Low Scale Saturation of Effective NN Interactions and Their Symmetries
Abstract
:1. Introduction
2. The Approach
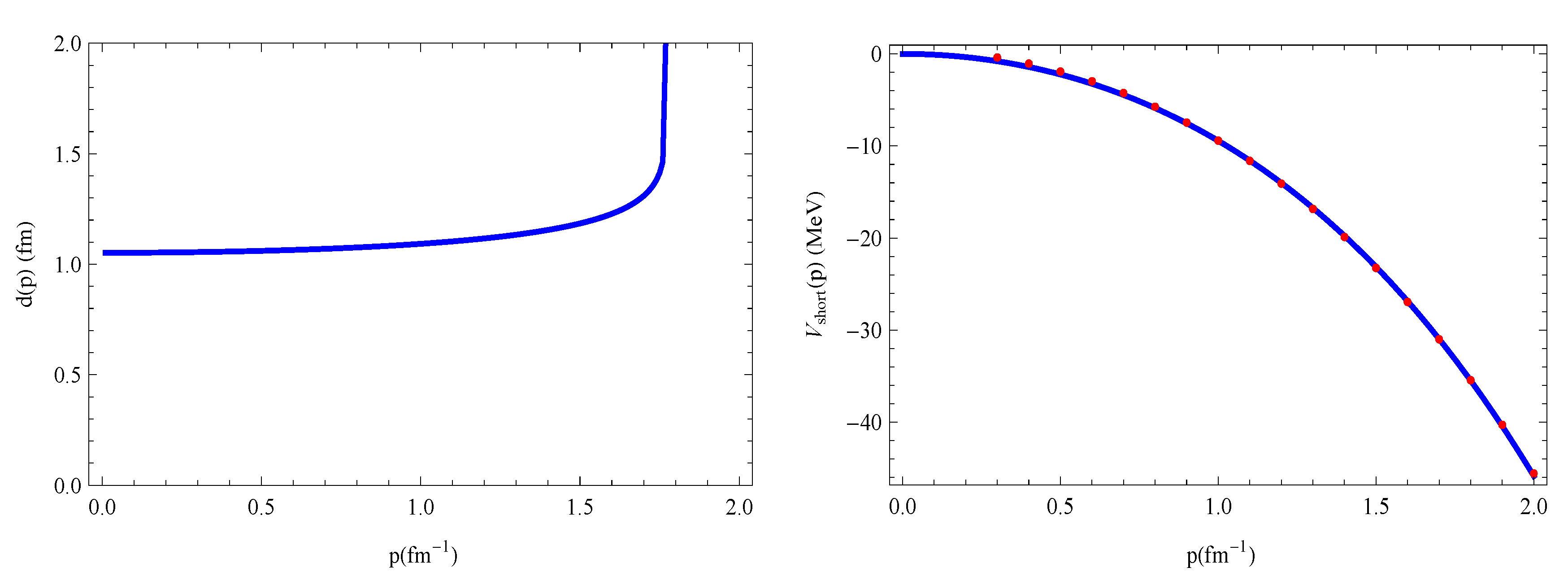
3. vs. Potentials
4. Skyrme Forces from Renormalization
4.1. Partial Waves Decomposition
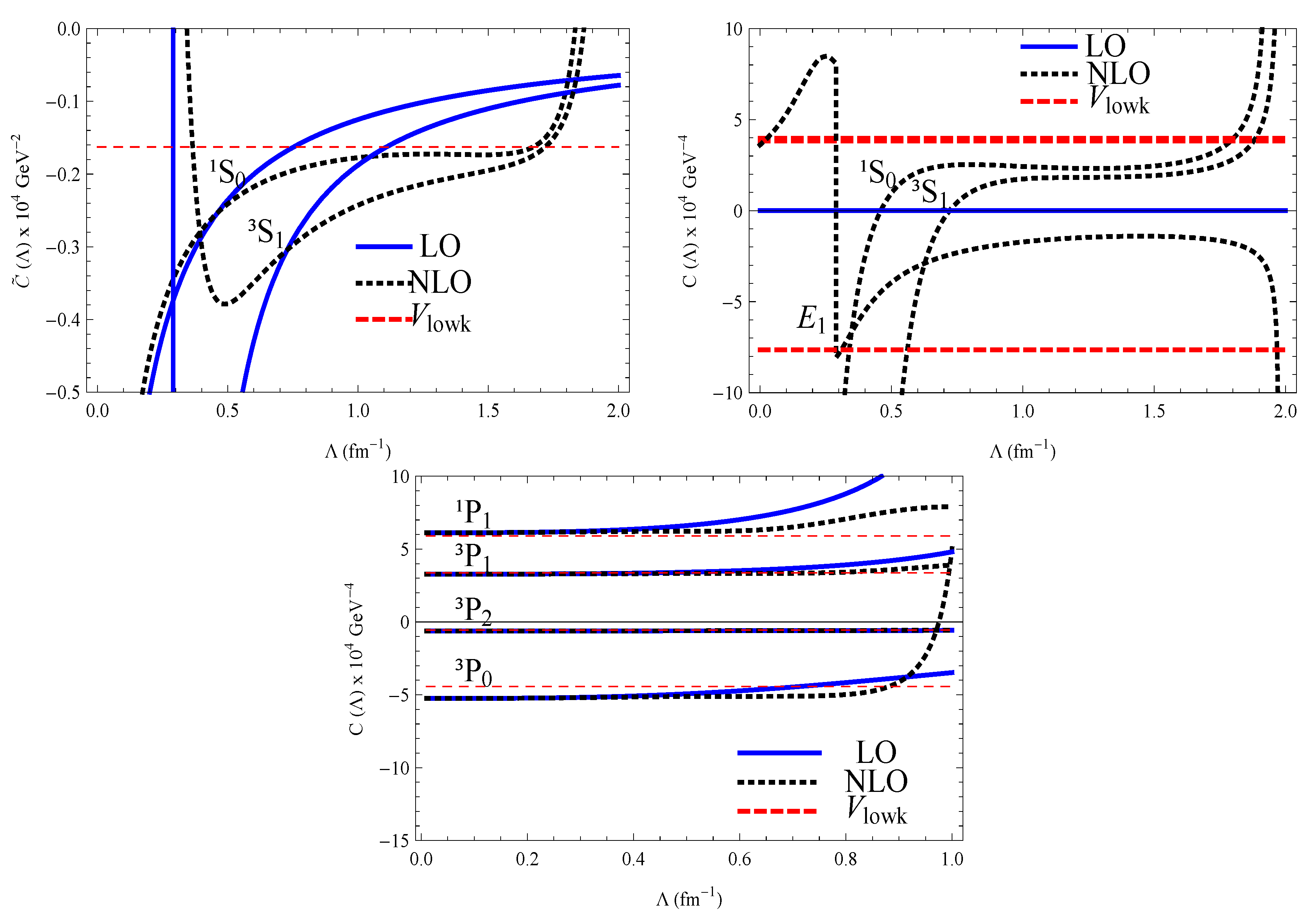
4.2. Analysis of Counterterms
4.3. Numerical Results
5. Conclusions
Acknowledgments
Conflicts of Interest
Appendix: Derivation of Analytical Results
General Considerations
Explicit Analytical Results
- Uncoupled waveThe second equation has a solution provided the numerator is positive definite
- Waves , , and .
- Coupled channels .The third equation has a solution provided the numerator is positive definiteWhen the S-D wave mixing through the parameter vanishes, we have and the remaining equations reduce to the uncoupled channel case.
References
- Moshinsky, M. Short range forces and nuclear shell theory. Nucl. Phys. 1958, 8, 19–40. [Google Scholar] [CrossRef]
- Skyrme, T. The effective nuclear potential. Nucl. Phys. 1959, 9, 615–634. [Google Scholar] [CrossRef]
- Vautherin, D.; Brink, D.M. Hartree-Fock Calculations with Skyrme’s Interaction. I. Spherical Nuclei. Phys. Rev. C 1972, 5, 626–647. [Google Scholar] [CrossRef]
- Negele, J.W.; Vautherin, D. Density-Matrix Expansion for an Effective Nuclear Hamiltonian. Phys. Rev. C 1972, 5, 1472–1493. [Google Scholar]
- Chabanat, E.; Meyer, J.; Bonche, P.; Schaeffer, R.; Haensel, P. A Skyrme parametrization from subnuclear to neutron star densities. Nucl. Phys. A 1997, 627, 710–746. [Google Scholar]
- Bender, M.; Heenen, P.H.; Reinhard, P.G. Self-consistent mean-field models for nuclear structure. Rev. Mod. Phys. 2003, 75, 121–180. [Google Scholar] [CrossRef]
- Moszkowski, S.A.; Scott, B.L. Nuclear forces and the properties of nuclear matter. Ann. Phys. 1960, 11, 65–115. [Google Scholar]
- Holt, J.W.; Brown, G.E. Separation of scales in the more effective field theory and Moszkowski-Scott methods. 2004. arXiv:nucl-th/0408047. [Google Scholar]
- Dean, D.J.; Engeland, T.; Hjorth-Jensen, M.; Kartamyshev, M.; Osnes, E. Effective interactions and the nuclear shell-model. Prog. Part. Nucl. Phys. 2004, 53, 419–500. [Google Scholar] [CrossRef]
- Coraggio, L.; Covello, A.; Gargano, A.; Itaco, N.; Kuo, T.T.S. Shell-model calculations and realistic effective interactions. Prog. Part. Nucl. Phys. 2009, 62, 135–182. [Google Scholar] [CrossRef]
- Friedrich, J.; Reinhard, P.G. Skyrme-force parametrization: Least-squares fit to nuclear ground-state properties. Phys. Rev. C 1986, 33, 335–351. [Google Scholar] [CrossRef]
- Klupfel, P.; Reinhard, P.G.; Burvenich, T.J.; Maruhn, J.A. Variations on a theme by Skyrme: A systematic study of adjustments of model parameters. Phys. Rev. C 2009, 79, 034310. [Google Scholar] [CrossRef]
- Furnstahl, R.J.; Hackworth, J.C. The Skyrme energy functional and naturalness. Phys. Rev. C 1997, 56, 2875–2878. [Google Scholar]
- Kortelainen, M.; Furnstahl, R.J.; Nazarewicz, W.; Stoitsov, M.V. Natural Units For Nuclear Energy Density Functional Theory. Phys. Rev. C 2010, 82, 011304. [Google Scholar] [CrossRef]
- Baldo, M.; Robledo, L.; Schuck, P.; Vinas, X. Energy density functional on a microscopic basis. J. Phys. G 2010, 37, 064015. [Google Scholar] [CrossRef]
- Stoitsov, M.; Kortelainen, M.; Bogner, S.K.; Duguet, T.; Furnstahl, R.J.; Gebremariam, B.; Schunck, N. Microscopically-based energy density functionals for nuclei using the density matrix expansion: Implementation and pre-optimization. Phys. Rev. C 2010, 82, 054307. [Google Scholar] [CrossRef]
- Dutra, M.; Lourenco, O.; Martins, J.S.S.; Delfino, A.; Stone, J.R.; Stevenson, P.D. Skyrme Interaction and Nuclear Matter Constraints. Phys. Rev. C 2012, 85, 035201. [Google Scholar] [CrossRef]
- Holt, J.W.; Kaiser, N.; Weise, W. Nuclear energy density functional from chiral two- and three-nucleon interactions. Eur. Phys. J. A 2011, 47, 128. [Google Scholar] [CrossRef]
- Kaiser, N. Isovector part of nuclear energy density functional from chiral two- and three-nucleon forces. Eur. Phys. J. A 2012, 48, 36. [Google Scholar] [CrossRef]
- Bogner, S.K.; Kuo, T.T.S.; Schwenk, A.; Entem, D.R.; Machleidt, R. Towards a model independent low momentum nucleon nucleon interaction. Phys. Lett. B 2003, 576, 265–272. [Google Scholar] [CrossRef]
- Bogner, S.K.; Kuo, T.T.S.; Schwenk, A. Model-independent low momentum nucleon interaction from phase shift equivalence. Phys. Rep. 2003, 386, 1–27. [Google Scholar] [CrossRef]
- Bogner, S.K.; Furnstahl, R.J.; Schwenk, A. From low-momentum interactions to nuclear structure. Prog. Part. Nucl. Phys. 2010, 65, 94–147. [Google Scholar] [CrossRef]
- Lee, D. Lattice simulations for few- and many-body systems. Prog. Part. Nucl. Phys. 2009, 63, 117–154. [Google Scholar] [CrossRef]
- Entem, D.R.; Ruiz Arriola, E.; Pavon Valderrama, M.; Machleidt, R. Renormalization of chiral two-pion exchange NN interactions. momentum versus coordinate space. Phys. Rev. C 2008, 77, 044006. [Google Scholar]
- Calle Cordon, A.; Ruiz Arriola, E. Wigner symmetry, Large N(c) and Renormalized One Boson Exchange Potential. Phys. Rev. C 2008, 78, 054002. [Google Scholar]
- Calle Cordon, A.; Ruiz Arriola, E. Serber symmetry, Large N(c) and Yukawa-like One Boson Exchange Potentials. Phys. Rev. C 2009, 80, 014002. [Google Scholar]
- Ruiz Arriola, E.; Calle Cordon, A. Old nuclear symmetries and large N(c) as long distance symmetries in the two nucleon system. 2009. arXiv:0904.4132. [Google Scholar]
- Ruiz Arriola, E.; Calle Cordon, A. Effective interactions and long distance symmetries in the Nucleon-Nucleon system. AIP Conf. Proc. 2010, 1322, 483. [Google Scholar]
- Navarro Perez, R.; Amaro, J.E.; Ruiz Arriola, E. Coarse graining Nuclear Interactions. Prog. Part. Nucl. Phys. 2012, 67, 359. [Google Scholar] [CrossRef] [Green Version]
- Navarro Perez, R.; Amaro, J.E.; Ruiz Arriola, E. Effective interactions in the delta-shells potential. Few Body Syst. 2013, 54, 1487. [Google Scholar] [CrossRef]
- Navarro Perez, R.; Amaro, J.E.; Ruiz Arriola, E. Error analysis of nuclear forces and effective interactions. J. Phys. G 2015, 42, 034013. [Google Scholar] [CrossRef] [Green Version]
- Navarro Perez, R.; Amaro, J.E.; Ruiz Arriola, E. Low energy chiral two pion exchange potential with statistical uncertainties. Phys. Rev. C 2015, 91, 054002. [Google Scholar]
- Navarro Perez, R.; Amaro, J.E.; Ruiz Arriola, E. The Low energy structure of the Nucleon-Nucleon interaction: Statistical vs. Systematic Uncertainties. J. Phys. G 2016. to be submitted. [Google Scholar]
- Carlsson, B.G.; Dobaczewski, J.; Kortelainen, M. Local nuclear energy density functional at next-to-next-to-next-to-leading order. Phys. Rev. C 2008, 78, 044326. [Google Scholar] [CrossRef]
- De la Plata, M.J.; Salcedo, L.L. Perturbation theory on nonquadratic actions and the treatment of effective Lagrangians. J. Phys. A 1998, 31, 4021–4035. [Google Scholar]
- Ruiz Arriola, E.; Szpigel, S.; Timoteo, V.S. Implicit vs Explicit Renormalization and Effective Interactions. Phys. Lett. B 2014, 728, 596. [Google Scholar] [CrossRef]
- Ruiz Arriola, E.; Szpigel, S.; Timoteo, V.S. Implicit Versus Explicit Renormalization of the NN Force: An S-Wave Toy Model. Few Body Syst. 2014, 55, 989. [Google Scholar] [CrossRef]
- Ruiz Arriola, E.; Szpigel, S.; Timoteo, V.S. Implicit and explicit renormalization: two complementary views of effective interactions. Ann. Phys. 2014, 353, 129. [Google Scholar] [CrossRef]
- Anderson, E.; Bogner, S.K.; Furnstahl, R.J.; Jurgenson, E.D.; Perry, R.J.; Schwenk, A. Block Diagonalization using SRG Flow Equations. Phys. Rev. C 2008, 77, 037001. [Google Scholar] [CrossRef]
- Furnstahl, R.J.; Hebeler, K. New applications of renormalization group methods in nuclear physics. Rept. Prog. Phys. 2013, 76, 126301. [Google Scholar] [CrossRef] [PubMed]
- Pavon Valderrama, M.; Ruiz Arriola, E. Low-energy NN scattering at next-to-next-to-next-to-next-to-leading order for partial waves with j < 5. Phys. Rev. C 2005, 72, 044007. [Google Scholar]
- Stoks, V.G.J.; Klomp, R.A.M.; Terheggen, C.P.F.; de Swart, J.J. Construction of high quality N N potential models. Phys. Rev. C 1994, 49, 2950. [Google Scholar]
- Wiringa, R.B.; Stoks, V.G.J.; Schiavilla, R. An Accurate nucleon-nucleon potential with charge independence breaking. Phys. Rev. C 1995, 51, 38. [Google Scholar]
- Holt, J.D.; Kuo, T.T.S.; Brown, G.E.; Bogner, S.K. Counter terms for low momentum nucleon nucleon interactions. Nucl. Phys. A 2004, 733, 153. [Google Scholar]
- Epelbaum, E.; Meissner, U.G.; Gloeckle, W.; Elster, C. Resonance saturation for four nucleon operators. Phys. Rev. C 2002, 65, 044001. [Google Scholar] [CrossRef]
- Pavon Valderrama, M.; Ruiz Arriola, E. Renormalization group analysis of boundary conditions in potential scattering. Ann. Phys. 2008, 323, 1037. [Google Scholar] [CrossRef]
- Pavon Valderrama, M. Power Counting and Wilsonian Renormalization in Nuclear Effective Field Theory. 2016. arXiv:1604.01332 [nucl-th]. [Google Scholar] [CrossRef]
- Navarro Perez, R.; Amaro, J.E.; Ruiz Arriola, E. Statistical error analysis for phenomenological nucleon-nucleon potentials. Phys. Rev. C 2014, 89, 064006. [Google Scholar] [CrossRef]
- Navarro Perez, R.; Amaro, J.E.; Ruiz Arriola, E. Phenomenological High Precision Neutron-Proton Delta-Shell Potential. Phys. Lett. B 2013, 724, 138. [Google Scholar] [CrossRef] [Green Version]
- Navarro Perez, R.; Amaro, J.E.; Ruiz Arriola, E. Partial Wave Analysis of Nucleon-Nucleon Scattering below pion production threshold. Phys. Rev. C 2013, 88, 024002. [Google Scholar] [CrossRef]
- Navarro Perez, R.; Amaro, J.E.; Ruiz Arriola, E. Coarse-grained potential analysis of neutron-proton and proton-proton scattering below the pion production threshold. Phys. Rev. C 2013, 88, 064002. [Google Scholar] [CrossRef]
- Navarro Perez, R.; Amaro, J.E.; Ruiz Arriola, E. Uncertainty quantification of effective nuclear interactions. Int. J. Mod. Phys. E 2016, 1641009. [Google Scholar]
- Erkelenz, K.; Alzetta, R.; Holinde, K. Momentum space calculations and helicity formalism in nuclear physics. Nucl. Phys. A 1971, 176, 413. [Google Scholar]
- Epelbaum, E.; Glockle, W.; Meissner, U.G. The Two-nucleon system at next-to-next-to-next-to-leading order. Nucl. Phys. A 2005, 747, 362. [Google Scholar] [CrossRef]
- Kaiser, N. Spin-orbit coupling in nuclei and realistic nucleon-nucleon potentials. Phys. Rev. C 2004, 70, 034307. [Google Scholar] [CrossRef]
- Mehen, T.; Stewart, I.W.; Wise, M.B. Wigner symmetry in the limit of large scattering lengths. Phys. Rev. Lett. 1999, 83, 931. [Google Scholar] [CrossRef]
- Kaplan, D.B.; Manohar, A.V. The Nucleon-nucleon potential in the 1/N(c) expansion. Phys. Rev. C 1997, 56, 76–83. [Google Scholar]
- Entem, D.R.; Machleidt, R. Accurate charge dependent nucleon nucleon potential at fourth order of chiral perturbation theory. Phys. Rev. C 2003, 68, 041001. [Google Scholar]
- Timoteo, V.S.; Szpigel, S.; Ruiz Arriola, E. Symmetries of the Similarity Renormalization Group for Nuclear Forces. Phys. Rev. C 2012, 86, 034002. [Google Scholar] [CrossRef]
- Szpigel, S.; Timoteo, V.S.; Ruiz Arriola, E. Long distance symmetries for nuclear forces and the similarity renormalization group. AIP Conf. Proc. 2013, 1520, 346. [Google Scholar]
- Ruiz Arriola, E.; Timoteo, V.S.; Szpigel, S. Nuclear Symmetries of the similarity renormalization group for nuclear forces. 2013. arXiv:1302.3978 [nucl-th]. [Google Scholar]
- Davesne, D.; Pastore, A.; Navarro, J. Fitting N3LO pseudo-potentials through central plus tensor Landau parameters. J. Phys. G 2014, 41, 065104. [Google Scholar] [CrossRef]
- Raimondi, F.; Bennaceur, K.; Dobaczewski, J. Nonlocal energy density functionals for low-energy nuclear structure. J. Phys. G 2014, 41, 055112. [Google Scholar] [CrossRef]
- Schunck, N.; McDonnell, J.D.; Sarich, J.; Wild, S.M.; Higdon, D. Error Analysis in Nuclear Density Functional Theory. J. Phys. G 2015, 42, 034024. [Google Scholar] [CrossRef]
- Schunck, N.; McDonnell, J.D.; Higdon, D.; Sarich, J.; Wild, S.M. Uncertainty Quantification and Propagation in Nuclear Density Functional Theory. Eur. Phys. J. A 2015, 51, 169. [Google Scholar] [CrossRef]
- Sadoudi, J.; Duguet, T.; Meyer, J.; Bender, M. Skyrme functional from a three-body pseudopotential of second order in gradients: Formalism for central terms. Phys. Rev. C 2013, 88, 064326. [Google Scholar] [CrossRef]
- Amghar, A.; Desplanques, B. Are all models of the N N interaction independent of each other? Nucl. Phys. A 1995, 585, 657–692. [Google Scholar] [CrossRef]
- Furnstahl, R.J.; Hammer, H.W.; Tirfessa, N. Field redefinitions at finite density. Nucl. Phys. A 2001, 689, 846–868. [Google Scholar]
- Srivastava, M.K.; Sprung, D.W.L. Off-Shell Behavior of the Nucleon-Nucleon Interaction. Adv. Nucl. Phys. 1975, 8, 121–218. [Google Scholar]
- Ruiz Arriola, E. Van der Waals forces and Photon-less Effective Field Theories. Few Body Syst. 2011, 50, 399. [Google Scholar] [CrossRef]




| Λ | Λ | Λ | Λ | Λ | |||||
|---|---|---|---|---|---|---|---|---|---|
| 1 | N3LO | AV18 | 6 Gr | χ TPE | |||||
| –0.3825 | –0.241 | –0.198 | –0.178 | –0.174 | –0.168 | –0.164 | –0.13 (1) | –0.15 (1) | |
| –28.06 | 1.08 | 2.538 | 2.436 | 2.333 | 4.105 | 3.997 | 4.15 (6) | 4.20 (8) | |
| 0.795 | –0.381 | –0.297 | –0.243 | –0.214 | –0.168 | –0.164 | –0.045 (19) | –0.006 (19) | |
| –450 | –15.6 | 0.588 | 1.767 | 1.843 | 3.689 | 3.851 | 3.7 (2) | 3.34 (4) | |
| 8.530 | –3.905 | –2.297 | –1.714 | –1.468 | –7.912 | –7.716 | –8.42 (7) | –8.72 (6) | |
| 6.233 | 6.690 | 8.353 | 16.18 | –29.63 | 6.092 | 5.939 | 6.47 (6) | 6.45 (3) | |
| –5.248 | –4.962 | –4.323 | –3.457 | –2.599 | –4.296 | –4.456 | –4.89 (5) | –4.94 (1) | |
| 3.324 | 3.449 | 3.844 | 4.946 | 9.376 | 3.452 | 3.411 | 3.68 (6) | 3.72 (3) | |
| –0.617 | –0.612 | –0.602 | –0.581 | –0.551 | –0.559 | –0.556 | –0.43 (1) | –0.486 (8) |
© 2016 by the author; licensee MDPI, Basel, Switzerland. This article is an open access article distributed under the terms and conditions of the Creative Commons Attribution (CC-BY) license (http://creativecommons.org/licenses/by/4.0/).
Share and Cite
Ruiz Arriola, E. Low Scale Saturation of Effective NN Interactions and Their Symmetries. Symmetry 2016, 8, 42. https://doi.org/10.3390/sym8060042
Ruiz Arriola E. Low Scale Saturation of Effective NN Interactions and Their Symmetries. Symmetry. 2016; 8(6):42. https://doi.org/10.3390/sym8060042
Chicago/Turabian StyleRuiz Arriola, Enrique. 2016. "Low Scale Saturation of Effective NN Interactions and Their Symmetries" Symmetry 8, no. 6: 42. https://doi.org/10.3390/sym8060042
APA StyleRuiz Arriola, E. (2016). Low Scale Saturation of Effective NN Interactions and Their Symmetries. Symmetry, 8(6), 42. https://doi.org/10.3390/sym8060042
