Dry Magnetic Separation and the Leaching Behaviour of Aluminium, Iron, Titanium, and Selected Rare Earth Elements (REEs) from Coal Fly Ash
Abstract
1. Introduction
2. Materials and Methods
2.1. Materials
2.2. Analyical Methods
2.2.1. Particle Size Distribution
2.2.2. Chemical Analysis
2.2.3. Morphological Analysis
2.2.4. Phase Composition Analysis
2.3. Experimental Procedure
2.3.1. Dry Magnetic Separation
2.3.2. Leaching Experiments
Direct Acid Leaching
Indirect Acid Leaching
3. Results and Discussion
3.1. Characterisation of Raw CFA
3.1.1. Chemical Composition Analysis of Raw CFA
3.1.2. Phase Composition Analysis of Raw CFA
3.2. Recovery of Fe-Oxide
3.2.1. Effect of Magnetic Field Intensity
3.2.2. Phase Composition and Chemical Analysis
3.3. Pelletisation and Sintering
3.3.1. Phase Composition of Sintered CFA
3.3.2. Chemical Composition of Sintered CFA
3.4. Preliminary H2SO4 Leaching
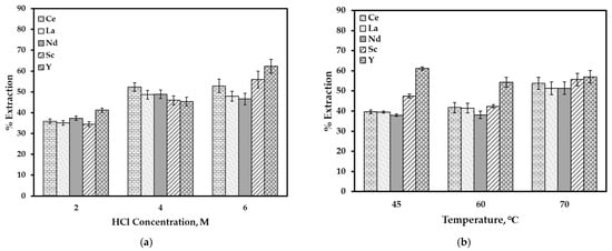
3.4.1. Effect of Leaching Temperature
3.4.2. Effect of Acid Concentration
3.4.3. Effect of HCl Leaching
3.4.4. Comparison of the Sinter-HCl and Sinter-H2SO4 Leaching
4. Conclusions
Supplementary Materials
Author Contributions
Funding
Data Availability Statement
Acknowledgments
Conflicts of Interest
References
- Mioche, P. A History of Aluminium in South Africa. Cah. D’histoire De L’aluminium 2019, 60–89. [Google Scholar] [CrossRef]
- South32 Annual Report 2024. Available online: https://www.south32.net/docs/default-source/exchange-releases/annual-report-2024-0x3a746a0c1a77ea64.pdf?sfvrsn=54e343e9_0 (accessed on 7 December 2024).
- Yao, Z.; Xia, M.; Sarker, P.; Chen, T. A Review of the Alumina Recovery from Coal Fly Ash, with a Focus in China. Fuel 2014, 120, 74–85. [Google Scholar] [CrossRef]
- Sibanda, V.; Ndlovu, S.; Dombo, G.; Shemi, A.; Rampou, M. Towards the Utilization of Fly Ash as a Feedstock for Smelter Grade Alumina Production: A Review of the Developments. J. Sustain. Metall. 2016, 2, 167–184. [Google Scholar] [CrossRef]
- Valeev, D.; Bobylev, P.; Osokin, N.; Zolotova, I.; Rodionov, I.; Salazar-Concha, C.; Verichev, K. A Review of the Alumina Production from Coal Fly Ash, with a Focus in Russia. J. Clean. Prod. 2022, 363, 132360. [Google Scholar] [CrossRef]
- Matjie, R.; Bunt, J.; Van Heerden, J. Extraction of Alumina from Coal Fly Ash Generated from a Selected Low Rank Bituminous South African Coal. Miner. Eng. 2005, 18, 299–310. [Google Scholar] [CrossRef]
- Shemi, A.; Ndlovu, S.; Sibanda, V.; Van Dyk, L. Extraction of Alumina from Coal Fly Ash Using an Acid Leach-Sinter-Acid Leach Technique. Hydrometallurgy 2015, 157, 348–355. [Google Scholar] [CrossRef]
- Rampou, M.; Ndlovu, S.; Shemi, A. Purification of Coal Fly Ash Leach Liquor for Alumina Recovery Using an Integrated Precipitation and Solvent Extraction Process. J. Sustain. Metall. 2017, 3, 782–792. [Google Scholar] [CrossRef]
- Rerani, V.; Wagner, N.; Mabowa, H. Characterisation of Rare Earth Element-Bearing Mineral Phases Present in South African Coal Ash Using Mineral Liberation Analysis. Fuel 2024, 368, 131661. [Google Scholar] [CrossRef]
- Cornelius, M.-L.U.; Ameh, A.E.; Eze, C.P.; Fatoba, O.; Sartbaeva, A.; Petrik, L.F. The Behaviour of Rare Earth Elements from South African Coal Fly Ash during Enrichment Processes: Wet, Magnetic Separation and Zeolitisation. Minerals 2021, 11, 950. [Google Scholar] [CrossRef]
- Sedres, G. Recovery of SiO2 and Al2O3 from Coal Fly Ash. Master’s Dissertation, Department of Chemistry, University of the Western Cape, Cape Town, South Africa, 2016. [Google Scholar]
- Cordier, D.J. Mineral Commodity Summaries 2024. U.S. Geological Survey, 2024. Available online: https://pubs.usgs.gov/periodicals/mcs2024/mcs2024.pdf (accessed on 1 November 2024).
- Gupta, C.K.; Krishnamurthy, N. Extractive Metallurgy of Rare Earths; CRC Press: New York, NY, USA, 2005. [Google Scholar]
- Xia, C. A review on iron separation in rare earths hydrometallurgy using precipitation and solvent extractions method. In Proceedings of the 52nd Conference of Metallurgists (COM 2013), Canadian Institute of Mining, Metallurgy and Petroleum, Montreal, QC, Canada, 27–31 October 2013; pp. 255–275. [Google Scholar]
- Kashiwakura, S.; Kumagai, Y.; Kubo, H.; Wagatsuma, K. Dissolution of Rare Earth Elements from Coal Fly Ash Particles in a Dilute H2SO4 Solvent. Open J. Phys. Chem. 2013, 3, 69–75. [Google Scholar] [CrossRef]
- Yahorava, V.; Bazhko, V.; Freeman, M. Viability of phosphogypsum as a secondary resource of rare earth elements. In Proceedings of the XXVIII International Mineral Processing Congress Proceeding, Quebec City, QC, Canada, 11–15 September 2016; Canadian Institute of Mining Metallurgy & Petroleum (CIM): Westmount, QC, Canada, 2016; pp. 1–16. [Google Scholar]
- Ariuntuya, B. Recovery of Rare Earth Elements from Apatite Ores by Hydrometallurgical Process. Ph.D. Thesis, Graduate School of Engineering and Resource Science, Akita University, Akita, Japan, 2018. [Google Scholar]
- Cao, S.; Zhou, C.; Pan, J.; Liu, C.; Tang, M.; Ji, W.; Hu, T.; Zhang, N. Study on Influence Factors of Leaching of Rare Earth Elements from Coal Fly Ash. Energ Fuel. 2018, 32, 8000–8005. [Google Scholar] [CrossRef]
- Wen, Z.; Zhou, C.; Pan, J.; Cao, S.; Hu, T.; Ji, W.; Nie, T. Recovery of rare-earth elements from coal fly ash via enhanced leaching. Int. J. Coal Prep. Util. 2022, 42, 2041–2055. [Google Scholar] [CrossRef]
- Shoumkova, A.S. Magnetic Separation of Coal Fly Ash from Bulgarian Power Plants. Waste Manag. Res. 2011, 29, 1078–1089. [Google Scholar] [CrossRef]
- Valeev, D.; Kunilova, I.; Alpatov, A.; Varnavskaya, A.; Ju, D. Magnetite and Carbon Extraction from Coal Fly Ash Using Magnetic Separation and Flotation Methods. Minerals 2019, 9, 320. [Google Scholar] [CrossRef]
- Rosita, W.; Bendiyasa, I.M.; Perdana, I.; Anggara, F. Sequential Particle-Size and Magnetic Separation for Enrichment of Rare-Earth Elements and Yttrium in Indonesia Coal Fly Ash. J. Environ. Chem. Eng. 2020, 8, 103575. [Google Scholar] [CrossRef]
- Rybak, A.; Rybak, A. Characteristics of Some Selected Methods of Rare Earth Elements Recovery from Coal Fly Ashes. Metals 2021, 11, 142. [Google Scholar] [CrossRef]
- Vilakazi, A.Q.; Ndlovu, S.; Chipise, L. Seeded Iron Recovery from Coal Fly Ash Leach Liquor to Prepare PolyFerric Sulphate Coagulant. In Proceedings of the 14th International Conference on Process Hydrometallurgy, Hydroprocess 2023, Santiago, Chile, 7–9 November 2023. [Google Scholar]
- Apua, M.C.; Nkazi, B.D. Leaching of coal fly ash with sulphuric acid for synthesis of wastewater treatment composite coagulant. Can. Metall. Q 2022, 61, 309–331. [Google Scholar] [CrossRef]
- Ghorbani, Y.; Becker, M.; Mainza, A.; Franzidis, J.P.; Petersen, J. Large particle effects in chemical/biochemical heap leach processes-A review. Miner. Eng. 2011, 24, 1172–1184. [Google Scholar] [CrossRef]
- UIS Analytical Services. Available online: https://www.uis-as.co.za/ (accessed on 21 January 2025).
- Choudhary, A.K.S.; Kumar, S.; Maity, S. A Review on Mineralogical Speciation, Global Occurrence and Distribution of Rare Earths and Yttrium (REY) in Coal Ash. J. Earth Syst. Sci. 2022, 131, 188. [Google Scholar] [CrossRef]
- Ndlovu, N.Z.; Ameh, A.E.; Petrik, L.F.; Ojumu, T.V. Synthesis and Characterisation of Pure Phase ZSM-5 and Sodalite Zeolites from Coal Fly Ash. Mater. Today Commun. 2023, 34, 105436. [Google Scholar] [CrossRef]
- Dai, S.; Zhao, L.; Hower, J.C.; Johnston, M.N.; Song, W.; Wang, P.; Zhang, S. Petrology, Mineralogy, and Chemistry of Size-Fractioned Fly Ash from the Jungar Power Plant, Inner Mongolia, China, with Emphasis on the Distribution of Rare Earth Elements. Energ Fuel. 2014, 28, 1502–1514. [Google Scholar] [CrossRef]
- Li, J.; Zhuang, X.; Querol, X.; Font, O.; Moreno, N. A Review on the Applications of Coal Combustion Products in China. Int. Geol. Rev. 2018, 60, 671–716. [Google Scholar] [CrossRef]
- Strzałkowska, E. Morphology, Chemical and Mineralogical Composition of Magnetic Fraction of Coal Fly Ash. Int. J. Coal Geol. 2021, 240, 103746. [Google Scholar] [CrossRef]
- Yang, C.; Zhang, J.; Hou, X.; Li, S.; Li, H.; Zhu, G.; Qi, F. Study on the Correlation between Fe/Ti Forms and Reaction Activity in High-Alumina Coal Fly Ash. Sci. Total Environ. 2021, 792, 148419. [Google Scholar] [CrossRef] [PubMed]
- Dai, S.; Zhao, L.; Peng, S.; Chou, C.-L.; Wang, X.; Zhang, Y.; Li, D.; Sun, Y. Abundances and Distribution of Minerals and Elements in High-Alumina Coal Fly Ash from the Jungar Power Plant, Inner Mongolia, China. Int. J. Coal Geol. 2010, 81, 320–332. [Google Scholar] [CrossRef]
- Palozzi, J.; Bailey, J.; Tran, Q.; Stanger, R.A. Characterization of Rare Earth Elements in Coal Ash Generated during the Utilization of Australian Coals. Int. J. Coal Prep. Util. 2023, 43, 2106–2135. [Google Scholar] [CrossRef]
- Liu, P.; Huang, R.; Tang, Y. Comprehensive Understandings of Rare Earth Element (REE) Speciation in Coal Fly Ashes and Implication for REE Extractability. Environ. Sci. Technol. 2019, 53, 5369–5377. [Google Scholar] [CrossRef] [PubMed]
- Abaka-Wood, G.B.; Zanin, M.; Addai-Mensah, J.; Skinner, W. Recovery of rare earth elements minerals from iron oxide–silicate rich tailings–Part 1: Magnetic separation. Miner. Eng. 2019, 136, 50–61. [Google Scholar] [CrossRef]
- Moghiseh, M.; Pourrahim, M.; Rezai, B.; Gharabaghi, M. Concentration and recycling of rare earth elements (REEs) from iron mine waste using a combination of physical separation methods. J. Min. Environ. 2016, 7, 195–203. [Google Scholar]
- Pan, J.; Nie, T.; Hassas, B.V.; Rezaee, M.; Wen, Z.; Zhou, C. Recovery of Rare Earth Elements from Coal Fly Ash by Integrated Physical Separation and Acid Leaching. Chemosphere 2020, 248, 126112. [Google Scholar] [CrossRef]
- Li, C.; Zhou, C.; Li, W.; Zhu, W.; Shi, J.; Liu, G. Enrichment of Critical Elements from Coal Fly Ash by the Combination of Physical Separations. Fuel 2023, 336, 127156. [Google Scholar] [CrossRef]
- Tang, M.; Zhou, C.; Pan, J.; Zhang, N.; Liu, C.; Cao, S.; Hu, T.; Ji, W. Study on Extraction of Rare Earth Elements from Coal Fly Ash through Alkali Fusion-Acid Leaching. Miner. Eng. 2019, 136, 36–42. [Google Scholar] [CrossRef]
- Trinh, H.B.; Kim, S.; Lee, J. Recovery of rare earth elements from coal fly ash using enrichment by sodium hydroxide leaching and dissolution by hydrochloric acid. Geosystem Eng. 2022, 25, 53–62. [Google Scholar] [CrossRef]
- Wu, W.Y.; Xue, B.; Wu, Z.-Y.; Sun, S.C.; Tu, G.F. Reaction Process of Monazite and Bastnaesite Mixed Rare Earth Minerals Calcined by CaO-NaCl-CaCl2. Trans. Nonferrous Met. Soc. China 2007, 17, 864–868. [Google Scholar] [CrossRef]
- Manhique, A.; Kwela, Z.; Focke, W.W. De Wet Process for the Beneficiation of Zircon: Optimization of the Alkali Fusion Step. Ind. Eng. Chem. Res. 2003, 42, 777–783. [Google Scholar] [CrossRef]
- Harrar, H.; Eterigho-Ikelegbe, O.; Modiga, A.; Bada, S. Mineralogy and distribution of rare earth elements in the Waterberg coalfield high ash coals. Miner. Eng. 2022, 183, 107611. [Google Scholar] [CrossRef]
- Dai, S.; Jiang, Y.; Ward, C.R.; Gu, L.; Seredin, V.V.; Liu, H.; Zhou, D.; Wang, X.; Sun, Y.; Zou, J.; et al. Mineralogical and geochemical compositions of the coal in the Guanbanwusu Mine, Inner Mongolia, China: Further evidence for the existence of an Al (Ga and REE) ore deposit in the Jungar Coalfield. Int. J. Coal Geol. 2012, 98, 10–40. [Google Scholar] [CrossRef]
- Apua, M.C. Development of leaching predictive models for elements extraction from coal fly ash in sulphuric acid solution: Application of eureqa newtonian software. J. Chem. Technol. Metall. 2023, 58, 187–199. [Google Scholar]
- Kul, M.; Topkaya, Y.; Karakaya, İ. Rare Earth Double Sulfates from Pre-Concentrated Bastnasite. Hydrometallurgy 2008, 93, 129–135. [Google Scholar] [CrossRef]
- Stopic Srecko, R. Leaching of Rare Earth Elements with Sulfuric Acid from Bastnasite Ores. Vojnoteh. Glas. 2018, 66, 757–770. [Google Scholar] [CrossRef]
- Nayak, N.; Panda, C.R. Aluminium Extraction and Leaching Characteristics of Talcher Thermal Power Station Fly Ash with Sulphuric Acid. Fuel 2010, 89, 53–58. [Google Scholar] [CrossRef]
- Perämäki, S. Method Development for Determination and Recovery of Rare Earth Elements from Industrial Fly Ash. Ph.D. Thesis, Department of Chemistry, University of Jyväskylä, Jyväskylä, Finland, 2014. [Google Scholar]
- Peiravi, M.; Ackah, L.; Guru, R.; Mohanty, M.; Liu, J.; Xu, B.; Zhu, X.; Chen, L. Chemical Extraction of Rare Earth Elements from Coal Ash. Miner. Metall. Proc. 2017, 34, 170–177. [Google Scholar] [CrossRef]
- Chi, R.; Tian, J.; Zhu, G.; Wu, Y.; Li, S.; Wang, C.; Zhou, Z. Kinetics of Rare Earth Leaching from a Manganese-removed Weathered Rare-earth Mud in Hydrochloric Acid Solutions. Sep. Sci. Technol. 2006, 41, 1099–1113. [Google Scholar] [CrossRef]
- Binnemans, K.; Jones, P.T.; Blanpain, B.; Van Gerven, T.; Pontikes, Y. Towards Zero-Waste Valorisation of Rare-Earth-Containing Industrial Process Residues: A Critical Review. J. Clean. Prod. 2015, 99, 17–38. [Google Scholar] [CrossRef]
- Marin Rivera, R. Innovative Technologies for Rare Earth Element Recovery from Bauxite Residue. Ph.D. Thesis, Department of Chemical Engineering, Katholieke Universiteit Leuven, Leuven, Belgium, 2019. [Google Scholar]
- Wang, Z.; Dai, S.; Zou, J.; French, D.; Graham, I.T. Rare Earth Elements and Yttrium in Coal Ash from the Luzhou Power Plant in Sichuan, Southwest China: Concentration, Characterization and Optimized Extraction. Int. J. Coal Geol. 2019, 203, 1–14. [Google Scholar] [CrossRef]
- Shemi, A. Extraction of Aluminium from Coal Fly Ash Using a Two-Step Acid Leach Process. Master’s Dissertation, School of Chemical and Metallurgical Engineering, University of the Witwatersrand, Johannesburg, South Africa, 2013. [Google Scholar]
- Battsengel, A.; Batnasan, A.; Narankhuu, A.; Haga, K.; Watanabe, Y.; Shibayama, A. Recovery of light and heavy rare earth elements from apatite ore using sulphuric acid leaching, solvent extraction and precipitation. Hydrometallurgy 2018, 179, 100–109. [Google Scholar] [CrossRef]
- Hiskey, J.B.; Copp, R.G. Solvent extraction of yttrium and rare earth elements from copper pregnant leach solutions using Primene JM-T. Miner. Eng. 2018, 125, 265–270. [Google Scholar] [CrossRef]















| Analyte | Raw CFA | * RSD |
|---|---|---|
| SiO2 | 56.32 | 0.07 |
| Al2O3 | 28.82 | 0.02 |
| CaO | 5.85 | 0.04 |
| FeO | 0.23 | 0.02 |
| Fe2O3 | 4.11 | 0.01 |
| TiO2 | 1.70 | 0.01 |
| MgO | 1.53 | 0.03 |
| MnO | 0.06 | 0.0. |
| Na2O | 0.26 | 0.01 |
| K2O | 0.84 | 0.01 |
| P2O5 | 0.60 | 0.02 |
| Carbon | 2.30 | 0.06 |
| Sulphur | 0.16 | 0.02 |
| Sc | 25.7 | 0.04 |
| Y | 49.3 | 0.21 |
| La | 92 | 0.05 |
| Ce | 99.07 | 0.04 |
| Pr | 26.2 | 0.52 |
| Nd | 52.8 | 0.04 |
| Sm | 14.2 | 0.00 |
| Eu | 3.01 | 0.78 |
| Gd | 9.82 | 0.00 |
| Tb | 2.74 | 0.02 |
| Dy | 13.3 | 0.01 |
| Ho | 3.14 | 0.01 |
| Er | 4.78 | 0.01 |
| Tm | 1.31 | 0.01 |
| Yb | 5.64 | 0.08 |
| Lu | 1.53 | 0.02 |
| ΣLREEs | 297.1 | -- |
| ΣHREEs | 81.74 | -- |
| ΣREEs | 404.54 | -- |
| Phase Composition | Chemical Formulae | Concentration, wt.% | |
|---|---|---|---|
| Phase | Al2O3 | ||
| Mullite | Al6Si2O13 | 28.9 | 60.04 |
| Quartz | SiO2 | 12.0 | -- |
| Magnetite | Fe3O4 | 1.5 | -- |
| Hematite | Fe2O3 | 0.3 | -- |
| Amorphous | -- | 57.3 | 39.96 |
| Analyte | Non-MF | * RSD | EF | CFA-MF | * RSD | EF |
|---|---|---|---|---|---|---|
| SiO2 | 54.9 | 2.01 | 0.97 | 33.0 | 1.32 | 0.59 |
| Al2O3 | 29.2 | 2.15 | 1.01 | 19.1 | 1.68 | 0.66 |
| CaO | 5.44 | 1.24 | 0.93 | 2.9 | 1.02 | 0.50 |
| FeO | 0.022 | 0.23 | 0.097 | 0.20 | 0.22 | 0.87 |
| Fe2O3 | 1.73 | 1.01 | 0.42 | 36.4 | 0.32 | 8.86 |
| TiO2 | 1.59 | 0.07 | 0.94 | 1.4 | 0.05 | 0.82 |
| MgO | 1.64 | 0.39 | 1.07 | 0.9 | 0.40 | 0.59 |
| MnO | 0.035 | 0.00 | 0.58 | 0.038 | 0.00 | 0.64 |
| Na2O | 0.18 | 0.04 | 0.69 | 0.26 | 0.06 | 1 |
| K2O | 0.76 | 0.05 | 0.90 | 0.60 | 0.05 | 0,71 |
| P2O5 | 0.76 | 0.14 | 1.27 | -- | 0.12 | -- |
| Sc | 31.4 | 1.18 | 1.22 | 14.2 | 0.92 | 0.55 |
| Y | 65.9 | 1.04 | 1.34 | 28.6 | 0.03 | 0.58 |
| La | 82.1 | 0.11 | 0.89 | 35.3 | 0.21 | 0.38 |
| Ce | 155.1 | 0.41 | 1.57 | 66.7 | 0.62 | 0.67 |
| Pr | 22.2 | 0.03 | 0.85 | 9.6 | 2.50 | 0.37 |
| Nd | 76.7 | 0.00 | 1.45 | 33.4 | 2.12 | 0.63 |
| Sm | 15.8 | 0.04 | 1.11 | 7.0 | 1.91 | 0.49 |
| Eu | 2.8 | 0.01 | 0.93 | 1.2 | 1.02 | 0.40 |
| Gd | 12.0 | 0.03 | 1.22 | 5.2 | 2.46 | 0.53 |
| Tb | 1.9 | 0.76 | 0.69 | <1 | -- | -- |
| Dy | 13.8 | 0.11 | 1.04 | 6.1 | 1.19 | 0.46 |
| Ho | 2.3 | 0.01 | 0.73 | 1.0 | 0.88 | 0.32 |
| Er | 7.6 | 0.03 | 1.59 | 3.4 | 2.11 | 0.71 |
| Tm | 1.2 | 1.92 | 0.92 | <1 | -- | -- |
| Yb | 6.7 | 0.00 | 1.19 | 3.0 | 2.23 | 0.53 |
| Lu | <1 | -- | -- | <1 | -- | -- |
| ΣLREEs | 354.7 | -- | -- | 153.2 | -- | -- |
| ΣHREEs | 111.4 | -- | -- | 47.3 | -- | -- |
| ΣREEs | 497.5 | -- | -- | 241.7 | -- | -- |
| Phase Composition | Chemical Formulae | Phase Composition, wt% | |||
|---|---|---|---|---|---|
| Raw CFA | Sintered CFA | ||||
| -- | 4:4:2 | 5:4:1 | 5:3:2 | ||
| Mullite | Al6Si2O13 | 29.2 | 0.2 | 6.5 | -- |
| Anorthite | CaAl6Si2O14 | -- | 56.9 | 48.7 | 53.2 |
| Quartz | SiO2 | 14.7 | 3.1 | 5.5 | 2.4 |
| Calcite | CaCO3 | -- | 0.6 | 0.0 | 0.1 |
| Amorphous | -- | 54.7 | 33.5 | 35.5 | 37.2 |
| Analyte | Coal | * RSD | Sintered-CFA | * RSD |
|---|---|---|---|---|
| SiO2 | 14.3 | 0.01 | 42.33 | 0.14 |
| Al2O3 | 1.4 | 0.05 | 22.06 | 0.07 |
| CaO | 1.1 | 0.02 | 19.46 | 0.06 |
| FeO | -- | -- | 4.8 | 0.05 |
| Fe2O3 | 0.4 | 0.27 | 1.20 | 0.07 |
| TiO2 | -- | -- | 1.16 | 0.01 |
| MgO | 0.3 | 0.00 | 0.33 | 0.03 |
| MnO | 0.0 | 0.00 | 0.25 | 0.00 |
| Na2O | 3.4 | 0.01 | 0.33 | 0.00 |
| K2O | 0.1 | 0.00 | 0.81 | 0.01 |
| P2O5 | -- | -- | 0.63 | 0.01 |
| Sc | 6.46 | 0.44 | 36.5 | 0.31 |
| Y | 21.2 | 0.11 | 88.8 | 0.10 |
| La | 20.1 | 0.57 | 149 | 0.03 |
| Ce | 32.7 | 0.21 | 103 | 0.02 |
| Pr | 4.13 | 0.33 | 24.2 | 0.10 |
| Nd | 15.6 | 0.11 | 51.3 | 0.03 |
| Sm | 2.91 | 0.21 | 14.8 | 0.84 |
| Eu | 0.6 | 1.50 | 2.86 | 0.01 |
| Gd | 2.1 | 0.12 | 9.97 | 0.08 |
| Tb | 0.59 | 1.20 | 2.71 | 0.01 |
| Dy | 3.8 | 0.13 | 12.8 | 0.09 |
| Ho | 0.79 | 0.03 | 2.99 | 0.02 |
| Er | 1.26 | 0.05 | 4.54 | 0.07 |
| Tm | 0.37 | 0.71 | 1.21 | 0.01 |
| Yb | 1.57 | 0.51 | 5.37 | 0.07 |
| Lu | 0.45 | 0.07 | 1.29 | 0.01 |
| (U) | 2.56 | 0.31 | 10.9 | 0.01 |
| (Th) | 6.8 | 0.12 | 37.2 | 0.08 |
| ΣLREEs | 78.14 | -- | 455.13 | -- |
| ΣHREEs | 30.03 | -- | 119.71 | -- |
| ΣREEs | 114.63 | -- | 611.34 | -- |
Disclaimer/Publisher’s Note: The statements, opinions and data contained in all publications are solely those of the individual author(s) and contributor(s) and not of MDPI and/or the editor(s). MDPI and/or the editor(s) disclaim responsibility for any injury to people or property resulting from any ideas, methods, instructions or products referred to in the content. |
© 2025 by the authors. Licensee MDPI, Basel, Switzerland. This article is an open access article distributed under the terms and conditions of the Creative Commons Attribution (CC BY) license (https://creativecommons.org/licenses/by/4.0/).
Share and Cite
Vilakazi, A.Q.; Shemi, A.; Ndlovu, S. Dry Magnetic Separation and the Leaching Behaviour of Aluminium, Iron, Titanium, and Selected Rare Earth Elements (REEs) from Coal Fly Ash. Minerals 2025, 15, 119. https://doi.org/10.3390/min15020119
Vilakazi AQ, Shemi A, Ndlovu S. Dry Magnetic Separation and the Leaching Behaviour of Aluminium, Iron, Titanium, and Selected Rare Earth Elements (REEs) from Coal Fly Ash. Minerals. 2025; 15(2):119. https://doi.org/10.3390/min15020119
Chicago/Turabian StyleVilakazi, Amanda Qinisile, Alan Shemi, and Sehliselo Ndlovu. 2025. "Dry Magnetic Separation and the Leaching Behaviour of Aluminium, Iron, Titanium, and Selected Rare Earth Elements (REEs) from Coal Fly Ash" Minerals 15, no. 2: 119. https://doi.org/10.3390/min15020119
APA StyleVilakazi, A. Q., Shemi, A., & Ndlovu, S. (2025). Dry Magnetic Separation and the Leaching Behaviour of Aluminium, Iron, Titanium, and Selected Rare Earth Elements (REEs) from Coal Fly Ash. Minerals, 15(2), 119. https://doi.org/10.3390/min15020119

