Molecular Dynamic Simulation of the Interaction of a Deep Eutectic Solvent Based on Tetraethylammonium Bromide with La3+ in Acidic Media
Abstract
1. Introduction
2. Materials and Methods
2.1. Synthesis of the Deep Eutectic Solvent (DES)
2.2. Molecular Dynamics Simulation
3. Results and Discussion
3.1. Effect of DES Temperature on Lanthanum Extraction
3.2. Density
3.3. Interaction among the Components of the DES
3.4. Interaction among the Components of the Aqueous Solution
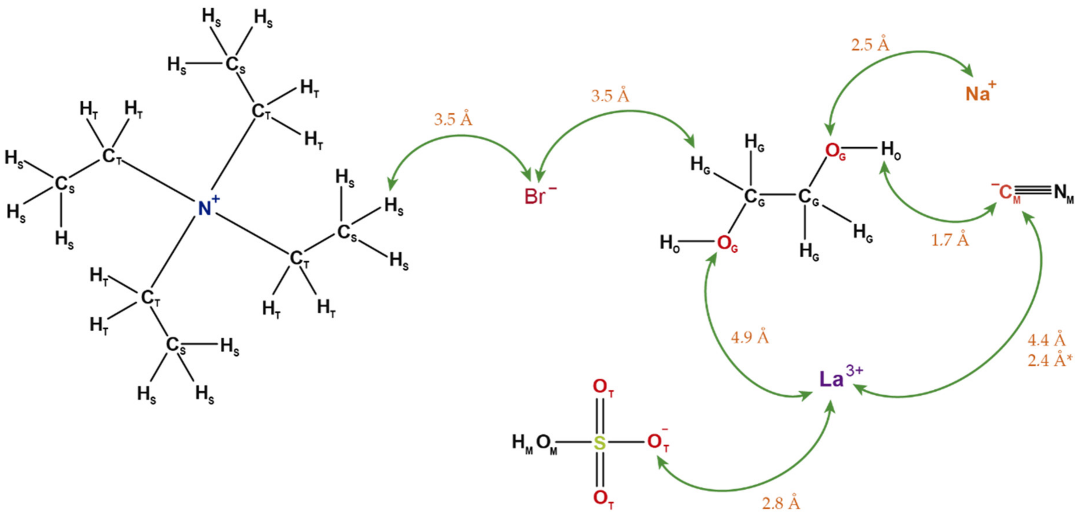
3.5. Interactions between La3+ and the DES
4. Conclusions
Author Contributions
Funding
Data Availability Statement
Conflicts of Interest
Correction Statement
References
- Suli, L.M.; Ibrahim, W.H.W.; Aziz, B.A.; Deraman, M.R.; Ismail, N.A. A Review of Rare Earth Mineral Processing Technology. Chem. Eng. Res. Bull. 2017, 19, 20–35. [Google Scholar] [CrossRef]
- Zglinicki, K.; Małek, R.; Szamałek, K.; Wołkowicz, S. Mining Waste as a Potential Additional Source of HREE and U for the European Green Deal: A Case Study of Bangka Island (Indonesia). Minerals 2022, 12, 44. [Google Scholar] [CrossRef]
- Echeverry-Vargas, L.; Rojas-Reyes, N.R.; Ocampo-Carmona, L.M. Recovery of light rare earth elements, cerium, lanthanum, and neodymium from alluvial gold mining waste from the Bagre-Nechí mining district in Colombia using acid leaching, oxalate precipitation and calcination. Hydrometallurgy 2023, 216, 106009. [Google Scholar] [CrossRef]
- Gupta, C.K.; Krishnamurthy, N. Extractive metallurgy of rare earths. Int. Mater. Rev. 1992, 37, 197–248. [Google Scholar] [CrossRef]
- Kanazawa, Y.; Kamitani, M. Rare earth minerals and resources in the world. J. Alloys Compd. 2006, 408–412, 1339–1343. [Google Scholar] [CrossRef]
- Jordens, A.; Cheng, Y.P.; Waters, K.E. A review of the beneficiation of rare earth element bearing minerals. Min. Eng. 2013, 41, 97–114. [Google Scholar] [CrossRef]
- Silva, R.G.; Morais, C.A.; Oliveira, E.D.; Soares, W.D.; Chaves, L.C.; Reis, H.L. Processing of sulfuric liquor to obtain rare earth concentrates and selective cerium removal by thermal oxidation. In Proceedings of the XXVIII National Meeting on Ore Treatment and Extractive Metallurgy Belo Horizonte-MG, Belo Horizonte, Brazil, 4–8 November 2019. [Google Scholar]
- Depraiter, L.; Goutte, S. The role and challenges of rare earths in the energy transition. Resour. Policy 2023, 86, 104137. [Google Scholar] [CrossRef]
- Martins, T.S.; Isolani, P.C. Terras raras: Aplicações industriais e biológicas. Quim. Nova 2005, 28, 111–117. [Google Scholar] [CrossRef]
- Karan, R.; Sreenivas, T. Recovery of Rare Earth Values from Micro-granite Type Hard Rocks Using Deep Eutectic Solvents. Trans. Indian Inst. Metals 2023. [Google Scholar] [CrossRef]
- Entezari-Zarandi, A.; Larachi, F. Selective dissolution of rare-earth element carbonates in deep eutectic solvents. J. Rare Earths 2019, 37, 528–533. [Google Scholar] [CrossRef]
- Echeverry-Vargas, L.; Ocampo-Carmona, L.M. Recovery of Rare Earth Elements from Mining Tailings: A Case Study for Generating Wealth from Waste. Minerals 2022, 12, 948. [Google Scholar] [CrossRef]
- Micheau, C.; Ueda, Y.; Akutsu-Suyama, K.; Bourgeois, D.; Motokawa, R. Deuterated Malonamide Synthesis for Fundamental Research on Solvent Extraction Systems. Solvent Extr. Ion Exch. 2023, 41, 221–240. [Google Scholar] [CrossRef]
- Billard, I. Are molecular solvents, aqueous biphasic systems and deep eutectic solvents meaningful categories for liquidliquid extraction? Comptes Rendus. Chim. 2022, 25, 67–81. [Google Scholar] [CrossRef]
- Smith, E.L.; Abbott, A.P.; Ryder, K.S. Deep Eutectic Solvents (DESs) and Their Applications. Chem. Rev. 2014, 114, 11060–11082. [Google Scholar] [CrossRef] [PubMed]
- Abbott, A.P.; Capper, G.; Davies, D.L.; Rasheed, R.K.; Tambyrajah, V. Novel solvent properties of choline chloride/urea mixtures. Chem. Commun. 2003, 1, 70–71. [Google Scholar] [CrossRef]
- Leroy, E.; Jacquet, P.; Coativy, G.; Reguerre, A.L.; Lourdin, D. Compatibilization of starch–zein melt processed blends by an ionic liquid used as plasticizer. Carbohydr. Polym. 2012, 89, 955–963. [Google Scholar] [CrossRef]
- Singh, M.B.; Kumar, V.S.; Chaudhary, M.; Singh, P. A mini review on synthesis, properties and applications of deep eutectic solvents. J. Indian Chem. Soc. 2021, 98, 100210. [Google Scholar] [CrossRef]
- Jenkin, G.R.; Al-Bassam, A.Z.; Harris, R.C.; Abbott, A.P.; Smith, D.J.; Holwell, D.A.; Chapman, R.J.; Stanley, C.J. The application of deep eutectic solvent ionic liquids for environmentally-friendly dissolution and recovery of precious metals. Min. Eng. 2016, 87, 18–24. [Google Scholar] [CrossRef]
- Abbott, A.P.; Harris, R.C.; Holyoak, F.; Frisch, G.; Hartley, J.; Jenkin, G.R.T. Electrocatalytic recovery of elements from complex mixtures using deep eutectic solvents. Green Chem. 2015, 17, 2172–2179. [Google Scholar] [CrossRef]
- Hansen, B.B.; Spittle, S.; Chen, B.; Poe, D.; Zhang, Y.; Klein, J.M.; Horton, A.; Adhikari, L.; Zelovich, T.; Doherty, B.W.; et al. Deep Eutectic Solvents: A Review of Fundamentals and Applications. Chem. Rev. 2020, 121, 1232–1285. [Google Scholar] [CrossRef]
- Singh, M.B.; Prajapat, A.; Jain, P.; Singh, P.; Bahadur, I.; Kaushik, N.K.; Kaushik, N.; Kumari, K. Investigate the ability of deep eutectic solvent (ChCl-glycerol) to sense the sulphur dioxide using density functional theory calculations and molecular dynamics simulations. J. Mol. Liq. 2023, 388, 122720. [Google Scholar] [CrossRef]
- Bonab, P.J.; Esrafili, M.D.; Ebrahimzadeh, A.R.; Sardroodi, J.J. Molecular dynamics simulations of choline chloride and phenyl propionic acid deep eutectic solvents: Investigation of structural and dynamics properties. J. Mol. Graph. Model. 2021, 106, 107908. [Google Scholar] [CrossRef]
- Jindal, A.; Vasudevan, S. Ethylene Glycol Dihedral Angle Dynamics: Relating Molecular Conformation to the Raman Spectrum of the Liquid. J. Phys. Chem. B 2021, 125, 1888–1895. [Google Scholar] [CrossRef] [PubMed]
- Doherty, B.; Acevedo, O. OPLS Force Field for Choline Chloride-Based Deep Eutectic Solvents. J. Phys. Chem. B 2018, 122, 9982–9993. [Google Scholar] [CrossRef]
- Mainberger, S.; Kindlein, M.; Bezold, F.; Elts, E.; Minceva, M.; Briesen, H. Deep eutectic solvent formation: A structural view using molecular dynamics simulations with classical force fields. Mol. Phys. 2017, 115, 1309–1321. [Google Scholar] [CrossRef]
- Echeverry Vargas, L.D.J. Extracción de Elementos de Tierras Raras a Partir de Monacita Mediante Solventes Eutécticos Profundos y su Comparación con Solventes Orgánicos Convencionales. Ph.D. Thesis, Universidad Nacional de Colombia, Medellín, Colombia, 2022. Available online: https://repositorio.unal.edu.co/handle/unal/83360 (accessed on 22 November 2022).
- Plimpton, S. Fast Parallel Algorithms for Short-Range Molecular Dynamics. J. Comput. Phys. 1995, 117, 1–19. [Google Scholar] [CrossRef]
- Humphrey, W.; Dalke, A.; Schulten, K. VMD: Visual molecular dynamics. J. Mol. Graph. 1996, 14, 33–38. [Google Scholar] [CrossRef]
- Hoover, W.G. Constant-pressure equations of motion. Phys. Rev. A 1986, 34, 2499–2500. [Google Scholar] [CrossRef] [PubMed]
- Allouche, A.-R. Gabedit—A graphical user interface for computational chemistry softwares. J. Comput. Chem. 2011, 32, 174–182. [Google Scholar] [CrossRef]
- Jorgensen, W.L.; Tirado-Rives, J. Potential energy functions for atomic-level simulations of water and organic and biomolecular systems. Proc. Natl. Acad. Sci. USA 2005, 102, 6665–6670. [Google Scholar] [CrossRef]
- Dodda, L.S.; de Vaca, I.C.; Tirado-Rives, J.; Jorgensen, W.L. LigParGen web server: An automatic OPLS-AA parameter generator for organic ligands. Nucleic Acids Res. 2017, 45, W331–W336. [Google Scholar] [CrossRef] [PubMed]
- Berendsen, H.J.C.; Grigera, J.R.; Straatsma, T.P. The missing term in effective pair potentials. J. Phys. Chem. 1987, 91, 6269–6271. [Google Scholar] [CrossRef]
- Yusof, R.; Jumbri, K.; Rahman, M.B.A. An insight into the effects of ratios and temperatures on a tetrabutylammonium bromide and ethylene glycol deep eutectic solvent. J. Mol. Liq. 2021, 339, 116709. [Google Scholar] [CrossRef]


















| Ion | Atom Type | q (e) | σ (Å) | ɛ (kcal/mol) |
|---|---|---|---|---|
| Tetraethylammonium | HS | 0.034 | 2.50 | 0.0300 |
| CS | −0.086 | 3.50 | 0.0660 | |
| CT | −0.002 | 3.50 | 0.0660 | |
| HT | 0.022 | 2.50 | 0.0300 | |
| N | −0.057 | 3.25 | 0.1700 | |
| Br | Br | −0.179 | 4.28 | 0.7100 |
| Cyanide | CM | −1.00 | 3.30 | 0.0660 |
| NM | 0.00 | 3.20 | 0.1700 | |
| Na | Na | 1.00 | 4.07 | 0.0005 |
| Sulfate | OT | −0.535 | 2.96 | 0.7113 |
| S | 0.802 | 3.55 | 1.0460 | |
| OM | −0.622 | 3.12 | 0.7113 | |
| HM | 0.425 | 0.00 | 0.0000 | |
| La | La | 3 | 3.75 | 0.0600 |
| Molecule | Atom Type | q (e) | σ (Å) | ɛ (kcal/mol) |
|---|---|---|---|---|
| Ethylene glycol | HO | 0.348 | 0.00 | 0.0000 |
| OG | −0.56 | 3.00 | 0.2975 | |
| CG | 0.116 | 3.50 | 0.1155 | |
| HG | 0.048 | 2.50 | 0.0525 | |
| Water | O | −0.82 | 3.17 | 0.1554 |
| H | 0.41 | 0.00 | 0.0000 |
| Ion | Bonds | r0 | kr | Angles | θ0 | kθ |
|---|---|---|---|---|---|---|
| Tetraethylammonium | CS–CT | 1.529 | 268 | CS–CT–HT | 110.7 | 37.5 |
| CS–HS | 1.090 | 340 | CS–CT–N | 111.2 | 80.0 | |
| CT–HT | 1.090 | 340 | CT–CS–HS | 110.7 | 37.5 | |
| N–CT | 1.471 | 367 | CT–N–CT | 113.0 | 50.0 | |
| HS–CS–HS | 107.8 | 33.0 | ||||
| HT–CT–HT | 107.8 | 33.0 | ||||
| HT–CT–N | 109.5 | 35.0 | ||||
| Cyanide | CM–NM | 1.157 | 650 | |||
| Sulfate | HM–OM | 0.945 | 463 | HM–OM–S | 110 | 61.9 |
| OM–S | 1.670 | 376 | OM–S–OT | 108.7 | 61.9 | |
| OT–S | 1.440 | 586 | OT–S–OT | 119 | 87.0 |
| Molecule | Bonds | r0 | kr | Angles | θ0 | kθ |
|---|---|---|---|---|---|---|
| Ethylene glycol | OG–HO | 0.945 | 553 | HO–OG–CG | 108.5 | 55.0 |
| CT–OG | 1.410 | 320 | OG–CG–CG | 108 | 50.0 | |
| CT–CT | 1.529 | 268 | OG–CG–HG | 109.5 | 35.0 | |
| HC–CT | 1.090 | 340 | CG–CG–HG | 110.7 | 37.5 | |
| HG–CG–HG | 107.8 | 33.0 | ||||
| Water | H–O | 1.000 | 600 | H–O–H | 109.47 | 75.0 |
| System | Temperature (K) | Experimental Density (g/cm3) | Simulated Density (g/cm3) | Error (%) |
|---|---|---|---|---|
| TEABr–ETG | 298 | 1.05 | 1.00 | 4.76 |
| 353 | - | 0.93 | - | |
| TEABr–ETG–NaCN | 298 | 1.06 | 1.01 | 4.72 |
| 353 | - | 0.94 | - | |
| lanthanum solution | 298 | 1.62 | 1.59 | 2.45 |
Disclaimer/Publisher’s Note: The statements, opinions and data contained in all publications are solely those of the individual author(s) and contributor(s) and not of MDPI and/or the editor(s). MDPI and/or the editor(s) disclaim responsibility for any injury to people or property resulting from any ideas, methods, instructions or products referred to in the content. |
© 2024 by the authors. Licensee MDPI, Basel, Switzerland. This article is an open access article distributed under the terms and conditions of the Creative Commons Attribution (CC BY) license (https://creativecommons.org/licenses/by/4.0/).
Share and Cite
Echeverry-Vargas, L.; Ocampo-Carmona, L.M.; Gutiérrez, L. Molecular Dynamic Simulation of the Interaction of a Deep Eutectic Solvent Based on Tetraethylammonium Bromide with La3+ in Acidic Media. Minerals 2024, 14, 711. https://doi.org/10.3390/min14070711
Echeverry-Vargas L, Ocampo-Carmona LM, Gutiérrez L. Molecular Dynamic Simulation of the Interaction of a Deep Eutectic Solvent Based on Tetraethylammonium Bromide with La3+ in Acidic Media. Minerals. 2024; 14(7):711. https://doi.org/10.3390/min14070711
Chicago/Turabian StyleEcheverry-Vargas, Luver, Luz M. Ocampo-Carmona, and Leopoldo Gutiérrez. 2024. "Molecular Dynamic Simulation of the Interaction of a Deep Eutectic Solvent Based on Tetraethylammonium Bromide with La3+ in Acidic Media" Minerals 14, no. 7: 711. https://doi.org/10.3390/min14070711
APA StyleEcheverry-Vargas, L., Ocampo-Carmona, L. M., & Gutiérrez, L. (2024). Molecular Dynamic Simulation of the Interaction of a Deep Eutectic Solvent Based on Tetraethylammonium Bromide with La3+ in Acidic Media. Minerals, 14(7), 711. https://doi.org/10.3390/min14070711

