Abstract
When cassiterite polymetallic sulfide ore is being ground in the ball mill, the contradiction between over grinding of cassiterite and under grinding of sulfide ore is inevitable due to their mechanical property differences. In this paper, a selective grinding characterization method is proposed to optimize the grinding of cassiterite polymetallic sulfide ore based on the respective selective grinding indexes, namely, the changes in the cumulative grade and cumulative quantities of metal. The preferred grinding characteristics were studied by varying three grinding operation factors, the grinding time, grinding concentration, and mill speed, as these all affect the selective grinding behavior of the ball mill. In the proposed method, the breaking process preferentially begins with the Zn minerals in the cassiterite polymetallic sulfide ore; however, Sn minerals are found to break first when the specific energy of the grinding media is large. The differences in the crushing characteristics of Zn and Sn minerals narrow down as the grinding time and concentration increase. When the grinding concentration is lower than 50%, the two types of minerals are broken with little difference. However, when the grinding concentration is higher than 50%, the Zn minerals are broken prior to the Sn minerals.
1. Introduction
Grinding is the process of reducing the particle size of ore and providing qualified selected materials for subsequent separation operations with the help of the impact and grinding of a medium on ore in grinding equipment. Its main task is to maximize the dissociation of useful minerals and gangue minerals in the ore so as to provide materials whose particle size meets the requirements of the next beneficiation process. Different minerals exhibit different behaviors in the grinding process due to their unique mechanical properties. In the grinding process, minerals with high hardness experience less fragmentation, which results in a coarser particle size, while minerals with low hardness suffer greater fragmentation, which results in a finer particle size. This phenomenon is called mineral selective grinding [1,2]. In the past ten years, few studies have investigated the selective grinding phenomena and its application to manganese ore, molybdenum ore, fluorite, andalusite, talc, cassiterite, and waste circuit boards [3,4,5,6,7]. In this paper, the research predominantly focused on medium ratio optimization, crushing models, computer simulation optimization, and grinding circuit optimization [8,9,10,11,12,13,14,15,16,17]. For example, the selective grinding of bauxite was studied for the development and utilization of low-grade bauxite, including the influences of the mill type, media, and grinding agent. Ball mill is commonly applied to grind minerals by using steel balls to crush material. When the steel ball meets the material, the material breaks under a high concentration of stress. However, the poor accuracy of the breaking force at the contact point results in a poor selective dissociation of material and can easily lead to overgrinding [18,19,20]. Therefore, in this paper, a selective grinding characterization method based on changes in the cumulative grade and cumulative quantities of metal was presented to analyze the grinding behavior [21]. The materials evaluated in this study were cassiterite polymetallic sulfide ore, obtained from Dachang town in Guangxi province. The main components of the materials were cassiterite and sulfide, and the sulfide primarily consists of Zn minerals. Firstly, two metal grades of grinding Zn and Sn samples were studied. Secondly, the changes in the two selective grinding indexes were analyzed, including the changes in the cumulative grade and cumulative metal quantities as per the proposed characterization formula.
2. Materials and Methods
2.1. Materials
The material used in the testing was cassiterite polymetallic sulfide ore obtained from Dachang town in Guangxi province, which primarily consisted of marmatite, cassiterite, pyrite, pyrrhotite, jamesonite, arsenopyrite, and marcasite, and the main gangue minerals were quartz and calcite. The chemical composition and distribution rate of Zn and Sn metals in each particle size are shown in Table 1 and Table 2, respectively. The samples were broken down to −3 mm and sieved into five size fractions, namely, −3 + 2 mm, −2 + 1 mm, −1 + 0.425 mm, −0.425 + 0.150 mm, and −0.150 mm, to ensure the uniformity of the test samples. The five grain levels were then mixed, weighed, and measured. Each test took the original proportions of the five particle sizes. Grinding experiments were carried out using a ball mill (XMQ-Φ240×90).
Table 1.
Chemical components of the sample.
Table 2.
Grade and metal distribution of Zn and Sn in the sample.
2.2. Methods
Selective grinding refers to the non-equal crushing results of different mineral particles. Here, the selective grinding characterization method was analyzed with regard to the selective grinding behavior based on the changing cumulative grade and cumulative quantity of metal.
2.2.1. Evaluation of the Index Representing the Changes in the Cumulative Grade
Assuming that the whole material is composed of four mineral components: “A”, “B”, “C”, and “D”, we take “A” as an example to discuss its selective grinding. As shown in Figure 1, it is assumed that “A” is the original state of material composition, and “B”, “C”, and “D” are three different types of states of materials (converted to the original particle size) that are ground after a period of grinding time. State “B” is that mineral “A” is broken more and the grade decreases; the “C” state has equal probability of crushing and the grade remains unchanged; “D” state is that mineral “A” is less broken and the grade increases. It can be seen from Figure 1 that as long as the content of mineral “A” in the remaining material on the screen is known, we can judge what type of crushing has occurred to mineral “A”.
Figure 1.
The grinding of mineral A.
Therefore, for a material, a screening size is used to divide the material into two. As long as the content change of each mineral in the remaining part is investigated, we can know whether a mineral has been preferentially broken, that is, whether selective grinding has occurred. In fact, the first mock exam is equivalent to the change in accumulated grade on a sieve particle size sieve before and after grinding. Therefore, the cumulative metal grade change value on a mineral sieve can be designed as an evaluation index. The cumulative metal grade change on the sieve can be characterized by Equation (1).
The following equation describes the changes in the cumulative grade.
where represents the changes in the cumulative grade of particle size i in mineral A in %; represents the changes in the cumulative grade of particles above size i in raw mineral A in %; represents the changes in the cumulative grade of particles above size i in the grinding products from mineral A in %; i represents the particle size numbers of the grinding products, 1 ≤ i.
From Equation (1), when is less than zero, the cumulative grade of the particle sizes above i declines, mineral A is preferentially broken, and fragmentation is more obviously observed. In contrast, when the cumulative grade is greater than zero, the cumulative grade of particle sizes above i gets greater. When the cumulative grade is greater than zero, the cumulative grade of particle sizes above i remains unchanged and mineral A is not preferentially broken.
2.2.2. Evaluation of the Changes in Value of the Cumulative Metal Quantity
With mineral A as an example, represents the changes in the cumulative quantity of metal above particle size i in mineral A. The corresponding equation is as follows.
where represents the cumulative quantity of metal above particle size i in raw mineral A, and represents the cumulative quantity of metal above particle size i in the grinding products of mineral A. By this definition, both and are negative values. When is less than , the probability of mineral A being broken is greater than that of mineral B. In other words, mineral A is preferentially broken before mineral B. In comparison, the smaller is to , the higher the grinding priority of mineral A will be to that of mineral B. In other words, the selectivity of the grinding becomes more pronounced. On the other hand, when is greater than , vice versa.
3. Grinding Tests
3.1. Effects of the Grinding Time on Selective Grinding
Five grinding tests were conducted in a cone ball mill under conditions as follows: the grinding concentration was set at 60%, the filling ratio at 35%, and the durations of the five tests were 2, 4, 6, 8, and 10 min, respectively. The analysis results of grinding products when the grinding time is 2 min are shown in Table 3. Based on Equations (1) and (2) and Table 3, the cumulative grades and changes in the cumulative quantities of metal for all grinding times were evaluated for Zn and Sn. The results are shown in Table 4 and Table 5, and the corresponding curves are plotted in Figure 2 and Figure 3.
Table 3.
The analysis results of grinding product when grinding time is 2 min.
Table 4.
Changes in the cumulative grade for different grinding times.
Table 5.
Changes in the value of cumulative metal quantity for different grinding times.
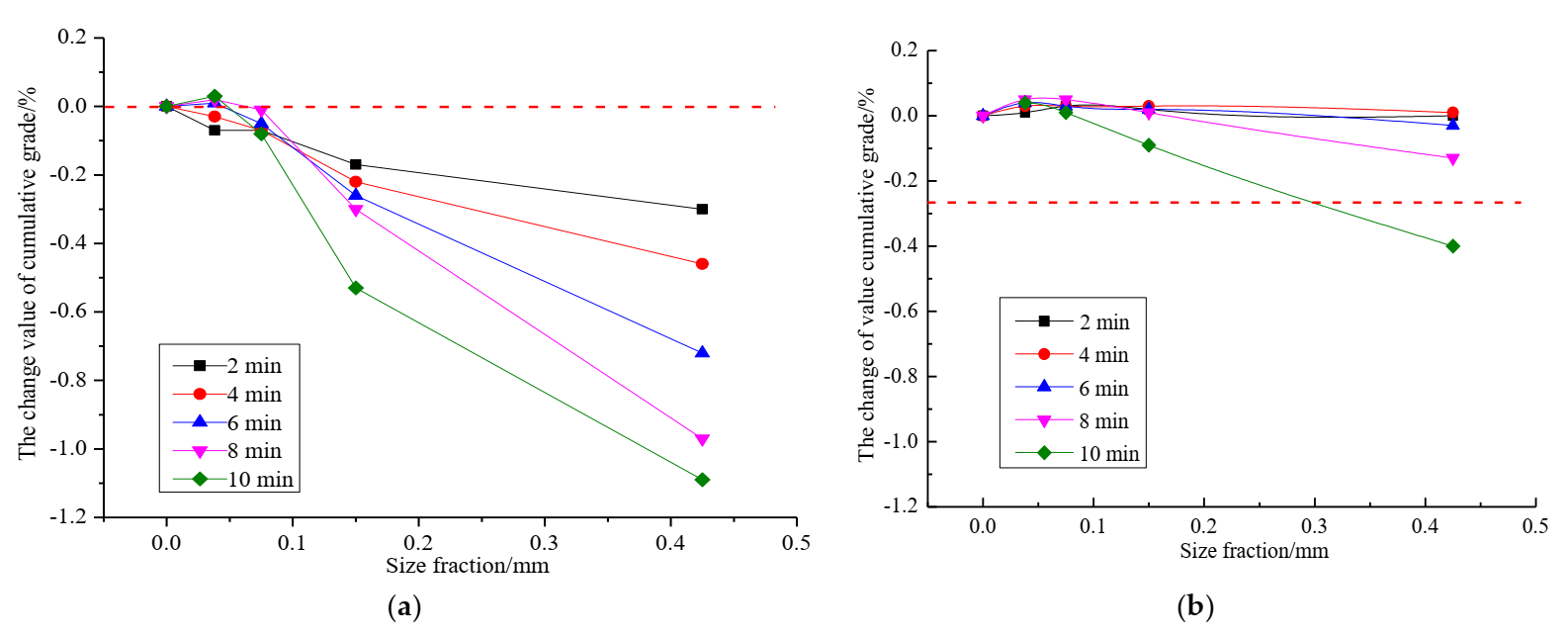
Figure 2.
Change in the cumulative grades versus the size fraction for different grinding times for (a) Zn cumulative grade and (b) Sn cumulative grade.

Figure 3.
Changes in the cumulative quantities of metal for Zn and Sn with various size fractions and grinding times. (a) Grinding time is 2 min. (b) Grinding time is 4 min. (c) Grinding time is 6 min. (d) Grinding time is 8 min. (e) Grinding time is 10 min.
As shown in Table 1 and Figure 2, the selective grinding characteristics of Zn for different durations in the ball mill were as follows. (1) The changes in the cumulative grade of each particle size became more negative as the grinding time prolonged, indicating that the Zn minerals were preferentially broken. (2) With the extension of grinding time, the changes in the cumulative grade of Zn became more negative along with increasing particle sizes (became coarser), indicating that as the grinding duration prolonged the preferential fragmentation characteristics of Zn minerals, coarser particle sizes became more evident. (3) For the same grinding duration, the Zn cumulative grade became increasingly negative as the particle size increased, thus causing the preferential fragmentation of Zn minerals in coarse particle size to be more evident.
Similarly, the selective grinding characteristics for Sn were as follows. (1) In contrast to Zn, for Sn, the changes in the cumulative grade of each particle size were positive for different grinding times, indicating that the Sn minerals are not broken preferentially. (2) As the grinding time prolonged, the cumulative values for coarse particles of Sn increased, indicating that the priority fragmentation of Sn minerals for coarse particles becomes more evident. (3) As the grinding time prolonged, the changes in the cumulative value of Sn for coarse particles became smaller and smaller, indicating that the priority fragmentation of Sn minerals for coarse particles is more evident.
The summary of Table 2 and Figure 3 is as follows. (1) For different grinding times, the changes in the cumulative quantities of metal for Sn were significantly higher than those for Zn, which indicates that the Zn mineral was preferentially broken before the Sn mineral. (2) With the increase in grinding time, Zn and Sn exhibited similar changes in the cumulative quantities of metal, and when the grinding time was set to 10 min, the two curves were basically identical. (3) The variation in the cumulative metal quantities of Zn and Sn decreased as the particle size became smaller, indicating that the selective crushing of Zn and Sn minerals decreased as the particle size became finer, which is consistent with the results of changes in the cumulative grade.
3.2. Effect of the Grinding Concentration on the Selective Grinding
Six grinding tests were conducted in a vibrating ball mill under the following conditions: the grinding time was set at 6 min, the filling ratio at 35%, and the grinding concentrations were set at 30%, 40%, 50%, 60%, 70%, and 80%. As shown in Equations (1) and (2), the changes in the cumulative grades and the changes in the cumulative quantities of metal for Zn and Sn are calculated and the results are recorded in Table 6 and Table 7. The corresponding curves are shown in Figure 4 and Figure 5.
Table 6.
Results of changes of cumulative grade with different grinding concentration.
Table 7.
Analyzing the changes in the cumulative quantities of metal for different grinding concentrations.
Figure 4.
Changes in the cumulative grades of Zn and Sn for different size fractions and grinding concentrations. (a) Zn cumulative grade. (b) Sn cumulative grade.

Figure 5.
Changes in the cumulative quantities of metal for Zn and Sn for different size fractions and grinding concentrations. (a) Grinding concentration is 30%. (b) Grinding concentration is 40%. (c) Grinding concentration is 50%. (d) Grinding concentration is 60%. (e) Grinding concentration is 70%. (f) Grinding concentration is 80%.
As shown in Table 6 and Figure 4, the selective grinding characteristics of Zn with different concentration are as follows. (1) The changes in the cumulative grade with all grinding concentrations in all particle sizes were negative, indicating that the Zn minerals were preferentially broken. (2) The greater the grinding concentration was, the smaller the change in the cumulative grade became at coarser particle sizes, indicating that greater grinding concentration leads to a smaller selectivity of Zn minerals. Thus, lower grinding concentration was found to be more beneficial for the selective crushing of Zn minerals. (3) At the same grinding concentration, the changes in the cumulative grade for coarser particle sizes were more negative, indicating that the preferential fragmentation characteristics of Zn minerals in coarser particle sizes are more evident. (4) When the grinding concentration was lower than 50%, the changes in the cumulative grade was the most negative at the size of −0.425 + 0.150 mm. In contrast, when the grinding concentration was higher than 50%, the changes in the cumulative grade were the most negative at a size of −3 + 0.425 mm. When the concentration was lower than 50%, Zn had the highest selectivity at the size of −0.425 + 0.150 mm. In contrast, when the concentration was higher than 50%, Zn had the highest selectivity at the particle size of −3 + 0.425 mm.
Similarly, the selective grinding characteristics for Sn are summarized as follows. (1) In contrast to Zn, the changes in the cumulative grades of all particle sizes were both positive and negative. When the grinding concentration was lower than 50%, the changes in the cumulative grades for all particle sizes were negative. However, when the grinding concentration was higher than 50%, the changes in the cumulative grades of all particle sizes were mostly positive. This indicates that the Sn minerals are preferentially broken when the grinding concentration is lower than 50%, but not preferentially broken when the grinding concentration is higher than 50%. At the same time, it is found that a low grinding concentration is beneficial for the selective crushing of Sn minerals. (2) As the grinding concentration increased, the changes in the cumulative grade at a particle size of −3 + 0.425 mm were negative, indicating that Sn minerals are preferentially broken at this particle size. (3) With the same grinding concentration, the smaller the changes were in the cumulative grade, the coarser the particle size was, and the more evident the preferential crushing of Sn minerals became, which is consistent with the above results.
The findings in Table 6 and Figure 4 are summarized below. (1) With the increase in grinding concentration, the differences in the cumulative quantities of metal for Zn and Sn increased. When the grinding concentration was lower than 50%, the relative changes in the cumulative quantities of metal for both Zn and Sn were similar. When the grinding concentration was higher than 50%, the changes in the cumulative quantities of metal for Sn were higher than those for Zn. When the grinding concentration was lower than 50%, there was little difference in the breaking behavior between Zn and Sn minerals; however, when the grinding concentration was higher than 50%, the Zn minerals were preferentially broken prior to the Sn minerals. (2) The relative changes in the cumulative quantities of metal for both Zn and Sn increased as the particle size decreased, indicating that the ability to selectively crush Zn and Sn minerals both decreased as the particle size became finer, which was consistent with the results of the changes in the cumulative grade.
3.3. Effect of the Mill Speed on the Selective Grinding
In ball milling, the motion state of the media can be classified into three states, namely, falling, throwing, and centrifugal state, as shown in Figure 6. Based on literature analysis and the design requirements [20], it was determined that when the mill speed was n ≤ 12.8 r/min, the media was in a falling state, and when the mill speed was 12.8 ≤ n ≤ 90.5 r/min, the media was in a throwing state with strong impacts and grinding, and when the mill speed was n = 90.5 r/min, the media in the mill was in a centrifugal state. As the mill speed exceeded this point, more media exhibited centrifugal movement, and when all the media behaved similarly, the grinding effect ceased.
Figure 6.
Motion state of the media in the mill. (a) Falling state. (b) Throwing state. (c) Centrifugal state.
When the mill speed was set at 12.8 r/min, the grinding concentration at 60%, and the filling ratio at 35%, grinding tests with durations of 10, 20, 30, and 40 min were respectively conducted, with results shown in Table 5 and Table 6. When the mill speed was set at 85 r/min, the grinding concentration at 60%, and the filling ratio at 35%, grinding tests with durations of 2, 4, 6, and 8 min were respectively conducted, with results shown in Table 8, Table 9, Table 10 and Table 11. The corresponding curves are shown in Figure 7, Figure 8, Figure 9 and Figure 10.
Table 8.
Changes in the cumulative grade for different grinding times when the mill speed is 12.8 r/min.
Table 9.
Changes in the cumulative quantities of metal for different grinding times when the mill speed is 12.8 r/min.
Table 10.
Changes in the cumulative grade for different grinding times when the mill speed is 85 r/min.
Table 11.
Changes in the cumulative quantities of metal for different grinding times when the mill speed is 85 r/min.
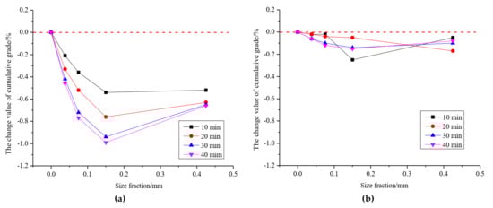
Figure 7.
The change in Zn and Sn cumulative grade with size fraction under different grinding time when the mill speed is 12.8 r/min. (a) Changes in the cumulative grade for Zn. (b) Changes in the cumulative grade for Sn.
Figure 8.
Change in the cumulative quantities of metal for various size fractions for different grinding times when the mill speed was 12.8 r/min. (a) Grinding time is 10 min. (b) Grinding time is 20 min. (c) Grinding time is 30 min. (d) Grinding time is 40 min.
Figure 9.
Changes in the cumulative grade for different size fractions and different grinding times when the mill speed is 85 r/min. (a) Changes in the cumulative grade for Zn. (b) Changes in the cumulative grade for Sn.
Figure 10.
Changes in the cumulative quantities of metal for Zn and Sn for various size fractions for different grinding times when the mill speed is 85 r/min. (a) Grinding time is 2 min. (b) Grinding time is 4 min. (c) Grinding time is 6 min. (d) Grinding time is 8 min.
Table 8 and Figure 7 show the selective grinding characteristics for Zn at the mill speed of 12.8 r/min with the media in the mill in the falling state. (1) The changes in the cumulative grade at all particle sizes for different grinding durations were negative, indicating that the Zn minerals are broken preferentially. (2) The longer the grinding time was, the more negative the changes were in the cumulative grade at each particle size, which indicates that the preferential fragmentation characteristics of Zn minerals are more evident as the grinding time increases. (3) At the same grinding time, when the particle size was greater than 0.425 mm, the cumulative grade changes for coarse particles were smaller, which indicates that the Zn minerals tend to be more selectively fragmented at coarse particle sizes than at fine particle sizes.
The selective grinding characteristics for Sn minerals in the throwing state are as follows. (1) The changes in the cumulative grade at all particle sizes for different grinding times were negative, which indicates that the Sn minerals are broken preferentially. (2) With the increase in the grinding time, the changes in the cumulative grade at each particle size decreased, indicating that the preferential fragmentation characteristics of the Sn minerals become more evident as the grinding time increases. (3) At the same grinding time, the changes in the cumulative grade of coarse particles became smaller when particle sizes were above 0.425 mm, which indicates that the Sn minerals at coarse particle sizes tend to be more selectively fragmented than at fine particle sizes.
The following is the summary of the findings in Table 9 and Figure 8. (1) For different grinding times, the relative changes in the cumulative quantities of metal for Sn were significantly higher than those for Zn, which indicates that the Zn minerals are preferentially broken. (2) As the grinding time increased, the relative changes in the cumulative metal quantities of Zn and Sn were similar. This indicates that the degree of fragmentation for both Zn and Sn minerals decreases as the grinding time increases. (3) With the decrease in particle sizes, the relative changes in the cumulative quantities of metal for both Zn and Sn also decreased, which indicates that the selective crushing of Zn and Sn minerals decreases as particle sizes become finer.
Observed from Table 10 and Figure 9, when the mill speed was 85 r/min and the media was in the throwing state, the summary of the selective grinding characteristics for Zn minerals is as follows. (1) The changes in the cumulative grade of the particles for different grinding times were negative, which indicates that the Zn minerals are preferentially broken. (2) The longer the grinding time was, the more negative the changes were in the cumulative grades of the particles, indicating that the preferential fragmentation characteristics of the Zn minerals become more evident as the grinding time increases. (3) For the same grinding time, the changes in the cumulative grades of the coarse particles were smaller when the particle sizes were larger than 0.425 mm, which indicates that the Zn minerals are more likely to be selectively fragmented at coarse particle sizes than at fine particle sizes.
Similarly, the selective grinding characteristics for the Sn minerals under the same conditions are as follows. (1) The changes in the cumulative grades of particles for different grinding times were negative, which indicates that the Sn minerals are preferentially broken. (2) With the increase in the grinding time, the changes in the cumulative grades at various particle sizes decreased, and the preferential fragmentation characteristics of Sn minerals became more evident. (3) For the same grinding time, the changes in the cumulative grades of coarse particles were smaller when the particle sizes were larger than 0.425 mm, which indicates that Sn minerals are more likely to be selectively fragmented at coarse particle sizes than at fine particle sizes.
The following is the summary of the findings from Table 11 and Figure 10. (1) For different grinding times, the changes in the cumulative quantity of metal for Sn were significantly larger than those for Zn, which indicates that the Zn minerals were more likely to be preferentially broken than the Sn minerals. (2) As the grinding time increased, the relative changes in the cumulative quantities of metal for Zn and Sn were similar, which indicates that the fragmentation degree of both Zn and Sn minerals decreases as the grinding time increases. (3) With the decrease in the particle sizes, the changes in the cumulative metal quantities of Zn and Sn also decreased, indicating that the selective crushing of Zn and Sn minerals decreases as the particle size becomes smaller, which is consistent with the results of the changes in the respective cumulative grades.
4. Conclusions
The following conclusions were drawn from this research:
- The grinding time, grinding concentration, and motion state of the media all influence the selective grinding of cassiterite polymetallic sulfide in a vibration mill.
- The Zn minerals in cassiterite polymetallic sulfide ore are broken prior to the Sn minerals. As the grinding time increases, Zn minerals exhibit more desirable coarse crushing characteristics. In addition, as the grinding concentration increases, the preferential crushing characteristics of the Zn minerals decrease, at which point low concentration grinding becomes advantageous for the selective crushing of Zn minerals.
- As the grinding time increases, the Sn minerals are more selectively crushed into coarser particles instead of fine particles. In addition, as the grinding concentration increases, the preferential crushing characteristics of the Zn minerals decrease. Sn minerals are preferentially broken when the grinding concentration is lower than 50%, and they are not preferentially broken when the grinding concentration is higher than 50%. Low concentration grinding is found to be favorable for the selective crushing of Sn minerals.
- The crushing differences between the Zn and Sn minerals decrease as the grinding time and grinding concentration increase. When the grinding concentration is lower than 50%, there is little difference in the fragmentation behaviors between Zn and Sn minerals; however, when the grinding concentration is higher than 50%, Zn minerals are preferentially broken prior to the Sn minerals.
Author Contributions
Conceptualization, J.Y.; Data curation, H.L.; Formal analysis, W.X.; Funding acquisition, S.M.; Investigation, X.D. and H.L.; Methodology, J.Y. and S.M.; Project administration, J.Y. and S.M.; Validation, J.Y.; Writing–original draft, J.Y.; Writing–review & editing, S.M. All authors have read and agreed to the published version of the manuscript.
Funding
This research was funded by the National Natural Science Foundation of China (No.51874105) and Guangxi Natural Science Foundation (No.2018GXNSFAA281204).
Institutional Review Board Statement
Not applicable.
Informed Consent Statement
Not applicable.
Data Availability Statement
Not applicable.
Conflicts of Interest
The authors declare no conflict of interest.
References
- Duan, X.X. Selective Grinding and Application; Metallurgical Industry Press: Beijing, China, 1991. (In Chinese) [Google Scholar]
- Petrakis, E.; Bartzas, G.; Komnitsas, K. Grinding Behavior and Potential Beneficiation Options of Bauxite Ores. Minerals 2020, 10, 314. [Google Scholar] [CrossRef] [Green Version]
- Tucker, P. The influence of pulp density on the selective grinding of ores. Int. J. Miner. Process. 1984, 12, 273–284. [Google Scholar] [CrossRef]
- Koyanaka, S.; Endoh, S.; Ohya, H. Effect of impact velocity control on selective grinding of waste printed circuit boards. Adv. Powder Technol. 2006, 17, 113–126. [Google Scholar] [CrossRef]
- Li, C.F.; Su, C.D. Selective grinding test of fluorite ore. J. Hebei Inst. Technol. 2006, 28, 7–10. (In Chinese) [Google Scholar]
- Zeng, G.Z.; Duan, X.X. Experimental study on selective grinding of bauxite by vertical ball mill. Min. Mach. 2009, 37, 58–60. (In Chinese) [Google Scholar]
- Han, Y.X.; Zhu, Y.M.; Tian, Y.L.; Wang, Z.H. Study on selective grinding of low-grade bauxite in vibration mill. J. Northeast. Univ. (Nat. Sci.) 2009, 30, 1489–1492. (In Chinese) [Google Scholar]
- Genç, Ö. Analysis of grinding media effect on specific breakage rate function of particles in a full-scale open circuit three-compartment cement ball mill. Miner. Eng. 2015, 81, 10–17. [Google Scholar] [CrossRef]
- Shi, F.; Kojovic, T.; Brennan, M. Modelling of vertical spindle mills. Part 1: Sub-models for comminution and classification. Fuel 2015, 143, 595–601. [Google Scholar] [CrossRef]
- Kojovic, T.; Shi, F.; Brennan, M. Modelling of vertical spindle mills. Part 2: Integrated models for E-mill, MPS and CKP mills. Fuel 2015, 143, 602–611. [Google Scholar] [CrossRef]
- Shi, F.; Kojovic, T. Validation of a model for impact breakage incorporating particle size effect. Int. J. Miner. Processing 2006, 82, 156–163. [Google Scholar] [CrossRef]
- Shi, F.; Xie, W. A specific energy-based size reduction model for batch grinding ball mill. Miner. Eng. 2015, 70, 130–140. [Google Scholar] [CrossRef]
- Tuzcu, E.T.; Rajamani, R.K. Modeling breakage rates in mills with impact energy spectra and ultrafast load cell data. Miner. Eng. 2010, 24, 252–260. [Google Scholar] [CrossRef]
- Carvalho, R.M.; Tavares, L.M. Predicting the effect of operating and design variables on breakage rates using the mechanistic ball mill model. Miner. Eng. 2013, 43–44, 91–101. [Google Scholar] [CrossRef]
- Vedat, D. The effects on the grinding parameters of chemical, morphological and mineralogical properties of three different calcites in a Hardgrove mill. Miner. Eng. 2022, 176, 107348. [Google Scholar]
- Ford, E.; Naude, N. Investigating the effect on power draw and grinding performance when adding a shell liner to a vertical fluidised stirred media mill. Miner. Eng. 2020, 160, 106698. [Google Scholar] [CrossRef]
- Powell, M.S.; Weerasekara, N.S.; Cole, S.; LaRoche, R.D.; Facier, J. DEM modelling of liner evolution and its influence on grinding rate in ball mills. Miner. Eng. 2010, 24, 341–351. [Google Scholar] [CrossRef]
- Gao, P.; Zhou, W.T.; Han, Y.X.; Li, Y.J.; Ren, W.L. Enhancing the capacity of large-scale ball mill through process and equipment optimization: An industrial test verification. Adv. Powder Technol. 2020, 5, 2079–2091. [Google Scholar] [CrossRef]
- Zhang, G.W.; Feng, Q.M.; Chen, Q.Y.; Zhang, P.M. Study on grinding media in selective grinding of bauxite. J. Cent. South Univ. (Sci. Technol.) 2004, 35, 552–556. (In Chinese) [Google Scholar]
- Yuan, Z.T.; Wang, Z.H.; Yin, W.Z. Study on strengthening of selective grinding process of bauxite by grinding aids. Met. Mine 2004, 337, 22–24. (In Chinese) [Google Scholar]
- Xue, T.L. Research on Cassiterite Polymetallic Sulfide Ore Selective Grinding Behavior. Master’s Thesis, Guangxi University, Nanning, China, 2014. (In Chinese). [Google Scholar]
Publisher’s Note: MDPI stays neutral with regard to jurisdictional claims in published maps and institutional affiliations. |
© 2022 by the authors. Licensee MDPI, Basel, Switzerland. This article is an open access article distributed under the terms and conditions of the Creative Commons Attribution (CC BY) license (https://creativecommons.org/licenses/by/4.0/).