Revisiting the Bøggild Intergrowth in Iridescent Labradorite Feldspars: Ordering, Kinetics, and Phase Equilibria
Abstract
1. Introduction
2. Materials and Methods
3. Results
3.1. TEM and STEM
3.2. Atom Probe Tomography
3.3. Single-Crystal X-ray Diffraction
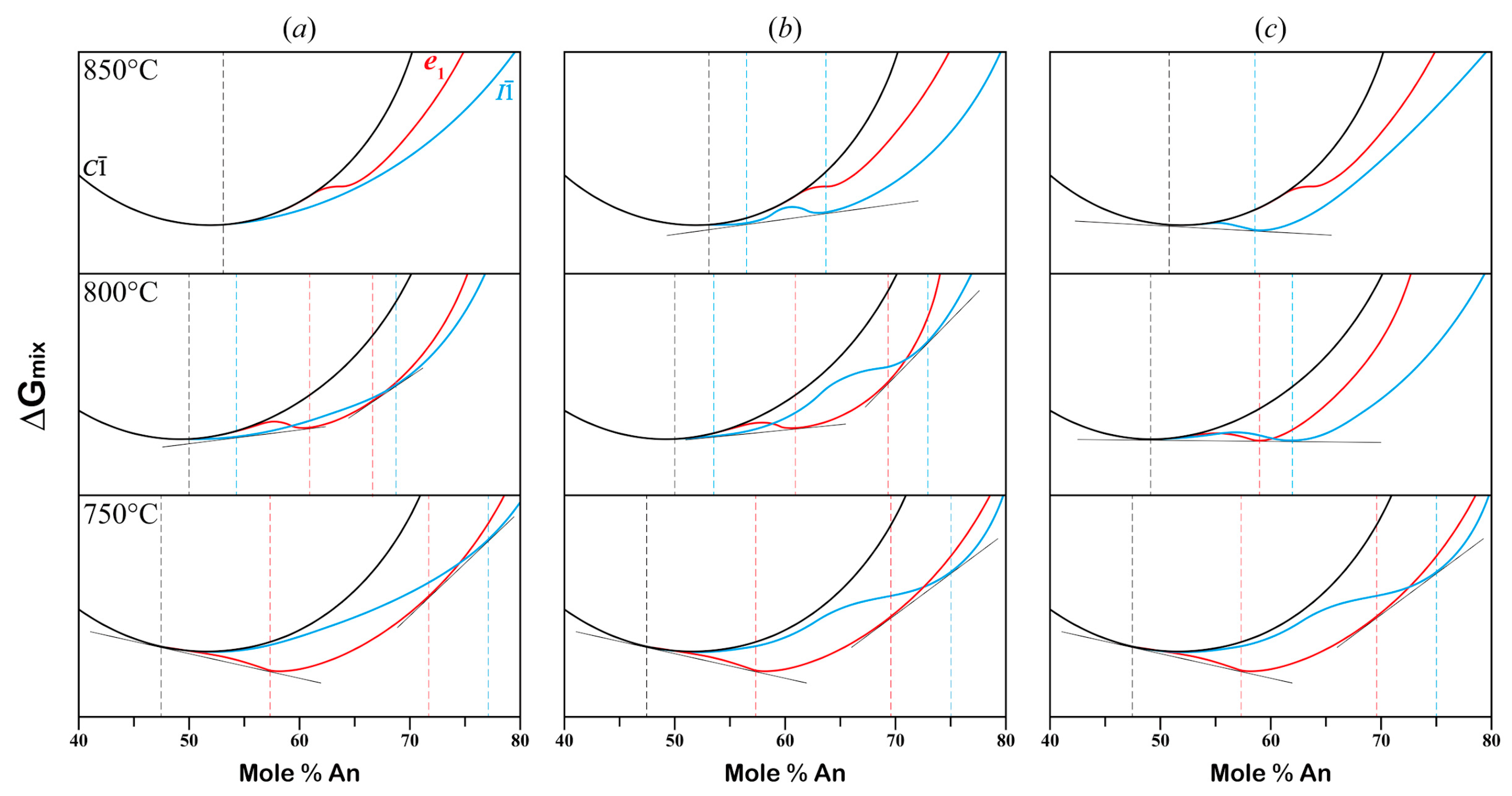
4. Discussion
5. Conclusions
Supplementary Materials
Author Contributions
Funding
Data Availability Statement
Acknowledgments
Conflicts of Interest
References
- Rose, G. Über Den Feldspat, Albit, Labradorit Und Anorthit. Ann. Phys. Chem. 1823, 73, 175–208. [Google Scholar] [CrossRef][Green Version]
- Ribbe, P.H. Exsolution textures in ternary and plagioclase feldspars; interference colors. In Feldspar Mineralogy; Ribbe, P.H., Ed.; Reviews in Mineralogy; Mineralogical Society of American: Washington, DC, USA, 1983; pp. 241–270. [Google Scholar]
- Strutt, R.J. Studies of Iridescent Colour and the Structure Producing It. III. The Colours of Labrador Felspar. Proc. R. Soc. Lond. Ser. A 1923, 103, 34–45. [Google Scholar]
- Bøggild, O.B. On the Labradorization of the Feldspars. 1924. Available online: http://gymarkiv.sdu.dk/MFM/kdvs/mfm%201-9/mfm-6-3.pdf (accessed on 2 July 2021).
- Smith, J.V.; Brown, W.L. Feldspar Minerals; Springer: Berlin/Heidelberg, Germany, 1988; ISBN 0-387-17692-6. [Google Scholar]
- Nissen, H.-U.; Champness, P.E.; Cliff, G.; Lorimer, G.W. Chemical Evidence for Exsolution in a Labradorite. Nat. Phys. Sci. 1973, 245, 135–137. [Google Scholar] [CrossRef]
- Cliff, G.; Champness, P.E.; Nissen, H.-U.; Lorimer, G.W. Analytical Electron Microscopy of Exsolution Lamellae in Plagioclase Feldspars. In Electron Microscopy in Mineralogy; Wenk, H.R., Ed.; Springer: Berlin/Heidelberg, Germany, 1976; pp. 258–265. ISBN 978-3-642-66196-9. [Google Scholar]
- Hoshi, T.; Tagai, T.; Suzuki, M. Investigations on Bøggild Intergrowth of Intermediate Plagioclase by High Resolution Transmission Electron Microscopy. Z. Krist. Cryst. Mater. 1996, 211, 879–883. [Google Scholar] [CrossRef]
- Miúra, Y.; Tomisaka, T. Ion Microprobe Mass Analysis of Exsolution Lamellae in Labradorite Feldspar. Am. Mineral. 1978, 63, 584–590. [Google Scholar]
- Olsen, A. Lattice Parameter Determination of Exsolution Structures in Labradorite Feldspars. Acta Crystallogr. Sect. A 1977, 33, 706–712. [Google Scholar] [CrossRef]
- McConnell, J.D.C. Electron-optical study of the fine structure of a schiller labradorite. In The Feldspars; MacKenzie, W.S., Zussman, J., Eds.; Manchester University Press: New York, NY, USA, 1974; pp. 478–490. [Google Scholar]
- McConnell, J.D.C. Analysis of the time-temperature-transformation behaviour of the plagioclase feldspars. In The Feldspars; MacKenzie, W.S., Zussman, J., Eds.; Manchester University Press: New York, NY, USA, 1974; pp. 460–477. [Google Scholar]
- Carpenter, M.A. Subsolidus phase-relations of the plagioclase feldspar solid-solution. In Feldspars and Their Reactions; Parsons, I., Ed.; Kluwer Academic Publishers: Dordrecht, The Netherlands, 1994; Volume 421, pp. 221–269. ISBN 0258-2023. [Google Scholar]
- Jin, S.; Xu, H. Solved: The Enigma of Labradorite Feldspar with Incommensurately Modulated Structure. Am. Mineral. 2017, 102, 21–32. [Google Scholar] [CrossRef]
- Jin, S.; Xu, H. Study on Structure Variations of Incommensurately Modulated Labradorite Feldspars with Different Cooling Histories. Am. Mineral. 2017, 102, 1328–1339. [Google Scholar] [CrossRef]
- Toman, K.; Frueh, A.J. On the Origin of Plagioclase Satellite Reflections. Acta Crystallogr. Sect. B 1971, 27, 2182–2186. [Google Scholar] [CrossRef]
- Toman, K.; Frueh, A.J. Intensity Averages of Plagioclase Satellites: Distribution in Reciprocal Space. Acta Crystallogr. Sect. B 1972, 28, 1657–1662. [Google Scholar] [CrossRef]
- Toman, K.; Frueh, A.J. Modulated Structure of an Intermediate Plagioclase. I. Model and Computation. Acta Crystallogr. Sect. B 1976, 32, 521–525. [Google Scholar] [CrossRef]
- Toman, K.; Frueh, A.J. Modulated Structure of an Intermediate Plagioclase. II. Numerical Results and Discussion. Acta Crystallogr. Sect. B 1976, 32, 526–538. [Google Scholar] [CrossRef]
- Horst, W.; Tagai, T.; Korekawa, M.; Jagodzinski, H. Modulated Structure of a Plagioclase An₅₂: Theory and Structure Determination. Z. Krist. Cryst. Mater. 1981, 157, 233–250. [Google Scholar] [CrossRef]
- Yamamoto, A.; Nakazawa, H.; Kitamura, M.; Morimoto, N. The Modulated Structure of Intermediate Plagioclase Feldspar CaxNa1−xAl1+xSi3−xO₈. Acta Crystallogr. Sect. B 1984, 40, 228–237. [Google Scholar] [CrossRef]
- Boysen, H.; Kek, S. The Modulated Structure of Labradorite. Z. Krist. Cryst. Mater. 2015, 230, 23–36. [Google Scholar] [CrossRef]
- Jin, S.; Xu, H.; Wang, X.; Jacobs, R.; Morgan, D. The Incommensurately Modulated Structures of Low-Temperature Labradorite Feldspars: A Single-Crystal X-ray and Neutron Diffraction Study. Acta Crystallogr. Sect. B 2020, 76, 93–107. [Google Scholar] [CrossRef] [PubMed]
- Smith, J.V. Feldspar Minerals; Springer: Berlin, Germany; New York, NY, USA, 1974; ISBN 0387064907. [Google Scholar]
- Smith, J.V. Phase relations of plagioclase feldspars. In Feldspars and Feldspathoids; Brown, W.L., Ed.; Reidel Publishing Company: Dordrecht, The Netherlands, 1984; Volume 137, pp. 55–94. ISBN 94-015-6931-2. [Google Scholar]
- McConnell, J.D.C. The Origin and Characteristics of the Incommensurate Structures in the Plagioclase Feldspars. Can. Mineral. 2008, 46, 1389–1400. [Google Scholar] [CrossRef]
- Grove, T.L.; Ferry, J.M.; Spear, F.S. Phase Transitions and Decomposition Relations in Calcic Plagioclase. Am. Mineral. 1983, 68, 41–59. [Google Scholar]
- Grove, T.L.; Ferry, J.M.; Spear, F.S. Phase Transitions in Calcic Plagioclase: A Correction and Further Discussion. Am. Mineral. 1986, 71, 1049–1050. [Google Scholar]
- Xu, H.; Jin, S.; Noll, B.C. Incommensurate Density Modulation in a Na-Rich Plagioclase Feldspar: Z-Contrast Imaging and Single-Crystal X-ray Diffraction Study. Acta Crystallogr. Sect. B 2016, 72, 904–915. [Google Scholar] [CrossRef] [PubMed]
- Jin, S.; Xu, H. Investigations of the Phase Relations among e1, e2 and Structures of Na-Rich Plagioclase: A Single-Crystal X-ray Diffraction Study. Acta Crystallogr. Sect. B 2017, 73, 992–1006. [Google Scholar] [CrossRef]
- Jin, S.; Wang, X.; Xu, H. Revisiting the Structures of High-Temperature Ca-Rich Plagioclase Feldspar—A Single-Crystal Neutron and X-ray Diffraction Study. Acta Crystallogr. Sect. B 2018, 74, 152–164. [Google Scholar] [CrossRef]
- Jin, S.; Xu, H.; Wang, X.; Zhang, D.; Jacobs, R.; Morgan, D. The Incommensurately Modulated Structures of Volcanic Plagioclase: Displacement, Ordering and Phase Transition. Acta Crystallogr. Sect. B 2019, 75, 643–656. [Google Scholar] [CrossRef] [PubMed]
- Ferry, J.M. A Case Study of the Amount and Distribution of Heat and Fluid during Metamorphism. Contrib. Mineral. Petrol. 1980, 71, 373–385. [Google Scholar] [CrossRef]
- Petříček, V.; Dušek, M.; Palatinus, L. Crystallographic Computing System JANA2006: General Features. Z. Krist. Cryst. Mater. 2014, 229, 345–352. [Google Scholar] [CrossRef]
- Wenk, H.-R.; Nakajima, Y. Structure, Formation, and Decomposition of APB’s in Calcic Plagioclase. Phys. Chem. Miner. 1980, 6, 169–186. [Google Scholar] [CrossRef]
- Hashimoto, H.; Nissen, H.-U.; Ono, A.; Kumao, A.; Endoh, H.; Woensdregt, C.F. High-resolution electron microscopy of labradorite feldspar. In Electron Microscopy in Mineralogy; Springer: Berlin/Heidelberg, Germany, 1976; pp. 332–344. ISBN 3-642-66198-X. [Google Scholar]
- Lorimer, G.W.; Cliff, G. Analytical Electron Microscopy of Minerals. In Electron Microscopy in Mineralogy; Wenk, H.-R., Ed.; Springer: Berlin/Heidelberg, Germany, 1976; pp. 506–519. ISBN 978-3-642-66196-9. [Google Scholar]
- Heck, P.R.; Stadermann, F.J.; Isheim, D.; Auciello, O.; Daulton, T.L.; Davis, A.M.; Elam, J.W.; Floss, C.; Hiller, J.; Larson, D.J.; et al. Atom-Probe Analyses of Nanodiamonds from Allende. Meteorit. Planet. Sci. 2014, 49, 453–467. [Google Scholar] [CrossRef]
- Valley, J.W.; Cavosie, A.J.; Ushikubo, T.; Reinhard, D.A.; Lawrence, D.F.; Larson, D.J.; Clifton, P.H.; Kelly, T.F.; Wilde, S.A.; Moser, D.E.; et al. Hadean Age for a Post-Magma-Ocean Zircon Confirmed by Atom-Probe Tomography. Nat. Geosci. 2014, 7, 219. [Google Scholar] [CrossRef]
- Peterman, E.M.; Reddy, S.M.; Saxey, D.W.; Snoeyenbos, D.R.; Rickard, W.D.A.; Fougerouse, D.; Kylander-Clark, A.R.C. Nanogeochronology of Discordant Zircon Measured by Atom Probe Microscopy of Pb-Enriched Dislocation Loops. Sci. Adv. 2016, 2, e1601318. [Google Scholar] [CrossRef]
- Blum, T.B.; Darling, J.R.; Kelly, T.F.; Larson, D.J.; Moser, D.E.; Perez-Huerta, A.; Prosa, T.J.; Reddy, S.M.; Reinhard, D.A.; Saxey, D.W.; et al. Best Practices for Reporting Atom Probe Analysis of Geological Materials. In Microstructural Geochronology; American Geophysical Union (AGU): Washington, DC, USA, 2017; pp. 369–373. ISBN 978-1-119-22725-0. [Google Scholar]
- La Fontaine, A.; Piazolo, S.; Trimby, P.; Yang, L.; Cairney, J.M. Laser-Assisted Atom Probe Tomography of Deformed Minerals: A Zircon Case Study. Microsc. Microanal. 2017, 23, 404–413. [Google Scholar] [CrossRef]
- White, L.F.; Kizovski, T.V.; Tait, K.T.; Langelier, B.; Gordon, L.M.; Harlov, D.; Norberg, N. Nanoscale Chemical Characterisation of Phase Separation, Solid State Transformation, and Recrystallization in Feldspar and Maskelynite Using Atom Probe Tomography. Contrib. Mineral. Petrol. 2018, 173, 87. [Google Scholar] [CrossRef]
- Valley, J.W.; Reinhard, D.A.; Cavosie, A.J.; Ushikubo, T.; Lawrence, D.F.; Larson, D.J.; Kelly, T.F.; Snoeyenbos, D.R.; Strickland, A. Nano- and Micro-Geochronology in Hadean and Archean Zircons by Atom-Probe Tomography and SIMS: New Tools for Old Minerals. Am. Mineral. 2015, 100, 1355–1377. [Google Scholar] [CrossRef]
- Dyck, O.; Leonard, D.N.; Edge, L.F.; Jackson, C.A.; Pritchett, E.J.; Deelman, P.W.; Poplawsky, J.D. Accurate Quantification of Si/SiGe Interface Profiles via Atom Probe Tomography. Adv. Mater. Interfaces 2017, 4, 1700622. [Google Scholar] [CrossRef]
- Devaraj, A.; Colby, R.; Hess, W.P.; Perea, D.E.; Thevuthasan, S. Role of Photoexcitation and Field Ionization in the Measurement of Accurate Oxide Stoichiometry by Laser-Assisted Atom Probe Tomography. J. Phys. Chem. Lett. 2013, 4, 993–998. [Google Scholar] [CrossRef]
- La Fontaine, A.; Gault, B.; Breen, A.; Stephenson, L.; Ceguerra, A.V.; Yang, L.; Dinh Nguyen, T.; Zhang, J.; Young, D.J.; Cairney, J.M. Interpreting Atom Probe Data from Chromium Oxide Scales. Ultramicroscopy 2015, 159, 354–359. [Google Scholar] [CrossRef]
- Gault, B.; Saxey, D.W.; Ashton, M.W.; Sinnott, S.B.; Chiaramonti, A.N.; Moody, M.P.; Schreiber, D.K. Behavior of Molecules and Molecular Ions near a Field Emitter. New J. Phys. 2016, 18, 033031. [Google Scholar] [CrossRef]
- Petrishcheva, E.; Tiede, L.; Schweinar, K.; Habler, G.; Li, C.; Gault, B.; Abart, R. Spinodal Decomposition in Alkali Feldspar Studied by Atom Probe Tomography. Phys. Chem. Miner. 2020, 47, 30. [Google Scholar] [CrossRef] [PubMed]
- Yund, R.A. Interdiffusion of NaSi—CaAl in Peristerite. Phys. Chem. Miner. 1986, 13, 11–16. [Google Scholar] [CrossRef]
- Liu, M.; Yund, R.A. NaSi-CaAl Interdiffusion in Plagioclase. Am. Mineral. 1992, 77, 275–283. [Google Scholar]
- Atkinson, A.J.; Carpenter, M.A.; Salje, E.K.H. Hard Mode Infrared Spectroscopy of Plagioclase Feldspars. Eur. J. Mineral. 1999, 11, 7–21. [Google Scholar] [CrossRef]
- Carpenter, M.A. Equilibrium Thermodynamics of Al/Si Ordering in Anorthite. Phys. Chem. Miner. 1992, 19, 1–24. [Google Scholar] [CrossRef]
- Carpenter, M.A.; Ferry, J.M. Constraints on the Thermodynamic Mixing Properties of Plagioclase Feldspars. Contrib. Mineral. Petrol. 1984, 87, 138–148. [Google Scholar] [CrossRef]
- Carpenter, M.A. Mechanisms and Kinetics of Al-Si Ordering in Anorthite: I. Incommensurate Structure and Domain Coarsening. Am. Mineral. 1991, 76, 1110–1119. [Google Scholar]
- Phillips, E.R.; Chenhall, B.E.; Stone, I.J.; Pemberton, J.W. An Intergrowth of Calcific Labradorite in a Plagioclase-Quartz-Biotite Gneiss from Broken Hill, New South Wales. Mineral. Mag. 1977, 41, 469–471. [Google Scholar] [CrossRef]
- Vinograd, V.L.; Putnis, A.; Kroll, H. Structural Discontinuities in Plagioclase and Constraints on Mixing Properties of the Low Series: A Computational Study. Mineral. Mag. 2001, 65, 1–31. [Google Scholar] [CrossRef]
- McLaren, A.C.; Marshall, D.B. Transmission Electron Microscope Study of the Domain Structures Associated with the b-, c-, d-, e- and f-Reflections in Plagioclase Feldspars. Contrib. Mineral. Petrol. 1974, 44, 237–249. [Google Scholar] [CrossRef]
- Wenk, H.-R.; Joswig, W.; Tagai, T.; Korekawa, M.; Smith, B.K. Average Structure of An 62-66 Labradorite. Am. Mineral. 1980, 65, 81–95. [Google Scholar]
- Parsons, I.; Brown, W.L. Mechanisms and Kinetics of Exsolution—Structural Control of Diffusion and Phase Behavior in Alkali Feldspars. In Diffusion, Atomic Ordering, and Mass Transport; Advances in Physical Geochemistry; Springer: New York, NY, USA, 1991; pp. 304–344. [Google Scholar]
- Carpenter, M.A. Experimental Delineation of the “e”⇌ and “e”⇌ Transformations in Intermediate Plagioclase Feldspars. Phys. Chem. Miner. 1986, 13, 119–139. [Google Scholar] [CrossRef]
- Carpenter, M.A.; McConnell, J.D.C.; Navrotsky, A. Enthalpies of Ordering in the Plagioclase Feldspar Solid Solution. Geochim. Cosmochim. Acta 1985, 49, 947–966. [Google Scholar] [CrossRef]
- Carpenter, M.A.; McConnell, J.D.C. Experimental Delineation of the ⇌ Transformation in Intermediate Plagioclase Feldspars. Am. Mineral. 1984, 69, 112–121. [Google Scholar]
- Parsons, I.; Fitz Gerald, J.D.; Lee, M.R. Routine Characterization and Interpretation of Complex Alkali Feldspar Intergrowths. Am. Mineral. 2015, 100, 1277–1303. [Google Scholar] [CrossRef]
- Hoshi, T.; Tagai, T. TEM Investigation of Potassium-Calcium Feldspar Inclusions in Bøggild Plagioclase. Am. Mineral. 1997, 82, 1073–1078. [Google Scholar] [CrossRef]
- Wenk, H.-R. An albite-anorthite assemblage in low-grade amphibolite facies rocks. Am. Mineral. 1979, 64, 1294–1299. [Google Scholar]












| Sample 1 | Locality 2 | Or# | An# Range | Red 3 | Yellow | Blue |
|---|---|---|---|---|---|---|
| Gem118 | Finland | 2.4–4.0 | 55–58 | 58 | N/A | 55 |
| VB (Volga Blue) | Ukraine | 2.0–2.8 | 52–61 | N/A | 55–56 | 54 |
| Gem113 | NL, Canada | 2.2–3.0 | 52–54 | 54 | N/A | 52 |
| R2923 | Sweden | 2.3–2.7 | 50–53 | 52.5 | N/A | 51 |
| MAD | Madagascar | 2.3–3.1 | 49–52 | 52 | 51 | 49 |
| 987L | ME, USA | 0.5–0.9 | 48–52 | 49 4 | ||
| Sample | R2923-Blue | R2923-Red | Gem113-Blue | Gem113-Red | VB-Yellow | Gem118-Blue | Gem118-Red |
|---|---|---|---|---|---|---|---|
| Bulk An# | 50.5 | 52.5 | 52 | 54 | 55 | 55 | 58 |
| Ca-rich | 58 | 56 | 59 | 57 | 58 | 63 | 63 |
| Na-rich | 44 | 46 | 45 | 47 | 48 | 48 | 48 |
| Difference | 14 | 10 | 14 | 10 | 10 | 15 | 15 |
| Atomic Counts Normalized by Oxygen | Corrected Atom per 8 Oxygen | ||||||||||
|---|---|---|---|---|---|---|---|---|---|---|---|
| Ca/O | Na/O | K/O | Al/O | Si/O | Ca | Na | K | Al | Si | ||
| Lamellae | 0.95 | 0.72 | 0.59 | 1.43 | 1.38 | ||||||
| Red-Gem118 | Ca-rich | 0.075 | 0.031 | 0.0012 | 0.289 | 0.404 | 0.63 | 0.35 | 0.016 | 1.62 | 2.34 |
| Ca-rich | 0.076 | 0.032 | 0.0014 | 0.287 | 0.401 | 0.64 | 0.35 | 0.020 | 1.61 | 2.33 | |
| Ca-rich | 0.076 | 0.032 | 0.0021 | 0.292 | 0.410 | 0.64 | 0.36 | 0.028 | 1.63 | 2.38 | |
| Na-rich | 0.056 | 0.043 | 0.0029 | 0.264 | 0.434 | 0.47 | 0.48 | 0.040 | 1.48 | 2.52 | |
| Blue-Gem118 | Ca-rich | 0.075 | 0.031 | 0.0014 | 0.293 | 0.408 | 0.63 | 0.35 | 0.019 | 1.64 | 2.36 |
| Ca-rich | 0.076 | 0.031 | 0.0014 | 0.297 | 0.407 | 0.64 | 0.34 | 0.019 | 1.66 | 2.36 | |
| Ca-rich | 0.074 | 0.029 | 0.0014 | 0.297 | 0.411 | 0.62 | 0.32 | 0.019 | 1.66 | 2.38 | |
Publisher’s Note: MDPI stays neutral with regard to jurisdictional claims in published maps and institutional affiliations. |
© 2021 by the authors. Licensee MDPI, Basel, Switzerland. This article is an open access article distributed under the terms and conditions of the Creative Commons Attribution (CC BY) license (https://creativecommons.org/licenses/by/4.0/).
Share and Cite
Jin, S.; Xu, H.; Lee, S. Revisiting the Bøggild Intergrowth in Iridescent Labradorite Feldspars: Ordering, Kinetics, and Phase Equilibria. Minerals 2021, 11, 727. https://doi.org/10.3390/min11070727
Jin S, Xu H, Lee S. Revisiting the Bøggild Intergrowth in Iridescent Labradorite Feldspars: Ordering, Kinetics, and Phase Equilibria. Minerals. 2021; 11(7):727. https://doi.org/10.3390/min11070727
Chicago/Turabian StyleJin, Shiyun, Huifang Xu, and Seungyeol Lee. 2021. "Revisiting the Bøggild Intergrowth in Iridescent Labradorite Feldspars: Ordering, Kinetics, and Phase Equilibria" Minerals 11, no. 7: 727. https://doi.org/10.3390/min11070727
APA StyleJin, S., Xu, H., & Lee, S. (2021). Revisiting the Bøggild Intergrowth in Iridescent Labradorite Feldspars: Ordering, Kinetics, and Phase Equilibria. Minerals, 11(7), 727. https://doi.org/10.3390/min11070727

