Vermiculite Modified with Fe3+ Polyhydroxy Cations Is a Low-Cost and Highly Available Adsorbent for the Removal of Phosphate Ions
Abstract
:1. Introduction
2. Materials and Methods
2.1. Chemicals and Starting Materials
2.2. Preparation and Characterization of the Adsorbents
2.3. Adsorption Studies
2.4. Computation
2.4.1. Adsorption Kinetics
2.4.2. Adsorption Isotherms
2.4.3. Data Fitting
3. Results
3.1. Characterization of Na-Vt and FeOH-Vt
3.2. Dose Effect
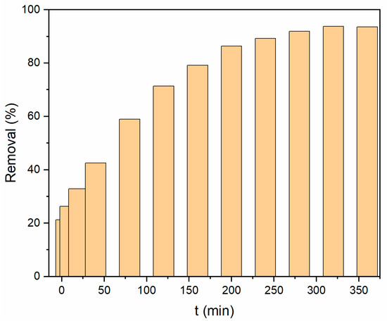
3.3. Adsorption Kinetics
3.4. Adsorption Isotherm
4. Discussion
5. Conclusions
Supplementary Materials
Author Contributions
Funding
Data Availability Statement
Conflicts of Interest
References
- Cunha, D.G.F.; Casali, S.P.; de Falco, P.B.; Thornhill, I.; Loiselle, S.A. The Contribution of Volunteer-Based Monitoring Data to the Assessment of Harmful Phytoplankton Blooms in Brazilian Urban Streams. Sci. Total Environ. 2017, 584–585, 586–594. [Google Scholar] [CrossRef] [PubMed]
- Abukhadra, M.R.; Adlii, A.; El-Sherbeeny, A.M.; Ahmed Soliman, A.T.; Abd Elgawad, A.E.E. Promoting the Decontamination of Different Types of Water Pollutants (Cd2+, Safranin Dye, and Phosphate) Using a Novel Structure of Exfoliated Bentonite Admixed with Cellulose Nanofiber. J. Environ. Manag. 2020, 273, 111130. [Google Scholar] [CrossRef] [PubMed]
- Zamparas, M.; Drosos, M.; Georgiou, Y.; Deligiannakis, Y.; Zacharias, I. A Novel Bentonite-Humic Acid Composite Material BephosTM for Removal of Phosphate and Ammonium from Eutrophic Waters. Chem. Eng. J. 2013, 225, 43–51. [Google Scholar] [CrossRef]
- Zamparas, M.; Drosos, M.; Kalavrouziotis, I.K. Sorption of Phosphate from Innovative Composite Material Focusing on Physicochemical Interactions. Desalin. Water Treat. 2019, 151, 212–218. [Google Scholar] [CrossRef]
- Zamparas, M.; Gianni, A.; Stathi, P.; Deligiannakis, Y.; Zacharias, I. Removal of Phosphate from Natural Waters Using Innovative Modified Bentonites. Appl. Clay Sci. 2012, 62–63, 101–106. [Google Scholar] [CrossRef]
- Zhang, Y.; Pan, B.; Shan, C.; Gao, X. Enhanced Phosphate Removal by Nanosized Hydrated La(III) Oxide Confined in Cross-Linked Polystyrene Networks. Environ. Sci. Technol. 2016, 50, 1447–1454. [Google Scholar] [CrossRef]
- Kurzbaum, E.; Bar Shalom, O. The Potential of Phosphate Removal from Dairy Wastewater and Municipal Wastewater Effluents Using a Lanthanum-Modified Bentonite. Appl. Clay Sci. 2016, 123, 182–186. [Google Scholar] [CrossRef]
- Li, J.R.; Xu, L.; He, M.M.; Xiao, H. Enhancement of Kaolin Adsorption Affinity Toward Phosphate by Sequestrating Naturally Abundant Ca/Mg From Seawater. Clean Soil Air Water 2018, 46. [Google Scholar] [CrossRef]
- Li, J.R.; Zhu, L.; Tang, J.; Qin, K.; Li, G.; Wang, T.H. Sequestration of Naturally Abundant Seawater Calcium and Magnesium to Enhance the Adsorption Capacity of Bentonite toward Environmental Phosphate. RSC Adv. 2016, 6, 23252–23259. [Google Scholar] [CrossRef]
- An, X.; Wu, Z.; Yu, J.; Ge, L.; Li, T.; Liu, X.; Yu, B. High-Efficiency Reclaiming Phosphate from an Aqueous Solution by Bentonite Modified Biochars: A Slow Release Fertilizer with a Precise Rate Regulation. ACS Sustain. Chem. Eng. 2020, 8, 6090–6099. [Google Scholar] [CrossRef]
- de Castro, L.; Brandão, V.; Bertolino, L.; de Souza, W.; Teixeira, V. Phosphate Adsorption by Montmorillonites Modified with Lanthanum/Iron and a Laboratory Test Using Water from the Jacarepaguá Lagoon (RJ, Brazil). J. Braz. Chem. Soc. 2018, 30, 641–657. [Google Scholar] [CrossRef]
- Zamparas, M.; Deligiannakis, Y.; Zacharias, I. Phosphate Adsorption from Natural Waters and Evaluation of Sediment Capping Using Modified Clays. Desalin. Water Treat. 2013, 51, 2895–2902. [Google Scholar] [CrossRef]
- El Bouraie, M.; Masoud, A.A. Adsorption of Phosphate Ions from Aqueous Solution by Modified Bentonite with Magnesium Hydroxide Mg(OH)2. Appl. Clay Sci. 2017, 140, 157–164. [Google Scholar] [CrossRef]
- Kong, L.; Tian, Y.; Li, N.; Liu, Y.; Zhang, J.; Zhang, J.; Zuo, W. Highly-Effective Phosphate Removal from Aqueous Solutions by Calcined Nano-Porous Palygorskite Matrix with Embedded Lanthanum Hydroxide. Appl. Clay Sci. 2018, 162, 507–517. [Google Scholar] [CrossRef]
- Kuroki, V.; Bosco, G.E.; Fadini, P.S.; Mozeto, A.A.; Cestari, A.R.; Carvalho, W.A. Use of a La(III)-Modified Bentonite for Effective Phosphate Removal from Aqueous Media. J. Hazard. Mater. 2014, 274, 124–131. [Google Scholar] [CrossRef]
- dos Anjos, V.E.; Rohwedder, J.R.; Cadore, S.; Abate, G.; Grassi, M.T. Montmorillonite and Vermiculite as Solid Phases for the Preconcentration of Trace Elements in Natural Waters: Adsorption and Desorption Studies of As, Ba, Cu, Cd, Co, Cr, Mn, Ni, Pb, Sr, V, and Zn. Appl. Clay Sci. 2014, 99, 289–296. [Google Scholar] [CrossRef]
- Abollino, O.; Giacomino, A.; Malandrino, M.; Mentasti, E. Interaction of Metal Ions with Montmorillonite and Vermiculite. Appl. Clay Sci. 2008, 38, 227–236. [Google Scholar] [CrossRef]
- Huo, J.; Min, X.; Wang, Y. Zirconium-Modified Natural Clays for Phosphate Removal: Effect of Clay Minerals. Environ. Res. 2021, 194, 110685. [Google Scholar] [CrossRef]
- Leite, S.T.; do Nascimento, F.H.; Masini, J.C. Fe(III)-Polyhydroxy Cations Supported onto K10 Montmorillonite for Removal of Phosphate from Waters. Heliyon 2020, 6, e03868. [Google Scholar] [CrossRef]
- Baigorria, E.; Cano, L.; Sapag, K.; Alvarez, V. Removal Efficiency of As(III) from Aqueous Solutions Using Natural and Fe(III) Modified Bentonites. Environ. Technol. 2021, 1–14. [Google Scholar] [CrossRef]
- Nascimento, F.H.D.; Masini, J.C. An Electrochemical Sequential Injection Method to Investigate the Adsorption of Selenite on Fe(III) Polyhydroxy Cations Intercalated Vermiculite. Water Sci. Technol. 2018, 2017, 134–143. [Google Scholar] [CrossRef] [PubMed]
- Bleam, W. Clay Mineralogy and Chemistry. In Soil and Environmental Chemistry; Academic Press: Cambridge, MA, USA, 2017; pp. 87–146. ISBN 9780128041789. [Google Scholar]
- Abate, G.; Lichtig, J.; Masini, J.C. Construction and Evaluation of a Flow-through Cell Adapted to a Commercial Static Mercury Drop Electrode (SMDE) to Study the Adsorption of Cd(II) and Pb(II) on Vermiculite. Talanta 2002, 58, 433–443. [Google Scholar] [CrossRef]
- Valášková, M.; Kupková, J.; Martynková, G.S.; Seidlerová, J.; Tomášek, V.; Ritz, M.; Kočí, K.; Klemm, V.; Rafaja, D. Comparable Study of Vermiculites from Four Commercial Deposits Prepared with Fixed Ceria Nanoparticles. Appl. Clay Sci. 2018, 151, 164–174. [Google Scholar] [CrossRef]
- Abate, G.; Masini, J.C. Influence of pH, Ionic Strength and Humic Acid on Adsorption of Cd(II) and Pb(II) onto Vermiculite. Colloids Surfaces A Physicochem. Eng. Asp. 2005, 262, 33–39. [Google Scholar] [CrossRef]
- Macht, F.; Eusterhues, K.; Pronk, G.J.; Totsche, K.U. Specific Surface Area of Clay Minerals: Comparison between Atomic Force Microscopy Measurements and Bulk-Gas (N2) and -Liquid (EGME) Adsorption Methods. Appl. Clay Sci. 2011, 53, 20–26. [Google Scholar] [CrossRef]
- Zarpon, L.; Abate, G.; do Santos, L.B.O.; Masini, J.C. Montmorillonite as an Adsorbent for Extraction and Concentration of Atrazine, Propazine, Deethylatrazine, Deisopropylatrazine and Hydroxyatrazine. Anal. Chim. Acta 2006, 579, 81–87. [Google Scholar] [CrossRef] [PubMed]
- Vieira dos Santos, A.C.; Masini, J.C. Evaluating the Removal of Cd(II), Pb(II) and Cu(II) from a Wastewater Sample of a Coating Industry by Adsorption onto Vermiculite. Appl. Clay Sci. 2007, 37, 167–174. [Google Scholar] [CrossRef]
- Infante, C.M.C.; Masini, J.C. Development of a Spectrophotometric Sequential Injection Methodology for Online Monitoring of the Adsorption of Paraquat on Clay Mineral and Soil. Spectrosc. Lett. 2007, 40, 3–14. [Google Scholar] [CrossRef]
- Abate, G.; Masini, J.C. Adsorption of Atrazine, Hydroxyatrazine, Deethylatrazine, and Deisopropylatrazine onto Fe(III) Polyhydroxy Cations Intercalated Vermiculite and Montmorillonite. J. Agric. Food Chem. 2005, 53, 1612–1619. [Google Scholar] [CrossRef]
- Do Nascimento, F.H.; de Souza Costa, D.M.; Masini, J.C. Evaluation of Thiol-Modified Vermiculite for Removal of Hg(II) from Aqueous Solutions. Appl. Clay Sci. 2016, 124–125, 227–235. [Google Scholar] [CrossRef]
- Abate, G.; Masini, J.C. Influence of PH and Ionic Strength on Removal Processes of a Sedimentary Humic Acid in a Suspension of Vermiculite. Colloids Surfaces A Physicochem. Eng. Asp. 2003, 226, 25–34. [Google Scholar] [CrossRef]
- Marcos, C.; Rodríguez, I.; Clauzio De Rennó, L.; Paredes, G.J. Vermiculite Surface Structure as Imaged by Contact Mode AFM. Eur. J. Mineral. 2004, 16, 597–607. [Google Scholar] [CrossRef]
- Hesse, P.R. A Textbook of Soil Chemical Analysis; John Murray Publishers: London, UK, 1971. [Google Scholar]
- Galhardo, C.X.; Masini, J.C. Spectrophotometric Determination of Phosphate and Silicate by Sequential Injection Using Molybdenum Blue Chemistry. Anal. Chim. Acta 2000, 417, 191–200. [Google Scholar] [CrossRef]
- Lagergren, S. About the Theory of So-Called Adsorption of Soluble Substances. K. Sven. Vetensk. Handl. 1898, 24, 1–39. [Google Scholar]
- Tran, H.N.; You, S.J.; Hosseini-Bandegharaei, A.; Chao, H.P. Mistakes and Inconsistencies Regarding Adsorption of Contaminants from Aqueous Solutions: A Critical Review. Water Res. 2017, 120, 88–116. [Google Scholar] [CrossRef]
- Blanchard, G.; Maunaye, M.; Martin, G. Removal of Heavy Metals from Waters by Means of Natural Zeolites. Water Res. 1984, 18, 1501–1507. [Google Scholar] [CrossRef]
- Weber, W.J.; Morris, J.C. Kinetics of Adsorption on Carbon from Solutions. J. Sanit. Eng. Div. 1963, 89, 31–59. [Google Scholar] [CrossRef]
- Hall, K.R.; Eagleton, L.C.; Acrivos, A.; Vermeulen, T. Pore- and Solid-Diffusion Kinetics in Fixed-Bed Adsorption under Constant-Pattern Conditions. Ind. Eng. Chem. Fundam. 1966, 5, 212–223. [Google Scholar] [CrossRef]
- Marcos, C.; Arango, Y.C.; Rodriguez, I. X-Ray Diffraction Studies of the Thermal Behaviour of Commercial Vermiculites. Appl. Clay Sci. 2009, 42, 368–378. [Google Scholar] [CrossRef]
- Shanableh, A.; Enshasi, G.; Elsergany, M. Phosphorous Adsorption Using Al3+/Fe3+-Modified Bentonite Adsorbents—Effect of Al3+ and Fe3+ Combinations. Desalin. Water Treat. 2016, 57, 15628–15634. [Google Scholar] [CrossRef]
- Tian, S.; Jiang, P.; Ning, P.; Su, Y. Enhanced Adsorption Removal of Phosphate from Water by Mixed Lanthanum/Aluminum Pillared Montmorillonite. Chem. Eng. J. 2009, 151, 141–148. [Google Scholar] [CrossRef]
- Wang, Y.; He, H.; Zhang, N.; Shimizu, K.; Lei, Z.; Zhang, Z. Efficient Capture of Phosphate from Aqueous Solution Using Acid Activated Akadama Clay and Mechanisms Analysis. Water Sci. Technol. 2018, 78, 1603–1614. [Google Scholar] [CrossRef] [PubMed]
- Chen, X.; Wu, L.; Liu, F.; Luo, P.; Zhuang, X.; Wu, J.; Zhu, Z.; Xu, S.; Xie, G. Performance and Mechanisms of Thermally Treated Bentonite for Enhanced Phosphate Removal from Wastewater. Environ. Sci. Pollut. Res. 2018, 25, 15980–15989. [Google Scholar] [CrossRef] [PubMed]
- Lin, J.; He, S.; Zhan, Y.; Zhang, H. Evaluation of Phosphate Adsorption on Zirconium/Magnesium-Modified Bentonite. Environ. Technol. 2020, 41, 586–602. [Google Scholar] [CrossRef]
- Huang, W.Y.; Li, D.; Liu, Z.Q.; Tao, Q.; Zhu, Y.; Yang, J.; Zhang, Y.M. Kinetics, Isotherm, Thermodynamic, and Adsorption Mechanism Studies of La(OH)3-Modified Exfoliated Vermiculites as Highly Efficient Phosphate Adsorbents. Chem. Eng. J. 2014, 236, 191–201. [Google Scholar] [CrossRef]
- Huang, W.; Chen, J.; He, F.; Tang, J.; Li, D.; Zhu, Y.; Zhang, Y. Effective Phosphate Adsorption by Zr/Al-Pillared Montmorillonite: Insight into Equilibrium, Kinetics and Thermodynamics. Appl. Clay Sci. 2015, 104, 252–260. [Google Scholar] [CrossRef]
- Wallis, P.J.; Gates, W.P.; Patti, A.F.; Scott, L.; Teoh, E. Cutting-Edge Research for a Greener Sustainable Future Assessing and Improving the Catalytic Activity of K-10 Montmorillonite. Green Chem. 2007, 9, 980–985. [Google Scholar] [CrossRef]
- Lin, J.; Jiang, B.; Zhan, Y. Effect of Pre-Treatment of Bentonite with Sodium and Calcium Ions on Phosphate Adsorption onto Zirconium-Modified Bentonite. J. Environ. Manag. 2018, 217, 183–195. [Google Scholar] [CrossRef]
- Masini, J.C.; Abate, G. Guidelines to Study the Adsorption of Pesticides onto Clay Minerals Aiming at a Straightforward Evaluation of Their Removal Performance. Minerals 2021, 11, 1282. [Google Scholar] [CrossRef]







| Parameter | PFO | PSO | I.D. |
|---|---|---|---|
| qe (µmol g−1) | 40 ± 1 | 50 ± 2 | - |
| k1,2 | 0.012 ± 0.001 | (2.4 ± 0.3) × 10−4 | - |
| kI.D. (µmol g−1 min1/2) | - | - | 2.67 ± 0.04 |
| C (µmol g−1) | - | - | 0.54 ± 0.32 |
| R2 | 0.987 | 0.992 | 0.998 |
| χ2 | 2.80 | 1.60 | - |
| Isotherm Parameter | Langmuir One-Site | Langmuir Two-Site | Freundlich |
|---|---|---|---|
| qmax,1 (µmol g−1) | 178 ± 24 | 30 ± 6 | - |
| qmax,2 (µmol g−1) | - | 269 ± 63 | - |
| KL,1 (L g−1) | (5 ± 2) × 10−4 | 0.02 ± 0.01 | - |
| KL,2 (L g−1) | - | (1.0 ± 0.5) × 10−4 | - |
| KF (µmol1−1/n g−1 L1/n) | - | - | 2.1 ± 0.3 |
| 1/n | - | - | 0.47 ± 0.02 |
| R2 | 0.95 | 0.998 | 0.996 |
| χ2 | 116 | 9.66 | 9.62 |
Publisher’s Note: MDPI stays neutral with regard to jurisdictional claims in published maps and institutional affiliations. |
© 2022 by the authors. Licensee MDPI, Basel, Switzerland. This article is an open access article distributed under the terms and conditions of the Creative Commons Attribution (CC BY) license (https://creativecommons.org/licenses/by/4.0/).
Share and Cite
do Nascimento, F.H.; Masini, J.C. Vermiculite Modified with Fe3+ Polyhydroxy Cations Is a Low-Cost and Highly Available Adsorbent for the Removal of Phosphate Ions. Minerals 2022, 12, 1033. https://doi.org/10.3390/min12081033
do Nascimento FH, Masini JC. Vermiculite Modified with Fe3+ Polyhydroxy Cations Is a Low-Cost and Highly Available Adsorbent for the Removal of Phosphate Ions. Minerals. 2022; 12(8):1033. https://doi.org/10.3390/min12081033
Chicago/Turabian Styledo Nascimento, Fernando H., and Jorge C. Masini. 2022. "Vermiculite Modified with Fe3+ Polyhydroxy Cations Is a Low-Cost and Highly Available Adsorbent for the Removal of Phosphate Ions" Minerals 12, no. 8: 1033. https://doi.org/10.3390/min12081033
APA Styledo Nascimento, F. H., & Masini, J. C. (2022). Vermiculite Modified with Fe3+ Polyhydroxy Cations Is a Low-Cost and Highly Available Adsorbent for the Removal of Phosphate Ions. Minerals, 12(8), 1033. https://doi.org/10.3390/min12081033

