Next Article in Journal
Acoustic Sensing of Fresh Feed Disturbances in a Locked-Cycle Laboratory AG/SAG Mill
Next Article in Special Issue
Three-Dimensional Inversion of Long-Offset Transient Electromagnetic Method over Topography
Previous Article in Journal
Geological Structures Controlling Au/Ba Mineralization from Aeromagnetic Data: Harrat ad Danun Area, Saudi Arabia
Previous Article in Special Issue
Optimizing Semi-Airborne Electromagnetic Survey Design for Mineral Exploration
 
 
Font Type:
Arial Georgia Verdana
Font Size:
Aa Aa Aa
Line Spacing:
Column Width:
Background:
Article

Measurement of Dried Seafloor Massive Sulfides

Institute of Geophysics and Extraterrestrial Physics, Technische Universität Braunschweig, 38106 Braunschweig, Germany
*
Author to whom correspondence should be addressed.
Minerals 2023, 13(7), 867; https://doi.org/10.3390/min13070867
Submission received: 30 May 2023 / Revised: 20 June 2023 / Accepted: 23 June 2023 / Published: 27 June 2023

Abstract

We carried out spectral-induced polarization (SIP) measurements on a set of dried seafloor massive sulfide samples and compared the results with those obtained with the same samples fully saturated with NaCl solution. We find that the conductivity and polarizability are generally high for both dried and saturated samples, i.e., exhibiting phase shifts in the order of 100 s of mrad and imaginary conductivities up to 1 S/m. Depending on the particular sample, the polarizabilities of the dried samples remain as high as for the saturated samples or are slightly reduced. The high polarizability of dried samples and the fact that polarizability cannot be destroyed by drying are significant observations because most of the existing theories to explain the polarization of mineralized rock assume a pore space filled with an electrolyte. We also found that the often-used agar gel is unsuitable for coupling the dried samples to the electrodes because it releases water into the sample. Coupling with plasticine is a feasible alternative because significantly less fluid is absorbed by the sample when it is incorporated into the sample holder.

1. Introduction

In recent years, interest in seafloor deposits, and in particular, seafloor massive sulfides (SMS), has been growing, as they are considered a significant potential source of base metals (Fe, Cu, Zn, Pb), e.g., [1]. SMS deposits can be found in regions of submarine volcanic activity, e.g., mid-ocean ridges, where they are generated by the interaction of cold seawater with hot mineral-rich fluids associated with hydrothermal vents. The estimated worldwide metal accumulation in these deposits in currently active volcanic zones is in the range of several 10s of millions of tons [2], but the occurrence of individual sites is unknown and needs to be explored in the future.
The induced polarization (IP) method has been used for ore exploration for many decades, e.g., [3,4]. Compared to DC resistivity or electromagnetic induction methods, IP provides complementary information on the frequency dependence of electrical conductivity. In order to use IP measurements for a characterization of the minerals, an understanding of the relationships between electrical properties and material properties, such as mineral type and mineral content, is required. However, the electrical properties of SMS are poorly known, as only a limited number of studies exist, e.g., [5,6,7]. One reason for the sparsity of studies may be that samples from the ocean are usually precious, and it is often not desirable to destroy them or to cut plugs out of them that fit into conventional sample holders. This problem and a potential solution were recently discussed by Wichmann and Hördt [8].
In order to generalize results obtained from laboratory measurements and to obtain an understanding of the underlying physical processes, theoretical models have been developed. These are often based on a single, metallic mineral grain surrounded by an electrolyte, e.g., [9,10,11,12,13]. Revil et al. [14] suggested an approach based on mixing laws with the aim of obtaining relatively simple relationships between IP-derived parameters and characteristics of the ore. Several alternative approaches exist to combine electrochemistry, mixing laws, or equivalent circuit models into a practicable macroscopic equation [15,16,17], but it is not clear yet which one will find a long-term usage.
Some of the models have been fairly successful in explaining experimental data. Tests were performed with artificial mixtures where the mineral content and geometrical parameters, such as the grain size distribution, are known, e.g., [18,19,20]. In general, depending on the model, a parameter related to the chargeability can be derived that seems to correlate with the metal content. Tartrat et al. [21] and Martin et al. [22] investigated the dependence of induced polarization parameters on the degree of saturation using synthetic mixtures of pyrite and silica grains. They were able to explain their observations at least qualitatively with simple conceptual models.
All the models referred to above have in common the fact that they are valid for disseminated minerals with low metal content below the percolation threshold, where the conducting mineral itself would make a significant contribution to the bulk conductivity. The electrical properties of massive sulfides with connected veins were studied in Wu et al. [23] based on numerical simulation, without an attempt to obtain an overall understanding of underlying processes.
However, (seafloor) massive sulfides are often conductive and exhibit a significant IP response. For example, Telford [24] summarizes: “At one time it was thought that massive sulfides should have a lower IP response than disseminated mineralization; this is theoretically reasonable… However, it is probable that the opposite is true”. More recently, this observation was confirmed by Spagnoli et al. [7] for the specific case of SMS, who found that (DC) conductivities were considerably larger than what could be explained by electrolytic conduction based on Archie’s law and also found large values for different measures of polarizability for many of their samples.
The observation that large conductivities beyond electrolytic conductivity go along with large polarizabilities suggests the hypothesis that the role of the electrolyte for the generation of polarization might not be as large as is assumed in most existing theories. In order to test this hypothesis, we carried out experiments in which we tried to remove the electrolyte from the samples as far as possible by systematic drying. Our result shows that the frequency-dependent conductivity does change if the amount of electrolyte is reduced/removed, but the polarization remains and can be as strong as with electrolyte.

2. Materials and Methods

For the present study, we used a subset of samples previously examined by Spagnoli et al. [7] and Wichmann and Hördt [8]. Spagnoli et al. [7] also provide a map of the locations of the sample origins. A detailed summary of sample properties, including porosity, and a corresponding definition of sample numbers, which we also use here, is provided in Table 1 of Spagnoli et al. [7]. The original set consists of 40 standard mini-cores, including massive sulfides, semi-massive sulfides, and host rocks, selected from different tectonic settings. In the work described here, we discarded the host rocks and some of the high-porosity breccias, which were mechanically too unstable for repetitive measurements, leaving us with sample numbers 11–36.
For the measurements of electrical properties, we used the same equipment and procedures described previously, the main components being a sample holder as pictured in Figure 1, based on the work of Kruschwitz et al. [25] and Hördt and Milde [26], and the BioLogic VMP3 instrument with the Low Current Option in the frequency range 10 3 10 2 Hz. The frequency was chosen to be consistent with earlier laboratory work on SIP for mineral exploration, e.g., [27], limited at the lower end by the data acquisition time, and at the higher end by electromagnetic coupling effects, e.g., [4].
The sample holder has a cylindrical cross-section of 2.5 cm, which corresponds approximately to the diameter of the samples. The current electrodes made of stainless steel are installed at the ends of the sample holder, whereas the potential electrodes are ring electrodes composed of some nickel-silver alloy. In order to prevent fluid or current from flowing between the samples and the walls of the sample holder, the samples are wrapped with PTFE tape. The space between the sample and the electrodes is filled with coupling material which is described in the following sections.
The following standard procedure was applied to all samples: First, the samples are measured in the fully saturated state. Before the measurement, the mass of the sample is determined. Saturation takes place in a desiccator and a pressure of ca. 10 mbar to replace potentially present residual electrolyte as far as possible. As in the work by Spagnoli et al. [7], we use highly conductive (5 S/m) salt water to replicate in situ seawater conditions. The sample is placed in a box in the desiccator where the solution is added drop by drop with a dropping funnel. After one day in the desiccator, the solution is replaced by fresh solution with the same conductivity in order to remove any salts from earlier measurements that may have dissolved out of the pore space and is stored in a closed box at 20 °C. After another three days, the sample is taken out of the solution and weighed again. The space between the sample and the electrodes is filled with the same conductive solution. After one day of storage in the climate chamber, the sample is measured at 20 °C.
Although we cannot be sure that we achieve full saturation with this method, further estimations using the resistivity changes in combination with Archie’s law lead us to believe that we at least approach full saturation even for the low porosity samples.
Immediately after each measurement, the samples are dried for several days in a vacuum oven (25 °C, 10 mbar) and then stored in a dry state. For measurements of dried samples, they were usually taken directly from their packaging and installed in the sample holder after determining the mass. When measuring dry samples, the space between the sample and the electrodes was filled with the respective coupling material under investigation. The coupling material will be discussed below. In our standard procedure on dried samples, we used plasticine (Creathek Softknete, VEDES AG, Nürnberg, Germany). After one day of storage at 20 °C, the sample is measured at 20 °C. After the measurement, the sample is first cleaned in a dry state, whereby residues of the plasticine inevitably remain in the sample. Then, the sample is weighed to determine the mass increase caused by the residual plasticine. Finally, the remaining plasticine is removed with water, and the sample is dried in a vacuum oven.
Agar gel was also used in some experiments for the coupling between sample and electrodes, which is a common possibility for measurements under saturated conditions [26]. The agar powder is dissolved in distilled water (1% solution) and heated, where it cools down the agar gels. The measurement is otherwise analogous to the measurement with plasticine. As it turned out that agar releases water into the sample, making it difficult to carry out measurements under “dry” conditions, special attention was devoted to this aspect during the measurements.
Since it is not obvious to what extent the standard drying procedure removes all electrolytes from the sample, we also investigate the dependence of the results on the duration of the drying procedure. For that purpose, we varied the drying time between 1, 3, and a maximum of 14 days for some samples. We also tried to prevent the sample from collecting air moisture by starting the measuring procedure immediately after drying.
The mass was determined before each measurement and after removal from the sample holder in order to estimate the extent to which liquid from the coupling material had penetrated into the pore space. The mass increase during conventional saturation with NaCl solution is chosen as a reference.

3. Results

3.1. Coupling Material

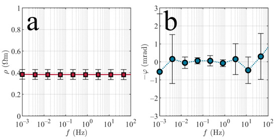
In this study, we use plasticine as a new material to couple the sample to the electrodes. Plasticine has the desired mechanical properties, i.e., it is sufficiently flexible to adapt to the shape of the space between the sample and electrode and sufficiently viscous to be easy to handle. To be suitable for coupling, the material must be sufficiently electrically conductive and must not be polarizable. In order to assess these criteria, we measured plasticine only, without any sample (Figure 2). The plasticine has a constant resistivity of about 0.4 Ω m and no phase shift of more than 1 mrad in the studied frequency range between 0.001 Hz and 100 Hz. Since the deviations of the plasticine phase shift from zero are less than the measurement noise, we hypothesize that plasticine has no significant phase response. If there is a non-zero response, it is smaller than 1 mrad. The samples in our investigations exclusively exhibit phase shifts much larger than 1 mrad. Thus, we consider the plasticine suitable for our study and probably also for future studies on other samples with much stronger accuracy constraints.
The properties of the agar gel as coupling material were not investigated separately, as they have been studied in detail by Hördt and Milde [26].
Since plasticine is an innovative material that, to our knowledge, has not been used previously, we measured most of our samples with both coupling materials to assess the differences that might be caused by the different coupling materials. Two examples (samples 14 and 25) are discussed here (Figure 3). The samples were dried and subsequently prepared with agar and plasticine and measured as described above. Both samples are Chimney-sulfides. Sample 14 (top row) is Zn-Ba dominated, whereas sample 25 (bottom row) is Cu-rich. Both have low resistivities that are likely caused by connected conductive veins and large polarizabilities, indicated by maximum phase shifts of several 100 s of mrad and imaginary conductivities σ larger than 1 mS/m.
A change in coupling material does not alter the general character of the spectra, i.e., a positive or negative trend with frequency is being maintained in the curve shapes. The magnitudes and detailed shapes, however, do depend on the coupling material. Resistivities are significantly smaller when agar gel is used, whereas imaginary conductivities are higher with agar gel over a broad frequency range.
The differences in the spectra correspond to differences in weight. In both cases (agar and plasticine), the samples were installed into the sample holder after drying and weighed before and after the measurements. The increase in weight that was generally observed was compared to the increase caused by full saturation with 5 mS/m NaCl solution.
Sample 14 experiences about 65% of the mass increase at saturation when coupled with agar (i.e., the weight of the dried sample before saturation with NaCl solution is 18.4 g, and the weight of the fully saturated sample is 21.2 g. The weight of the dried sample before the measurement with agar is 17.9 g, and the weight after the measurement with agar is 19.7 g. The weight of the dried sample changes because some material gets lost with every handling). When using plasticine, the mass increase is only 17%. For sample 25, the difference is even larger: With agar, the mass increase is 82%, and with plasticine, only 6%.
On average, over all samples, the use of agar increases the mass of the samples by 62%, whereas it only increased by 8% when using plasticine. The mass increase when using plasticine can be explained to a large extent by a small residue of plasticine that always remains in the upper pores before weighing, as it cannot easily be removed mechanically under dry conditions.
We conclude that the agar gel releases water into the otherwise dry samples during the storage time between installation and measurements, and therefore the measurements were carried out under partially saturated rather than dry conditions. We hypothesize that the difference between the coupling materials present in Figure 3 can almost entirely be attributed to differences in water saturation. Therefore, agar gel seems to be unsuitable for measurements on dry samples. Plasticine is by far the superior coupling material for this purpose and will be used throughout this study.

3.2. Dried vs. Saturated Samples

We systematically measured all samples, both fully saturated with 5 S/m NaCl solution and unsaturated, coupled with plasticine, in order to assess the role of the electrolyte in the polarization process. The samples exhibit a wide range of spectral behaviors, and there is no single common effect of drying. Therefore, we divide the samples into three categories and discuss two representative examples each, and then try to give an overview by discussing the representative parameters of all samples. The categories were defined according to the DC resistivity (using the lowest frequency value as a proxy) of the dried samples, where DC resistivities larger than 100 Ω m are the resistive category, less than 10 Ω m are termed “conductive” and between 10 and 100 Ω m are intermediate.
Figure 4 shows two examples of the high resistivity category. In both cases, the saturated resistivity is considerably smaller than the dry resistivity, indicating that the electrolytic conductivity dominates. For sample 12 (top row), the saturated resistivity is higher than for sample 17, which can be attributed to the smaller porosities (17.6% compared to 31.5%). For sample 12, however, the dried resistivity is almost 100,000 Ω m, which means that the contribution of connected conductive veins to the overall conductivity is probably negligible. For sample 17, connected veins likely contribute to the conductivity because the dry resistivity is much smaller compared to that of sample 12.
Our choice of parameters related to polarizability (Phase shift and imaginary conductivity) is redundant because they can be calculated out of each other with the help of resistivity magnitudes. As a first approximation, which gets better for smaller phase shifts, imaginary conductivity may be considered as the phase shift divided by resistivity. However, since phase shift is the value measured directly by the instrument, and imaginary conductivity is sometimes considered the better measure of polarizability that reflects the importance of the physical processes at the interface between mineral and electrolyte, e.g., [25], we find it useful to display both.
For sample 12, the phase shift is considerably increased (approx. 1 order of magnitude) by removing the electrolyte, whereas the imaginary conductivity is decreased (also approx. 1 order of magnitude). The data may be considered “well-behaved” in the sense that they may be explained by a simple conceptual model, in which the imaginary conductivity represents the polarization process, which is diminished by drying, and the resistivity represents the electrolytic conduction. The phase shift is even increased by drying, not because the polarization process is changed, but mostly because the (DC) resistivity is increased. Note that compared to the samples that follow, the polarization of sample 12 is relatively weak, and this could be a case that can be explained with conventional theories describing disseminated sulfides, where connected veins are unimportant.
Sample 17 (bottom row) has several similarities with sample 12, i.e., polarizability (measured by imaginary conductivity) is not too strong (compared to other samples below), polarizability is reduced by drying, and the change in phase shift is dominated by the increase in resistivity. However, compared to sample 12, the change in imaginary conductivity by drying is much more frequency-dependent, being significantly larger at high frequencies.
Figure 5 shows two examples of the conductive regime, where the DC resistivity even of the dry samples is below 10 Ω m, and does not strongly decrease even when saturated with conductive solution. The polarizabilities (measured by imaginary conductivity, right panels) are significantly larger than in Figure 4. The influence of drying is small; the maximum values remain high, and the spectral shapes are only slightly modified. A similar observation can be made for the phase shifts; they are modified by drying but remain large, in the range of several 100 mrad.
Note that the peak of the imaginary conductivity is more than a frequency decade away from the corresponding phase peak. This seems to be in conflict with a common perception that the two peaks should be close to each other. The reason lies in the strong frequency dependence of the resistivity magnitude. As a result, the low-frequency phase shifts, which are divided by resistivities to be converted to imaginary conductivity, are diminished, whereas the high-frequency phase shifts are amplified, and the peak moves to higher frequencies.
The two samples 21 and 25 represent the case where drying has little effect at all. Both conduction and polarization seem to be dominated by connected veins, and the electrolyte is not important.
Figure 6 shows two examples of the intermediate category, also to illustrate the range of spectral behaviors that can occur. In both cases, the resistivity is increased by drying but still is in a moderate range. The polarizability is diminished but still large compared to the resistive category (Figure 4). The spectral behavior is strongly modified. Conversely, for sample 27 (top row), the change of imaginary conductivity may be characterized as a change in slope, the pattern for sample 33 (bottom row) is more complicated. Note that the main constituent and porosity are different between sample 27 and 33, but there was no overall relationship between one of these parameters and the spectral changes.
One important observation over all spectra discussed here (Figure 4, Figure 5 and Figure 6) and including those not shown here, is that there is no specific frequency pattern, i.e., no frequency range where the impact of drying is particularly important or unimportant. Any hypothesis trying to limit the impact to specific frequency ranges would be falsified by our data. For example, imaginary conductivity is mainly reduced at high frequencies for sample 21 (Figure 5, top panel), and at low frequencies for sample 25 (Figure 5, bottom panel).
Figure 7 provides an overview of all samples under investigation. The sorting and numbering follow Spagnoli et al. [7], on the basis of the main mineral constituents. The resistivity at the minimum frequency f = 10 3 Hz was chosen as an approximation for the DC resistivity (panel a). For the phase shift and the imaginary conductivity, we chose the frequency at which the negative phase shift reaches its maximum. The values from the measurements on samples saturated with 5 S/m NaCl solution are indicated by symbols, again following the conventions chosen in Spagnoli et al. [7], whereas the results of the measurements on dry samples, coupled with plasticine, are displayed as a dotted line. Note that the fully saturated data are not identical to the ones in Spagnoli et al. [7] because they were remeasured here with five years in between. Differences can be attributed to changes in the sample, which we hypothesize to be caused by repeated saturation and desaturation. However, the overall characteristics, with Cu-bearing and Fe-bearing sulfides exhibiting the largest imaginary conductivities and smallest resistivities, while breccias and Zn-dominated sulfides having large resistivities, do not change between the two measurements. In addition, note that we omit samples 11–13 from the figure. They are Ba-rich (11-12) or Si-rich (13) and are of the poorly polarizable type shown in Figure 4, top panel. The resistivities are even larger than those shown in the figure; however, including them would spoil the vertical scale such that more important details would be lost.
The resistivities are exclusively increased by removing the electrolyte, which means that electrolytic conductivity is significant in all cases. The resistivity increase is around 1 order of magnitude for many of the samples but varies between several orders of magnitude (factor 6000 for sample 11) and a factor of 1.6, as is the case for sample 21, which was discussed in Figure 5. We conclude that, for most of the samples, the conductivity of connected conductive veins is also significant.
The imaginary conductivities, as a measure of polarizability, are typically reduced by drying by approx. 75%, but the overall picture is less clear than for the resistivities. For some samples, the imaginary conductivities are not changed significantly (less than a factor of three for 11 out of 26 samples), and for two samples (24 and 31) the imaginary conductivity is even increased by drying. We conclude that drying changes polarizability, but it does not erase it. Phase shifts are always increased by drying, with only one exception (sample 34). The increase in phase shift means that drying influences resistivity more than polarizability since the phase shift can be considered a multiplication of imaginary conductivity with resistivity.

3.3. Influence of Drying Duration

Since the background of our investigation is the interaction between the electrolyte and conductive veins for the generation of polarization, one important hypothesis is that residual moisture that is not removed by our standard drying procedure plays a major role. Since porosity itself is determined by a gravimetric method using the weight difference between fully saturated and dried samples, we could not determine the amount of residual moisture directly. Therefore, we try to assess the role of residual moisture by varying the drying procedure for some selected samples. For that purpose, we started the measurement immediately after removing the sample from the vacuum oven and skipped the storage under normal pressure and contact with air. We also varied the time in the vacuum chamber between 1 and 3 days. Figure 8 shows the spectra of sample 15 (panel a–c), which has a porosity of Φ = 0.334 and is rich in Zn and Ba, and Fe-rich sample 31 (panel d–f) with a porosity of Φ = 0.381 . The spectra at a drying time of one day and three days each in the vacuum oven and coupled with plasticine are compared with the spectra of the samples saturated with NaCl as well as those using the standard drying procedure. We assume that the standard drying is a little "weaker" than for the specific drying procedures because of the few days of storage between drying and measurement.
The main observation for both cases is that the drying procedure has only a minor influence compared to the difference between the saturated and the dried state. For both samples, resistivity is increased by drying, and imaginary conductivities and phase shifts remain large even after drying. Quantitatively, we observe that the duration of the drying does make a difference, but again there is no clear pattern concerning frequency dependence. Conversely, the resistivity slightly increases with drying time in both cases, the imaginary conductivity decreases with increasing drying time, with one important exception: for sample 31 (bottom row), the imaginary conductivity at high frequencies, close to the maximum, even increases for longer drying time.
To further corroborate the independence of the drying time, we extended the time to 14 days for one selected sample. The results for are shown in Figure 9 for sample 16 (Zn-Ba-rich, Φ = 0.233 ). Still, the impact of the duration of drying is significantly smaller than the impact of the drying itself. The resistivity is increased, but the additional increase by the longer drying is marginal compared to the original increase. The impact on the imaginary conductivity is again frequency-dependent: whereas at the smallest frequencies, imaginary conductivity is slightly decreased by the 14 d drying, at intermediate frequencies, it is even increased.

4. Discussion

Our experiments have shown that drying changes the electrical properties of the seafloor massive sulfide samples mainly in two ways: the (DC) resistivity is increased, and the imaginary conductivity, as a measure of polarizability, is decreased. The magnitude of the changes varies strongly among different samples and frequencies, and there is no clear frequency pattern that can be identified.
The increase in resistivity by drying is normally much weaker than what would be expected if electrolytic conduction were the only conduction mechanism: most samples remain conductive even after drying. For example, if we assume that the saturation reduces from full saturation ( S = 1 ) to a residual fluid content of 10% ( S = 0.1 ), and a saturation exponent of n = 2 in Archie’s law, e.g., [7], we obtain a reduction of electrolytic conductivity of two orders of magnitude. For most of our samples, the reduction is significantly less (e.g., approx. one order of magnitude for sample 15, Figure 8, top panel).
Additionally, most samples do not lose their polarizability from drying: imaginary conductivity remains high, and for some cases, it is even increased by drying. This behavior is fundamentally different from that normally observed for disseminated minerals. For example, Martin et al. [22] find a strong dependence of imaginary conductivity on saturation for their set of artificial sand-pyrite mixtures. They are also able to fully explain conductivity magnitudes by electrolytic conductivity. For many of our massive samples, electrolytic conductivity is not dominant, and imaginary conductivity does not strongly depend on saturation.
We cannot be sure and do not even claim, that our standard drying procedure removes the electrolyte entirely from the samples. It is quite likely that residual moisture remained in the samples; this is normal and has been observed for sediments as well, e.g., [28]. Even the uptake of moisture from the air after the completion of the drying procedure cannot be discarded. However, our experiments with variable duration have shown that more extensive drying does not change the results or the conclusions in any way; probably, the standard procedure removes all easily removable moisture sufficiently.
Therefore, we conclude that there must be a polarization mechanism that requires only a minimum, hardly removable amount of electrolyte, probably limited to the surface of the minerals. The polarization produced by this mechanism is relatively large, producing phase shifts of several 100s of mrad even under full saturation with a conductive solution.

5. Conclusions

We carried out experiments with dried seafloor massive sulfides and have shown that drying does not erase polarizability. The specific effect of drying depends on the sample, and for some samples, polarizability, measured by imaginary conductivity, is not even diminished. This result is significant because most existing theories to describe the polarization of mineralized rock assume disseminated minerals and rely on an interaction between a bulk electrolyte and conductive minerals. Our results show that strong polarization also occurs in non-disseminated minerals with only a minimum amount of electrolyte. Therefore, we suggest that theories aiming to describe the polarization of massive sulfides should be fundamentally different from those describing disseminated mineralization. Those theories potentially being developed in the future should include connected conductive veins as a central feature and should be able to explain large polarizabilities occurring in unsaturated conditions.
Agar gel, which is often used as a coupling material under saturated conditions, is unsuitable for unsaturated conditions because it releases water into the sample. Plasticine is a suitable alternative; it is sufficiently conductive, easy to handle, and not polarizable in the relevant frequency range. Furthermore, plasticine releases no or only minimal amounts of moisture into the sample, making it ideal for measurements under dry conditions.

Author Contributions

Conceptualization, A.H.; methodology, M.W.; software, M.W.; validation, M.W. and A.H.; formal analysis, M.W.; investigation, M.W.; resources, A.H.; data curation, M.W.; writing—original draft preparation, M.W.; writing—review and editing, M.W. and A.H.; visualization, M.W.; supervision, A.H.; funding acquisition, A.H. All authors have read and agreed to the published version of the manuscript.

Funding

This work was funded by Deutsche Forschungsgemeinschaft (DFG) under project 326799290.

Data Availability Statement

Data are available on request from the authors.

Acknowledgments

The authors thank Marion Jegen-Kulcsar and Sven Petersen from GEOMAR Helmholtz Centre for Ocean Research Kiel for providing the measured samples.

Conflicts of Interest

The authors declare no conflict of interest. The funders had no role in the design of the study, in the collection, analyses, or interpretation of data, in the writing of the manuscript, or in the decision to publish the results.

Abbreviations

The following abbreviations are used in this manuscript:
IPInduced polarization
SIPSpectral induced polarization
SMSSeafloor massive sulfides

References

  1. Hoagland, P.; Beaulieu, S.; Tivey, M.A.; Eggert, R.G.; German, C.; Glowka, L.; Lin, J. Deep-sea mining of seafloor massive sulfides. Mar. Policy 2010, 34, 728–732. [Google Scholar] [CrossRef]
  2. Hannington, M.; Jamieson, J.; Monecke, T.; Petersen, S.; Beaulieu, S. The abundance of seafloor massive sulfide deposits. Geology 2011, 39, 1155–1158. [Google Scholar] [CrossRef]
  3. Seigel, H.; Nabighian, M.; Parasnis, D.S.; Vozoff, K. The early history of the induced polarization method. Lead. Edge 2007, 26, 312–321. [Google Scholar] [CrossRef]
  4. Pelton, W.H.; Ward, S.H.; Hallof, P.G.; Sill, W.R.; Nelson, P.H. Mineral discrimination and removal of inductive coupling with multifrequency IP. Geophysics 1978, 43, 588–609. [Google Scholar] [CrossRef]
  5. Iturrino, G.J.; Davis, E.; Johnson, J.; Gröschel-Becker, H.; Lewis, T.; Chapman, D.; Cermak, V. Permeability, Electrical, and Thermal Properties of Sulfide, Sedimentary, and Basaltic Units from the Bent Hill Area of Middle Valley, Juan de Fuca Ridge. In Proceedings of the Ocean Drilling Program, Scientific Results; Zierenberg, R.A., Fouquet, Y., Miller, D.J., Normark, W.R., Eds.; Texas A&M University: College Station, TX, USA, 2000; Volume 169. [Google Scholar] [CrossRef]
  6. Bartetzko, A.; Klitzsch, N.; Iturrino, G.; Kaufhold, S.; Arnold, J. Electrical properties of hydrothermally altered dacite from the PACMANUS hydrothermal field (ODP Leg 193). J. Volcanol. Geotherm. Res. 2006, 152, 109–120. [Google Scholar] [CrossRef]
  7. Spagnoli, G.; Hannington, M.; Bairlein, K.; Hördt, A.; Jegen, M.; Petersen, S.; Laurila, T. Electrical properties of seafloor massive sulfides. Geo-Mar. Lett. 2016, 36, 235–245. [Google Scholar] [CrossRef]
  8. Wichmann, M.; Hördt, A. Estimation of Electrical Spectra of Irregular Embedded Samples. Minerals 2023, 13, 412. [Google Scholar] [CrossRef]
  9. Wong, J. An electrochemical model of the induced-polarization phenomenon in disseminated sulfide ores. Geophysics 1979, 44, 1245–1265. [Google Scholar] [CrossRef]
  10. Wong, J.; Strangway, D.W. Induced polarization in disseminated sulfide ores containing elongated mineralization. Geophysics 1981, 46, 1258–1268. [Google Scholar] [CrossRef]
  11. Bücker, M.; Orozco, A.F.; Kemna, A. Electrochemical polarization around metallic particles — Part 1: The role of diffuse-layer and volume-diffusion relaxation. Geophysics 2018, 83, E203–E217. [Google Scholar] [CrossRef]
  12. Bücker, M.; Undorf, S.; Orozco, A.F.; Kemna, A. Electrochemical polarization around metallic particles—Part 2: The role of diffuse surface charge. Geophysics 2019, 84, E57–E73. [Google Scholar] [CrossRef]
  13. Revil, A.; Vaudelet, P.; Su, Z.; Chen, R. Induced Polarization as a Tool to Assess Mineral Deposits: A Review. Minerals 2022, 12, 571. [Google Scholar] [CrossRef]
  14. Revil, A.; Florsch, N.; Mao, D. Induced polarization response of porous media with metallic particles—Part 1: A theory for disseminated semiconductors. Geophysics 2015, 80, D525–D538. [Google Scholar] [CrossRef]
  15. Shin, S.W.; Park, S.; Shin, D.B. Development of a new equivalent circuit model for spectral induced polarization data analysis of ore samples. Environ. Earth Sci. 2015, 74, 5711–5716. [Google Scholar] [CrossRef]
  16. Flekkøy, E.G. A physical basis for the Cole-Cole description of electrical conductivity of mineralized porous media. Geophysics 2013, 78, D355. [Google Scholar] [CrossRef]
  17. Gurin, G.; Titov, K.; Ilyin, Y.; Tarasov, A. Induced polarization of disseminated electronically conductive minerals: A semi-empirical model. Geophys. J. Int. 2015, 200, 1555–1565. [Google Scholar] [CrossRef]
  18. Mahan, M.; Redman, J.; Strangway, D. Complex Resistivity of Synthetic Sulphide Bearing Rocks. Geophys. Prospect. 1986, 34, 743–768. [Google Scholar] [CrossRef]
  19. Hupfer, S.; Martin, T.; Weller, A.; Günther, T.; Kuhn, K.; Ngninjio, V.D.N.; Noell, U. Polarization effects of unconsolidated sulphide-sand-mixtures. J. Appl. Geophys. 2015, 135, 456–465. [Google Scholar] [CrossRef]
  20. Gurin, G.; Tarasov, A.; Ilyin, Y.; Titov, K. Time domain spectral induced polarization of disseminated electronic conductors: Laboratory data analysis through the Debye decomposition approach. J. Appl. Geophys. 2013, 98, 44–53. [Google Scholar] [CrossRef]
  21. Tartrat, T.; Revil, A.; Abdulsamad, F.; Ghorbani, A.; Jougnot, D.; Coperey, A.; Yven, B.; De La Vaissière, R. Induced polarization response of porous media with metallic particles—Part 10: Influence of desiccation. Geophysics 2019, 84, E357–E375. [Google Scholar] [CrossRef]
  22. Martin, T.; Weller, A.; Behling, L. Desaturation effects of pyrite–sand mixtures on induced polarization signals. Geophys. J. Int. 2021, 228, 275–290. [Google Scholar] [CrossRef]
  23. Wu, C.; Zou, C.; Wu, T.; Shen, L.; Zhou, J.; Tao, C. Experimental study on the detection of metal sulfide under seafloor environment using time domain induced polarization. Mar. Geophys. Res. 2021, 42, 17. [Google Scholar] [CrossRef]
  24. Telford, W.M. Applied Geophysics, 2nd ed.; Cambridge University Press: Cambridge, UK, 1990. [Google Scholar] [CrossRef]
  25. Kruschwitz, S.; Binley, A.; Lesmes, D.; Elshenawy, A. Textural controls on low-frequency electrical spectra of porous media. Geophysics 2010, 75, WA113–WA123. [Google Scholar] [CrossRef]
  26. Hördt, A.; Milde, S. Studies with gel-filled sandstone samples with implications for the origin of induced polarization. Near Surf. Geophys. 2012, 10, 469–478. [Google Scholar] [CrossRef]
  27. Vanhala, H.; Peltoniemi, M. Spectral IP studies of Finnish ore prospects. Geophysics 1992, 57, 1545–1555. [Google Scholar] [CrossRef]
  28. Breede, K.; Kemna, A.; Esser, O.; Zimmermann, E.; Vereecken, H.; Huisman, J. Joint Measurement Setup for Determining Spectral Induced Polarization and Soil Hydraulic Properties. Vadose Zone J. 2011, 10, 716–726. [Google Scholar] [CrossRef]
Figure 1. The sample holder used for the study. The current is fed in at the current electrodes, “C”, while the potential is measured by two ring electrodes, “P”. The sample is installed in the center of the sample holder. Depending on the coupling material used, the space between the sample and electrodes is filled with NaCl solution, Agar, or plasticine. From Wichmann and Hördt [8].
Figure 1. The sample holder used for the study. The current is fed in at the current electrodes, “C”, while the potential is measured by two ring electrodes, “P”. The sample is installed in the center of the sample holder. Depending on the coupling material used, the space between the sample and electrodes is filled with NaCl solution, Agar, or plasticine. From Wichmann and Hördt [8].
Minerals 13 00867 g001
Figure 2. Results of the measurement on plasticine. The resistivity magnitude | ρ | (a) and the phase shift φ (b) vs. frequency f.
Figure 2. Results of the measurement on plasticine. The resistivity magnitude | ρ | (a) and the phase shift φ (b) vs. frequency f.
Minerals 13 00867 g002
Figure 3. Results of the SIP measurement on dried samples 14 (ac) and 25 (df). Spectra of resistivity ρ , phase shift φ and imaginary conductivity σ . Black stars: Coupling with agar (1%). Blue circles: coupling with plasticine.
Figure 3. Results of the SIP measurement on dried samples 14 (ac) and 25 (df). Spectra of resistivity ρ , phase shift φ and imaginary conductivity σ . Black stars: Coupling with agar (1%). Blue circles: coupling with plasticine.
Minerals 13 00867 g003
Figure 4. Comparison of resistivity, phase, and imaginary conductivity for sample 12 ((ac), Ba, Φ = 0.176 ) and 17 ((df), Zn, Φ = 0.315 ). Red squares: saturation and coupling with 5 S/m NaCl solution. Blue circles: coupling of dried sample with plasticine.
Figure 4. Comparison of resistivity, phase, and imaginary conductivity for sample 12 ((ac), Ba, Φ = 0.176 ) and 17 ((df), Zn, Φ = 0.315 ). Red squares: saturation and coupling with 5 S/m NaCl solution. Blue circles: coupling of dried sample with plasticine.
Minerals 13 00867 g004
Figure 5. Comparison of resistivity, phase, and imaginary conductivity for sample 21 ((ac), Cu-Zn, Φ = 0.294 ) and 25 ((df), Cu, Φ = 0.325 ). Red squares: saturation and coupling with 5 S/m NaCl solution. Blue circles: coupling of dried sample with plasticine.
Figure 5. Comparison of resistivity, phase, and imaginary conductivity for sample 21 ((ac), Cu-Zn, Φ = 0.294 ) and 25 ((df), Cu, Φ = 0.325 ). Red squares: saturation and coupling with 5 S/m NaCl solution. Blue circles: coupling of dried sample with plasticine.
Minerals 13 00867 g005
Figure 6. Comparison of resistivity, phase, and imaginary conductivity for sample 27 ((ac), Cu, Φ = 0.409 ) and 33 ((df), Fe, Φ = 0.279 ). Red squares: saturation and coupling with 5 S/m NaCl solution. Blue circles: coupling of dried sample with plasticine.
Figure 6. Comparison of resistivity, phase, and imaginary conductivity for sample 27 ((ac), Cu, Φ = 0.409 ) and 33 ((df), Fe, Φ = 0.279 ). Red squares: saturation and coupling with 5 S/m NaCl solution. Blue circles: coupling of dried sample with plasticine.
Minerals 13 00867 g006
Figure 7. Overview of the resistivity (a) at f min as well as maximum phase shift (b) and imaginary part of the conductivity (c) at the frequency of the phase maximum f ( φ max ) . The symbols show the measurements of samples saturated with 5 S/m NaCl solution. The dotted line shows the values of the same samples coupled with plasticine.
Figure 7. Overview of the resistivity (a) at f min as well as maximum phase shift (b) and imaginary part of the conductivity (c) at the frequency of the phase maximum f ( φ max ) . The symbols show the measurements of samples saturated with 5 S/m NaCl solution. The dotted line shows the values of the same samples coupled with plasticine.
Minerals 13 00867 g007
Figure 8. Comparison of resistivity, phase, and imaginary conductivity for sample 15 ((ac), Zn-Ba, Φ = 0.334 ) and 31 ((df), Fe, Φ = 0.381 ). Red squares: saturation and coupling with 5 S/m NaCl solution.Blue circles: standard drying. Green triangles: 1 d in a vacuum oven. Orange rhombus: 3 d in a vacuum oven. The dried samples were coupled with plasticine.
Figure 8. Comparison of resistivity, phase, and imaginary conductivity for sample 15 ((ac), Zn-Ba, Φ = 0.334 ) and 31 ((df), Fe, Φ = 0.381 ). Red squares: saturation and coupling with 5 S/m NaCl solution.Blue circles: standard drying. Green triangles: 1 d in a vacuum oven. Orange rhombus: 3 d in a vacuum oven. The dried samples were coupled with plasticine.
Minerals 13 00867 g008
Figure 9. Comparison of resistivity (a), phase (b), and imaginary part of the conductivity (c) for sample 16 (Zn-Ba, Φ = 0.233 ). Red squares: saturation and coupling with 5 S/m NaCl solution. Blue circles: standard drying. Green triangles: 14 d in a vacuum oven. The dried samples were coupled with plasticine.
Figure 9. Comparison of resistivity (a), phase (b), and imaginary part of the conductivity (c) for sample 16 (Zn-Ba, Φ = 0.233 ). Red squares: saturation and coupling with 5 S/m NaCl solution. Blue circles: standard drying. Green triangles: 14 d in a vacuum oven. The dried samples were coupled with plasticine.
Minerals 13 00867 g009
Disclaimer/Publisher’s Note: The statements, opinions and data contained in all publications are solely those of the individual author(s) and contributor(s) and not of MDPI and/or the editor(s). MDPI and/or the editor(s) disclaim responsibility for any injury to people or property resulting from any ideas, methods, instructions or products referred to in the content.

Share and Cite

MDPI and ACS Style

Wichmann, M.; Hördt, A. Measurement of Dried Seafloor Massive Sulfides. Minerals 2023, 13, 867. https://doi.org/10.3390/min13070867

AMA Style

Wichmann M, Hördt A. Measurement of Dried Seafloor Massive Sulfides. Minerals. 2023; 13(7):867. https://doi.org/10.3390/min13070867

Chicago/Turabian Style

Wichmann, Malte, and Andreas Hördt. 2023. "Measurement of Dried Seafloor Massive Sulfides" Minerals 13, no. 7: 867. https://doi.org/10.3390/min13070867

APA Style

Wichmann, M., & Hördt, A. (2023). Measurement of Dried Seafloor Massive Sulfides. Minerals, 13(7), 867. https://doi.org/10.3390/min13070867

Note that from the first issue of 2016, this journal uses article numbers instead of page numbers. See further details here.

Article Metrics

Back to TopTop