Effect of Overflow Pipe on the Internal Flow Fields and Separation Performance of W-Shaped Hydrocyclones
Abstract
1. Introduction
2. Methods
2.1. Numerical Simulation
2.1.1. Model Validation and Meshing
2.1.2. Simulation Conditions
2.2. Experimental
2.2.1. Experimental Equipment
2.2.2. Materials
2.2.3. Performance Index
3. Results and Discussion
3.1. Flow Field Analysis
3.1.1. Effect on Air Core
3.1.2. Effect on Pressure Drop
3.1.3. Effect on Tangential Velocity
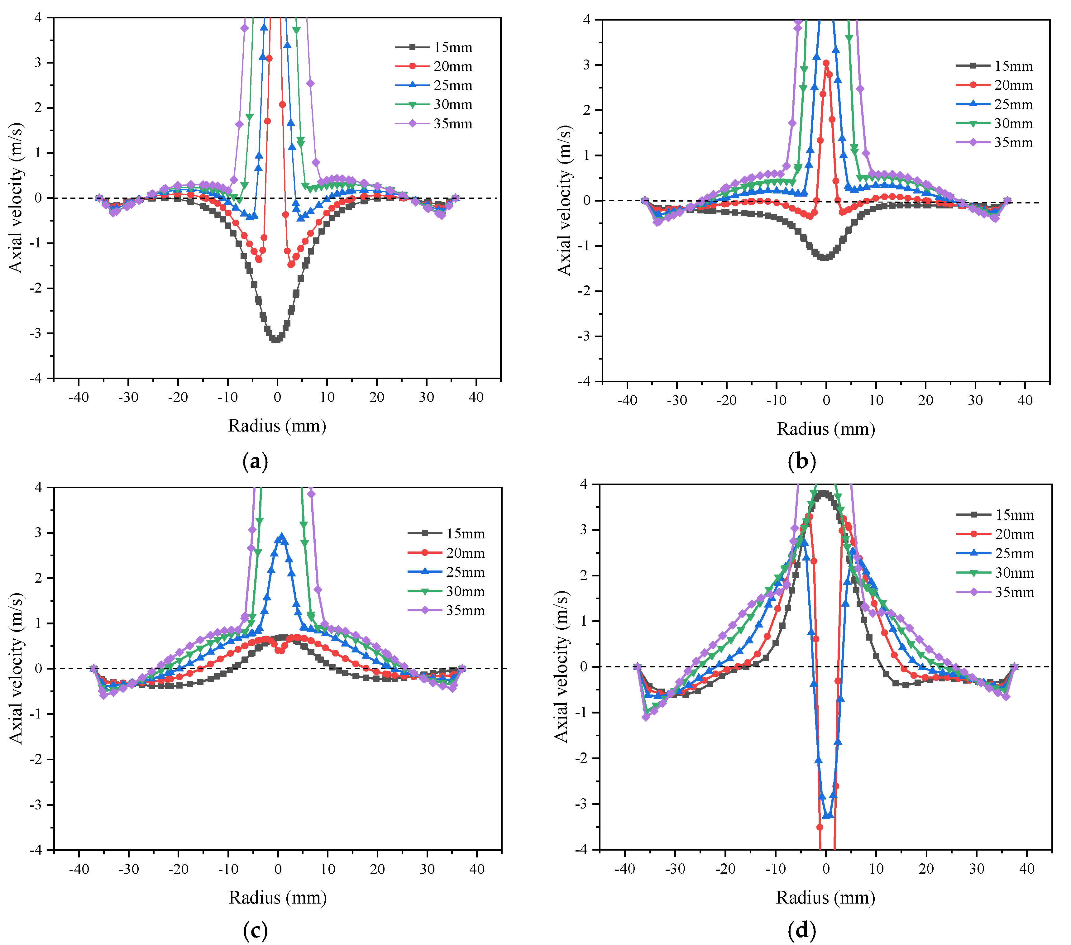
3.1.4. Effect on Axial Velocity
3.2. Analysis of Separation Performance
4. Conclusions
Author Contributions
Funding
Conflicts of Interest
References
- Cilliers, J.J.; Harrison, S.T.L. Yeast flocculation aids the performance of yeast dewatering using mini-hydrocyclones. Sep. Purif. Technol. 2019, 209, 159–163. [Google Scholar] [CrossRef]
- Lv, W.J.; Huang, C.; Chen, J.Q.; Liu, H.L.; Wang, H.L. An experimental study of flow distribution and separation performance in a UU-type mini-hydrocyclone group. Sep. Purif. Technol. 2015, 150, 37–43. [Google Scholar] [CrossRef]
- Song, T.; Tian, J.Y.; Ni, L.; Shen, C.; Yao, Y. Experimental study on performance of a de-foulant hydrocyclone with different reflux devices for sewage source heat pump. Appl. Therm. Eng. 2019, 149, 354–365. [Google Scholar] [CrossRef]
- Wu, S.E.; Hwang, K.J.; Cheng, T.W.; Hung, T.C.; Tung, K.L. Effectiveness of a hydrocyclone in separating particles suspended in power law fluids. Powder Technol. 2017, 320, 546–554. [Google Scholar] [CrossRef]
- Tavares, L.M.; Souza, L.L.G.; Lima, J.R.B.; Possa, M.V. Modeling classification in small-diameter hydrocyclones under variable rheological conditions. Miner. Eng. 2002, 15, 613–622. [Google Scholar] [CrossRef]
- Botha, S.; Le, R.J.D.; Craig, I.K. Hybrid non-linear model predictive control of a run-of-mine ore grinding mill circuit. Miner. Eng. 2018, 123, 49–62. [Google Scholar] [CrossRef]
- Zhu, G.F.; Liow, J.L. Experimental study of particle separation and the fishhook effect in a mini-hydrocyclone. Chem. Eng. Sci. 2014, 111, 94–105. [Google Scholar] [CrossRef]
- Xu, Y.; Wang, H.; Wang, Z.; Fang, Y.; Liu, Y.; Zeng, T.; Liu, Z.; Liu, M. Hydrocyclone breakage of activated sludge to exploit internal carbon sources and simultaneously enhance microbial activity. Process Saf. Environ. Prot. 2018, 117, 651–659. [Google Scholar] [CrossRef]
- Dueck, J.; Pikushchak, E.; Minkov, L.; Farghaly, M.; Neesse, T. Mechanism of hydrocyclone separation with water injection. Miner. Eng. 2010, 23, 289–294. [Google Scholar] [CrossRef]
- Wang, H.; Fu, P.; Li, J.; Huang, Y.; Zhao, Y.; Jiang, L.; Fang, X.; Yang, T.; Huang, Z.; Huang, C. Separation-and-Recovery Technology for Organic Waste Liquid with a High Concentration of Inorganic Particles. Engineering 2018, 4, 406–415. [Google Scholar] [CrossRef]
- Zhang, Y.; Liu, P.; Zhang, Y.; Yang, X.; Jiang, L. The Classification Performance of a Three-Product Cyclone. Wirel. Pers. Commun. 2018, 103, 55–68. [Google Scholar] [CrossRef]
- Vieira, L.G.M.; Damasceno, J.J.R.; Barrozo, M.A.S. Improvement of hydrocyclone separation performance by incorporating a conical filtering wall. Chem. Eng. Process. Process Intensif. 2010, 49, 460–467. [Google Scholar] [CrossRef]
- Silva, N.K.G.; Silva, D.O.; Vieira, L.G.M.; Barrozo, M.A. Effects of underflow diameter and vortex finder length on the performance of a newly designed filtering hydrocyclone. Powder Technol. 2015, 286, 305–310. [Google Scholar] [CrossRef]
- Ghodrat, M.; Kuang, S.B.; Yu, A.B.; Vince, A.; Barnett, G.D.; Barnett, P.J. Numerical analysis of hydrocyclones with different conical section designs. Miner. Eng. 2014, 62, 74–84. [Google Scholar] [CrossRef]
- Patra, G.; Velpuri, B.; Chakraborty, S.; Meikap, B.C. Performance evaluation of a hydrocyclone with a spiral rib for separation of particles. Adv. Powder Technol. 2017, 28, 3222–3232. [Google Scholar] [CrossRef]
- Yang, Q.; Wang, H.L.; Liu, Y.; Li, Z.M. Solid/liquid separation performance of hydrocyclones with different cone combinations. Sep. Purif. Technol. 2010, 74, 271–279. [Google Scholar] [CrossRef]
- Chang, Y.L.; Wang, H.L.; Jin, J.H.; Liu, Z.M.; Lv, W.J. Flow distribution and pressure drop in UZ-type mini-hydrocyclone group arranged in compact parallel manifolds. Exp. Therm. Fluid Sci. 2019, 100, 114–123. [Google Scholar] [CrossRef]
- Jiang, L.; Liu, P.; Yang, X.; Zhang, Y.; Li, F. Comparative classification studies of red mud by using hydrocyclones. Miner. Eng. 2019, 131, 124–130. [Google Scholar] [CrossRef]
- Liu, S.; Zhang, D.; Xu, J.Y. Breakup and coalescence regularity of non-dilute oil drops in a vane-type swirling flow field. Chem. Eng. Res. Des. 2018, 129, 35–54. [Google Scholar] [CrossRef]
- Ye, J.; Xu, Y.; Song, X.; Yu, J. Novel conical section design for ultra-fine particles classification by a hydrocyclone. Chem. Eng. Res. Des. 2019, 144, 135–149. [Google Scholar] [CrossRef]
- Jiang, L.; Liu, P.; Zhang, Y.; Wang, H.; Gui, X. Design boundary layer structure for improving the particle separation performance of a hydrocyclone. Powder Technol. 2019, 350, 1–14. [Google Scholar] [CrossRef]
- Zou, J.; Wang, C.X.; Ji, C. Experimental study on the air core in a hydrocyclone. Dry. Technol. 2016, 34, 854–860. [Google Scholar] [CrossRef]
- Razmi, H.; Soltani, G.A.; Mohebbi, A. CFD simulation of an industrial hydrocyclone based on multiphase particle in cell (MPPIC) method. Sep. Purif. Technol. 2019, 209, 851–862. [Google Scholar] [CrossRef]
- Cui, B.; Zhang, C.; Wei, D.; Lu, S.; Feng, Y. Effects of feed size distribution on separation performance of hydrocyclones with different vortex finder diameters. Powder Technol. 2017, 322, 114–123. [Google Scholar] [CrossRef]
- Guizani, R.; Mhiri, H.; Bournot, P. Effects of the geometry of fine powder outlet on pressure drop and separation performances for dynamic separators. Powder Technol. 2017, 314, 599–607. [Google Scholar] [CrossRef]
- Sindall, R.C.; Dapelo, D.; Leadbeater, T.; Bridgeman, J. Positron emission particle tracking (PEPT): A novel approach to flow visualisation in lab-scale anaerobic digesters. Flow Meas. Instrum. 2017, 54, 250–264. [Google Scholar] [CrossRef]
- Wang, J.; Bai, Z.; Yang, Q.; Fan, Y.; Wang, H. Investigation of the simultaneous volumetric 3-component flow field inside a hydrocyclone. Sep. Purif. Technol. 2016, 163, 120–127. [Google Scholar] [CrossRef]
- Pérez, D.; Cornejo, P.; Rodríguez, C.; Concha, F. Transition from spray to roping in hydrocyclones. Miner. Eng. 2018, 123, 71–84. [Google Scholar] [CrossRef]
- Gong, H.; Yu, B.; Dai, F.; Peng, Y.; Shao, J. Simulation on performance of a demulsification and dewatering device with coupling double fields: Swirl centrifugal field and high-voltage electric field. Sep. Purif. Technol. 2018, 207, 124–132. [Google Scholar] [CrossRef]
- Wang, X.; Wang, S.; Tian, R.; Wang, R.; Liu, L.; Sun, Q.; Fan, J. Numerical study on flow behavior of multi-component particles in a fluidized bed using a TFM-DEM hybrid model. Powder Technol. 2018, 338, 795–805. [Google Scholar] [CrossRef]
- Yang, Q.; Lv, W.J.; Ma, L.; Wang, H.L. CFD study on separation enhancement of mini-hydrocyclone by particulate arrangement. Sep. Purif. Technol. 2013, 102, 15–25. [Google Scholar] [CrossRef]
- Pei, B.; Liu, Y.; Dong, K.; Jiang, Y.; Du, X.; Wang, B. The effect of cross-shaped vortex finder on the performance of cyclone separator. Powder Technol. 2017, 313, 135–144. [Google Scholar] [CrossRef]
- Delgadillo, J.A.; Rajamani, R.K. Exploration of hydrocyclone designs using computational fluid dynamics. Int. J. Miner. Process. 2007, 84, 252–261. [Google Scholar] [CrossRef]
- Ghodrat, M.; Qi, Z.; Kuang, S.B.; Ji, L.; Yu, A.B. Computational investigation of the effect of particle density on the multiphase flows and performance of hydrocyclone. Miner. Eng. 2016, 90, 55–69. [Google Scholar] [CrossRef]
- Narasimha, M.; Brennan, M.S.; Holtham, P.N. CFD modeling of hydrocyclones: Prediction of particle size segregation. Miner. Eng. 2012, 39, 173–183. [Google Scholar] [CrossRef]
- Jiang, L.; Liu, P.; Zhang, Y.; Yang, X.; Wang, H. The Effect of Inlet Velocity on the Separation Performance of a Two-Stage Hydrocyclone. Minerals 2019, 9, 209. [Google Scholar] [CrossRef]
- Yang, X.; Simmons, M.J.; Liu, P.; Zhang, Y.; Jiang, L. Effect of feed body geometry on separation performance of hydrocyclone. Sep. Sci. Technol. 2018, 54, 2959–2970. [Google Scholar] [CrossRef]
- Chu, K.W.; Wang, B.; Yu, A.B.; Vince, A. CFD-DEM modelling of multiphase flow in dense medium cyclones. Powder Technol. 2009, 193, 235–247. [Google Scholar] [CrossRef]
- He, F.; Zhang, Y.; Wang, J.; Yang, Q.; Wang, H.; Tan, Y. Flow Patterns in Mini-Hydrocyclones with Different Vortex Finder Depths. Chem. Eng. Technol. 2013, 36, 1935–1942. [Google Scholar] [CrossRef]
- Slack, M.D.; Prasad, R.O.; Bakker, A.; Boysan, F. Advances in Cyclone Modelling Using Unstructured Grids. Chem. Eng. Res. Des. 2000, 78, 1098–1104. [Google Scholar] [CrossRef]


















| Mesh Number | Size/μm | Content/% | Negative Accumulation/% | Positive Accumulation/% |
|---|---|---|---|---|
| <60 | >250 | 0.04 | 100 | 0.04 |
| 60–70 | 212–250 | 0.32 | 99.96 | 0.36 |
| 70–80 | 180–212 | 0.99 | 99.64 | 1.35 |
| 80–100 | 150–180 | 2.73 | 98.65 | 4.08 |
| 100–140 | 109–150 | 9.84 | 95.92 | 13.92 |
| 140–200 | 75–100 | 13.94 | 86.08 | 27.86 |
| 200–325 | 75–45 | 21.93 | 72.14 | 49.79 |
| 325–600 | 23–45 | 21.94 | 50.21 | 71.73 |
| 600–1250 | 10–23 | 15.61 | 28.27 | 87.34 |
| >1250 | <10 | 12.66 | 12.66 | 100 |
| Overflow Pipe Diameter/mm | Cut Size/μm | Content of −25 μm Particles/% | Quality Efficiency/% | Quantity Efficiency/% | |
|---|---|---|---|---|---|
| Overflow | Underflow | ||||
| 15 | 45 | 47.09 | 15.03 | 37.77 | 74.48 |
| 20 | 62 | 42.11 | 9.50 | 35.29 | 88.90 |
| 25 | 144 | 35.22 | 10.76 | 18.00 | 93.18 |
| 30 | 236 | 31.94 | 7.39 | 6.44 | 98.57 |
© 2020 by the authors. Licensee MDPI, Basel, Switzerland. This article is an open access article distributed under the terms and conditions of the Creative Commons Attribution (CC BY) license (http://creativecommons.org/licenses/by/4.0/).
Share and Cite
Jiang, L.; Liu, P.; Yang, X.; Zhang, Y.; Li, X.; Zhang, Y.; Wang, H. Effect of Overflow Pipe on the Internal Flow Fields and Separation Performance of W-Shaped Hydrocyclones. Minerals 2020, 10, 329. https://doi.org/10.3390/min10040329
Jiang L, Liu P, Yang X, Zhang Y, Li X, Zhang Y, Wang H. Effect of Overflow Pipe on the Internal Flow Fields and Separation Performance of W-Shaped Hydrocyclones. Minerals. 2020; 10(4):329. https://doi.org/10.3390/min10040329
Chicago/Turabian StyleJiang, Lanyue, Peikun Liu, Xinghua Yang, Yuekan Zhang, Xiaoyu Li, Yulong Zhang, and Hui Wang. 2020. "Effect of Overflow Pipe on the Internal Flow Fields and Separation Performance of W-Shaped Hydrocyclones" Minerals 10, no. 4: 329. https://doi.org/10.3390/min10040329
APA StyleJiang, L., Liu, P., Yang, X., Zhang, Y., Li, X., Zhang, Y., & Wang, H. (2020). Effect of Overflow Pipe on the Internal Flow Fields and Separation Performance of W-Shaped Hydrocyclones. Minerals, 10(4), 329. https://doi.org/10.3390/min10040329

