Effect of Low Viscosity Contrast between Quartz and Plagioclase on Creep Behavior of the Mid-Crustal Shear Zone
Abstract
1. Introduction
2. Geological Setting
3. Methods
3.1. Microstructures and Textural Analysis
3.2. Crystal-Fabric Analysis
4. Results
4.1. Microstructures and Crystallographic Preferred Orientations of Quartz
4.2. Microstructures and Crystallographic Preferred Orientations for UK04-1 Mylonite
5. Interpretation and Discussion
5.1. Grain Sizes of Recrystallized Quartz Aggregates in the Kashio Shear Zone
5.2. Crystal Fabrics of Quartz in the Kashio Shear Zone
5.3. Deformation in the Quartz–Plagioclase Composite
5.3.1. Grain Size and Crystal Fabric
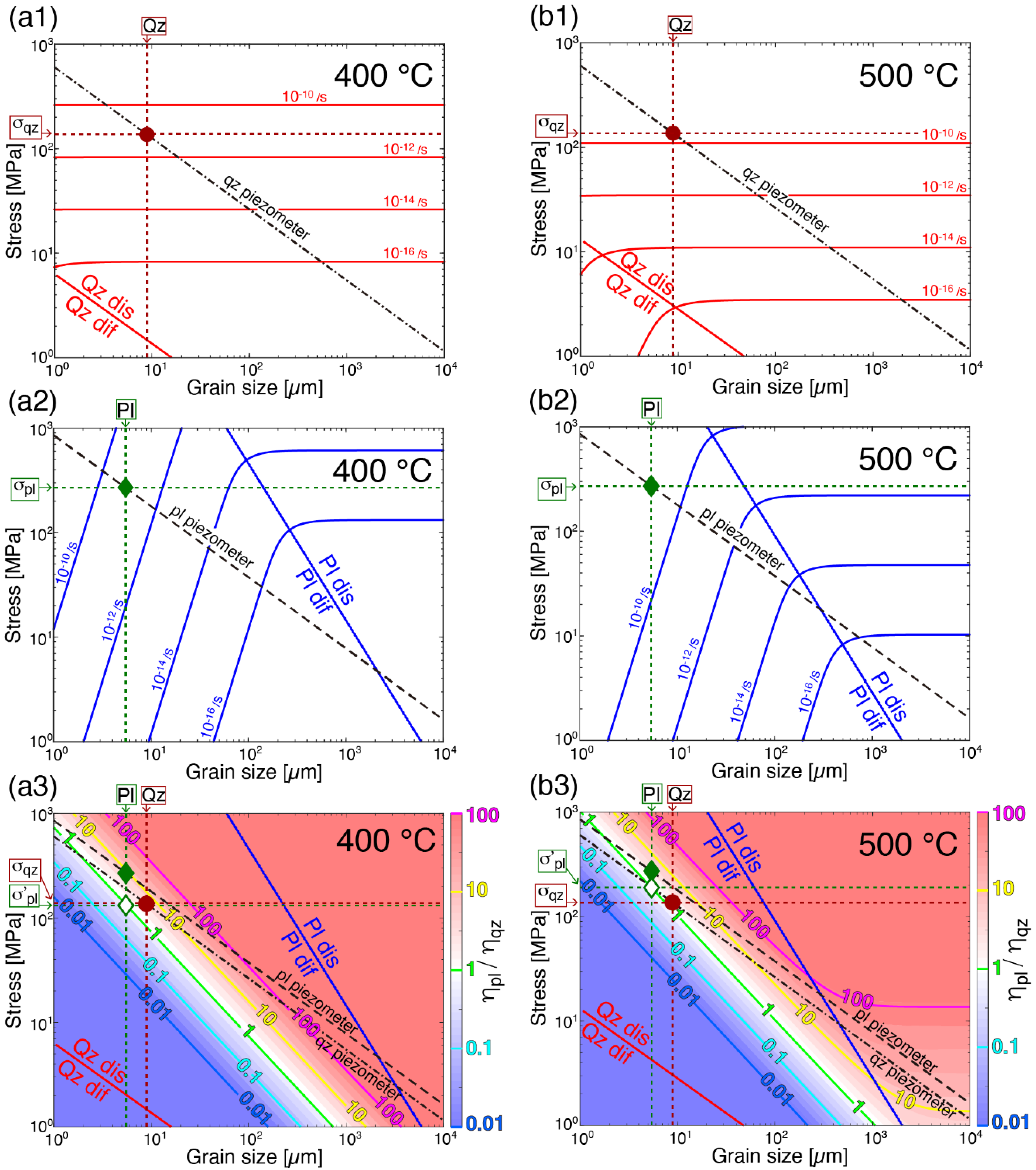
5.3.2. Viscosity Contrast Estimate
5.4. Low Viscosity Contrast Enhancing the Mylonitic Foliations
6. Conclusions
Supplementary Materials
Author Contributions
Funding
Data Availability Statement
Acknowledgments
Conflicts of Interest
References
- Kohlstedt, D.L.; Evans, B.; Mackwell, S.J. Strength of the lithosphere: Constraints imposed by laboratory experiments. J. Geophys. Res. 1995, 100, 17587–17602. [Google Scholar] [CrossRef]
- Bürgmann, R.; Dresen, G. Rheology of the lower crust and upper mantle: Evidence from rock mechanics, geodesy, and field observations. Annu. Rev. Earth Planet. Sci. 2008, 36, 531–567. [Google Scholar] [CrossRef]
- Poirier, J.P. Creep of Crystals; Cambridge University Press: Cambridge, UK, 1985; 260p. [Google Scholar] [CrossRef]
- Hirth, G.; Tullis, J. Dislocation creep regimes in quartz aggregates. J. Struct. Geol. 1992, 14, 145–159. [Google Scholar] [CrossRef]
- Passchier, C.W.; Trouw, R.A.J. Microtectonics, 2nd ed.; Springer: Berlin/Heidelberg, Germany, 2005; 106p. [Google Scholar] [CrossRef]
- Kanagawa, K.; Shimano, H.; Hiroi, Y. Mylonitic deformation of gabbro in the lower crust: A case study from the Pankenushi gabbro in the Hidaka metamorphic belt of central Hokkaido, Japan. J. Struct. Geol. 2008, 30, 1150–1166. [Google Scholar] [CrossRef]
- Hiraga, T.; Miyazaki, T.; Tasaka, M.; Yoshida, H. Mantle superplasticity and its self-made demise. Nature 2010, 468, 1091–1094. [Google Scholar] [CrossRef] [PubMed]
- Karato, S. Deformation of Earth Materials; Cambridge University Press: New York, NY, USA, 2012; 482p. [Google Scholar] [CrossRef]
- Coble, R.L. A model for grain-boundary controlled creep in polycrystalline materials. J. Appl. Phys. 1963, 34, 31–63. [Google Scholar] [CrossRef]
- Gifkins, R.C. Grain boundary sliding and its accommodation during creep and superplasticity. Metall. Trans. A 1976, 7, 1225–1232. [Google Scholar] [CrossRef]
- Rutter, E.H.; Brodie, K.H. Experimental grain size-sensitive flow of hot-pressed Brazilian quartz aggregates. J. Struct. Geol. 2004, 26, 2011–2023. [Google Scholar] [CrossRef]
- Kruse, R.; Stünitz, H. Deformation mechanisms and phase distribution in mafic high-temperature mylonites from the Jotun Nappe, southern Norway. Tectonophysics 1999, 303, 223–249. [Google Scholar] [CrossRef]
- Mulyukova, E.; Bercovici, D. The generation of plate tectonics from grains to global scales: A brief review. Tectonics 2019, 38, 4058–4076. [Google Scholar] [CrossRef]
- Cross, A.J.; Skemer, P. Ultramylonite generation via phase mixing in high-strain experiments. J. Geophys. Res. Solid Earth 2017, 122, 1744–1759. [Google Scholar] [CrossRef]
- Bercovici, D.; Skemer, P. Grain damage, phase mixing and plate-boundary formation. J. Geodyn. 2017, 108, 40–55. [Google Scholar] [CrossRef]
- Tasaka, M.; Hiraga, T.; Michibayashi, K. Influence of mineral fraction on the rheological properties of forsterite + enstatite during grain size sensitive creep: 3. Application of grain growth and flow laws on peridotite ultramylonite. J. Geophys. Res. Solid Earth 2014, 119, 840–857. [Google Scholar] [CrossRef]
- Gilgannon, J.; Fusseis, F.; Menegon, L.; Regenauer-Lieb, K.; Buckman, J. Hierarchical creep cavity formation in an ultramylonite and implications for phase mixing. Solid Earth 2017, 8, 1193–1209. [Google Scholar] [CrossRef]
- Cross, A.J.; Olree, E.; Couvy, H.; Skemer, P. How does viscosity contrast influence phase mixing and strain localization? J. Geophys. Res. Solid Earth 2020, 125, e2020JB020323. [Google Scholar] [CrossRef]
- Hacker, B.R.; Yin, A.; Christie, J.M.; Davis, G.A. Stress magnitude, strain rate, and rheology of extended middle continental crust inferred from quartz grain sizes in the Whipple Mountains, California. Tectonics 1992, 11, 36–46. [Google Scholar] [CrossRef]
- Okudaira, T.; Shigematsu, N. Estimates of stress and strain rate in mylonites based on the boundary between the fields of grain-size sensitive and insensitive creep. J. Geophys. Res. 2012, 117, B03210. [Google Scholar] [CrossRef]
- Michibayashi, K.; Makino, T.; Yoshida, S. ‘Xenolith windows’: Intensely deformed mylonites entrained in the Tenryukyo granite, the Ryoke belt, central Honshu, Japan. J. Geol. Soc. Jpn. 1997, 103, 1053–1064. [Google Scholar] [CrossRef][Green Version]
- Michibayashi, K.; Masuda, T. Shearing during progressive retrogression in granitoids: Abrupt grain size reduction of quartz at the plastic-brittle transition for feldspar. J. Struct. Geol. 1993, 15, 1421–1432. [Google Scholar] [CrossRef]
- Hara, I.; Shyoji, K.; Sakurai, Y.; Yokoyama, S.; Hide, K. Origin of the Median Tectonic Line and its initial shape. Mem. Geol. Soc. Jpn. 1980, 18, 27–49. [Google Scholar]
- Hayama, Y.; Yamada, T. Median Tectonic Line at the stage of its origin in relation to plutonism and mylonitization in the Ryoke belt. Mem. Geol. Soc. Jpn. 1980, 18, 5–26. [Google Scholar]
- Ichikawa, K. Geohistory of the Median Tectonic Line of southwest Japan. Mem. Geol. Soc. Jpn. 1980, 18, 187–212. [Google Scholar]
- Takagi, H. Mylonitic rocks along the Median Tectonic Line in Takato-Ichinose area, Nagano Prefecture. J. Geol. Soc. Jpn. 1984, 90, 81–100, (In Japanese with English abstract). [Google Scholar] [CrossRef]
- Takagi, H. Implications of mylonitic microstructures for the geotectonic evolution of the Median Tectonic Line, central Japan. J. Struct. Geol. 1986, 8, 3–14. [Google Scholar] [CrossRef]
- Yamamoto, H. Kinematics of mylonitic rocks along the Median Tectonic Line, Akaishi Range, central Japan. J. Struct. Geol. 1994, 16, 61–70. [Google Scholar] [CrossRef]
- Nakamura, Y.; Miyazaki, K.; Takahashi, Y.; Iwano, H.; Danhara, T.; Hirata, T. Amalgamation of the Ryoke and Sanbagawa metamorphic belts at the subduction interface: New insights from the Kashio mylonite along the Median Tectonic Line, Nagano, Japan. J. Metamorph. Geol. 2022, 40, 389–422. [Google Scholar] [CrossRef]
- Michibayashi, K.; Murooka, K.; Yasui, I. Mylonites in the Ryoke metamorphic belt drilled at 100 m away from the Median Tectonic Line, Misakubo, central Honshu, Japan. J. Geol. Soc. Jpn. 1999, 105, 200–207, (In Japanese with English abstract). [Google Scholar] [CrossRef][Green Version]
- Hara, I.; Yamada, T.; Yokoyama, S.; Arita, M.; Hiraga, Y. Study on the southern marginal shear belt of the Ryoke metamorphic terrain-initial movement picture of the Median Tectonic Line. Chikyu Kagaku 1977, 31, 204–207, (In Japanese with English abstract). [Google Scholar]
- Masuda, T.; Yamamoto, H.; Michibayashi, K.; Ban, M. Re-examination of the location of the Median Tectonic Line at Misakubo, northwest Shizuoka Prefecture. Geosci. Rep. Shizuoka Univ. 1990, 16, 49–65, (In Japanese with English abstract). [Google Scholar]
- Yamamoto, H.; Masuda, T. Sub-horizontal ductile shearing in mylonites of the Ryoke belt in the Misakubo district, northwest Shizuoka Prefecture. Geosci. Rep. Shizuoka Univ. 1990, 16, 25–47, (In Japanese with English abstract). [Google Scholar]
- Kano, K.; Matsushima, N. The Shimanto Belt in the Akaishi Mountains, eastern part of SW Japan. Mod. Geol. 1988, 12, 97–126. [Google Scholar]
- Matsushima, N. New interpretation of Median tectonic line of the Akaishi mountain lands, in Japan. Iida City Mus. 1994, 4, 113–124. (In Japanese) [Google Scholar]
- Harada, T. Die Japanischen Inseln, Eine Topographische-Geologishe Ubersicht; Verlag von Paul Parey: Berlin, Germany, 1890; 142p, Available online: https://archive.org/details/diejapanischenin01hara/page/n137/mode/2up (accessed on 21 February 2024).
- Takagi, H. Ductile shear zones: Microstructures of mylonites. In Rheology of Solids and of the Earth; Karato, S., Toriumi, M., Eds.; Oxford University Press: London, UK, 1989; pp. 338–350. [Google Scholar]
- Takagi, H. Development of composite planar fabric in mylonites along the Median Tectonic Line, southwest Japan. Isl. Arc 1992, 1, 92–102. [Google Scholar] [CrossRef]
- Ohtomo, Y. Origin of the Median Tectonic Line. J. Sci. Hiroshima Univ. 1993, 9, 611–669. [Google Scholar]
- Makino, T.; Michibayashi, K. Whole-rock major element composition of the mylonites along the Median Tectonic Line, central Japan. Geosci. Rep. Shizuoka Univ. 1997, 24, 1–13, (In Japanese with English abstract). [Google Scholar]
- Michibayashi, K.; Ohtomo, Y. Mylonitic rocks along the Median Tectonic Line in the vicinity of Urakawa. Excursion Guide book. In Proceedings of the 110th Annual Meeting of the Geological Society of Japan, Shizuoka, Japan, 19–21 April 2003; Geological Society of Japan: Tokyo, Japan, 2003; pp. 11–20. (In Japanese). [Google Scholar]
- Okusa, S. Geology between Sakuma dam and Ikeda, central Japan -with special reference to the fault and joint system along the so-called Median Tectonic Line-. Assoc. Geol. Collab. Jpn. 1964, 74, 17–21, (In Japanese with English abstract). [Google Scholar]
- Ui, H.; Arata, S.; Furuichi, S.; Nishida, S. Mylonitic rocks along the Median Tectonic Line near the Aichi-Shizuoka Prefecture border -Quartz crystallinity index and observation by SEM-. J. Tecton. Res. Group Jpn. 1988, 33, 39–57. [Google Scholar]
- Nakai, Y.; Suzuki, K. CHIME monazite ages of the Kamihara Tonalite and Tenryukyo Granodiorite in the eastern Ryoke belt of central Japan. J. Geol. Soc. Jpn. 1996, 102, 431–439. [Google Scholar] [CrossRef]
- Asano, K.; Michibayashi, K.; Takebayashi, T. Rheological contrast between quartz and coesite generates strain localization in deeply subducted continental crust. Minerals 2021, 11, 842. [Google Scholar] [CrossRef]
- Mainprice, D.; Bachmann, F.; Hielscher, R.; Schaeben, H. Descriptive tools for the analysis of texture projects with large datasets using MTEX: Strength, symmetry, and components. Geol. Soc. Lond. Spec. Publ. 2014, 409, 223–249. [Google Scholar] [CrossRef]
- White, S. Geological significance of recovery and recrystallization processes in quartz. Tectonophysics 1977, 39, 143–170. [Google Scholar] [CrossRef]
- Skemer, P.; Katayama, I.; Jiang, Z.; Karato, S. The misorientation index: Development of a new method for calculating the strength of lattice-preferred orientation. Tectonophysics 2005, 411, 157–167. [Google Scholar] [CrossRef]
- Stipp, M.; Tullis, J. The recrystallized grain size piezometer for quartz. Geophys. Res. Lett. 2003, 30, 2088. [Google Scholar] [CrossRef]
- Shimizu, I. Theories and applicability of grainsize piezometers: The role of dynamic recrystallization mechanisms. J. Struct. Geol. 2008, 30, 899–917. [Google Scholar] [CrossRef]
- Hayashi, M.; Takagi, H. Shape fabric of recrystallized quartz in the mylonites along the Median Tectonic Line, southern Nagano Prefecture. J. Geol. Soc. Jpn. 1987, 93, 349–359, (In Japanese with English abstract). [Google Scholar] [CrossRef][Green Version]
- Takagi, H.; Ito, M. The use of asymmetric pressure shadows in mylonites to determine the sense of shear. J. Struct. Geol. 1988, 10, 347–360. [Google Scholar] [CrossRef]
- Michibayashi, K. Syntectonic development of a strain-independent steady-state grain size during mylonitization. Tectonophysics 1993, 222, 151–164. [Google Scholar] [CrossRef]
- Schmid, S.M.; Casey, M. Complete fabric analysis of some commonly observed quartz C-axis patterns. Geophys. Monogr. 1986, 36, 263–286. [Google Scholar] [CrossRef]
- Lister, G.S.; Hobbs, B.E. The simulation of fabric development during plastic deformation and its application to quartzite: The influence of deformation history. J. Struct. Geol. 1980, 2, 355–370. [Google Scholar] [CrossRef]
- Tullis, J.; Christie, J.M.; Griggs, D.T. Microstructure and preferred orientation of experimentally deformed quartzites. Geol. Soc. Am. Bull. 1973, 86, 632–638. [Google Scholar] [CrossRef]
- Takeshita, T. Dynamic evolution of deformation microstructures in rocks. Physical conditions for deformation. Estimate of the physical conditions for deformation based on c-axis fabric transitions in naturally deformed quartzite. J. Geol. Soc. Jpn. 1996, 102, 211–222, (In Japanese with English abstract). [Google Scholar] [CrossRef]
- Toy, V.G.; Prior, D.J.; Norris, R.J. Quartz fabrics in the Alpine Fault mylonites: Influence of pre-existing preferred orientations on fabric development during progressive uplift. J. Struct. Geol. 2008, 30, 602–621. [Google Scholar] [CrossRef]
- Law, R.D. Deformation thermometry based on quartz c-axis fabrics and recrystallization microstructures: A review. J. Struct. Geol. 2014, 66, 129–161. [Google Scholar] [CrossRef]
- Muto, J.; Hirth, G.; Heilbronner, R.; Tullis, J. Plastic anisotropy and fabric evolution in sheared and recrystallized quartz single crystals. J. Geophys. Res. 2011, 116, B02206. [Google Scholar] [CrossRef]
- Nakamura, D. Comparison and interpretation of graphitization in contact and regional metamorphic rocks. Isl. Arc 1995, 4, 112–127. [Google Scholar] [CrossRef]
- Ceccato, A.; Menegon, L.; Pennacchioni, G.; Morales, L.F.G. Myrmekite and strain weakening in granitoid mylonites. Solid Earth 2017, 9, 1399–1419. [Google Scholar] [CrossRef]
- Fukuda, J.; Holyoke, C.W.; Kronenberg, A.K. Deformation of fine-grained quartz aggregates by mixed diffusion and dislocation creep. J. Geophys. Res. Solid Earth 2018, 123, 4676–4696. [Google Scholar] [CrossRef]
- Tokle, L.; Hirth, G.; Behr, W.M. Flow laws and fabric transitions in wet quartzite. Earth Planet. Sci. Lett. 2019, 505, 152–161. [Google Scholar] [CrossRef]
- Rybacki, E.; Dresen, G. Deformation mechanism maps for feldspar rocks. Tectonophysics 2004, 372, 215–233. [Google Scholar] [CrossRef]
- Shinevar, W.J.; Behn, M.D.; Hirth, G. Compositional dependence of lower crustal viscosity. Geophys. Res. Lett. 2015, 42, 8333–8340. [Google Scholar] [CrossRef]
- Twiss, R.J. Theory and applicability of a recrystallized grain size paleopiezometer. Pure Appl. Geophys. 1977, 115, 227–244. [Google Scholar] [CrossRef]
- De Bresser, J.H.P.; Ter Heege, J.H.; Spiers, C.J. Grain size reduction by dynamic recrystallization: Can it result in major rheological weakening? Int. J. Earth Sci. 2001, 90, 28–45. [Google Scholar] [CrossRef]
- Austin, N.J.; Evans, B. Paleowattmeters: A scaling relation for dynamically recrystallized grain size. Geology 2007, 35, 343–346. [Google Scholar] [CrossRef]
- Allard, M.; Ildefonse, B.; Oliot, É.; Barou, F. Plastic deformation of plagioclase in oceanic gabbro accreted at a slow-spreading ridge (Hole U1473A, Atlantis Bank, Southwest Indian Ridge). J. Geophys. Res. Solid Earth 2021, 126, e2021. [Google Scholar] [CrossRef]
- Okudaira, T.; Jerábek, P.; Stünitz, H.; Fusseis, F. High-temperature fracturing and subsequent grain-size-sensitive creep in lower crustal gabbros: Evidence for coseismic loading followed by creep during decaying stress in the lower crust? J. Geophys. Res. Solid Earth 2015, 120, 3119–3141. [Google Scholar] [CrossRef]
- Okudaira, T.; Shigematsu, N.; Harigane, Y.; Yoshida, K. Grain size reduction due to fracturing and subsequent grain-size-sensitive creep in a lower crustal shear zone in the presence of a CO2-bearing fluid. J. Struct. Geol. 2017, 95, 171–187. [Google Scholar] [CrossRef]
- Stünitz, H.; Gerald, J.D.F. Deformation of granitoids at low metamorphic grade. II: Granular flow in albite-rich mylonites. Tectonophysics 1993, 221, 299–324. [Google Scholar] [CrossRef]
- Ree, J.H.; Kim, H.S.; Han, R.; Jung, H. Grain-size reduction of feldspars by fracturing and neocrystallization in a low-grade granitic mylonite and its rheological effect. Tectonophysics 2005, 407, 227–237. [Google Scholar] [CrossRef]
- Fukuda, J.; Okudaira, T. Grain-size-sensitive creep of plagioclase accompanied by solution-precipitation and mass transfer under mid-crustal conditions. J. Struct. Geol. 2013, 51, 61–73. [Google Scholar] [CrossRef]












| Mechanism | A a | n | M | r | Q [kJ/mol] | Reference |
|---|---|---|---|---|---|---|
| Plagioclase | ||||||
| Wet dislocation | 102.6 | 3 | 0 | – | 356 | [65] |
| Wet diffusion | 101.7 | 1 | 3 | – | 170 | [65] |
| Quartz | ||||||
| Wet dislocation | 1.75 × 10−12 | 4 | 0 | 1 | 125 | [64] |
| Wet diffusion b | 0.01 | 1 | 2 | 1 | 220 | [11] |
| Wet diffusion c | 10−2.97 | 1.7 | 0.51 | 1 | 183 | [63] |
Disclaimer/Publisher’s Note: The statements, opinions and data contained in all publications are solely those of the individual author(s) and contributor(s) and not of MDPI and/or the editor(s). MDPI and/or the editor(s) disclaim responsibility for any injury to people or property resulting from any ideas, methods, instructions or products referred to in the content. |
© 2024 by the authors. Licensee MDPI, Basel, Switzerland. This article is an open access article distributed under the terms and conditions of the Creative Commons Attribution (CC BY) license (https://creativecommons.org/licenses/by/4.0/).
Share and Cite
Endo, H.; Michibayashi, K.; Okudaira, T.; Mainprice, D. Effect of Low Viscosity Contrast between Quartz and Plagioclase on Creep Behavior of the Mid-Crustal Shear Zone. Minerals 2024, 14, 229. https://doi.org/10.3390/min14030229
Endo H, Michibayashi K, Okudaira T, Mainprice D. Effect of Low Viscosity Contrast between Quartz and Plagioclase on Creep Behavior of the Mid-Crustal Shear Zone. Minerals. 2024; 14(3):229. https://doi.org/10.3390/min14030229
Chicago/Turabian StyleEndo, Hiroto, Katsuyoshi Michibayashi, Takamoto Okudaira, and David Mainprice. 2024. "Effect of Low Viscosity Contrast between Quartz and Plagioclase on Creep Behavior of the Mid-Crustal Shear Zone" Minerals 14, no. 3: 229. https://doi.org/10.3390/min14030229
APA StyleEndo, H., Michibayashi, K., Okudaira, T., & Mainprice, D. (2024). Effect of Low Viscosity Contrast between Quartz and Plagioclase on Creep Behavior of the Mid-Crustal Shear Zone. Minerals, 14(3), 229. https://doi.org/10.3390/min14030229

