Geochronology and Genesis of the Carboniferous Shikebutai Iron Deposit in Western Tianshan, Northwestern China
Abstract
1. Introduction
2. Geologic Background
3. Ore Deposit Geology
4. Sampling and Analytical Techniques
4.1. Sample Preparation
4.2. SHRIMP Zircon U-Pb Geochronology
4.3. Major and Trace Element Analysis
4.4. Sm-Nd Isotopic Analysis
5. Results
5.1. Petrography
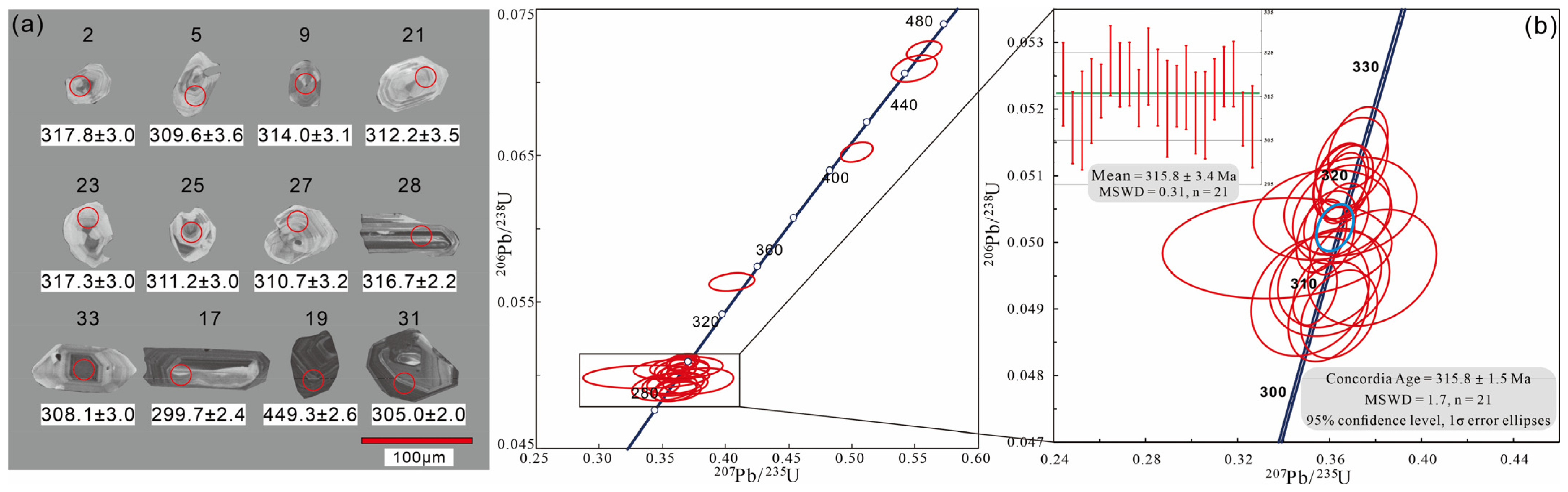
5.2. Zircon SHIRMP U–Pb Dating
5.3. Whole-Rock Major and Trace Elements
5.4. Sm-Nd Isotopes
6. Discussion
6.1. The Mineralization Age
6.2. Effects of Syn- and Post-Depositional Processes
6.3. Inferences for Iron Sources
7. Conclusions
Supplementary Materials
Author Contributions
Funding
Data Availability Statement
Acknowledgments
Conflicts of Interest
References
- Moeller, K.; Schoenberg, R.; Grenne, T.; Thorseth, I.H.; Drost, K.; Pedersen, R.B. Comparison of Iron Isotope Variations in Modern and Ordovician Siliceous Fe Oxyhydroxide Deposits. Geochim. Cosmochim. Acta 2014, 126, 422–440. [Google Scholar] [CrossRef]
- Li, J.T.; Sun, M.X.; Qi, W.L.; Zhou, Z.; Hohl, S.V.; He, Z.W. Geochemical and Sr-Nd-Pb-Fe Isotopic Constraints on the Formation of Fe-Si Oxyhydroxide Deposits at the Ultraslow-Spreading Southwest Indian Ridge. Geochem. Geophys. Geosyst. 2024, 25, e2023GC011185. [Google Scholar] [CrossRef]
- Gablina, I.F.; Dobretsova, I.G.; Popova, E.A.; Dara, O.M.; Sadchikova, T.A.; Gor’kova, N.V.; Mikheev, V.V. Mineral Composition and Geochemical Zoning of Bottom Sediments in the Pobeda Hydrothermal Cluster (17°07.45′ N–17°08.7′ N Mid-Atlantic Ridge). Lithol. Miner. Resour. 2021, 56, 113–131. [Google Scholar] [CrossRef]
- Hrischeva, E.; Scott, S.D. Geochemistry and Morphology of Metalliferous Sediments and Oxyhydroxides from the Endeavour Segment, Juan de Fuca Ridge. Geochim. Cosmochim. Acta 2007, 71, 3476–3497. [Google Scholar] [CrossRef]
- James, H.L. Sedimentary Facies of Iron-Formation. Econ. Geol. 1954, 49, 235–293. [Google Scholar] [CrossRef]
- Duhig, N.C.; Stolz, J.; Davidson, G.J.; Large, R.R. Cambrian Microbial and Silica Gel Textures in Silica Iron Exhalites from the Mount Windsor Volcanic Belt, Australia; Their Petrography, Chemistry, and Origin. Econ. Geol. 1992, 87, 764–784. [Google Scholar] [CrossRef]
- Grenne, T.; Slack, J.F. Paleozoic and Mesozoic Silica-Rich Seawater: Evidence from Hematitic Chert (Jasper) Deposits. Geology 2003, 31, 319–322. [Google Scholar] [CrossRef]
- Edwards, K.J.; Glazer, B.T.; Rouxel, O.J.; Bach, W.; Emerson, D.; Davis, R.E.; Toner, B.M.; Chan, C.S.; Tebo, B.M.; Staudigel, H.; et al. Ultra-Diffuse Hydrothermal Venting Supports Fe-Oxidizing Bacteria and Massive Umber Deposition at 5000 m off Hawaii. ISME J. 2011, 5, 1748–1758. [Google Scholar] [CrossRef]
- Grenne, T.; Slack, J.F. Bedded Jaspers of the Ordovician Løkken Ophiolite, Norway: Seafloor Deposition and Diagenetic Maturation of Hydrothermal Plume-Derived Silica-Iron Gels. Miner. Depos. 2003, 38, 625–639. [Google Scholar] [CrossRef]
- Bekker, A.; Slack, J.F.; Planavsky, N.; Krapez, B.; Hofmann, A.; Konhauser, K.O.; Rouxel, O.J. Iron Formation: The Sedimentary Product of a Complex Interplay among Mantle, Tectonic, Oceanic, and Biospheric Processes. Econ. Geol. 2010, 105, 467–508. [Google Scholar] [CrossRef]
- Konhauser, K.O.; Planavsky, N.J.; Hardisty, D.S.; Robbins, L.J.; Warchola, T.J.; Haugaard, R.; Lalonde, S.V.; Partin, C.A.; Oonk, P.B.H.; Tsikos, H.; et al. Iron Formations: A Global Record of Neoarchaean to Palaeoproterozoic Environmental History. Earth-Sci. Rev. 2017, 172, 140–177. [Google Scholar] [CrossRef]
- Abd El-Rahman, Y.; Gutzmer, J.; Li, X.-H.; Seifert, T.; Li, C.-F.; Ling, X.-X.; Li, J. Not All Neoproterozoic Iron Formations Are Glaciogenic: Sturtian-Aged Non-Rapitan Exhalative Iron Formations from the Arabian–Nubian Shield. Miner. Depos. 2020, 55, 577–596. [Google Scholar] [CrossRef]
- Schmitt, L.; Kirnbauer, T.; Angerer, T.; Volkmann, R.; Roddatis, V.; Wirth, R.; Klein, S. Genesis of Devonian Volcanic-Associated Lahn-Dill-Type Iron Ores—Part I: Iron Mobilisation and Mineralisation Style. Miner. Depos. 2023, 59, 1777–1801. [Google Scholar] [CrossRef]
- Schmitt, L.; Kirnbauer, T.; Angerer, T.; Kraemer, D.; Garbe-Schoenberg, D.; Fockenberg, T.; Klein, S. Genesis of Devonian Volcanic-Associated Lahn-Dill-Type Iron Ores—Part II: Trace Element Fractionation Evidences Diffuse Fluid Venting. Miner. Depos. 2024, 59, 1803–1829. [Google Scholar] [CrossRef]
- Yang, X.Q.; Zhang, Z.H.; Santosh, M.; Duan, S.G.; Liang, T. Anoxic to Suboxic Mesoproterozoic Ocean: Evidence from Iron Isotope and Geochemistry of Siderite in the Banded Iron Formations from North Qilian, NW China. Precambrian Res. 2018, 307, 115–124. [Google Scholar] [CrossRef]
- Wang, B.Y.; Jing, D.L.; Zhang, B.; Han, L.; Jiang, C.Y. Petrology and Geochemistry of Carboniferous Volcanic Rocks from the Awulale Iron Metallogenetic Belt in the West Tianshan Orogen (NW China): Constraints on Petrogenesis and Tectonic Setting. Geol. J. 2019, 54, 2347–2363. [Google Scholar] [CrossRef]
- Zhang, Z.C.; Hou, T.; Santosh, M.; Li, H.M.; Li, J.W.; Zhang, Z.H.; Song, X.Y.; Wang, M. Spatio-Temporal Distribution and Tectonic Settings of the Major Iron Deposits in China: An Overview. Ore Geol. Rev. 2014, 57, 247–263. [Google Scholar] [CrossRef]
- Zhang, Z.H.; Hong, W.; Jiang, Z.S.; Duan, S.G.; Li, F.M.; Shi, F.P. Geological Characteristics and Metallogenesis of Iron Deposits in Western Tianshan, China. Ore Geol. Rev. 2014, 57, 425–440. [Google Scholar] [CrossRef]
- Yuan, T. Contrast of Geological Characteristics between Motuoshala Iron (Manganese) Deposit and Shikebutai Iron Deposit in West Tianshan Mountain of Xinjiang Autonomous Region. Contrib. Geol. Miner. Resour. Res. 2003, 18, 88–92. [Google Scholar]
- Mo, J.P.; Huang, M.Y.; Tan, L.F.; Lu, H.D. The Origin of Kaiputai Iron-Copper Deposit in Yuxu, Xinjiang, China. Geol. Prospect. 1997, 33, 7–12, (In Chinese with English Abstract). [Google Scholar]
- Li, F.M.; Peng, X.P.; Shi, F.P.; Zhou, C.P.; Chen, J.Z. Analysis on Fe-Mn Mineralization Regularity in Carboniferous Volcanic-Sedimentary Basin of West Tianshan. Xinjiang Geol. 2011, 29, 55–60, (In Chinese with English Abstract). [Google Scholar]
- Chen, J.; Duan, S.G.; Zhang, Z.H.; Luo, G.; Jiang, Z.S.; Luo, W.J.; Wang, D.C.; Zheng, R.Q. Geology, Mineral Chemistry and Sulfur Isotope Geochemistry of the Shikebutai Iron Deposit in West Tianshan Mountains, Xinjiang: Constraints on Genesis of the Deposit. Geol. China 2014, 41, 1833–1852, (In Chinese with English Abstract). [Google Scholar]
- Zhang, X.; Dong, Z.; Peng, Z.; Zhang, L.; Zhang, B.; Wang, C. Sedimentary-Diagenetic Processes of the Carboniferous Shikebutai Iron Deposit in West Tianshan Mountains: Evidences from Petrography and Mineralogy. Acta Petrol. Sin. 2022, 38, 3125–3142. [Google Scholar] [CrossRef]
- Yang, X.Q.; Mao, J.W.; Jiang, Z.S.; Santosh, M.; Zhang, Z.H.; Duan, S.G.; Wang, D.C. The Carboniferous Shikebutai Iron Deposit in Western Tianshan, Northwestern China: Petrology, Fe-O-C-Si Isotopes, and Implications for Iron Pathways. Econ. Geol. 2019, 114, 1207–1222. [Google Scholar] [CrossRef]
- Yang, X.Q.; Mao, J.W.; Zhang, Z.H.; Robbins, L.J.; Planavsky, N.J.; Jiang, Z.S.; Duan, S.G.; Chen, Z.W. Episodic Ferruginous Conditions Associated with Submarine Volcanism Led to the Deposition of a Late Carboniferous Iron Formation. Geochim. Cosmochim. Acta 2021, 292, 1–23. [Google Scholar] [CrossRef]
- Tian, P.R. Deposit Characteristics and Mechanism Discussion Yuxukaiputai Iron-Copper Deposit in Xinjiang. Miner. Prospect. Explor. 1990, 5, 17–26. (In Chinese) [Google Scholar]
- Gao, J.; Long, L.; Klemd, R.; Qian, Q.; Liu, D.; Xiong, X.; Su, W.; Liu, W.; Wang, Y.; Yang, F. Tectonic Evolution of the South Tianshan Orogen and Adjacent Regions, NW China: Geochemical and Age Constraints of Granitoid Rocks. Int. J. Earth Sci. 2009, 98, 1221–1238. [Google Scholar] [CrossRef]
- Xiao, W.; Windley, B.F.; Allen, M.B.; Han, C. Paleozoic Multiple Accretionary and Collisional Tectonics of the Chinese Tianshan Orogenic Collage. Gondwana Res. 2013, 23, 1316–1341. [Google Scholar] [CrossRef]
- Kröner, A.; Windley, B.F.; Badarch, G.; Tomurtogoo, O.; Hegner, E.; Jahn, B.M.; Gruschka, S.; Khain, E.V.; Demoux, A.; Wingate, M.T.D. Accretionary Growth and Crust Formation in the Central Asian Orogenic Belt and Comparison with the Arabian-Nubian Shield. In Geological Society of America Memoirs; Geological Society of America: Boulder, Colorado, 2007; Volume 200, pp. 181–209. [Google Scholar]
- Wang, X.-S.; Zhang, X.; Gao, J.; Li, J.-L.; Jiang, T.; Xue, S.-C. A Slab Break-off Model for the Submarine Volcanic-Hosted Iron Mineralization in the Chinese Western Tianshan: Insights from Paleozoic Subduction-Related to Post-Collisional Magmatism. Ore Geol. Rev. 2018, 92, 144–160. [Google Scholar] [CrossRef]
- Dong, Z.; Zhang, B.; Shi, F.; Zhang, L.; Gao, B.; Zhang, X.; Peng, Z.; Wang, C. Mineralogical and Geochemical Characteristics of Motuosala Exhalative Sedimentary Fe-Mn Deposit in the West Tianshan, Xinjiang, NW China. Acta Petrol. Sin. 2021, 37, 1099–1121. [Google Scholar] [CrossRef]
- Lu, Z.; Mo, J. Geological Characters and Ore Genesis of Awulale Iron-Rich Deposit in Xinjiang. Geol. Prospect. 2006, 42, 8–11, (In Chinese with English Abstract). [Google Scholar]
- Williams, I.S. U-Th-Pb Geochronology by Ion Microprobe. In Applications of Microanalytical Techniques to Understanding Mineralizing Processes; Society of Economic Geologists: Littleton, CO, USA, 1998; Volume 7, pp. 1–35. [Google Scholar]
- Black, L.P.; Kamo, S.L.; Allen, C.M.; Aleinikoff, J.N.; Davis, D.W.; Korsch, R.J.; Foudoulis, C. TEMORA 1: A New Zircon Standard for Phanerozoic U–Pb Geochronology. Chem. Geol. 2003, 200, 155–170. [Google Scholar] [CrossRef]
- Cumming, G.L.; Richards, J.R. Ore Lead Isotope Ratios in a Continuously Changing Earth. Earth Planet. Sci. Lett. 1975, 28, 155–171. [Google Scholar] [CrossRef]
- Ludwig, K.R. User’s Manual for Isoplot 3.00: A Geochronological Toolkit for Microsoft Excel; Ludwig, K.R., Ed.; Berkeley Geochronology Center: Berkeley, CA, USA, 2003. [Google Scholar]
- McLennan, S.M. Chapter 7. Rare Earth Elements in Sedimentary Rocks: Influence of Provenance and Sedimentary Processes. In Geochemistry and Mineralogy of Rare Earth Elements; Lipin, B.R., McKay, G.A., Eds.; De Gruyter: Berlin, Germany, 1989; pp. 169–200. [Google Scholar]
- Bau, M.; Dulski, P. Distribution of Yttrium and Rare-Earth Elements in the Penge and Kuruman Iron-Formations, Transvaal Supergroup, South Africa. Precambrian Res. 1996, 79, 37–55. [Google Scholar] [CrossRef]
- Bolhar, R.; Kamber, B.S.; Moorbath, S.; Fedo, C.M.; Whitehouse, M.J. Characterisation of Early Archaean Chemical Sediments by Trace Element Signatures. Earth Planet. Sci. Lett. 2004, 222, 43–60. [Google Scholar] [CrossRef]
- Li, C.-F.; Chu, Z.-Y.; Guo, J.-H.; Li, Y.-L.; Yang, Y.-H.; Li, X.-H. A Rapid Single Column Separation Scheme for High-Precision Sr–Nd–Pb Isotopic Analysis in Geological Samples Using Thermal Ionization Mass Spectrometry. Anal. Methods 2015, 7, 4793–4802. [Google Scholar] [CrossRef]
- Li, C.-F.; Wang, X.-C.; Guo, J.-H.; Chu, Z.-Y.; Feng, L.-J. Rapid Separation Scheme of Sr, Nd, Pb, and Hf from a Single Rock Digest Using a Tandem Chromatography Column Prior to Isotope Ratio Measurements by Mass Spectrometry. J. Anal. At. Spectrom. 2016, 31, 1150–1159. [Google Scholar] [CrossRef]
- DePaolo, D.J. Neodymium Isotopes in the Colorado Front Range and Crust–Mantle Evolution in the Proterozoic. Nature 1981, 291, 193–196. [Google Scholar] [CrossRef]
- Hoskin, P.W.; Schaltegger, U. The Composition of Zircon and Igneous and Metamorphic Petrogenesis. Rev. Mineral. Geochem. 2003, 53, 27–62. [Google Scholar] [CrossRef]
- Gao, S.; Rudnick, R.L.; Yuan, H.-L.; Liu, X.-M.; Liu, Y.-S.; Xu, W.-L.; Ling, W.-L.; Ayers, J.; Wang, X.-C.; Wang, Q.-H. Recycling Lower Continental Crust in the North China Craton. Nature 2004, 432, 892–897. [Google Scholar] [CrossRef]
- Michard, A.; Michard, G.; Stüben, D.; Stoffers, P.; Cheminée, J.-L.; Binard, N. Submarine Thermal Springs Associated with Young Volcanoes: The Teahitia Vents, Society Islands, Pacific Ocean. Geochim. Cosmochim. Acta 1993, 57, 4977–4986. [Google Scholar] [CrossRef]
- Zhang, J.; Nozaki, Y. Rare Earth Elements and Yttrium in Seawater: ICP-MS Determinations in the East Caroline, Coral Sea, and South Fiji Basins of the Western South Pacific Ocean. Geochim. Cosmochim. Acta 1996, 60, 4631–4644. [Google Scholar] [CrossRef]
- Alibo, D.S.; Nozaki, Y. Rare Earth Elements in Seawater: Particle Association, Shale-Normalization, and Ce Oxidation. Geochim. Cosmochim. Acta 1999, 63, 363–372. [Google Scholar] [CrossRef]
- Bau, M.; Dulski, P. Comparing Yttrium and Rare Earths in Hydrothermal Fluids from the Mid-Atlantic Ridge: Implications for Y and REE Behaviour during near-Vent Mixing and for the Y/Ho Ratio of Proterozoic Seawater. Chem. Geol. 1999, 155, 77–90. [Google Scholar] [CrossRef]
- Li, Y.; Li, Z.; Zhou, J.; Gao, Z.; Gao, Y.; Tong, L.; Liu, J. Division of the Carboniferous Lithostratigraphic Units in Awulale Area, Western Tianshan. Acta Petrol. Sin. 2009, 25, 1332–1340, (In Chinese with English Abstract). [Google Scholar]
- No. 2 Geological Party of Xinjiang Geological and Mineral Resources Survey. Report of the Aktaş Area, Xinyuan County (1:50,000 Scale); No. 2 Geological Party of Xinjiang Geological and Mineral Resources Survey: Changji, China, 2005. [Google Scholar]
- Zhu, Y.; Zhang, L.; Gu, L.; Guo, X.; Zhou, J. The Zircon SHRIMP Chronology and Trace Element Geochemistry of the Carboniferous Volcanic Rocks in Western Tianshan Mountains. Chin. Sci. Bull. 2005, 50, 2201–2212. [Google Scholar] [CrossRef]
- Bai, J.; Li, Z.; Xu, X.; Sun, J.; Niu, Y. Carboniferous Volcanic-Sedimentary Succession and Basin Properties in Ili Area, Western Tianshan, Xinjiang. Geol. Rev. 2015, 61, 195–206, (In Chinese with English Abstract). [Google Scholar]
- Li, X.L.B.; Gong, X.P.; Ma, H.D.; Han, Q.; Song, X.L.; Xie, L.; Feng, J.; Wang, J.S. Geochemical Characteristics and Petrogenic Age of Volcanic Rocks in the Shikebutai Iron Deposit of West Tianshan Mountains. Geol. China 2014, 41, 1791–1804, (In Chinese with English Abstract). [Google Scholar]
- Chen, J. A Study on the Mineralization of Iron Ores in the Shikebutai Iron Deposit in Western Tianshan, China. Master’s Thesis, China University of Geosciences (Beijing), Beijing, China, 2016. [Google Scholar]
- Alexander, B.W.; Bau, M.; Andersson, P.; Dulski, P. Continentally-Derived Solutes in Shallow Archean Seawater: Rare Earth Element and Nd Isotope Evidence in Iron Formation from the 2.9Ga Pongola Supergroup, South Africa. Geochim. Cosmochim. Acta 2008, 72, 378–394. [Google Scholar] [CrossRef]
- Bau, M. Effects of Syn- and Post-Depositional Processes on the Rare-Earth Element Distribution in Precambrian Iron-Formations. Eur. J. Mineral. 1993, 5, 257–268. [Google Scholar] [CrossRef]
- Cox, G.M.; Halverson, G.P.; Minarik, W.G.; Le Heron, D.P.; Macdonald, F.A.; Bellefroid, E.J.; Strauss, J.V. Neoproterozoic Iron Formation: An Evaluation of Its Temporal, Environmental and Tectonic Significance. Chem. Geol. 2013, 362, 232–249. [Google Scholar] [CrossRef]
- Wonder, J.D.; Spry, P.G.; Windom, K.E. Geochemistry and Origin of Manganese-Rich Rocks Related to Iron-Formation and Sulfide Deposits, Western Georgia. Econ. Geol. 1988, 83, 1071–1081. [Google Scholar] [CrossRef]
- Aftabi, A.; Atapour, H.; Mohseni, S.; Babaki, A. Geochemical Discrimination among Different Types of Banded Iron Formations (BIFs): A Comparative Review. Ore Geol. Rev. 2021, 136, 104244. [Google Scholar] [CrossRef]
- Polat, A.; Hofmann, A.W. Alteration and Geochemical Patterns in the 3.7–3.8 Ga Isua Greenstone Belt, West Greenland. Precambrian Res. 2003, 126, 197–218. [Google Scholar] [CrossRef]
- Bolhar, R.; Hofmann, A.; Siahi, M.; Feng, Y.; Delvigne, C. A Trace Element and Pb Isotopic Investigation into the Provenance and Deposition of Stromatolitic Carbonates, Ironstones and Associated Shales of the ∼3.0Ga Pongola Supergroup, Kaapvaal Craton. Geochim. Cosmochim. Acta 2015, 158, 57–78. [Google Scholar] [CrossRef]
- Shimizu, H.; Umemoto, N.; Masuda, A.; Appel, P.W.U. Sources of Iron-Formations in the Archean Isua and Malene Supracrustals, West Greenland: Evidence from La-Ce and Sm-Nd Isotopic Data and REE Abundances. Geochim. Cosmochim. Acta 1990, 54, 1147–1154. [Google Scholar] [CrossRef]
- Bonatti, E.; Honnorez, J.; Kirst, P.; Radicati, F. Metagabbros from the Mid-Atlantic Ridge at 06°N: Contact-Hydrothermal-Dynamic Metamorphism beneath the Axial Valley. J. Geol. 1975, 83, 61–78. [Google Scholar] [CrossRef]
- Klein, C. Some Precambrian Banded Iron-Formations (BIFs) from around the World: Their Age, Geologic Setting, Mineralogy, Metamorphism, Geochemistry, and Origins. Am. Mineral. 2005, 90, 1473–1499. [Google Scholar] [CrossRef]
- Gurvich, E.G. Metalliferous Sediments of the World Ocean: Fundamental Theory of Deep-Sea Hydrothermal Sedimentation; Springer: Berlin/Heidelberg, Germany, 2006. [Google Scholar]
- Sugitani, K. Geochemical Characteristics of Archean Cherts and Other Sedimentary Rocks in the Pilbara Block, Western Australia: Evidence for Archean Seawater Enriched in Hydrothermally-Derived Iron and Silica. Precambrian Res. 1992, 57, 21–47. [Google Scholar] [CrossRef]
- Boström, K. The Origin and Fate of Ferromanganoan Active Ridge Sediments: Stockholm Contributions in Geology. In Pelagic Sediments: On Land and Under the Sea; Wiley: Hoboken, NJ, USA, 1973; Volume 27. [Google Scholar]
- Planavsky, N.; Bekker, A.; Rouxel, O.J.; Kamber, B.; Hofmann, A.; Knudsen, A.; Lyons, T.W. Rare Earth Element and Yttrium Compositions of Archean and Paleoproterozoic Fe Formations Revisited: New Perspectives on the Significance and Mechanisms of Deposition. Geochim. Cosmochim. Acta 2010, 74, 6387–6405. [Google Scholar] [CrossRef]
- Edmonds, H.N.; German, C.R. Particle Geochemistry in the Rainbow Hydrothermal Plume, Mid-Atlantic Ridge1. Geochim. Cosmochim. Acta 2004, 68, 759–772. [Google Scholar] [CrossRef]
- Nozaki, Y.; Zhang, J.; Amakawa, H. The Fractionation between Y and Ho in the Marine Environment. Earth Planet. Sci. Lett. 1997, 148, 329–340. [Google Scholar] [CrossRef]
- German, C.R.; Elderfield, H. Application of the Ce Anomaly as a Paleoredox Indicator: The Ground Rules. Paleoceanography 1990, 5, 823–833. [Google Scholar] [CrossRef]
- Haugaard, R.; Frei, R.; Stendal, H.; Konhauser, K. Petrology and Geochemistry of the ∼2.9 Ga Itilliarsuk Banded Iron Formation and Associated Supracrustal Rocks, West Greenland: Source Characteristics and Depositional Environment. Precambrian Res. 2013, 229, 151–176. [Google Scholar] [CrossRef]
- Wang, C.L.; Wu, H.Y.; Li, W.J.; Peng, Z.D.; Zhang, L.C.; Zhai, M.G. Changes of Ge/Si, REE + Y and SmNd Isotopes in Alternating Fe- and Si-Rich Mesobands Reveal Source Heterogeneity of the ~2.54 Ga Sijiaying Banded Iron Formation in Eastern Hebei, China. Ore Geol. Rev. 2017, 80, 363–376. [Google Scholar] [CrossRef]
- Frei, R.; Polat, A. Source Heterogeneity for the Major Components of ∼ 3.7 Ga Banded Iron Formations (Isua Greenstone Belt, Western Greenland): Tracing the Nature of Interacting Water Masses in BIF Formation. Earth Planet. Sci. Lett. 2007, 253, 266–281. [Google Scholar] [CrossRef]
- Alexander, B.W.; Bau, M.; Andersson, P. Neodymium Isotopes in Archean Seawater and Implications for the Marine Nd Cycle in Earth’s Early Oceans. Earth Planet. Sci. Lett. 2009, 283, 144–155. [Google Scholar] [CrossRef]
- Viehmann, S.; Bau, M.; Hoffmann, J.E.; Münker, C. Geochemistry of the Krivoy Rog Banded Iron Formation, Ukraine, and the Impact of Peak Episodes of Increased Global Magmatic Activity on the Trace Element Composition of Precambrian Seawater. Precambrian Res. 2015, 270, 165–180. [Google Scholar] [CrossRef]
- Li, W.Q.; Beard, B.L.; Johnson, C.M. Biologically Recycled Continental Iron Is a Major Component in Banded Iron Formations. Proc. Natl. Acad. Sci. USA 2015, 112, 8193–8198. [Google Scholar] [CrossRef] [PubMed]
- Viehmann, S.; Hoffmann, J.E.; Münker, C.; Bau, M. Decoupled Hf-Nd Isotopes in Neoarchean Seawater Reveal Weathering of Emerged Continents. Geology 2014, 42, 115–118. [Google Scholar] [CrossRef]
- Peng, Z.; Wang, C.; Tong, X.; Zhang, L.; Zhang, B. Element Geochemistry and Neodymium Isotope Systematics of the Neoarchean Banded Iron Formations in the Qingyuan Greenstone Belt, North China Craton. Ore Geol. Rev. 2018, 102, 562–584. [Google Scholar] [CrossRef]
- Jeandel, C.; Arsouze, T.; Lacan, F.; Téchiné, P.; Dutay, J.-C. Isotopic Nd Compositions and Concentrations of the Lithogenic Inputs into the Ocean: A Compilation, with an Emphasis on the Margins. Chem. Geol. 2007, 239, 156–164. [Google Scholar] [CrossRef]
- Grasse, P.; Stichel, T.; Stumpf, R.; Stramma, L.; Frank, M. The Distribution of Neodymium Isotopes and Concentrations in the Eastern Equatorial Pacific: Water Mass Advection versus Particle Exchange. Earth Planet. Sci. Lett. 2012, 353–354, 198–207. [Google Scholar] [CrossRef]
- Elderfield, H.; Upstill-Goddard, R.; Sholkovitz, E.R. The Rare Earth Elements in Rivers, Estuaries, and Coastal Seas and Their Significance to the Composition of Ocean Waters. Geochim. Cosmochim. Acta 1990, 54, 971–991. [Google Scholar] [CrossRef]
- Lacan, F.; Jeandel, C. Tracing Papua New Guinea Imprint on the Central Equatorial Pacific Ocean Using Neodymium Isotopic Compositions and Rare Earth Element Patterns. Earth Planet. Sci. Lett. 2001, 186, 497–512. [Google Scholar] [CrossRef]
- Tepe, N.; Bau, M. Distribution of Rare Earth Elements and Other High Field Strength Elements in Glacial Meltwaters and Sediments from the Western Greenland Ice Sheet: Evidence for Different Sources of Particles and Nanoparticles. Chem. Geol. 2015, 412, 59–68. [Google Scholar] [CrossRef]
- Barrett, T.J.; Jarvis, I.; Hannington, M.D.; Thirlwall, M.F. Chemical Characteristics of Modern Deep-Sea Metalliferous Sediments in Closed versus Open Basins, with Emphasis on Rare-Earth Elements and Nd Isotopes. Earth-Sci. Rev. 2021, 222, 103801. [Google Scholar] [CrossRef]
- Sherrell, R.M.; Field, M.P.; Ravizza, G. Uptake and Fractionation of Rare Earth Elements on Hydrothermal Plume Particles at 9°45′ N, East Pacific Rise. Geochim. Cosmochim. Acta 1999, 63, 1709–1722. [Google Scholar] [CrossRef]











| Criterion | Precambrian BIFs | Modern Hydrothermal Sediments | This Study | |||
|---|---|---|---|---|---|---|
| Hamersley BIF ~2.47 Ga | Isua BIF ~3.77 Ga | Pongola BIF ~2.9 Ga | Red Sea | East Pacific Rise | Shikebutai Iron Deposit ~315–320 Ma | |
| Australia | Greenland | Africa | Atlantis II Deep | 9–21° N | Tianshan, China | |
| Metallic minerals | Magnetite, hematite, siderite, minor pyrite | Magnetite, hematite, minor pyrite | Magnetite, hematite, siderite | Goethite, Fe–Mn oxyhydroxides, sphalerite, chalcopyrite, galena | Amorphous Fe–Si oxyhydroxides (ferrihydrite), goethite, minor pyrite | Hematite (>85%), minor siderite, barite, trace pyrite |
| Non-metallic minerals | Chert (microcrystalline quartz), stilpnomelane, greenalite | Chert, carbonate (siderite, ankerite), hornblende (metamorphic) | Chert, stilpnomelane, minor carbonate | Fe-montmorillonite (nontronite), anhydrite, amorphous silica | Amorphous silica, nontronite, barite | Quartz (jasper), sericite, chlorite, barite |
| Ore texture/structure | Well-developed mesobanding (cm) and microbanding (mm), laterally continuous over 100 s km | Banded, often complexly deformed (amphibolite facies metamorphism) | Well-banded, laterally continuous, more consistent than Isua | Massive, unconsolidated, very fine-grained; poor crystallinity | Loose, poorly crystalline, rapidly deposited mounds | Massive (dominant) and banded jasper–hematite; banding less continuous and laterally discontinuous |
| TFe2O3 (wt%) | ~50–60 | ~40–65 | ~40–60 | Variable; up to ~60 | ~30–60 | 54.54–98.26 (avg. ~80) |
| SiO2 (wt%) | ~40–50 | ~30–50 | ~40–55 | Low to moderate | Variable | 0.90–19.05 |
| Eu/Eu* (PAAS) | ~1.0–2.0 (slight positive) | 1.5–4.0 (pronounced positive; anoxic ocean + high-T hydrothermal) | 1.0–2.5 | 1.5–5.0 (positive) | 2.0–8.0 (strongly positive near vents) | 1.62–7.12 (avg. 4.14) (strongly positive) |
| Ce/Ce* (PAAS) | ~0.8–1.0 (slight negative, oxygenated water) | ~1.0 (no anomaly; pre-GOE anoxic ocean) | ~0.9–1.0 | ~0.9–1.1 (near-neutral) | ~0.9–1.1 (near-neutral near vent) | <1.05 (no negative anomaly; rapid near-vent precipitation) |
| (La/Yb) (PAAS) | 0.3–0.8 (LREE depleted) | 0.5–1.5 (variable) | 0.3–0.9 | 0.5–3.0 (LREE enriched) | 1.0–5.0 (strongly LREE enriched) | 0.58–4.78 (LREE enriched) |
| Y/Ho ratio | 40–65 (super-chondritic; seawater-like) | 28–45 (intermediate) | 40–60 | 28–38 | 26–35 (near-chondritic) | 26.49–32.61 (avg. 28.5) (near-chondritic) |
| La anomaly (La/La*) (PAAS) | ~1.0–1.5 (slight to moderate) | ~1.0–1.8 | ~1.0–1.5 | Variable | Variable | 1.05–2.56 (positive) |
| εNd(t) | −2 to +2 (seawater-dominated, continental influence) | +1 to +4 (stronger hydrothermal influence) | +1 to +3 | Positive (juvenile oceanic source) | Positive (MORB-like source) | +1.99 to +2.93 (avg. +2.59; strongly positive, arc-derived) |
| References | [11,38,62,64,68] | [39,62,74] | [55,61] | [63,65,67,85] | [45,48,70,71,86] | [24,25]; This study |
Disclaimer/Publisher’s Note: The statements, opinions and data contained in all publications are solely those of the individual author(s) and contributor(s) and not of MDPI and/or the editor(s). MDPI and/or the editor(s) disclaim responsibility for any injury to people or property resulting from any ideas, methods, instructions or products referred to in the content. |
© 2026 by the authors. Licensee MDPI, Basel, Switzerland. This article is an open access article distributed under the terms and conditions of the Creative Commons Attribution (CC BY) license.
Share and Cite
Zhang, X.; Peng, Z.; Dong, Z.; Xie, S.; Su, F.; Zhang, L.; Wang, C. Geochronology and Genesis of the Carboniferous Shikebutai Iron Deposit in Western Tianshan, Northwestern China. Minerals 2026, 16, 398. https://doi.org/10.3390/min16040398
Zhang X, Peng Z, Dong Z, Xie S, Su F, Zhang L, Wang C. Geochronology and Genesis of the Carboniferous Shikebutai Iron Deposit in Western Tianshan, Northwestern China. Minerals. 2026; 16(4):398. https://doi.org/10.3390/min16040398
Chicago/Turabian StyleZhang, Xin, Zidong Peng, Zhiguo Dong, Shangjun Xie, Fusheng Su, Lianchang Zhang, and Changle Wang. 2026. "Geochronology and Genesis of the Carboniferous Shikebutai Iron Deposit in Western Tianshan, Northwestern China" Minerals 16, no. 4: 398. https://doi.org/10.3390/min16040398
APA StyleZhang, X., Peng, Z., Dong, Z., Xie, S., Su, F., Zhang, L., & Wang, C. (2026). Geochronology and Genesis of the Carboniferous Shikebutai Iron Deposit in Western Tianshan, Northwestern China. Minerals, 16(4), 398. https://doi.org/10.3390/min16040398
