Research on Lower Limb Motion Recognition Based on Fusion of sEMG and Accelerometer Signals
Abstract
1. Introduction
2. Materials and Methods
2.1. Signal Acquisition
2.2. Signal Preprocessing
2.2.1. Movement Onset Detection of sEMG
- Use a sliding window to segment the whole data of each channel into n epochs and calculate the power spectrum
- Calculate the correlation coefficient between and .
- Calculate the sum of the maximum number of correlation coefficients corresponding to each channel, .
- Compare with a predefined threshold . If is greater than , EMG signals are recognized as in an active state.
- For the selection method of the threshold, Cheng et al. [28] found by experiment that the method for selecting the threshold is relatively stable and has a good repeatability according to the percentage of maximal voluntary contraction. The method is a reference in this study. Through experiments, 1% of the maximal voluntary contraction is set as the threshold of the moving average method and Teager–Kaiser operator, and 0.1% of the maximal voluntary contraction is set as the threshold of the power spectral correlation coefficient method.
2.2.2. De-Nosing of Accelerometer Signals
2.3. Feature Extraction
2.3.1. Feature Extraction of EMG Signals
- RMS can reflect the amplitude of signals:where is the number of samples in an analysis window.
- ZC is the number of times the waveform passes through the zero point, which reflects the frequency characteristics of the signals. If the zero point is set to be a range rather than a value, the noise introduced by the zero point can be reduced. When we select a threshold thr, the calculation formula of ZC is shown in Formula (5):where
- WAMP can reflect the relative fluctuation amplitude of a sample point and the next one.where . Through many experiments and contrasts, we set in this paper.
- SSC can be used as the supplementary information of the signal frequency.where in this paper.
- WL not only reflects the amplitude information of the signals, but also contains the fluctuation frequency information of the signals.The information contained in a single time-domain parameter is not abundant enough, therefore, in much research, multiple time-domain parameters are combined to obtain a more efficient feature vector [41].
2.3.2. Feature Extraction of Accelerometer Signals
2.4. Recognition and Classification Methods
2.4.1. LDA Classifier Based on Kernel Function
2.4.2. SVM Classifier Based on Grid Search Optimization
3. Results and Discussion
3.1. Analysis of EMG Signal Onset Detection
3.2. Analysis of Signal De-Noising Results
3.3. Spatial Distribution of Features
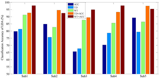
3.4. Analysis of Classification and Recognition Results
4. Conclusions
Acknowledgments
Author Contributions
Conflicts of Interest
References
- China Disabled Persons’ Federation. Available online: http://www.cdpf.org.cn/sjzx/cjrgk/201206/t20120626_387581.shtml (accessed on 26 June 2012).
- China Disabled Persons’ Federation. Available online: http://www.cdpf.org.cn/zcwj/zxwj/201604/t20160401_548009.shtml (accessed on 1 April 2016).
- Wu, S.K.; Waycaster, G.; Shen, X. Electromyography-based control of active above-knee prostheses. Control Eng. Pract. 2011, 19, 875–882. [Google Scholar] [CrossRef]
- Hoover, C.D.; Fulk, G.D.; Fite, K.B. Stair Ascent with a Powered Transfemoral Prosthesis under Direct Myoelectric Control. IEEE/ASME Trans. Mechatron. 2013, 18, 1191–1200. [Google Scholar] [CrossRef]
- Xing, K.; Yang, P.; Huang, J.; Wang, Y.; Zhu, Q. A real-time EMG pattern recognition method for virtual myoelectric hand control. Neurocomputing 2014, 136, 345–355. [Google Scholar] [CrossRef]
- Zhang, Q.; Xi, X.; Ma, Y.; Luo, Z. Control Technology of Teleoperation Robot Based on EMG Signal. J. Basic Sci. Eng. 2013, 21, 1199–1209. (In Chinese) [Google Scholar]
- Liu, J.; Zhou, P. A Novel Myoelectric Pattern Recognition Strategy for Hand Function Restoration after Incomplete Cervical Spinal Cord Injury. IEEE Trans. Neural Syst. Rehabil. Eng. 2013, 21, 96–103. [Google Scholar] [CrossRef] [PubMed]
- Aoi, S.; Egi, Y.; Sugimoto, R.; Yamashita, T.; Fujiki, S.; Tsuchiya, K. Functional Roles of Phase Resetting in the Gait Transition of a Biped Robot From Quadrupedal to Bipedal Locomotion. IEEE Trans. Robot. 2012, 28, 1244–1259. [Google Scholar] [CrossRef]
- Al-Ani, A.; Koprinska, I.; Naik, G.R.; Khushaba, R.N. A dynamic channel selection algorithm for the classification of EEG and EMG data. In Proceedings of the International Joint Conference on Neural Networks (IJCNN), Vancouver, BC, Canada, 24–29 July 2016; pp. 4076–4081. [Google Scholar]
- Arjunan, S.P.; Kumar, D.K.; Naik, G. Computation and evaluation of features of surface electromyogram to identify the force of muscle contraction and muscle fatigue. BioMed Res. Int. 2014, 2014, 197960. [Google Scholar] [CrossRef] [PubMed]
- Arjunan, S.P.; Kumar, D.; Naik, G. Independence between two channels of surface electromyogram signal to measure the loss of motor units. Meas. Sci. Rev. 2015, 15, 152–155. [Google Scholar] [CrossRef]
- Naik, G.R.; Kumar, D.K.; Palaniswami, M. Signal processing evaluation of myoelectric sensor placement in low-level gestures: Sensitivity analysis using independent component analysis. Exp. Syst. 2014, 31, 91–99. [Google Scholar] [CrossRef]
- Xi, X.; Tang, M.; Miran, S.M.; Luo, Z. Evaluation of features extraction and recognition for activity monitoring and fall detection based on wearable sEMG sensors. Sensors 2017, 17, E1229. [Google Scholar] [CrossRef] [PubMed]
- Pendharkar, G.; Naik, G.R.; Acharyya, A.; Nguyen, H.T. Multiscale PCA to distinguish regular and irregular surfaces using tri axial head and trunk acceleration signals. In Proceedings of the 37th Annual International Conference of the IEEE Engineering in Medicine and Biology Society (EMBS), Milan, Italy, 25–29 August 2015; pp. 4122–4125. [Google Scholar]
- Naik, G.R.; Pendharkar, G.; Nguyen, H.T. Wavelet PCA for automatic identification of walking with and without an exoskeleton on a treadmill using pressure and accelerometer sensors. In Proceedings of the 38th Annual International Conference of the IEEE Engineering in Medicine and Biology Society (EMBS), Orlando, FL, USA, 16–20 August 2016; pp. 1999–2002. [Google Scholar]
- Pendharkar, G.; Naik, G.R.; Nguyen, H.T. Using blind source separation on accelerometry data to analyze and distinguish the toe walking gait from normal gait in ITW children. Biomed. Signal Process. Control 2014, 13, 41–49. [Google Scholar] [CrossRef]
- Yang, C.C.; Hsu, Y.L. A review of accelerometry-based wearable motion detectors for physical activity monitoring. Sensors 2010, 10, 7772–7788. [Google Scholar] [CrossRef] [PubMed]
- Kangas, M.; Konttila, A.; Lindgren, P.; Winblad, I.; Jamsa, T. Comparison of low-complexity fall detection algorithms for body attached accelerometers. Gait Posture 2008, 28, 285–291. [Google Scholar] [CrossRef] [PubMed]
- Liu, S.H.; Cheng, W.C. Fall detection with the support vector machine during scripted and continuous unscripted activities. Sensors 2012, 12, 12301–12316. [Google Scholar] [CrossRef] [PubMed]
- Young, A.J.; Kuiken, T.A.; Hargrove, L.J. Analysis of using EMG and mechanical sensors to enhance intent recognition in powered lower limb prostheses. J. Neural Eng. 2014, 11, 056021. [Google Scholar] [CrossRef] [PubMed]
- Wentink, E.C.; Schut, V.G.; Prinsen, E.C.; Rietman, J.S.; Veltink, P.H. Detection of the onset of gait initiation using kinematic sensors and EMG in transfemoral amputees. Gait Posture 2014, 39, 391–396. [Google Scholar] [CrossRef] [PubMed]
- Fan, Y. Study on Lower Limb Exoskeleton for Rehabilitation Based on Multi-source Information Fusion Including sEMG & Interactive Force and Its Clinical Trail. Ph.D. Thesis, Shanghai Jiao Tong University, Shanghai, China, 2014. (In Chinese). [Google Scholar]
- Xi, X.; Wu, H.; Zuo, J.; Luo, Z. Study on fall detection based on surface EMG and plantar pressure signal fusion. Chin. J. Sci. Instrum. 2015, 36, 2044–2049. (In Chinese) [Google Scholar]
- Miller, J.D.; Beazer, M.S.; Hahn, M.E. Myoelectric Walking Mode Classification for Transtibial Amputees. IEEE Trans. Biomed. Eng. 2013, 60, 2745–2750. [Google Scholar] [CrossRef] [PubMed]
- Huang, H.; Kuiken, T.A.; Lipschutz, R.D. A Strategy for Identifying Locomotion Modes Using Surface Electromyography. IEEE Trans. Biomed. Eng. 2009, 56, 65–73. [Google Scholar] [CrossRef] [PubMed]
- He, H.; Fan, Z.; Hargrove, L.J.; Zhi, D.; Rogers, D.R.; Englehart, K.B. Continuous Locomotion-Mode Identification for Prosthetic Legs Based on Neuromuscular–Mechanical Fusion. IEEE Trans. Biomed. Eng. 2011, 58, 2867–2875. [Google Scholar]
- Wu, H.; Xi, X.; Luo, Z. Fall Recognition Based on EMG Signal Entropy and PSO-SVM. Chin. J. Sens. Actuators 2015, 28, 1586–1590. (In Chinese) [Google Scholar]
- Cheng, J.; Chen, X.; Shen, M. A Framework for Daily Activity Monitoring and Fall Detection Based on Surface Electromyography and Accelerometer Signals. IEEE J. Biomed. Health Inform. 2013, 17, 38–45. [Google Scholar] [CrossRef] [PubMed]
- Liu, L.; Yang, P.; Liu, Z. Lower limb locomotion-mode identification based on multi-source information and particle swarm optimization algorithm. J. Zhejiang Univ. 2015, 49, 439–447. (In Chinese) [Google Scholar]
- Tikkanen, O.; Karkkainen, S.; Haakana, P.; Kallinen, M.; Pullinen, T.; Finni, T. EMG, heart rate, and accelerometer as estimators of energy expenditure in locomotion. Med. Sci. Sports Exerc. 2014, 46, 1831–1839. [Google Scholar] [CrossRef] [PubMed]
- Biagrtti, G.; Crippa, P.; Falaschetti, L.; Orcioni, S.; Turchetti, C. A Portable Wireless sEMG and Inertial Acquisition System for Human Activity Monitoring. In Proceedings of the International Conference on Bioinformatics and Biomedical Engineering, Granada, Spain, 26–28 April 2017; pp. 608–620. [Google Scholar]
- Phinyomark, A.; Quaine, F.; Charbonnier, S.; Serviere, C.; Tarpin-Bernard, F.; Laurillau, Y. EMG feature evaluation for improving myoelectric pattern recognition robustness. Exp. Syst. Appl. 2013, 40, 4832–4840. [Google Scholar] [CrossRef]
- Wang, G.; Ren, D. Classification of surface electromyographic signals by means of multifractal singularity spectrum. Med. Biol. Eng. Comput. 2013, 51, 277–284. [Google Scholar] [CrossRef] [PubMed]
- Li, Y.; Chen, X.; Zhang, X.; Zhou, P. Several practical issues toward implementing myoelectric pattern recognition for stroke rehabilitation. Med. Eng. Phys. 2014, 36, 754–760. [Google Scholar] [CrossRef] [PubMed]
- Lorrain, T.; Jiang, N.; Farina, D. Influence of the training set on the accuracy of surface EMG classification in dynamic contractions for the control of multifunction prostheses. J. NeuroEng. Rehabil. 2011, 8, 25. [Google Scholar] [CrossRef] [PubMed]
- Li, W.; Zhao, L.; Li, T.; Yan, L.; Zhao, C. Application of sEMG Signals in Upper Extremity Rehabilitation of Stroke Patients. Chin. J. Rehabil. Med. 2013, 28, 163–165. (In Chinese) [Google Scholar]
- Bunderson, N.E.; Kuiken, T.A. Quantification of Feature Space Changes with Experience during Electromyogram Pattern Recognition Control. IEEE Trans. Neural Syst. Rehabil. Eng. 2012, 59, 1804–1807. [Google Scholar] [CrossRef] [PubMed]
- Zhang, F.; Huang, H. Source Selection for Real-Time User Intent Recognition toward Volitional Control of Artificial Legs. IEEE J. Biomed. Health Inform. 2013, 17, 907–914. [Google Scholar] [CrossRef] [PubMed]
- Shin, S.; Tafreshi, R.; Langari, R. A performance comparison of hand motion EMG classification. In Proceedings of the 2014 Middle East Conference on Biomedical Engineering (MECBME), Doha, Qatar, 17–20 February 2014; pp. 353–356. [Google Scholar]
- Kim, D.H.; Cho, C.Y.; Ryu, J. Real-Time Locomotion Mode Recognition Employing Correlation Feature Analysis Using EMG Pattern. ETRI J. 2014, 36, 99–105. [Google Scholar] [CrossRef]
- Hargrove, L.J.; Simon, A.M.; Lipschutz, R.; Finucane, S.B.; Kuiken, T.A. Non-weight-bearing neural control of a powered transfemoral prosthesis. J. NeuroEng. Rehabil. 2013, 10, 62. [Google Scholar] [CrossRef] [PubMed]
- Puttasakuf, T.; Sangworasil, M.; Matsuura, T. Feature extraction of wavelet transform coefficients for sEMG classification. In Proceedings of the 7th Biomedical Engineering International Conference (BMEiCON), Fukuoka, Japan, 26–28 November 2014; pp. 1–4. [Google Scholar]
- Mane, S.M.; Kambli, R.A.; Kazi, F.S.; Singh, N.M. Hand Motion Recognition from Single Channel Surface EMG Using Wavelet & Artificial Neural Network. Procedia Comput. Sci. 2015, 49, 58–65. [Google Scholar]
- Varol, H.A.; Sup, F.; Goldfarb, M. Multiclass Real-Time Intent Recognition of a Powered Lower Limb Prosthesis. IEEE Trans. Biomed. Eng. 2010, 57, 542–551. [Google Scholar] [CrossRef] [PubMed]
- Wong, D.F.; Chao, L.S.; Zeng, X.; Vai, M.I.; Lam, H.L. Time series for blind biosignal classification model. Comput. Biol. Med. 2014, 54, 32–36. [Google Scholar] [CrossRef] [PubMed]
- Scheme, E.; Englehart, K. Electromyogram pattern recognition for control of powered upper-limb prostheses: State of the art and challenges for clinical use. J. Rehabil. Res. Dev. 2011, 48, 643–659. [Google Scholar] [CrossRef] [PubMed]
- Lu, Z.; Chen, X.; Li, Q.; Zhang, X.; Zhou, P. A hand gesture recognition framework and wearable gesture-based interaction prototype for mobile devices. IEEE Trans. Hum.-Mach. Syst. 2014, 44, 293–299. [Google Scholar] [CrossRef]
- Zhang, L. Pattern Recognition and Motion Analysis of sEMG. Master’s Thesis, JiLin University, JiLin, China, 2013. (In Chinese). [Google Scholar]
- Chen, Y. Motion Pattern Recognition of sEMG Signals based Upper Limb Self-rehabilitation Training. Ph.D. Thesis, Shandong University, Shandong, China, 2015. (In Chinese). [Google Scholar]
- Subasi, A. Classification of EMG signals using PSO optimized SVM for diagnosis of neuromuscular disorders. Comput. Biol. Med. 2013, 43, 576–586. [Google Scholar] [CrossRef] [PubMed]
- Amsuss, S.; Goebel, P.M.; Jiang, N.; Graimann, B.; Paredes, L.; Farina, D. Self-correcting pattern recognition system of surface EMG signals for upper limb prosthesis control. IEEE Trans. Biomed. Eng. 2014, 61, 1167–1176. [Google Scholar] [CrossRef] [PubMed]












| Methods | Start Point (ms) | End Point (ms) |
|---|---|---|
| Moving average Method | 3800; 4800; 6100; 1000; 13,600; 13,900; 17,700 | 5100; 7200; 11,000; 14,900; |
| Teager–Kaiser operator | 3890; 5991; 9863; 13,735; 17,530 | 4451; 6475; 10,512; 14,274; 18,212 |
| Power spectral correlation coefficient | 3700; 5900; 9900; 13,600; 17,600 | 5000; 7200; 10,900; 15,000 |
| Subjects | ACC | TD | WT |
|---|---|---|---|
| 1 | 81.4 | 67.2 | 70.9 |
| 2 | 77.8 | 57.6 | 68.2 |
| 3 | 73.1 | 54.1 | 60.2 |
| 4 | 75.3 | 59.3 | 63.3 |
| 5 | 64.9 | 75.1 | 61.2 |
| Mean ± SD | 74.5 ± 6.2 | 62.6 ± 8.4 | 64.8 ± 4.6 |
| Subjects | ACC | TD | WT |
|---|---|---|---|
| 1 | 91.2 | 79.7 | 81.3 |
| 2 | 82.6 | 84.8 | 75.6 |
| 3 | 87.6 | 65.6 | 67.7 |
| 4 | 85.5 | 70.2 | 78.5 |
| 5 | 86.4 | 89.2 | 79.3 |
| Mean ± SD | 86.6 ± 3.1 | 77.9 ± 9.9 | 76.5 ± 5.3 |
| Subjects | ACC | TD | WT |
|---|---|---|---|
| 1 | 93.7 | 87.3 | 86.2 |
| 2 | 90.5 | 86.5 | 80.9 |
| 3 | 87.6 | 67.3 | 71.7 |
| 4 | 90.5 | 72.3 | 74.2 |
| 5 | 92.4 | 91.9 | 82.3 |
| Mean ± SD | 90.9 ± 2.3 | 81.1 ± 10.6 | 79.1 ± 6.0 |
| Subjects | Gaussian Kernel-Based LDA | SVM | ||
|---|---|---|---|---|
| TD + ACC | WT + ACC | TD + ACC | WT + ACC | |
| 1 | 96.2 | 97.7 | 98.4 | 99.8 |
| 2 | 94.5 | 92.4 | 96.0 | 95.5 |
| 3 | 89.4 | 94.9 | 94.9 | 98.1 |
| 4 | 93.2 | 97.7 | 95.1 | 99.0 |
| 5 | 97.4 | 95.3 | 93.6 | 97.9 |
| Mean ± SD | 94.1 ± 3.1 | 95.6 ± 2.2 | 95.6 ± 1.8 | 98.1 ± 1.6 |
© 2017 by the authors. Licensee MDPI, Basel, Switzerland. This article is an open access article distributed under the terms and conditions of the Creative Commons Attribution (CC BY) license (http://creativecommons.org/licenses/by/4.0/).
Share and Cite
Ai, Q.; Zhang, Y.; Qi, W.; Liu, Q.; Chen, A.K. Research on Lower Limb Motion Recognition Based on Fusion of sEMG and Accelerometer Signals. Symmetry 2017, 9, 147. https://doi.org/10.3390/sym9080147
Ai Q, Zhang Y, Qi W, Liu Q, Chen AK. Research on Lower Limb Motion Recognition Based on Fusion of sEMG and Accelerometer Signals. Symmetry. 2017; 9(8):147. https://doi.org/10.3390/sym9080147
Chicago/Turabian StyleAi, Qingsong, Yanan Zhang, Weili Qi, Quan Liu, and And Kun Chen. 2017. "Research on Lower Limb Motion Recognition Based on Fusion of sEMG and Accelerometer Signals" Symmetry 9, no. 8: 147. https://doi.org/10.3390/sym9080147
APA StyleAi, Q., Zhang, Y., Qi, W., Liu, Q., & Chen, A. K. (2017). Research on Lower Limb Motion Recognition Based on Fusion of sEMG and Accelerometer Signals. Symmetry, 9(8), 147. https://doi.org/10.3390/sym9080147

