A Thermodynamic Analysis on the Roasting of Pyrite
Abstract
:1. Introduction
2. A Preliminary Analysis of Possible Chemical Reactions during the Roasting of Pyrite
3. Thermodynamic Behaviours for the Roasting of Pyrite
3.1. Pyrolysis of Pyrite
3.2. Oxidation of Pyrite by Oxygen
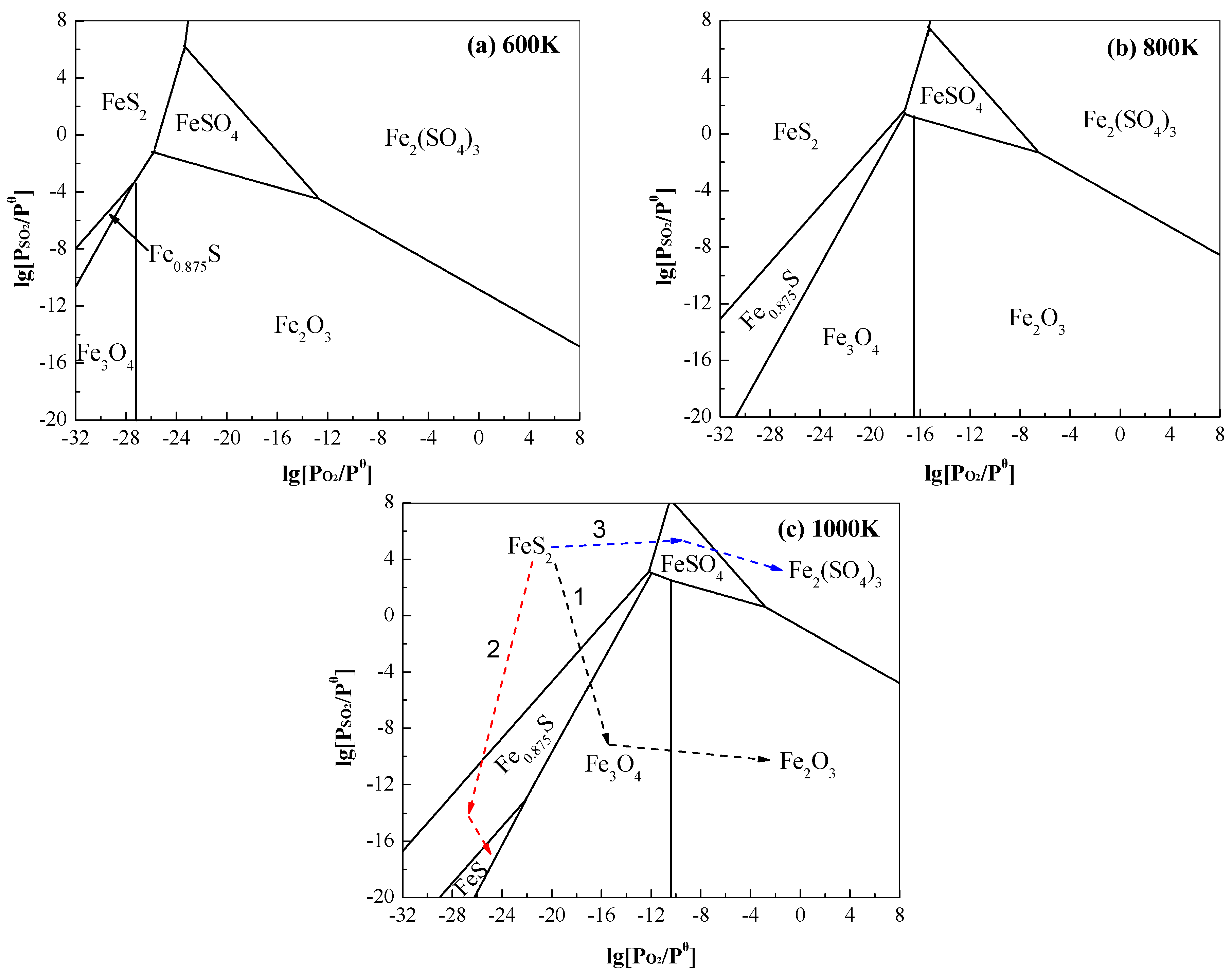
3.2.1. Phase Transformation of Pyrite Roasting
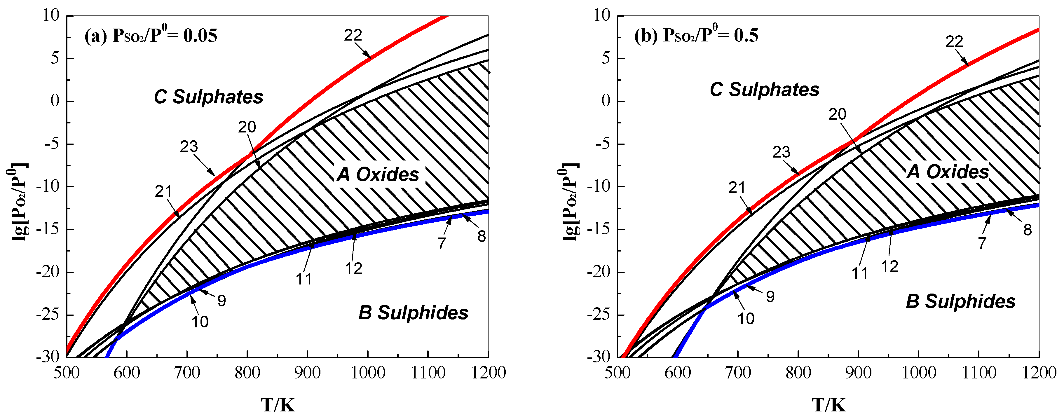
3.2.2. Desulphurization of Pyrite to Iron Oxides
3.3. Effect of Carbon on Pyrite Roasting
4. Conclusions
Author Contributions
Funding
Acknowledgments
Conflicts of Interest
References
- Liu, X.; Xu, B.; Min, X.; Li, Q.; Yang, Y.; Jiang, T.; He, Y.; Zhang, X. Effect of pyrite on thiosulfate leaching of gold and the role of ammonium alcohol polyvinyl phosphate (AAPP). Metals 2017, 7, 278. [Google Scholar] [CrossRef]
- Li, Q.; Zhang, Y.; Liu, X.; Xu, B.; Yang, Y.; Jiang, T. Improvement of gold leaching from a refractory gold concentrate calcine by separate pretreatment of coarse and fine size fractions. Minerals 2017, 7, 80. [Google Scholar]
- Liu, X.; Xu, B.; Yang, Y.; Li, Q.; Jiang, T.; Zhang, X.; Zhang, Y. Effect of galena on thiosulfate leaching of gold. Hydrometallurgy 2017, 171, 157–164. [Google Scholar] [CrossRef]
- Frser, K.S.; Whlton, R.H.; Wells, J.A. Processing of refractory gold ores. Miner. Eng. 1991, 4, 1029–1041. [Google Scholar]
- Zhou, J.; Gu, Y. Chapter 6: Geometallurgical Characterization and Automated Mineralogy of Gold Ores. In Gold Ore Processing: Project Development and Operations, 2nd ed.; Adams, M.D., Ed.; Elsevier: Oxford, UK, 2016; pp. 95–111. [Google Scholar]
- Afenya, P.M. Treatment of carbonaceous refractory gold ores. Miner. Eng. 1991, 4, 1043–1055. [Google Scholar]
- De Michelis, I.; Olivieri, A.; Ubaldini, S.; Ferella, F.; Beolchini, F.; Vegli, F. Roasting and chlorine leaching of gold-bearing refractory concentrate: Experimental and process analysis. Int. J. Min. Sci. Technol. 2013, 23, 709–715. [Google Scholar] [CrossRef]
- Yang, H.; Liu, Q.; Song, X.; Dong, J. Research status of carbonaceous matter in carbonaceous gold ores and bio-oxidation pretreatment. Trans. Nonferrous Met. Soc. China. 2013, 23, 3405–3411. [Google Scholar] [CrossRef]
- Liu, X.; Li, Q.; Zhang, Y.; Jiang, T.; Yang, Y.; Xu, B.; He, Y. Improving gold recovery from a refractory ore via Na2SO4 assisted roasting and alkaline Na2S leaching. Hydrometallurgy 2019, 185, 133–141. [Google Scholar] [CrossRef]
- Dunn, J.G.; De, G.C. The effect of experimental variables on the mechanism of the oxidation of pyrite. Part 1. Oxidation of particles less than 45 μm in size. Thermochim. Acta 1989, 145, 115–130. [Google Scholar] [CrossRef]
- Dunn, J.G.; De, G.C. The effect of experimental variables on the mechanism of the oxidation of pyrite. Part 2. Oxidation of particles of size 90–125 um. Thermochim. Acta 1989, 155, 135–149. [Google Scholar] [CrossRef]
- Jorgensen, F.R.A.; Moyle, F.J. Phases formed during the thermal analysis of pyrite in air. J. Therm. Anal. 1982, 25, 473–485. [Google Scholar] [CrossRef]
- Schorr, J.R.; Everhart, J.O. Thermal behavior of pyrite and its relation to carbon and sulfur oxidation in clays. J. Am. Ceram. Soc. 1969, 52, 351–354. [Google Scholar] [CrossRef]
- Prasad, A.; Singru, R.M.; Biswa, A.K. Study of the roasting of pyrite minerals by Mössbauer spectroscopy. Phys. Status Solidi A 1985, 87, 267–271. [Google Scholar] [CrossRef]
- Hong, Y.; Fegley, B. The kinetics and mechanism of pyrite thermal decomposition. Berichte der Bunsengesellschaft für physikalische Chemie 1997, 101, 1870–1881. [Google Scholar] [CrossRef]
- Waldner, P.; Pelton, A.D. Thermodynamic modeling of the Fe-S system. J. Phase Equilib. Diffus. 2005, 26, 23–38. [Google Scholar] [CrossRef]
- Chakraborti, N.; Lynch, D.C. Thermodynamics of roasting arsenopyrite. Metall. Trans. B 1983, 14, 239–251. [Google Scholar] [CrossRef]
- Hoare, I.C.; Hurst, H.J.; Stuart, W.I. Thermal decomposition of pyrite: Kinetic analysis of thermogravimetric data by predictor-corrector numerical methods. J. Chem. Soc., Faraday Trans. 1 1988, 84, 3071–3077. [Google Scholar] [CrossRef]
- Barin, I. Thermochemical Data of Pure Substances, 3rd ed.; VCH Verlagsgesellschaft mbH: Weinheim, Germany, 1995. [Google Scholar]
- Lambert, J.M.; Simkovich, G.; Walker, P.L. The kinetics and mechanism of the pyrite-to-pyrrhotite Transformation. Metall. Mater. Trans. B 1998, 29, 385–396. [Google Scholar] [CrossRef]
- Boyabat, N.; Özer, A.K.; Bayrakceken, S.; Glaboğlu, M.Ş. Thermal decomposition of pyrite in the nitrogen atmosphere. Fuel Process. Technol. 2003, 85, 179–188. [Google Scholar] [CrossRef]
- Hansen, J.P.; Jensen, L.S.; Wedel, S.; Dam-Johansen, K. Decomposition and oxidation of pyrite in a fixed-bed reactor. Ind. Eng. Chem. Res. 2003, 42, 4290–4295. [Google Scholar] [CrossRef]
- Lv, W.; Yu, D.; Wu, J.; Zhang, L.; Xu, M. The chemical role of CO2 in pyrite thermal decomposition. Proc. Combust. Inst. 2015, 35, 3637–3644. [Google Scholar] [CrossRef]
- Aylmore, M.G.; Lincoln, F.J. Mechanochemical milling-induced reactions between gases and sulfide minerals: II. Reactions of CO2 with arsenopyrite, pyrrhotite and pyrite. J. Alloys Compd. 2001, 314, 103–113. [Google Scholar] [CrossRef]
- Hu, H.; Chen, Q.; Yin, Z.; Zhang, P. Thermal behaviors of mechanically activated pyrites by thermogravimetry (TG). Thermochim. Acta 2003, 398, 233–240. [Google Scholar] [CrossRef]
- Hu, G.; Dam-Johansen, K.; Wedel, S.; Hansen, J.P. Decomposition and oxidation of pyrite. Prog. Energy Combust. Sci. 2006, 32, 295–314. [Google Scholar] [CrossRef]
- Bhargava, S.K.; Garg, A.; Subasinghe, N.D. In situ high-temperature phase transformation studies on pyrite. Fuel 2009, 88, 988–993. [Google Scholar] [CrossRef]
- Schwab, G.M.; Philinis, J. Reactions of iron pyrite: Its thermal decomposition, reduction by hydrogen and air oxidation. J. Am. Chem. Soc. 1947, 69, 2588–2596. [Google Scholar] [CrossRef]
- Eneroth, E.; Koch, C.B. Crystallite size of haematite from thermal oxidation of pyrite and marcasite—Effects of grain size and iron disulphide polymorph. Miner. Eng. 2003, 16, 1257–1267. [Google Scholar] [CrossRef]
- Eymery, J.P. On a phase transformation produced by mechanical activation in iron pyrite. Eur. Phys. J. Appl. Phys. 1999, 5, 115–121. [Google Scholar] [CrossRef]
- Dunn, J.G.; Gong, W.; Shi, D. A Fourier transform infrared study of the oxidation of pyrite. Thermochim. Acta 1992, 208, 293–303. [Google Scholar] [CrossRef]
- Dunn, J.G.; Gong, W.; Shi, D. A Fourier transform infrared study of the oxidation of pyrite. The influences of experimental variables. Thermochim. Acta 1993, 215, 247–254. [Google Scholar] [CrossRef]
- Komraus, J.; Popiel, E.; Mocek, R. Chemical transformations of ferruginous minerals during the process of oxidation of hard coal. Hyperfine Interact 1990, 58, 2589–2592. [Google Scholar] [CrossRef]
- Allen, G.C.; Paul, M. Chemical characterization of transition metal spinel-type oxides by infrared spectroscopy. Appl. Spectrosc. 1995, 49, 451–458. [Google Scholar] [CrossRef]
- Eymery, J.P.; Ylli, F. Study of a mechanochemical transformation in iron pyrite. J. Alloys Compd. 2000, 298, 306–309. [Google Scholar] [CrossRef]
- Liu, X.; Li, Q.; Zhang, Y.; Jiang, T.; Yang, Y.; Xu, B.; He, Y. Simultaneous removal of S and As from a refractory gold ore in a single stage O2-enriched roasting process. Metall. Mater. Trans. B 2019, in press. [Google Scholar]





| Reaction | ΔrGθ, (kJ·mol−1) | No. |
|---|---|---|
| Pyrolysis | i | |
| FeS2 = 8/7 Fe0.875S + 3/7 S2 (g) | −0.1219T + 109.0817 | (1) |
| FeS2 = FeS + ½ S2 (g) | −0.1375T + 140.2344 | (2) |
| Oxidation by O2 | ii | |
| S2 (g) + 2 O2 (g) = 2 SO2 (g) | 0.1465T − 723.7860 | (3) |
| FeS2 + O2 (g) = FeS + SO2 (g) | −0.0647T − 221.4677 | (4) |
| FeS2 + 6/7 O2 (g) = 8/7 Fe0.875S + 6/7 SO2 (g) | −0.0592T − 201.0982 | (5) |
| Fe0.875S + 1/8 O2 (g) = 7/8 FeS + 1/8 SO2 (g) | −0.0038T − 18.0233 | (6) |
| FeS2 + 11/4 O2 (g) = 1/2 Fe2O3 + 2 SO2 (g) | 0.0756T − 832.7516 | (7) |
| FeS2 + 8/3 O2 (g) = 1/3 Fe3O4 + 2 SO2 (g) | 0.0519T − 792.2288 | (8) |
| FeS + 5/3 O2 (g) = 1/3 Fe3O4 + SO2 (g) | 0.1166T − 570.7611 | (9) |
| FeS + 7/4 O2 (g) = 1/2 Fe2O3 + SO2 (g) | 0.1407T − 611.2840 | (10) |
| Fe0.875S + 19/12 O2 (g) = 7/24 Fe3O4 + SO2 (g) | 0.0985T − 518.6612 | (11) |
| Fe0.875S + 53/32 O2 (g) = 7/16 Fe2O3 + SO2 (g) | 0.1192T − 553.6720 | (12) |
| Fe3O4 + 1/4 O2 (g) = 3/2 Fe2O3 | 0.0722T − 121.5684 | (13) |
| FeS2 + 3 O2 (g) = FeSO4 + SO2 (g) | 0.2920T − 1050.5365 | (14) |
| FeS2 + 7/2 O2 (g) = 1/2 Fe2(SO4)3 + 1/2 SO2 (g) | 0.4859T - 1265.3779 | (15) |
| FeS + 2 O2 (g) = FeSO4 | 0.3566T − 829.0689 | (16) |
| FeS + 5/2 O2 (g) + 1/2 SO2 (g) = 1/2 Fe2(SO4)3 | 0.5505T − 1043.9102 | (17) |
| Fe0.875S + O2 (g) = 7/8 FeSO4 + 1/8 SO2 (g) | 0.3099T − 744.6433 | (18) |
| Fe0.875S + 47/16 O2 (g) = 7/16 Fe2(SO4)3 + 5/16 SO2 (g) | 0.4938T − 1127.0820 | (19) |
| Fe3O4 + O2 (g) + 3 SO2 (g) = 3 FeSO4 | 0.7201T − 774.9232 | (20) |
| Fe3O4 + 5/2 O2 (g) + 9/2 SO2 (g) = 3/2 Fe2(SO4)3 | 1.3018T − 1419.4472 | (21) |
| Fe2O3 + 1/2 O2 (g) + 2 SO2 (g) = 2 FeSO4 | 0.4319T − 435.5699 | (22) |
| Fe2O3 + 3/2 O2 (g) + 3 SO2 (g) = Fe2(SO4)3 | 0.8197T − 865.2525 | (23) |
| FeSO4 + 1/2 O2 (g) + 1/2 SO2 (g) = 1/2 Fe2(SO4)3 | 0.1939T − 214.8413 | (24) |
| CaO + 1/2 O2 (g) + SO2 (g) = CaSO4 | 0.2705T − 500.7193 | (25) |
| MgO + 1/2 O2 (g) + SO2 (g) = MgSO4 | 0.2758T − 358.8132 | (26) |
| Al2O3 + 3/2 O2 (g) + 3 SO2 (g) = Al2(SO4)3 | 0.8174T − 854.7974 | (27) |
| C + O2 (g) = CO2 (g) | −0.0019T − 393.9486 | (28) |
| C + 1/2 O2 (g) = CO(g) | −0.0896T − 110.6684 | (29) |
| CO (g)+ 1/2 O2 (g) = CO2 (g) | 0.0877T − 283.2802 | (30) |
| Reduction by C or CO | iii | |
| C + CO2 (g) = 2 CO (g) | −0.1772T + 172.6118 | (31) |
| FeS2 + CO (g) = FeS + COS (g) | −0.0581T + 48.5353 | (32) |
| FeS2 + 6/7 CO (g) = 8/7 Fe0.875S + 6/7 COS (g) | −0.0534T + 30.2428 | (33) |
| S2 (g) + 2 CO (g) = 2 COS (g) | 0.1587T − 183.3983 | (34) |
| Fe2O3 + 1/3 C = 2/3 Fe3O4 + 1/3 CO (g) | −0.0780T + 44.1562 | (35) |
| Fe2O3 + 1/3 CO (g) = 2/3 Fe3O4 + 1/3 CO2 (g) | −0.0189T − 13.3811 | (36) |
| FeSO4 + 1/4 C = 1/2 Fe2O3 + 1/4 CO2 (g) + SO2 (g) | −0.2164T + 119.2978 | (37) |
| FeSO4 + 1/2 CO (g) = 1/2 Fe2O3 + 1/2 CO2 (g) + SO2 (g) | −0.1721T + 76.1448 | (38) |
| FeSO4 + 1/3 C = 1/3 Fe3O4 + 1/3 CO2 (g) + SO2 (g) | −0.2407T + 126.9915 | (39) |
| FeSO4 + 2/3 CO (g) = 1/3 Fe3O4 + 2/3 CO2 (g) + SO2 (g) | −0.1816T + 69.4543 | (40) |
| Fe2(SO4)3 + 3/2 C = Fe2O3 + 3/2 CO2 (g) + 3 SO2 (g) | −0.8225T + 274.3296 | (41) |
| Fe2(SO4)3 + 3 CO (g) = Fe2O3 + 3 CO2 (g) + 3 SO2 (g) | −0.5567T + 15.4119 | (42) |
| Fe2(SO4)3 + 5/3 C = 2/3 Fe3O4 + 5/3 CO2 (g) + 3 SO2 (g) | −0.8710T + 289.7172 | (43) |
| Fe2(SO4)3 + 10/3 CO (g) = 2/3 Fe3O4 + 10/3 CO2 (g) + 3 SO2 (g) | −0.5756T + 2.0308 | (44) |
| Fe2(SO4)3 + 2 CO (g) = 2 FeSO4 + 2 CO2 (g) + SO2 (g) | −0.2125T − 136.8778 | (45) |
| Reaction | Relationship Formula of PS2 and T | No. |
|---|---|---|
| Fe0.875S = 7/8 Fe + 1/2 S2 (g) | PS2 = Pθexp(−39746.2232/T + 14.1132) | (47) |
| FeS = Fe + 1/2 S2 (g) | PS2 = Pθexp(−31989.5959/T + 14.4395) | (48) |
© 2019 by the authors. Licensee MDPI, Basel, Switzerland. This article is an open access article distributed under the terms and conditions of the Creative Commons Attribution (CC BY) license (http://creativecommons.org/licenses/by/4.0/).
Share and Cite
Zhang, Y.; Li, Q.; Liu, X.; Xu, B.; Yang, Y.; Jiang, T. A Thermodynamic Analysis on the Roasting of Pyrite. Minerals 2019, 9, 220. https://doi.org/10.3390/min9040220
Zhang Y, Li Q, Liu X, Xu B, Yang Y, Jiang T. A Thermodynamic Analysis on the Roasting of Pyrite. Minerals. 2019; 9(4):220. https://doi.org/10.3390/min9040220
Chicago/Turabian StyleZhang, Yan, Qian Li, Xiaoliang Liu, Bin Xu, Yongbin Yang, and Tao Jiang. 2019. "A Thermodynamic Analysis on the Roasting of Pyrite" Minerals 9, no. 4: 220. https://doi.org/10.3390/min9040220
APA StyleZhang, Y., Li, Q., Liu, X., Xu, B., Yang, Y., & Jiang, T. (2019). A Thermodynamic Analysis on the Roasting of Pyrite. Minerals, 9(4), 220. https://doi.org/10.3390/min9040220

