Recovery of Platinum Group Metals from Leach Solutions of Spent Catalytic Converters Using Custom-Made Resins
Abstract
:1. Introduction
2. Materials and Methods
2.1. Reagents and Material
2.2. Instrumentation
2.3. Dismantling and Preparation of Leach Solutions
2.4. Leached Metal Solution Analysis
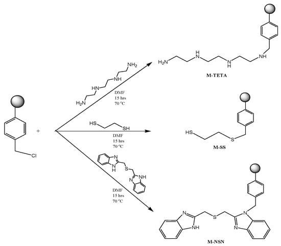
2.5. Synthesis of Bis((1H-benzimidazol-2-yl)methyl)sulfide (NSN)
2.6. Preparation of Functionalised Microspheres
2.7. Column Studies
3. Results and Discussion
3.1. Catalytic Converters Characterization
3.2. Leach Solution Analysis
3.3. Column Studies
3.3.1. Recovery of Platinum Group Metals
3.3.2. Recovery of Base Metals
4. Conclusions
Author Contributions
Funding
Data Availability Statement
Acknowledgments
Conflicts of Interest
References
- Yakoumis, I.; Panou, M.; Moschovi, A.M.; Panias, D. Recovery of Platinum Group Metals from Spent Automotive Catalysts: A Review. Clean. Eng. Technol. 2021, 3, 100112. [Google Scholar] [CrossRef]
- Quinet, P.; Proost, J.; van Lierde, A. Recovery of Precious Metals from Electronic Scrap by Hydrometallurgical Processing Routes. Min. Metall. Explor. 2005, 22, 17–22. [Google Scholar] [CrossRef]
- Ramanayaka, S.; Keerthanan, S.; Vithanage, M. Urban mining of E-waste: Treasure hunting for precious nanometals. In Handbook of Electronic Waste Management; Prasad, M.N.V., Vithanage, M., Borthakur, A., Eds.; Butterworth-Heinemann: Kidlington, UK, 2019; pp. 19–54. [Google Scholar] [CrossRef]
- Where Industry-Meets-Science. E-Waste Activities at Mintek Overview of Current WEEE Activities. 2016. Available online: https://wasteroadmap.co.za/wp-content/uploads/2020/03/weee2016_present11.pdf (accessed on 14 October 2021).
- Chen, X.; Lam, K.F.; Mak, S.F.; Yeung, K.L. Precious Metal Recovery by Selective Adsorption Using Biosorbents. J. Hazard. Mater. 2011, 186, 902–910. [Google Scholar] [CrossRef] [PubMed]
- Hagelüken, C. Recycling the Platinum Group Metals: A European Perspective Effective. Platin. Met. Rev. 2012, 56, 29–35. [Google Scholar] [CrossRef]
- Ding, Y.; Zhang, S.; Liu, B.; Zheng, H.; Chang, C.-C.; Ekberg, C. Recovery of Precious Metals from Electronic Waste and Spent Catalysts: A Review. Resour. Conserv. Recycl. 2019, 141, 284–298. [Google Scholar] [CrossRef]
- Liebenberg, K.E.; Ambushe, A.A.; Zinyemba, O. Adsorption of Selected Heavy and Precious Metals from Simulated Wastewater Using Fabricated Polyacrylonitrile (PAN) and Poly(4-Vinylpyridine) (P4VP) Monoliths. Minerals 2021, 11, 884. [Google Scholar] [CrossRef]
- Nicol, G.; Goosey, E.; Yildiz, D.S.; Loving, E.; Nguyen, V.T.; Riaño, S.; Yakoumis, I.; Martinez, A.M.; Siriwardana, A.; Unzurrunzaga, A.; et al. Platinum Group Metals Recovery Using Secondary Raw Materials (Platirus): Project Overview with a Focus on Processing Spent Autocatalyst. Johnson Matthey Technol. Rev. 2021, 65, 127–147. [Google Scholar] [CrossRef]
- Granados-Fernández, R.; Montiel, M.A.; Díaz-Abad, S.; Rodrigo, M.A.; Lobato, J. Platinum Recovery Techniques for a Circular Economy. Catalysts 2021, 11, 937. [Google Scholar] [CrossRef]
- International Platinum Group Metals Association. The Secondary Production and Recycling of Platinum Group Metals (PGMs). 2012, pp. 1–5. Available online: https://ipa-news.de/assets/sustainability/Secondary%20Production%20Fact%20Sheet_LR.pdf (accessed on 26 November 2021).
- Ryan, A.; Clarke, B.; Atilan, O.; Watts, J.; Trickey, S. Recycling: Volume, Momentum and Consequences for PGMs. In Proceedings of the 4th International Platinum Conference, Platinum in transition ‘Boom or Bust’, Sun City, Rustenburg, South Africa, 11–14 October 2010; The Southern African Institute of Mining and Metallurgy: Johannesburg, South Africa, 2010; pp. 383–386. [Google Scholar]
- Generowicz, N.; Kulczycka, J.; Partyka, M.; Saługa, K. Key Challenges and Opportunities for an Effective Supply Chain System in the Catalyst Recycling Market—A Case Study of Poland. Resources 2021, 10, 13. [Google Scholar] [CrossRef]
- Yakoumis, I.; Moschovi, A.M.; Giannopoulou, I.; Panias, D. Real Life Experimental Determination of Platinum Group Metals Content in Automotive Catalytic Converters. IOP Conf. Ser. Mater. Sci. Eng. 2018, 329, 012009. [Google Scholar] [CrossRef]
- Ilyas, S.; Kim, H. Recovery of Platinum-Group Metals from an Unconventional Source of Catalytic Converter Using Pressure Cyanide Leaching and Ionic Liquid Extraction. JOM 2022, 74, 1020–1026. [Google Scholar] [CrossRef]
- Paiva, A.P.; Piedras, F.V.; Rodrigues, P.G.; Nogueira, C.A. Hydrometallurgical Recovery of Platinum-Group Metals from Spent Auto-Catalysts—Focus on Leaching and Solvent Extraction. Sep. Purif. Technol. 2022, 286, 120474. [Google Scholar] [CrossRef]
- Morcali, M.H. A New Approach to Recover Platinum-Group Metals from Spent Catalytic Converters via Iron Matte. Resour. Conserv. Recycl. 2020, 159, 104891. [Google Scholar] [CrossRef]
- Manjunath, N.; Rajashekhar, C.R.; Venkatesh, J.; Yunus Khan, T.M.; Tirth, V.; Badruddin, I.A. Forensic Studies on Spent Catalytic Converters to Examine the Effect of Diesel and B100 Pongamia Biodiesel on Emissions. Sustainability 2021, 13, 10729. [Google Scholar] [CrossRef]
- Padamata, S.K.; Yasinskiy, A.S.; Polyakov, P.V.; Pavlov, E.A.; Varyukhin, D.Y. Recovery of Noble Metals from Spent Catalysts: A Review. Metall. Mater. Trans. B Process Metall. Mater. Process. Sci. 2020, 51, 2413–2435. [Google Scholar] [CrossRef]
- Tang, H.; Peng, Z.; Li, Z.; Ma, Y.; Zhang, J.; Ye, L.; Wang, L.; Rao, M.; Li, G.; Jiang, T. Recovery of Platinum-Group Metals from Spent Catalysts by Microwave Smelting. J. Clean. Prod. 2021, 318, 128266. [Google Scholar] [CrossRef]
- Jimenez De Aberasturi, D.; Pinedo, R.; Ruiz De Larramendi, I.; Ruiz De Larramendi, J.I.; Rojo, T. Recovery by Hydrometallurgical Extraction of the Platinum-Group Metals from Car Catalytic Converters. Miner. Eng. 2011, 24, 505–513. [Google Scholar] [CrossRef]
- Diac, C.; Maxim, F.I.; Tirca, R.; Ciocanea, A.; Filip, V.; Vasile, E.; Stamatin, S.N. Electrochemical Recycling of Platinum Group Metals from Spent Catalytic Converters. Metals 2020, 10, 822. [Google Scholar] [CrossRef]
- Benson, M.; Bennett, C.R.; Harry, J.E.; Patel, M.K.; Cross, M. The recovery mechanism of platinum group metals from catalytic converters in spent automotive exhaust systems. Resour. Conserv. Recycl. 2000, 31, 1–7. [Google Scholar] [CrossRef]
- Wiecka, Z.; Rzelewska-Piekut, M.; Regel-Rosocka, M. Recovery of Platinum Group Metals from Spent Automotive Converters by Leaching with Organic and Inorganic Acids and Extraction with Quaternary Phosphonium Salts. Sep. Purif. Technol. 2022, 280, 119933. [Google Scholar] [CrossRef]
- Anderson, C.G.; Cui, H. Advances in Mineral Processing and Hydrometallurgy. Metals 2021, 11, 1393. [Google Scholar] [CrossRef]
- Liu, C.; Sun, S.; Zhu, X.; Tu, G. Platinum Recovery from Hydrometallurgical Residue of Waste Automotive Catalysts Processing by High-Temperature Smelting Process. Min. Metall. Explor. 2021, 38, 203–215. [Google Scholar] [CrossRef]
- Karim, S.; Ting, Y.P. Recycling Pathways for Platinum Group Metals from Spent Automotive Catalyst: A Review on Conventional Approaches and Bio-Processes. Resour. Conserv. Recycl. 2021, 170, 105588. [Google Scholar] [CrossRef]
- Voncken, J.H.L. Recovery of Ce and La from Spent Automotive Catalytic Converters. In Critical and Rare Earth Elements; CRC Press: Boca Raton, FL, USA, 2019; pp. 267–273. [Google Scholar]
- Jha, M.K.; Lee, J.C.; Kim, M.S.; Jeong, J.; Kim, B.S.; Kumar, V. Hydrometallurgical Recovery/Recycling of Platinum by the Leaching of Spent Catalysts: A Review. Hydrometallurgy 2013, 133, 22–32. [Google Scholar] [CrossRef]
- Xolo, L.; Moleko-Boyce, P.; Makelane, H.; Faleni, N.; Tshentu, Z.R. Status of Recovery of Strategic Metals from Spent Secondary Products. Minerals 2021, 11, 673. [Google Scholar] [CrossRef]
- Khaliq, A.; Rhamdhani, M.A.; Brooks, G.; Masood, S. Metal Extraction Processes for Electronic Waste and Existing Industrial Routes: A Review and Australian Perspective. Resources 2014, 3, 152–179. [Google Scholar] [CrossRef] [Green Version]
- Ghodrat, M.; Sharafi, P.; Samali, B. Recovery of Platinum Group Metals out of Automotive Catalytic Converters Scrap: A Review Australian Trends and Challenges. In Proceedings of the Materials Processing Fundamentals Symposium held at the TMS Annual Meeting & Exhibition (TMS 2018), Phoenix, AZ, USA, 11–15 March 2018; Springer: Berlin/Heidelberg, Germany, 2018; pp. 149–161. [Google Scholar]
- Narita, H.; Nicolson, R.M.; Motokawa, R.; Ito, F.; Morisaku, K.; Goto, M.; Tanaka, M.; Heller, W.T.; Shiwaku, H.; Yaita, T.; et al. Proton Chelating Ligands Drive Improved Chemical Separations for Rhodium. Inorg. Chem. 2019, 58, 8720–8734. [Google Scholar] [CrossRef]
- Ueda, Y.; Morisada, S.; Kawakita, H.; Ohto, K. Selective Extraction of Platinum(Iv) from the Simulated Secondary Resources Using Simple Secondary Amide and Urea Extractants. Separations 2021, 8, 139. [Google Scholar] [CrossRef]
- Méndez, A.; Nogueira, C.A.; Paiva, A.P. Recovery of Platinum from a Spent Automotive Catalyst through Chloride Leaching and Solvent Extraction. Recycling 2021, 6, 27. [Google Scholar] [CrossRef]
- Fayemi, O.E.; Ogunlaja, A.S.; Kempgens, P.F.M.; Antunes, E.; Torto, N.; Nyokong, T.; Tshentu, Z.R. Adsorption and Separation of Platinum and Palladium by Polyamine Functionalized Polystyrene-Based Beads and Nanofibers. Miner. Eng. 2013, 53, 256–265. [Google Scholar] [CrossRef]
- Bernardis, F.L.; Grant, R.A.; Sherrington, D.C. A Review of Methods of Separation of the Platinum-Group Metals through Their Chloro-Complexes. React. Funct. Polym. 2005, 65, 205–217. [Google Scholar] [CrossRef]
- Magwa, N.P.; Hosten, E.; Watkins, G.M.; Tshentu, Z.R. The coordination and extractive chemistry of the later 3d transition metals with bis((1R-benzimidazol-2-yl)methyl)sulfide. J. Coord. Chem. 2013, 6, 114–125. [Google Scholar] [CrossRef]
- Agh-Atabay, N.M.; Dulger, B.; Gucin, F. Synthesis and investigation of antimicrobial activity of some bisbenzimidazole-derived chelating agents. Eur. J. Med. Chem. 2003, 38, 875–881. [Google Scholar] [CrossRef]
- Moleko-Boyce, P. Design of Metal Ion-Selective Reagents for Recovery of Precious Metals. Nelson Mandela University. 2019. Available online: http://hdl.handle.net/10948/42510 (accessed on 26 November 2021).
- Loferski, P. Minerals Yearbook; Platinum-Group Metals: Vancouver, BC, Canada, 2014. [Google Scholar]
- Hammadi, M.Q.; Yassen, R.S.; Abid, K.N. Recovery of Platinum and Palladium from Scrap Automotive Catalytic Converters. Al-Khwarizmi Eng. J. 2017, 13, 131–141. [Google Scholar] [CrossRef]
- Yakoumis, I.; Moschovi, A.; Panou, M.; Panias, D. Single-Step Hydrometallurgical Method for the Platinum Group Metals Leaching from Commercial Spent Automotive Catalysts. J. Sustain. Metall. 2020, 6, 259–268. [Google Scholar] [CrossRef]
- Murray, A.J. Recovery of Platinum Group Metals from Spent Furnace Linings and Used Automotive Catalysts. Ph.D. Thesis, University of Birmingham, Birmingham, UK, 2012. Available online: http://etheses.bham.ac.uk/id/eprint/7210 (accessed on 28 November 2021).
- Rzelewska-Piekut, M.; Paukszta, D.; Regel-Rosocka, M. Hydrometallurgical Recovery of Platinum Group Metals from Spent Automotive Converters. Physicochem. Probl. Miner. Process. 2021, 57, 83–94. [Google Scholar] [CrossRef]
- Lo, S.-Y.; Dianbudiyanto, W.; Liu, S.-H. Selective Recovery of Platinum from Spent Autocatalyst Solution by Thiourea Modified Magnetic Biocarbons. Sci. Rep. 2021, 11, 19281. [Google Scholar] [CrossRef]
- Tatarnikov, A.V.; Sokolskaya, I.; Shneerson, Y.M.; Lapin, A.Y.; Goncharov, P.M. Treatment of Platinum Flotation Products. Platin. Met. Rev. 2004, 48, 125–132. [Google Scholar] [CrossRef]











| No. | Element (wt%) | Diesel | Petrol | No. | Element (%) | Diesel | Petrol |
|---|---|---|---|---|---|---|---|
| 1 | Si | 31.60 | 1.07 | 13 | Zn | 1.21 | 0.23 |
| 2 | S | 22.93 | ND | 14 | Y | ND | 0.90 |
| 3 | Pt | 21.11 | 0.89 | 15 | Zr | 1.35 | 70.20 |
| 4 | Al | 12.59 | 4.76 | 16 | Mo | 0.07 | 0.34 |
| 5 | Fe | 3.66 | 0.96 | 17 | Pb | ND | 0.04 |
| 6 | V | ND | 11.77 | 18 | Pd | ND | 2.90 |
| 7 | Ti | 1.22 | ND | 19 | In | 0.70 | 0.35 |
| 8 | Cr | 0.87 | 4.69 | 20 | Rh | 0.73 | ND |
| 9 | Mn | 0.15 | 0.49 | 21 | Hf | ND | 1.04 |
| 10 | Cu | 0.85 | ND | 22 | Ta | ND | 1.10 |
| 11 | Co | 0.04 | 0.03 | 23 | W | 0.73 | 0.08 |
| 12 | Ni | 0.13 | 0.10 |
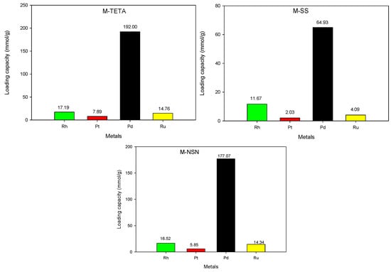
| Merrifield Resin | Rh (mmol/g) | Pt (mmol/g) | Pd (mmol/g) | Ru (mmol/g) | ||||
|---|---|---|---|---|---|---|---|---|
| Cycle 1 | Cycle 2 | Cycle 1 | Cycle 2 | Cycle 1 | Cycle 2 | Cycle 1 | Cycle 2 | |
| M-TETA | 17.19 | - * | 7.88 | - * | 192.00 | - * | 14.76 | - * |
| M-SS | 11.67 | 9.03 | 2.03 | 3.40 | 64.93 | 60.54 | 4.09 | 5.24 |
| M-NSN | 16.52 | 9.12 | 5.85 | 3.79 | 177.07 | 131.01 | 14.34 | 5.078 |
| Functionalized Microspheres | Zn (mmol/g) | Ni (mmol/g) | Fe (mmol/g) | Mn (mmol/g) | Cr (mmol/g) |
|---|---|---|---|---|---|
| M-TETA | - | 19.49 | - | 29.10 | 14.49 |
| M-SS | 37.77 | 26.82 | 25.25 | 30.45 | 26.57 |
| M-NSN | 9.02 | 74.91 | 489.55 | 29.64 | 140.34 |
Publisher’s Note: MDPI stays neutral with regard to jurisdictional claims in published maps and institutional affiliations. |
© 2022 by the authors. Licensee MDPI, Basel, Switzerland. This article is an open access article distributed under the terms and conditions of the Creative Commons Attribution (CC BY) license (https://creativecommons.org/licenses/by/4.0/).
Share and Cite
Moleko-Boyce, P.; Makelane, H.; Ngayeka, M.Z.; Tshentu, Z.R. Recovery of Platinum Group Metals from Leach Solutions of Spent Catalytic Converters Using Custom-Made Resins. Minerals 2022, 12, 361. https://doi.org/10.3390/min12030361
Moleko-Boyce P, Makelane H, Ngayeka MZ, Tshentu ZR. Recovery of Platinum Group Metals from Leach Solutions of Spent Catalytic Converters Using Custom-Made Resins. Minerals. 2022; 12(3):361. https://doi.org/10.3390/min12030361
Chicago/Turabian StyleMoleko-Boyce, Pulleng, Hlamulo Makelane, Mbokazi Z. Ngayeka, and Zenixole R. Tshentu. 2022. "Recovery of Platinum Group Metals from Leach Solutions of Spent Catalytic Converters Using Custom-Made Resins" Minerals 12, no. 3: 361. https://doi.org/10.3390/min12030361
APA StyleMoleko-Boyce, P., Makelane, H., Ngayeka, M. Z., & Tshentu, Z. R. (2022). Recovery of Platinum Group Metals from Leach Solutions of Spent Catalytic Converters Using Custom-Made Resins. Minerals, 12(3), 361. https://doi.org/10.3390/min12030361

