Evaluation of Clayey Raw Materials and Ceramic Masses from Ceramic Building Material Companies Located in Northeastern Brazil
Abstract
1. Introduction
2. Materials and Methods
2.1. Raw Materials and Their Characterizations
2.2. Samples Preparation and Firing Treatment Schedule
2.3. Physico-Mechanical Properties
3. Results and Discussion
3.1. Chemical Composition and Mineralogical Analysis
3.2. Mineralogical Phases Analysis
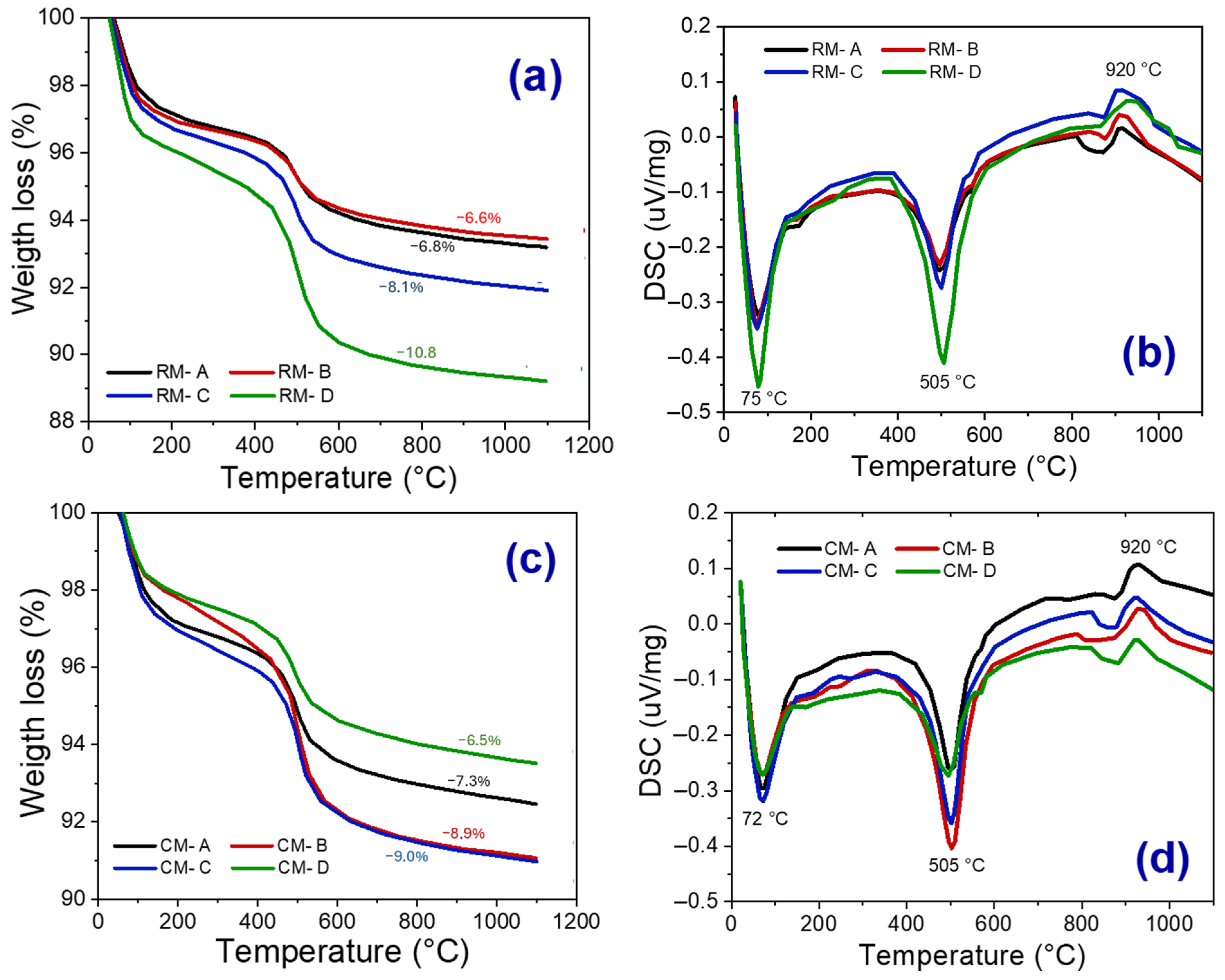
3.3. Thermal Behavior Analysis
3.4. Particle Size Distribution Analysis and Atterberg Limits Results
3.5. Linear Shrinkage, Water Absorption, Apparent Porosity and Three-Point Flexural Strength Measurement
4. Conclusions
Author Contributions
Funding
Data Availability Statement
Acknowledgments
Conflicts of Interest
References
- Henriques Júnior, M.F.; Rodrigues, J.A.P. (Eds.) Cerâmica Vermelha—Projeto EELA No Brasil; Instituto Nacional de Tecnologia (INT), Ministério da Ciência, Tecnologia, Inovações e Comunicações (MCTIC): Rio de Janeiro, Brazil, 2017; ISBN 978-85-99465-16-5. [Google Scholar]
- FIERN Discute Alternativas Energéticas Para a Indústria de Cerâmica Vermelha Com SINDICER-RN. Available online: https://www.fiern.org.br/fiern-discute-alternativas-energeticas-para-industria-de-ceramica-vermelha-com-sindicer-rn/ (accessed on 16 June 2024).
- Ferreira, W.M.; Cruz, A.S.A.; de Azevedo, A.R.G.; Marvila, M.T.; Monteiro, S.N.; Vieira, C.M.F. Perspective of the Application of Ash from the Ceramic Industry in the Development of Alkali-Activated Roof Tiles. Ceram. Int. 2022, 48, 6250–6257. [Google Scholar] [CrossRef]
- Manjate, V.A.; Issufo, Z.; Magenge, A.L. Evaluation of Clay Soils from Manjacazi District (Mozambique) as Potential Raw Material for the Ceramic Industry. Heliyon 2020, 6, e05189. [Google Scholar] [CrossRef] [PubMed]
- de Holanda, R.M.; da Silva, B.B. Cerâmica Vermelha—Desperdício Na Construção versus Recurso Natural Não Renovável: Estudo de Caso Nos Municípios de Paudalho/PE e Recife/PE. Rev. Bras. Geogr. Física 2011, 4, 872–890. [Google Scholar] [CrossRef]
- El Ouahabi, M.; Daoudi, L.; De Vleeschouwer, F.; Bindler, R.; Fagel, N. Potentiality of Clay Raw Materials from Northern Morocco in Ceramic Industry: Tetouan and Meknes Areas. J. Miner. Mater. Charact. Eng. 2014, 2, 145–159. [Google Scholar] [CrossRef]
- Sousa, S.J.G.; Holanda, J.N.F. Development of Red Wall Tiles by the Dry Process Using Brazilian Raw Materials. Ceram. Int. 2005, 31, 215–222. [Google Scholar] [CrossRef]
- Celik, H. Technological Characterization and Industrial Application of Two Turkish Clays for the Ceramic Industry. Appl. Clay Sci. 2010, 50, 245–254. [Google Scholar] [CrossRef]
- Hammami-Ben Zaied, F.; Abidi, R.; Slim-Shimi, N.; Somarin, A.K. Potentiality of Clay Raw Materials from Gram Area (Northern Tunisia) in the Ceramic Industry. Appl. Clay Sci. 2015, 112–113, 1–9. [Google Scholar] [CrossRef]
- Mahmoudi, S.; Srasra, E.; Zargouni, F. The Use of Tunisian Barremian Clay in the Traditional Ceramic Industry: Optimization of Ceramic Properties. Appl. Clay Sci. 2008, 42, 125–129. [Google Scholar] [CrossRef]
- Mahmoudi, S.; Srasra, E.; Zargouni, F. Firing Behaviour of the Lower Cretaceous Clays of Tunisia. J. Afr. Earth Sci. 2010, 58, 235–241. [Google Scholar] [CrossRef]
- Silva, M.C.A.; Leão, V.A.; Reis, E.L. Incorporation of Quartzite Fines in the Production of Red Ceramics. J. Clean. Prod. 2021, 288, 125098. [Google Scholar] [CrossRef]
- de Oliveira Guimarães, C.A.; Delaqua, G.C.G.; de Azevedo, A.R.G.; Monteiro, S.N.; Amaral, L.F.; Souza, C.L.M.; da Silva, A.G.P.; de Holanda, J.N.F.; Vieira, C.M.F. Heating Rate Effect during Sintering on the Technological Properties of Brazilian Red Ceramics. Int. J. Adv. Manuf. Technol. 2022, 119, 8125–8135. [Google Scholar] [CrossRef]
- Buchner, T.; Kiefer, T.; Zelaya-Lainez, L.; Gaggl, W.; Konegger, T.; Füssl, J. A Multitechnique, Quantitative Characterization of the Pore Space of Fired Bricks Made of Five Clayey Raw Materials Used in European Brick Industry. Appl. Clay Sci. 2021, 200, 105884. [Google Scholar] [CrossRef]
- Monsif, M.; Zerouale, A.; Idrissi Kandri, N.; Mozzon, M.; Sgarbossa, P.; Zorzi, F.; Tateo, F.; Tamburini, S.; Franceschinis, E.; Carturan, S.; et al. Chemical-Physical and Mineralogical Characterization of Ceramic Raw Materials from Moroccan Northern Regions: Intriguing Resources for Industrial Applications. Appl. Clay Sci. 2019, 182, 105274. [Google Scholar] [CrossRef]
- Dondi, M. Grain-Size Distribution of Italian Raw Materials for Building Clay Products: A Reappraisal of the Winkler Diagram. Clay Miner. 1998, 33, 435–442. [Google Scholar] [CrossRef]
- Babisk, M.P.; Amaral, L.F.; Ribeiro, L.D.S.; Vieira, C.M.F.; Do Prado, U.S.; Gadioli, M.C.B.; Oliveira, M.S.; Da Luz, F.S.; Monteiro, S.N.; Garcia Filho, F.D.C. Evaluation and Application of Sintered Red Mud and Its Incorporated Clay Ceramics as Materials for Building Construction. J. Mater. Res. Technol. 2020, 9, 2186–2195. [Google Scholar] [CrossRef]
- Scribot, C.; Maherzi, W.; Benzerzour, M.; Mamindy-Pajany, Y.; Abriak, N.E. A Laboratory-Scale Experimental Investigation on the Reuse of a Modified Red Mud in Ceramic Materials Production. Constr. Build. Mater. 2018, 163, 21–31. [Google Scholar] [CrossRef]
- Eliche-Quesada, D.; Felipe-Sesé, M.A.; López-Pérez, J.A.; Infantes-Molina, A. Characterization and Evaluation of Rice Husk Ash and Wood Ash in Sustainable Clay Matrix Bricks. Ceram. Int. 2017, 43, 463–475. [Google Scholar] [CrossRef]
- Imen, M.; Slim, B.; Nathalie, F.; Gaied, M.E. Incorporation of Siliceous Sand and Lignite Tailings from Miocene Deposits (Zeramdine, Eastern Tunisia) in Clay Bricks and Ceramic Tiles: Technological Feasibility. Arab. J. Geosci. 2021, 14, 282. [Google Scholar] [CrossRef]
- Assunção, A.R.S.; Correia, G.S.; Vasconcelos, N.D.S.L.S.; Cabral, A.A.; Angélica, R.S.; da Costa, F.P.; Menezes, R.R.; de Araújo Neves, G.; Rodrigues, A.M.; Rivas-Mercury, J.M. New Clayey Deposit and Their Potential as Raw Material for Red or Structured Ceramics: Technological Characterization. Materials 2021, 14, 7672. [Google Scholar] [CrossRef]
- Magalhães, R.d.S.; dos Santos, R.M.; da Silva, A.A.M.; Marques, F.P.; Gomes, É.R. Properties and Industrial Applications of Clays from Maranhão/Brazil. Braz. J. Dev. 2021, 7, 82090–82108. [Google Scholar] [CrossRef]
- Chung, F.H. Quantitative Interpretation of X-ray Diffraction Patterns of Mixtures. III. Simultaneous Determination of a Set of Reference Intensities. J. Appl. Crystallogr. 1975, 8, 17–19. [Google Scholar] [CrossRef]
- Sui, Y.; Yuan, Y.; Tan, P.; Jiang, Y.; Han, L. Correlation between Microstructure and Mechanical Properties of ZTA–TiO2–Nb2O5 Ceramics Sintered by SPS. J. Mater. Sci. 2023, 58, 707–717. [Google Scholar] [CrossRef]
- Casagrande, A. Notes on the Design of the Liquid Limit Device. Geotechnique 1958, 8, 84–91. [Google Scholar] [CrossRef]
- Fernandes, J.V.; Rodrigues, A.M.; Menezes, R.R.; de Araújo Neves, G. Adsorption of Anionic Dye on the Acid-Functionalized Bentonite. Materials 2020, 13, 3600. [Google Scholar] [CrossRef] [PubMed]
- da Costa, F.P.; Bezerra, I.M.T.; Fernandes, J.V.; Rodrigues, A.M.; Menezes, R.R.; Neves, G.d.A. Durability of Sustainable Ceramics Produced by Alkaline Activation of Clay Brick Residue. Sustainability 2021, 13, 10931. [Google Scholar] [CrossRef]
- Ramos Júnior, S.B.; Lima, R.H.C.; Sales Júnior, J.C.C. Avaliação das matérias-primas e proposta de controle na formulação da massa para fabricação de tijolo numa indústria de Manacapuru-AM. Rev. Geociências 2023, 42, 291–305. [Google Scholar] [CrossRef]
- da Costa, F.P.; da Silva Morais, C.R.; Rodrigues, A.M. Sustainable Glass-Ceramic Foams Manufactured from Waste Glass Bottles and Bentonite. Ceram. Int. 2020, 46, 17957–17961. [Google Scholar] [CrossRef]
- de Figueirêdo, J.M.R.; da Costa, F.P.; Fernandes, J.V.; Rodrigues, A.M.; Neves, G.d.A.; Menezes, R.R.; Santana, L.N.d.L. Development of Scheelite Tailings-Based Ceramic Formulations with the Potential to Manufacture Porcelain Tiles, Semi-Stoneware and Stoneware. Materials 2020, 13, 5122. [Google Scholar] [CrossRef] [PubMed]
- Evangelista Alves, R.; Lima Machado Da Silva, D.; Nara Barreto Da Silva, J. Caracterização de argilas utilizadas na fabricação de telhas e tijolos em Russas-CE. In Entre Investigações, Descobertas, Desafios e Esperança: Ensinar e Pesquisar Ciências em um Brasil Pós-Pandemia; Editora Realize: Campina Grande, Brazil, 2021. [Google Scholar]
- Souza, G.P.; Sousa, S.J.G.; Terrones, L.A.H.; Holanda, J.N.F. Mineralogical Analysis of Brazilian Ceramic Sedimentary Clays Used in Red Ceramic. Cerâmica 2005, 51, 381–386. [Google Scholar] [CrossRef]
- Peng, L.; Qin, S. Sintering Behavior and Technological Properties of Low-Temperature Porcelain Tiles Prepared Using a Lithium Ore and Silica Crucible Waste. Minerals 2019, 9, 731. [Google Scholar] [CrossRef]
- Chernyshev, I.A.; Maslova, E.V.; Kharitonov, D.V.; Anashkina, A.A. Factors Influencing Sintering and Phase Changes During the Heat Treatment of Quartz Ceramics. Refract. Ind. Ceram. 2022, 63, 74–77. [Google Scholar] [CrossRef]
- Huang, H.; Li, S.; Gou, H.; Zhang, N.; Liu, L. Efficient Recovery of Feldspar, Quartz, and Kaolin from Weathered Granite. Minerals 2024, 14, 300. [Google Scholar] [CrossRef]
- Garcia-Valles, M.; Cuevas, D.; Alfonso, P.; Martínez, S. Thermal Behaviour of Ceramics Obtained from the Kaolinitic Clays of Terra Alta, Catalonia, Spain. J. Therm. Anal. Calorim. 2022, 147, 5303–5312. [Google Scholar] [CrossRef]
- Pagliari, L.; Dapiaggi, M.; Pavese, A.; Francescon, F. A Kinetic Study of the Quartz–Cristobalite Phase Transition. J. Eur. Ceram. Soc. 2013, 33, 3403–3410. [Google Scholar] [CrossRef]
- Garcia-Valles, M.; Alfonso, P.; Martínez, S.; Roca, N. Mineralogical and Thermal Characterization of Kaolinitic Clays from Terra Alta (Catalonia, Spain). Minerals 2020, 10, 142. [Google Scholar] [CrossRef]
- Mebrek, A.; Rezzag, H.; Ladjama, S.; Azzi, A.; Grairia, A.; Taibi, Y. Development of Composite Ceramics with Kaolin and Spent Refractory Bricks. JOM 2023, 75, 5808–5818. [Google Scholar] [CrossRef]
- Pitarch, A.M.; Reig, L.; Tomás, A.E.; López, F.J. Effect of Tiles, Bricks and Ceramic Sanitary-Ware Recycled Aggregates on Structural Concrete Properties. Waste Biomass Valorization 2019, 10, 1779–1793. [Google Scholar] [CrossRef]
- de Oliveira, H.A.; dos Santos, C.P. Limestone Clays for Ceramic Industry. In Clay Science and Technology; Nascimento, G.M.D., Ed.; IntechOpen: Rijeka, Croatia, 2020; Chapter 5; ISBN 978-1-83968-210-0. [Google Scholar]
- Brindley, G.W.; Nakahira, M. The Kaolinite-Mullite Reaction Series: II, Metakaolin. J. Am. Ceram. Soc. 1959, 42, 314–318. [Google Scholar] [CrossRef]
- Ptáček, P.; Šoukal, F.; Opravil, T.; Nosková, M.; Havlica, J.; Brandštetr, J. The Kinetics of Al-Si Spinel Phase Crystallization from Calcined Kaolin. J. Solid State Chem. 2010, 183, 2565–2569. [Google Scholar] [CrossRef]
- Ondruška, J.; Csáki, Š.; Štubňa, I.; Trnovcová, V. Investigation of Kaolin–Quartz Mixtures during Heating Using Thermodilatometry and DC Thermoconductometry. J. Therm. Anal. Calorim. 2020, 139, 833–838. [Google Scholar] [CrossRef]
- Msinjili, N.S.; Gluth, G.J.G.; Sturm, P.; Vogler, N.; Kühne, H.C. Comparison of Calcined Illitic Clays (Brick Clays) and Low-Grade Kaolinitic Clays as Supplementary Cementitious Materials. Mater. Struct./Mater. Constr. 2019, 52, 142. [Google Scholar] [CrossRef]
- Zhang, X.; Jiao, Y.; Yu, L.; Liu, L.; Wang, X.; Zhang, Y. Effect of Sewage Sludge Addition on Microstructure and Mechanical Properties of Kaolin-Sewage Sludge Ceramic Bricks. Coatings 2022, 12, 944. [Google Scholar] [CrossRef]
- Martínez, A.; Garcia-Valles, M.; Alfonso, P. Viability of Bauxite Deposits from Catalonia (Spain) for Ceramic Applications. Minerals 2023, 13, 1294. [Google Scholar] [CrossRef]
- Walther, H.B. Quality Requirements of Quartz Sand in the Building Industry. In Quartz: Deposits, Mineralogy and Analytics; Götze, J., Möckel, R., Eds.; Springer: Berlin/Heidelberg, Germany, 2012; pp. 53–70. ISBN 978-3-642-22161-3. [Google Scholar]
- Karakan, E. Comparative Analysis of Atterberg Limits, Liquidity Index, Flow Index and Undrained Shear Strength Behavior in Binary Clay Mixtures. Appl. Sci. 2022, 12, 8616. [Google Scholar] [CrossRef]





| Companies | Nomenclature | |
|---|---|---|
| Raw Clay Material | Ceramic Mass | |
| A | RM-A | CM-A |
| B | RM-B | CM-B |
| C | RM-C | CM-C |
| D | RM-D | CM-D |
| Samples | Concentration (wt%) | ||||||||||
|---|---|---|---|---|---|---|---|---|---|---|---|
| SiO2 | Al2O3 | Fe2O3 | MgO | TiO2 | K2O | CaO | Na2O | P2O5 | SiO2/Al2O3 | LOI * | |
| RM-A | 70.64 | 13.35 | 3.87 | 1.24 | 0.79 | 2.76 | 0.41 | 0.90 | 0.10 | 5.29 | 5.94 |
| RM-B | 71.70 | 13.74 | 3.28 | 0.93 | 0.74 | 2.79 | 0.26 | 1.11 | 0.10 | 5.21 | 5.35 |
| RM-C | 70.13 | 16.84 | 3.02 | 0.29 | 0.93 | 0.80 | 0.10 | 0.14 | 0.10 | 4.16 | 7.65 |
| RM-D | 66.20 | 16.84 | 4.52 | 0.76 | 1.14 | 1.52 | 0.10 | 0.27 | 0.10 | 3.93 | 8.55 |
| CM-A | 68.93 | 15.02 | 4.00 | 1.02 | 0.76 | 2.70 | 0.12 | 0.58 | 0.10 | 4.58 | 6.77 |
| CM-B | 68.90 | 15.82 | 4.13 | 0.64 | 0.98 | 1.41 | 0.10 | 0.21 | 0.10 | 4.35 | 7.71 |
| CM-C | 68.51 | 16.54 | 4.83 | 0.93 | 0.88 | 2.20 | 0.10 | 0.23 | 0.10 | 4.02 | 5.68 |
| CM-D | 72.43 | 13.73 | 3.31 | 0.80 | 0.80 | 2.54 | 0.17 | 0.76 | 0.10 | 5.27 | 5.36 |
| Raw Materials | ||||
|---|---|---|---|---|
| Mineralogical Phases | RM-A | RM-B | RM-C | RM-D |
| Quartz | 42.8% ± 7% | 46.1% ± 3% | 45.5% ± 1% | 45.6% ± 4% |
| Kaolinite | 19.9% ± 3% | 26.6% ± 7% | 25.7% ± 1% | 27.9% ± 2% |
| Montmorillonite | 7.0% ± 2% | 3.0% ± 4% | - | - |
| Illite | 8.7% ± 1 | 6.5% ± 3 | 4.3% ± 3 | |
| Microcline | 11.4% ± 3% | 3.5% ± 7% | - | 9.0% ± 3% |
| Albite | 9.6% ± 2% | 6.1% ± 6% | - | - |
| Other phases | 0.6% ± 1% | 8.2% ± 2% | 24.5% ± 2% | 17.5% ± 2% |
| Ceramic Masses | ||||
| Mineralogical Phases | CM-A | CM-B | CM-C | CM-D |
| Quartz | 36.4% ± 5% | 39.9% ± 1% | 39.2% ± 7% | 39.4% ± 6% |
| Kaolinite | 12.9% ± 7% | 16.2% ± 5% | 13.6% ± 1% | 14.9% ± 4% |
| Montmorillonite (Mt) | 0.9% ± 1% | 0 | 0 | 0 |
| Illite | 18.9% ± 4% | 9.8% ± 2% | 11.6% ± 5% | 11.5% ± 9% |
| Microcline | 2.9% ± 3% | 1.9% ± 7% | 0 | 2.3% ± 6% |
| Albite | 6.2% ± 6% | 6.2% ± 1% | - | - |
| Other Phases | 21.8% ± 6% | 26.0% ± 1% | 35.6% ± 4% | 31.9% ± 1% |
| Samples | First Thermal Event (60 °C–150 °C) | Second Thermal Event (425 °C–900 °C) | Total Mass Loss |
|---|---|---|---|
| RM-A | 2.5 | 4.3 | 6.8 |
| RM-B | 2.3 | 4.3 | 6.6 |
| RM-C | 3.0 | 5.1 | 8.1 |
| RM-D | 4.2 | 6.6 | 10.8 |
| CM-A | 2.6 | 4.7 | 7.3 |
| CM-B | 3.0 | 5.9 | 8.9 |
| CM-C | 2.9 | 6.1 | 9.0 |
| CM-D | 2.0 | 4.5 | 6.5 |
| Samples | Particle Size Distribution (%) | ||
|---|---|---|---|
| (x < 38 µm) | (38 µm < x < 45 µm) | (x > 45 µm) | |
| RM-A | 85.50 | 8.27 | 6.23 |
| RM-B | 69.81 | 16.64 | 13.54 |
| RM-C | 68.11 | 17.54 | 14.34 |
| RM-D | 90.17 | 5.68 | 4.14 |
| CM-A | 82.41 | 10.55 | 7.04 |
| CM-B | 82.75 | 9.97 | 7.27 |
| CM-C | 79.94 | 11.58 | 8.47 |
| CM-D | 79.00 | 12.96 | 8.03 |
| Sample | IP Values (%) | Plasticity Classification |
|---|---|---|
| RM-A | 32.02 | Highest |
| RM-B | 11.12 | Moderate |
| RM-C | 14.06 | Moderate |
| RM-D | 31.53 | Highest |
| CM-A | 16.75 | Highest |
| CM-B | 22.32 | Highest |
| CM-C | 14.17 | Moderate |
| CM-D | 11.48 | Moderate |
Disclaimer/Publisher’s Note: The statements, opinions and data contained in all publications are solely those of the individual author(s) and contributor(s) and not of MDPI and/or the editor(s). MDPI and/or the editor(s) disclaim responsibility for any injury to people or property resulting from any ideas, methods, instructions or products referred to in the content. |
© 2024 by the authors. Licensee MDPI, Basel, Switzerland. This article is an open access article distributed under the terms and conditions of the Creative Commons Attribution (CC BY) license (https://creativecommons.org/licenses/by/4.0/).
Share and Cite
Correia, G.S.; Vaz, T.H.S.; da Costa, F.P.; da Silva, M.F.P.; da Silva, W.M.; Paiva, A.E.M.; Cabral, A.A.; Rodrigues, A.M. Evaluation of Clayey Raw Materials and Ceramic Masses from Ceramic Building Material Companies Located in Northeastern Brazil. Minerals 2024, 14, 1062. https://doi.org/10.3390/min14111062
Correia GS, Vaz THS, da Costa FP, da Silva MFP, da Silva WM, Paiva AEM, Cabral AA, Rodrigues AM. Evaluation of Clayey Raw Materials and Ceramic Masses from Ceramic Building Material Companies Located in Northeastern Brazil. Minerals. 2024; 14(11):1062. https://doi.org/10.3390/min14111062
Chicago/Turabian StyleCorreia, Gricirene Sousa, Thales Henrique Silva Vaz, Fabiana Pereira da Costa, Mauro Francisco Pinheiro da Silva, Wellington Marcos da Silva, Antonio Ernandes Macêdo Paiva, Aluísio Alves Cabral, and Alisson Mendes Rodrigues. 2024. "Evaluation of Clayey Raw Materials and Ceramic Masses from Ceramic Building Material Companies Located in Northeastern Brazil" Minerals 14, no. 11: 1062. https://doi.org/10.3390/min14111062
APA StyleCorreia, G. S., Vaz, T. H. S., da Costa, F. P., da Silva, M. F. P., da Silva, W. M., Paiva, A. E. M., Cabral, A. A., & Rodrigues, A. M. (2024). Evaluation of Clayey Raw Materials and Ceramic Masses from Ceramic Building Material Companies Located in Northeastern Brazil. Minerals, 14(11), 1062. https://doi.org/10.3390/min14111062

