
Abstract
:1. Introduction
2. Materials and Methods
3. Results
3.1. Occurrence
3.2. Appearance and Physical Properties
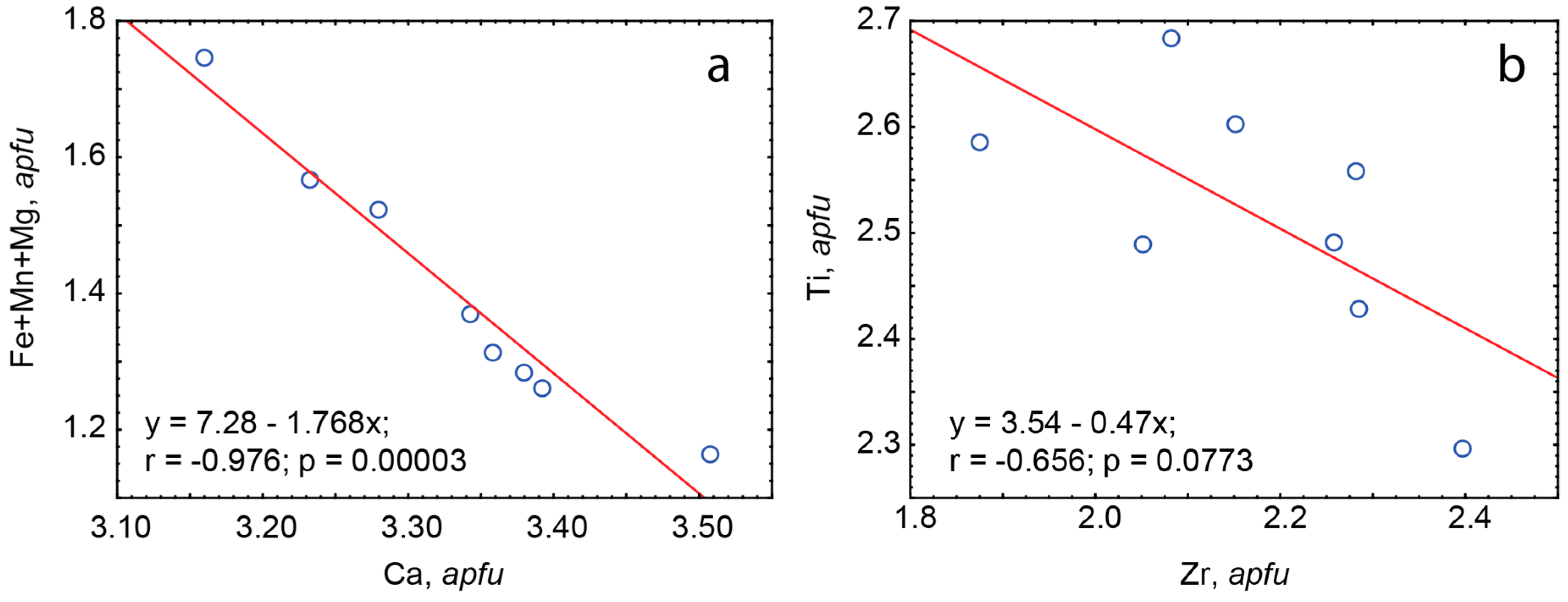
3.3. Chemical Composition
3.4. Raman Spectroscopy
3.5. Powder X-ray Diffraction
3.6. Crystal Structure
4. Discussion
Supplementary Materials
Author Contributions
Funding
Acknowledgments
Conflicts of Interest
References
- Belov, N.V.; Organova, N.I. Crystal chemistry and mineralogy of the lomonosovite group in the light of the crystal structure of lomonosovite. Geokhimiya 1962, 1, 4–13. (In Russian) [Google Scholar]
- Grice, J.D.; Burns, P.C.; Hawthorne, F.C. Borate minerals. II. A hierarchy of structures based upon the borate fundamental building block. Can. Mineral. 1999, 37, 731–762. [Google Scholar]
- Merlino, S.; Perchiazzi, N. Modular mineralogy in the cuspidine group of minerals. Can. Mineral. 1988, 26, 933–943. [Google Scholar]
- Biagioni, C.; Merlino, S.; Parodi, G.C.; Perchiazzi, N. Crystal chemistry of minerals of the wöhlerite group from the Los Archipelago, Guinea. Can. Mineral. 2012, 50, 593–609. [Google Scholar] [CrossRef]
- Yakovenchuk, V.N.; Ivanyuk, G.Yu.; Pakhomovsky, Ya.A.; Men’shikov, Yu.P. Khibiny; Wall, F., Ed.; Laplandia Minerals: Apatity, Russia, 2005; ISBN 5900395480. [Google Scholar]
- Bohnstedt, E.; Borneman-Starynkevich, I.; Vlodavets, N.; Vorob’eva, O.; Gerasimovsky, V.; Gutkova, N.; Kagan, B.; Kostyleva, E.; Kupletsky, B.; Labuntsov, A.; et al. Minerals of the Khibiny and Lovozero Tundras; AN SSSR Publishing: Moscow, Russia, 1937. (In Russian) [Google Scholar]
- Chirvinsky, P.N. On the mineralogy of the Kirovsk region. In Productive Forces of the Kola Peninsula; AN SSSR Publishing: Moscow, Russia, 1940; Volume 1, pp. 27–55. (In Russian) [Google Scholar]
- Sandell, E.B. Micro determination of water by the Penfield method. Microchim. Acta 1951, 38, 487–491. [Google Scholar] [CrossRef]
- Dolivo-Dobrovolsky, D.D. MINAL, Free Software. Available online: http://www.dimadd.ru (accessed on 8 July 2013).
- Britvin, S.N.; Dolivo-Dobrovolsky, D.V.; Krzhizhanovskaya, M.G. Software for processing of X-ray powder diffraction data obtained from the curved image plate detector of Rigaku RAXIS Rapid II diffractometer. Zap. Ross. Mineral. Obsh. 2017, 146, 104–107. (In Russian) [Google Scholar]
- Bruker AXS GmbH Topas. General Profile and Structure Analysis Software for Powder Diffraction Data; Bruker: Billerica, MA, USA, 2009. [Google Scholar]
- APEX2. Version 2014.11-0; Bruker-AXS: Madison, WI, USA, 2014. [Google Scholar]
- Sheldrick, G.M. SADABS; University of Goettingen: Goettingen, Germany, 2007. [Google Scholar]
- Sheldrick, G.M. Crystal structure refinement with SHELXL. Acta Crystallogr. 2015, C71, 3–8. [Google Scholar]
- Sheldrick, G.M. A short history of SHELX. Acta Crystallogr. 2008, A64, 112–122. [Google Scholar] [CrossRef] [PubMed]
- Dolomanov, O.V.; Bourhis, L.J.; Gildea, R.J.; Howard, J.A.K.; Puschmann, H. Olex2: A complete structure solution, refinement and analysis program. J. Appl. Crystallogr. 2009, 42, 339–341. [Google Scholar] [CrossRef]
- Atoms 6.5; Shape Software: Kingsport, TN, USA, 2019.
- Kramm, U.; Kogarko, L.N.; Kononova, V.A.; Vartiainen, H. The Kola alkaline province of the CIS and Finland: Precise Rb-Sr ages define 380–360 Ma age range for all magmatism. Lithos 1993, 30, 33–44. [Google Scholar] [CrossRef]
- Korchak, Yu.A.; Men’shikov, Yu.P.; Pakhomovskii, Ya.A.; Yakovenchuk, V.N.; Ivanyuk, G.Yu. Trap formation of the Kola peninsula. Petrology 2011, 19, 87–101. [Google Scholar] [CrossRef]
- Yadav, A.K.; Singh, P. A review of structure of oxide glasses by Raman spectroscopy. RSC Adv. 2015, 5, 67583–67609. [Google Scholar] [CrossRef]
- Galuskin, E.V.; Lazic, B.; Armbruster, T.; Galuskina, I.O.; Pertsev, N.N.; Gazeev, V.M.; Włodyka, R.; Dulski, M.; Dzierżanowski, P.; Zadov, A.E.; et al. Edgrewite Ca9(SiO4)4F2-hydroxyledgrewite Ca9(SiO4)4(OH)2, a new series of calcium humite-group minerals from altered xenoliths in the ignimbrite of Upper Chegem caldera, Northern Caucasus, Kabardino-Balkaria, Russia. Am. Mineral. 2012, 97, 1998–2006. [Google Scholar] [CrossRef]
- Yakovenchuk, V.N.; Krivovichev, S.V.; Ivanyuk, G.Y.; Pakhomovsky, Ya.A.; Selivanova, E.A.; Zhitova, E.S.; Kalashnikova, G.O.; Zolotarev, A.A.; Mikhailova, J.A.; Kadyrova, G.I. Kihlmanite-(Ce), Ce2TiO2[SiO4] (HCO3)2(H2O), a new rare-earth mineral from the pegmatites of the Khibiny alkaline massif, Kola Peninsula, Russia. Mineral. Mag. 2014, 78, 483–496. [Google Scholar] [CrossRef]
- Frost, R.L.; López, A.; Xi, Y.; Scholz, R.; Gandini, A.L. A vibrational spectroscopic study of the silicate mineral ardennite-(As). Spectrochim. Acta A Mol. Biomol. Spectrosc. 2014, 24, 987–991. [Google Scholar] [CrossRef] [PubMed]
- Libowitzky, E. Correlation of O-H Stretching Frequencies and O-H O Hydrogen Bond Lengths in Minerals. Hydrog. Bond Res. 1999, 1059, 103–115. [Google Scholar] [CrossRef]
- Brese, N.E.; O’Keeffe, M. Bond-valence parameters for solids. Acta Crystallogr. 1991, B47, 192–197. [Google Scholar] [CrossRef]
- Kunz, M.; Brown, I.D. Out-of-center distortions around octahedrally coordinated d0-transition metals. J. Solid State Chem. 1994, 115, 395–406. [Google Scholar] [CrossRef]
- Moore, P.; Araki, T. Pinakiolite, warwikite and wightmanite: Crystal chemistry of complex 3Å wallpaper structures. Am. Mineral. 1974, 59, 985–1004. [Google Scholar]
- Belov, N.V. Essays on Structural Mineralogy; Nedra: Moscow, Russia, 1976. (In Russian) [Google Scholar]







| Sample | Mean | SD | Min | Max | n |
|---|---|---|---|---|---|
| H2O *, wt% | 3.14 | 1 | |||
| F | 3.32 | 0.20 | 3.12 | 3.52 | 3 |
| Na2O | 17.85 | 1.04 | 16.90 | 20.59 | 17 |
| MgO | 0.13 | 0.09 | 0.00 | 0.29 | 17 |
| SiO2 | 28.22 | 0.49 | 27.76 | 29.44 | 17 |
| K2O | 0.03 | 0.02 | 0.00 | 0.05 | 17 |
| CaO | 10.80 | 0.34 | 10.21 | 11.36 | 17 |
| TiO2 | 11.46 | 0.98 | 9.79 | 12.80 | 17 |
| MnO | 2.87 | 0.50 | 2.17 | 3.89 | 17 |
| FeO | 3.03 | 0.39 | 2.32 | 3.99 | 17 |
| ZrO2 | 16.43 | 1.71 | 13.63 | 19.43 | 17 |
| Nb2O5 | 1.46 | 0.35 | 0.88 | 2.06 | 17 |
| F=O | −1.40 | ||||
| Total | 97.34 |
| Raman Shift, cm−1 | Assignment | Type |
|---|---|---|
| 2918, 3073, 3054sh, 3554 | OH | v1 |
| 704s, 729sh, 802, 848 | Si2O7 | v1 |
| 898, 924sh, 960, 997 | Si2O7 | v3 |
| 330, 347w, 413w, 445 | Si2O7 | v2 |
| 607, 636s, 652 | Si2O7 | v4 |
| 481s, 497, 538, 593 | MeO6 | v1, v2 |
| 177, 196 | MeO6 | v3, v4 |
| 233, 256s, 272, 289, 303 | MeO7, MeO8 | v1, v2 |
| 91s, 123, 145 | lattice vibrations |
| Imeas | dmeas, Å | dcalc, Å | hkl | Imeas | dmeas, Å | dcalc, Å | hkl |
|---|---|---|---|---|---|---|---|
| 5 | 11.86 | 11.83 | 001 | 2 | 2.382 | 2.381 | 134 |
| 5 | 9.67 | 9.63 | 010 | 12 | 2.326 | 2.327 | 025 |
| 2 | 8.40 | 8.39 | 011 | 2 | 2.276 | 2.277 | 302 |
| 34 | 7.00 | 6.98 | 100 | 9 | 2.193 | 2.195 | −115 |
| 2 | 6.41 | 6.42 | 101 | 4 | 2.131 | 2.132 | 035 |
| 17 | 5.907 | 5.916 | 002 | 5 | 2.109 | 2.107 | −233 |
| 1 | 5.197 | 5.179 | −111 | 9 | 2.018 | 2.018 | 016 |
| 9 | 4.844 | 4.832 | 021 | 2 | 2.007 | 2.004 | −2–32 |
| 6 | 4.632 | 4.638 | −1–11 | 3 | 1.9878 | 1.9846 | 2–15 |
| 3 | 4.222 | 4.228 | −102 | 8 | 1.9677 | 1.9664 | 0–25 |
| 5 | 4.139 | 4.137 | −112 | 3 | 1.9275 | 1.9268 | 050 |
| 15 | 4.039 | 4.024 | 121 | 3 | 1.9029 | 1.8985 | −151 |
| 23 | 3.956 | 3.955 | 013 | 11 | 1.8610 | 1.8617 | 216 |
| 1 | 3.724 | 3.718 | 122 | 7 | 1.7670 | 1.7651 | 154 |
| 5 | 3.656 | 3.651 | −1–12 | 6 | 1.7528 | 1.7514 | −2–15 |
| 2 | 3.489 | 3.489 | 200 | 25 | 1.7407 | 1.7413 | 402 |
| 33 | 3.416 | 3.427 | 023 | 2 | 1.6927 | 1.6927 | −341 |
| 7 | 3.245 | 3.243 | −103 | 1 | 1.6814 | 1.6833 | −411 |
| 3 | 3.212 | 3.210 | 202 | 1 | 1.6722 | 1.6712 | 3–41 |
| 2 | 3.143 | 3.140 | −211 | 16 | 1.6461 | 1.6458 | 037 |
| 11 | 3.012 | 3.012 | 014 | 2 | 1.6260 | 1.6262 | −146 |
| 6 | 2.985 | 2.982 | −2–11 | 4 | 1.6117 | 1.6144 | 14–4 |
| 4 | 2.932 | 2.941 | −1–22 | 7 | 1.6041 | 1.6057 | 060 |
| 57 | 2.886 | 2.890 | 132 | 6 | 1.5724 | 1.5727 | −315 |
| 100 | 2.796 | 2.798 | 024 | 6 | 1.5536 | 1.5528 | 30–5 |
| 3 | 2.706 | 2.708 | 124 | 4 | 1.5475 | 1.5461 | 33–3 |
| 2 | 2.637 | 2.632 | −2–12 | 6 | 1.4943 | 1.4961 | −3–42 |
| 7 | 2.614 | 2.618 | 2–13 | 13 | 1.4854 | 1.4849 | 4–24 |
| 4 | 2.588 | 2.589 | −222 | 7 | 1.4677 | 1.4676 | 4–15 |
| 2 | 2.522 | 2.531 | −133 | 1 | 1.4382 | 1.4368 | −20–8 |
| 12 | 2.451 | 2.448 | 034 | 1 | 1.4182 | 1.4187 | −31–7 |
| 9 | 2.413 | 2.415 | 042 | 6 | 1.3974 | 1.3982 | 4–25 |
| Crystal system | Triclinic |
| Space group | P–1 |
| a, Å | 7.0477(5) |
| b, Å | 9.8725(5) |
| c, Å | 12.2204(9) |
| α, ° | 77.995(5) |
| β, ° | 82.057(6) |
| γ, ° | 89.988(5) |
| Volume, Å3 | 823.35(9) |
| Z | 1 |
| Dcalc, g/cm3 | 3.332 |
| μ, mm1 | 3.260 |
| F(000) | 802.0 |
| Radiation | MoKα (λ = 0.71073) |
| 2Θ range for data collection, ° | 3.506 to 75.382 |
| Index ranges | −9 ≤ h ≤ 9, −13 ≤ k ≤ 13, −11 ≤ l ≤ 16 |
| Reflections collected | 11456 |
| Independent reflections | 4394 [Rint = 0.0384, Rsigma = 0.0345] |
| Data/restraints/parameters | 4394/0/319 |
| GooF | 1.111 |
| Final R indexes [I>=2σ (I)] | R1 = 0.0736, wR2 = 0.2016 |
| Final R indexes [all data] | R1 = 0.0813, wR2 = 0.2067 |
| Largest difference peak/hole/e Å−3 | 2.23/−1.47 |
| Site | x | y | z | Occupancy | SSFexp (e−) | SSFcalc (e−) | BVS * | Uiso |
|---|---|---|---|---|---|---|---|---|
| A1 | −0.0800(2) | 0.9365(1) | 0.3232(1) | Ca | 20.00 | 20.00 | 2.37 | 13.7(3) |
| A2 | −0.0613(3) | 0.4585(2) | 0.2439(2) | Ca0.59Na0.41 | 16.31 | 16.31 | 1.96 (2.35) | 16.0(7) |
| A3 | −0.1393(4) | 0.3604(2) | 0.5589(2) | Na0.78Ca0.22 | 12.98 | 12.98 | 1.46 (1.32) | 17.3(10) |
| A4 | −0.2550(4) | 0.5007(3) | −0.0016(2) | Na | 11.00 | 11.00 | 1.32 | 19.9(7) |
| A5 | −0.2851(3) | 0.2105(2) | 0.1348(2) | Na0.77Ca0.23 | 14.27 | 14.27 | 1.51 (1.36) | 14.6(10) |
| A6 | 0.2193(4) | 0.2111(3) | 0.1328(2) | Na0.90Ca0.10 | 11.90 | 11.90 | 1.38 (1.32) | 15.2(11) |
| A7 | 0 | 0 | 0 | Ca0.54Na0.46 | 15.86 | 15.86 | 1.82 (2.24) | 18.3(11) |
| B ** | −0.3655(2) | 0.6437(1) | 0.4443(1) | Fe0.36Mn0.345 □0.27Mg0.025 | 20.80 | 18.29 | 2.17 | 11.1(4) |
| C | 0.5607(2) | 0.5380(1) | 0.74501(9) | Ti0.94Nb0.06 | 23.14 | 23.14 | 3.76 (3.71) | 8.9(4) |
| D1 | 0.5 | 0 | 0 | Zr0.53Ti0.47 | 31.54 | 31.54 | 3.58 (4.17) | 8.1(4) |
| D2 | 0.5777(1) | 0.06435(8) | 0.68359(6) | Zr0.58Ti0.42 | 32.44 | 32.44 | 3.59 (4.12) | 8.2(3) |
| T1 | 0.2745(3) | 0.2522(2) | 0.8359(2) | Si | 14.00 | 14.00 | 4.09 | 8.9(4) |
| T2 | 0.8063(3) | 0.2503(2) | 0.8348(2) | Si | 14.00 | 14.00 | 4.10 | 8.4(4) |
| T3 | 0.3281(3) | 0.8055(2) | 0.6049(2) | Si | 14.00 | 14.00 | 4.15 | 12.5(4) |
| T4 | −0.1382(3) | 0.8016(2) | 0.6059(2) | Si | 14.00 | 14.00 | 4.15 | 9.2(4) |
| O1 | 0.3024(9) | 0.1492(6) | 0.9513(4) | O | 8.00 | 8.00 | 2.04 (2.17) | 19.3(11) |
| O2 | 0.3360(9) | 0.4102(6) | 0.8257(5) | O | 8.00 | 8.00 | 2.02 (2.05) | 23.1(12) |
| O3 | 0.3512(9) | 0.1947(5) | 0.7235(4) | O | 8.00 | 8.00 | 2.00 (2.06) | 19.0(11) |
| O4 | 0.039(1) | 0.2577(7) | 0.8365(6) | O | 8.00 | 8.00 | 2.08 (2.11) | 32.5(14) |
| O5 | 0.7206(8) | 0.1492(6) | 0.9520(4) | O | 8.00 | 8.00 | 2.01 (2.13) | 18.5(11) |
| O6 | 0.7874(8) | 0.1889(5) | 0.7244(4) | O | 8.00 | 8.00 | 2.10 (2.17) | 17.0(11) |
| O7 | 0.7468(9) | 0.4085(6) | 0.8230(5) | O | 8.00 | 8.00 | 1.98 (2.01) | 23.6(12) |
| O8 | 0.3643(9) | 0.6787(5) | 0.7045(5) | O | 8.00 | 8.00 | 2.10 (2.11) | 22.0(12) |
| O9 | 0.3743(9) | 0.9497(6) | 0.6342(5) | O | 8.00 | 8.00 | 2.11 (2.21) | 22.9(12) |
| O10 | 0.3976(8) | 0.7876(5) | 0.4788(4) | O | 8.00 | 8.00 | 1.96 (1.99) | 15.4(10) |
| O11 | 0.0896(9) | 0.8051(8) | 0.6215(6) | O | 8.00 | 8.00 | 2.10 (2.11) | 35.1(15) |
| O12 | −0.2231(9) | 0.6766(6) | 0.7078(5) | O | 8.00 | 8.00 | 2.08 (2.10) | 23.2(12) |
| O13 | −0.200(1) | 0.9498(6) | 0.6309(5) | O | 8.00 | 8.00 | 2.01 (2.10) | 26.0(13) |
| O14 | −0.149(1) | 0.7765(6) | 0.4828(5) | O | 8.00 | 8.00 | 2.10 (2.05) | 25.0(13) |
| X15 | 0.5817(8) | 0.4853(6) | 0.6104(4) | O0.70F0.30 | 8.00 | 8.30 | 1.76 (1.68) | 19.2(11) |
| X16 | 0.5228(6) | 0.6215(4) | 0.9006(4) | (OH) | 8.00 | 8.00 | 1.32 (1.28) | 6.2(8) |
| X17 | 0.5369(7) | 0.9556(5) | 0.8415(4) | O0.89F0.11 | 8.00 | 8.11 | 1.83 (2.03) | 15.8(10) |
| X18 | −0.1189(8) | 0.5239(5) | 0.3995(4) | (OH)0.90O0.10 | 8.00 | 8.00 | 1.48 (1.51) | 14.3(10) |
| X19 | −0.0248(7) | 0.3710(4) | 0.0870(4) | (OH)0.95O0.05 | 8.00 | 8.00 | 1.34 (1.39) | 9.4(9) |
| X20 | −0.0394(6) | 0.0669(5) | 0.1592(4) | O0.70F0.30 | 8.00 | 8.30 | 1.76 (1.83) | 8.1(8) |
| Atom | U11 | U22 | U33 | U23 | U13 | U12 |
|---|---|---|---|---|---|---|
| A1 | 0.0167(7) | 0.0087(6) | 0.0139(7) | 0.0010(5) | −0.0015(5) | 0.0011(5) |
| A2 | 0.0204(11) | 0.0103(10) | 0.0175(11) | −0.0016(7) | −0.0052(7) | 0.0007(6) |
| A3 | 0.0229(16) | 0.0116(14) | 0.0149(14) | 0.0018(9) | −0.0006(9) | 0.0022(9) |
| A4 | 0.0230(16) | 0.0207(16) | 0.0148(15) | −0.0015(12) | −0.0021(12) | 0.0005(13) |
| A5 | 0.0153(14) | 0.0126(13) | 0.0169(14) | −0.0056(9) | −0.0022(9) | 0.0005(8) |
| A6 | 0.0178(17) | 0.0125(15) | 0.0173(16) | −0.0072(10) | −0.0031(10) | 0.0018(10) |
| A7 | 0.0240(17) | 0.0151(15) | 0.0150(15) | −0.002(1) | −0.0025(10) | 0.0024(10) |
| B | 0.0137(7) | 0.0088(6) | 0.0107(6) | −0.0009(4) | −0.0028(4) | −0.0004(4) |
| C | 0.0112(6) | 0.0048(5) | 0.0097(6) | 0.0007(4) | −0.0017(4) | 0.0006(4) |
| D1 | 0.0091(6) | 0.0051(6) | 0.0093(6) | 0.0007(4) | −0.0019(4) | 0.0003(4) |
| D2 | 0.0100(4) | 0.0050(4) | 0.0099(4) | −0.0020(3) | −0.0021(3) | 0.0004(3) |
| T1 | 0.0158(9) | 0.035(7) | 0.0069(8) | 0.0000(6) | −0.0008(6) | −0.0003(6) |
| T2 | 0.0137(8) | 0.046(7) | 0.0065(8) | −0.0004(6) | −0.0013(6) | 0.0009(6) |
| T3 | 0.023(1) | 0.056(8) | 0.0091(8) | −0.0017(6) | −0.0022(7) | 0.0011(7) |
| T4 | 0.0143(9) | 0.048(7) | 0.0090(8) | −0.0018(6) | −0.0030(6) | 0.0020(6) |
| O1 | 0.033(3) | 0.017(2) | 0.008(2) | −0.0018(18) | −0.001(2) | 0.004(2) |
| O2 | 0.038(3) | 0.014(2) | 0.017(3) | −0.003(2) | −0.005(2) | −0.002(2) |
| O3 | 0.034(3) | 0.014(2) | 0.009(2) | −0.0016(18) | −0.001(2) | 0.002(2) |
| O4 | 0.027(3) | 0.037(4) | 0.035(3) | −0.008(3) | −0.008(3) | 0.001(3) |
| O5 | 0.029(3) | 0.019(3) | 0.007(2) | −0.0016(18) | 0.0000(2) | −0.003(2) |
| O6 | 0.029(3) | 0.011(2) | 0.011(2) | −0.0034(18) | −0.003(2) | −0.002(2) |
| O7 | 0.036(3) | 0.014(2) | 0.020(3) | −0.004(2) | −0.003(2) | 0.002(2) |
| O8 | 0.042(4) | 0.009(2) | 0.015(2) | −0.0014(19) | −0.007(2) | 0.008(2) |
| O9 | 0.037(3) | 0.011(2) | 0.022(3) | −0.006(2) | −0.004(2) | −0.004(2) |
| O10 | 0.025(3) | 0.013(2) | 0.007(2) | −0.0023(17) | 0.0031(19) | −0.0040(19) |
| O11 | 0.020(3) | 0.045(4) | 0.039(4) | −0.008(3) | −0.004(3) | 0.003(3) |
| O12 | 0.037(3) | 0.012(2) | 0.018(3) | −0.001(2) | 0.0000(2) | −0.005(2) |
| O13 | 0.042(4) | 0.014(3) | 0.024(3) | −0.006(2) | −0.008(3) | 0.005(2) |
| O14 | 0.045(4) | 0.019(3) | 0.012(2) | −0.005(2) | −0.006(2) | 0.001(2) |
| X15 | 0.026(3) | 0.017(3) | 0.013(2) | −0.0026(19) | 0.001(2) | 0.005(2) |
| X16 | 0.009(2) | 0.0025(18) | 0.0059(19) | 0.0023(15) | −0.0006(15) | −0.0009(15) |
| X17 | 0.012(2) | 0.015(2) | 0.019(2) | 0.0006(19) | −0.0041(19) | −0.0011(18) |
| X18 | 0.025(3) | 0.010(2) | 0.008(2) | −0.0024(17) | −0.0007(18) | −0.0008(19) |
| X19 | 0.014(2) | 0.0021(19) | 0.011(2) | 0.0018(16) | −0.0028(17) | −0.0007(16) |
| X20 | 0.008(2) | 0.008(2) | 0.007(2) | 0.0023(16) | −0.0015(16) | −0.0007(16) |
| B | O34 | 2.310(5) | T2 | O4 | 1.643(7) | A3 | O65 | 2.348(6) |
| B | O105 | 2.245(6) | T2 | O5 | 1.606(5) | A3 | O102 | 2.484(6) |
| B | O14 | 2.174(6) | T2 | O6 | 1.612(5) | A3 | O112 | 2.990(8) |
| B | X152 | 2.242(6) | T2 | O7 | 1.599(6) | A3 | O142 | 2.493(7) |
| B | X155 | 2.275(5) | <T2–O> | 1.615 | A3 | X155 | 2.400(6) | |
| B | X18 | 2.173(5) | A3 | X18 | 2.243(5) | |||
| <B1–φ*> | 2.237 | T3 | O8 | 1.602(6) | A3 | X182 | 2.318(6) | |
| T3 | O9 | 1.583(5) | <A3–φ> | 2.468 | ||||
| C | O25 | 2.031(6) | T3 | O10 | 1.597(5) | |||
| C | O7 | 2.025(6) | T3 | O11 | 1.665(7) | A4 | O24 | 2.484(6) |
| C | O8 | 1.998(6) | <T3–O> | 1.612 | A4 | O721 | 2.496(6) | |
| C | O1211 | 1.988(6) | A4 | X2 | 2.298(5) | |||
| C | X15 | 1.813(5) | T4 | O11 | 1.644(7) | A4 | X21 | 2.286(5) |
| C | X16 | 2.209(4) | T4 | O12 | 1.607(6) | A4 | X19 | 2.313(6) |
| <C1–φ> | 2.011 | T4 | O13 | 1.604(6) | A4 | X1920 | 2.338(5) | |
| T4 | O14 | 1.587(6) | <A4–φ> | 2.369 | ||||
| D1 | O15 | 2.080(6) | <T4–O> | 1.611 | ||||
| D1 | O16 | 2.080(6) | A5 | O518 | 2.428(6) | |||
| D1 | O57 | 2.078(6) | A1 | O34 | 2.503(6) | A5 | O813 | 2.440(6) |
| D1 | O5 | 2.078(6) | A1 | O44 | 2.994(7) | A5 | O913 | 2.919(6) |
| D1 | X178 | 2.055(5) | A1 | O64 | 2.468(6) | A5 | X1613 | 2.376(5) |
| D1 | X179 | 2.055(5) | A1 | O913 | 2.404(6) | A5 | X1713 | 2.363(6) |
| <D1–φ> | 2.071 | A1 | O1113 | 2.770(8) | A5 | X1916 | 2.353(5) | |
| A1 | O1313 | 2.458(7) | A5 | X20 | 2.250(5) | |||
| D2 | O315 | 2.118(6) | A1 | O14 | 2.234(6) | <A5–φ> | 2.447 | |
| D2 | O616 | 2.098(5) | A1 | X20 | 2.127(5) | |||
| D2 | O9 | 2.056(6) | <A1–φ> | 2.495 | A6 | O118 | 2.417(6) | |
| D2 | O1012 | 2.192(5) | A6 | O1213 | 2.437(6) | |||
| D2 | O1311 | 2.041(6) | A2 | O24 | 2.479(7) | A6 | O1313 | 2.977(7) |
| D2 | X17 | 1.986(5) | A2 | O44 | 2.766(7) | A6 | X1612 | 2.391(5) |
| <D2–φ> | 2.082 | A2 | O74 | 2.522(7) | A6 | X1712 | 2.386(6) | |
| A2 | O82 | 2.463(7) | A6 | X1916 | 2.379(5) | |||
| T1 | O1 | 1.593(5) | A2 | O112 | 2.766(8) | A6 | X20 | 2.259(5) |
| T1 | O2 | 1.594(6) | A2 | O122 | 2.479(7) | <A6–φ> | 2.464 | |
| T1 | O3 | 1.619(5) | A2 | X18 | 2.120(5) | |||
| T1 | O4 | 1.662(7) | A2 | X19 | 2.246(5) | A7 | O118 | 2.521(6) |
| <T1–O> | 1.617 | <A2–φ> | 2.480 | A7 | O14 | 2.521(6) | ||
| A7 | O418 | 2.876(7) | ||||||
| A7 | O44 | 2.876(7) | ||||||
| A7 | O518 | 2.520(6) | ||||||
| A7 | O54 | 2.520(6) | ||||||
| A7 | X2019 | 2.164(4) | ||||||
| A7 | X20 | 2.164(4) | ||||||
| <A7–φ> | 2.520 |
© 2019 by the authors. Licensee MDPI, Basel, Switzerland. This article is an open access article distributed under the terms and conditions of the Creative Commons Attribution (CC BY) license (http://creativecommons.org/licenses/by/4.0/).
Share and Cite
Yakovenchuk, V.N.; Pakhomovsky, Y.A.; Panikorovskii, T.L.; Zolotarev, A.A.; Mikhailova, J.A.; Bocharov, V.N.; Krivovichev, S.V.; Ivanyuk, G.Y. Chirvinskyite, (Na,Ca)13(Fe,Mn,□)2(Ti,Nb)2(Zr,Ti)3-(Si2O7)4(OH,O,F)12, a New Mineral with a Modular Wallpaper Structure, from the Khibiny Alkaline Massif (Kola Peninsula, Russia). Minerals 2019, 9, 219. https://doi.org/10.3390/min9040219
Yakovenchuk VN, Pakhomovsky YA, Panikorovskii TL, Zolotarev AA, Mikhailova JA, Bocharov VN, Krivovichev SV, Ivanyuk GY. Chirvinskyite, (Na,Ca)13(Fe,Mn,□)2(Ti,Nb)2(Zr,Ti)3-(Si2O7)4(OH,O,F)12, a New Mineral with a Modular Wallpaper Structure, from the Khibiny Alkaline Massif (Kola Peninsula, Russia). Minerals. 2019; 9(4):219. https://doi.org/10.3390/min9040219
Chicago/Turabian StyleYakovenchuk, Victor N., Yakov A. Pakhomovsky, Taras L. Panikorovskii, Andrey A. Zolotarev, Julia A. Mikhailova, Vladimir N. Bocharov, Sergey V. Krivovichev, and Gregory Yu. Ivanyuk. 2019. "Chirvinskyite, (Na,Ca)13(Fe,Mn,□)2(Ti,Nb)2(Zr,Ti)3-(Si2O7)4(OH,O,F)12, a New Mineral with a Modular Wallpaper Structure, from the Khibiny Alkaline Massif (Kola Peninsula, Russia)" Minerals 9, no. 4: 219. https://doi.org/10.3390/min9040219
APA StyleYakovenchuk, V. N., Pakhomovsky, Y. A., Panikorovskii, T. L., Zolotarev, A. A., Mikhailova, J. A., Bocharov, V. N., Krivovichev, S. V., & Ivanyuk, G. Y. (2019). Chirvinskyite, (Na,Ca)13(Fe,Mn,□)2(Ti,Nb)2(Zr,Ti)3-(Si2O7)4(OH,O,F)12, a New Mineral with a Modular Wallpaper Structure, from the Khibiny Alkaline Massif (Kola Peninsula, Russia). Minerals, 9(4), 219. https://doi.org/10.3390/min9040219

