Fermi Surface Reconstruction due to Hidden Rotating Antiferromagnetism in N and P-Type High-TC Cuprates
Abstract
:1. Introduction
2. Review of Rotating Antiferromagnetism Theory
2.1. Normal State
2.2. Calculation of the Time Dependence of the Phase
2.3. Interpretation of Rotating Antiferromagnetism
2.4. Interplay between RAF and SC
3. RAF and SC Parameters versus Temperature and Doping



4. Doping Dependence of Electronic Structure
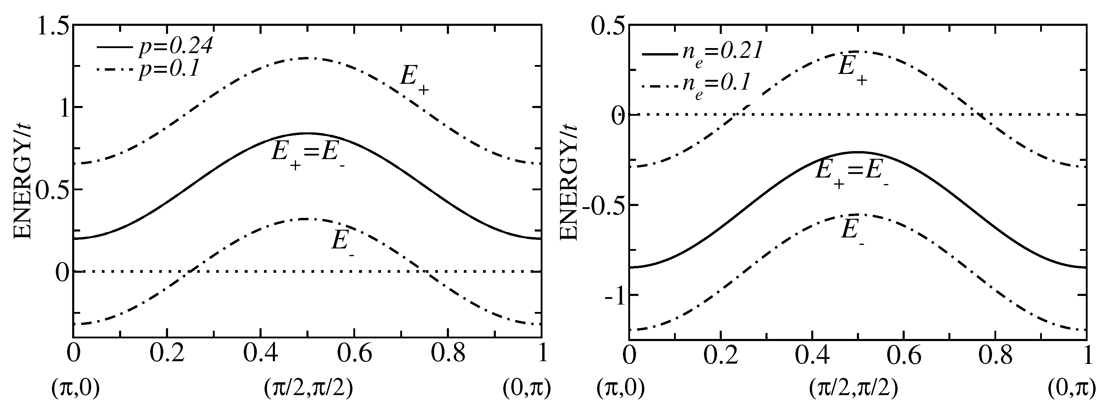
4.1. Analysis of Energy Spectra



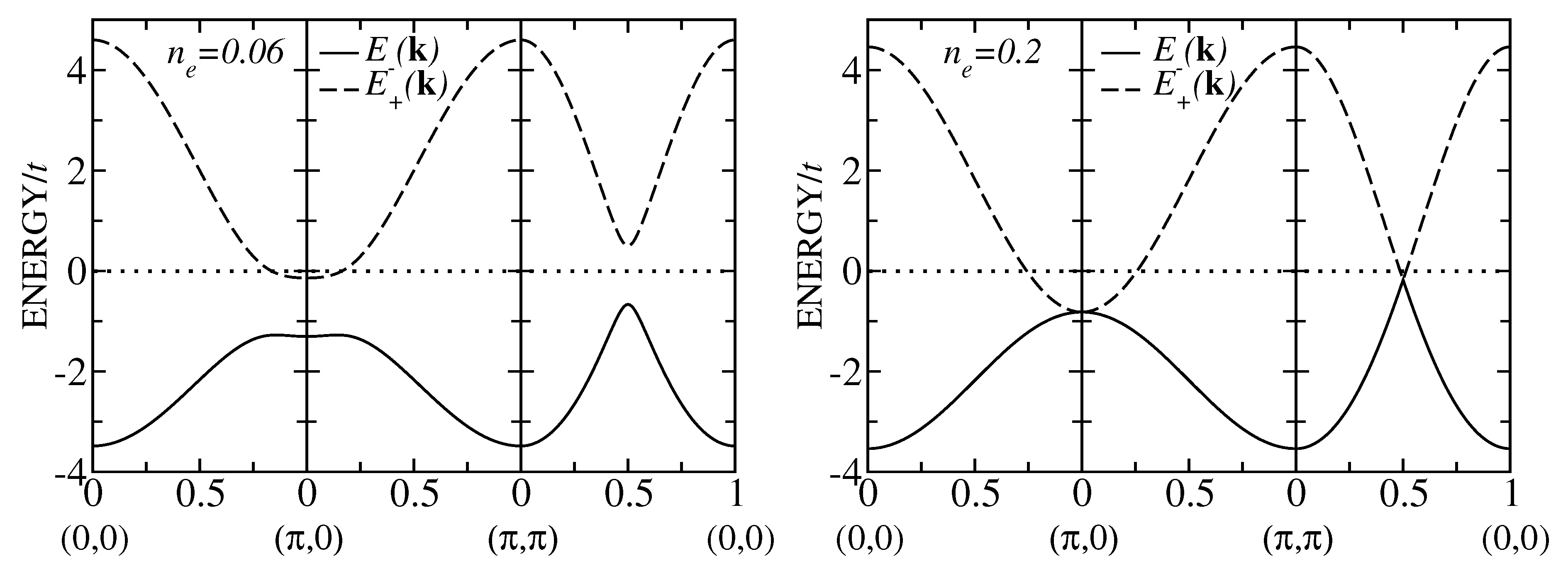
4.2. Evolution of the Fermi Surface with Doping
5. Conclusions and Discussion


References
- Azzouz, M. Rotating antiferromagnetism in high-temperature superconductors. Phys. Rev. B 2003, 67, 134510:1–134510:12. [Google Scholar] [CrossRef]
- Helm, T.; Kartsovnik, M.V.; Bartkowiak, M.; Bittner, N.; Lambacher, M.; Erb, A.; Wosnitza, J.; Gross, R. Evolution of the fermi surface of the electron-doped high-temperature superconductor Nd2-xCexCuO4 Revealed by Shubnikov–de Haas Oscillations. Phys. Rev. Lett. 2009, 103, 157002:1–157002:4. [Google Scholar] [CrossRef]
- Armitage, N.P.; Ronning, F.; Lu, D.H.; Kim, C.; Damascelli, A.; Shen, K.M.; Feng, D.L.; Eisaki, H.; Shen, Z.-X.; Mang, P.K.; et al. Doping dependence of an n-type cuprate superconductor investigated by angle-resolved photoemission spectroscopy. Phys. Rev. Lett. 2002, 88, 257001:1–257001:4. [Google Scholar] [CrossRef]
- Yoshida, T.; Zhou, X.J.; Tanaka, K.; Yang, W.L.; Hussain, Z.; Shen, Z.-X.; Fujimori, A.; Sahrakorpi, S.; Lindroos, M.; Markiewicz, R.S.; Bansil, A.; et al. Systematic doping evolution of the underlying Fermi surface of La2-xSrxCuO4. Phys. Rev. B 2006, 74, 224510:1–224510:5. [Google Scholar] [CrossRef]
- Azzouz, M.; Ramakko, B.W.; Presenza-Pitman, G. The electronic structure of the high-TC cuprates within the hidden rotating order. J. Phys. Condens. Matter 2010, 22, 345605:1–345605:15. [Google Scholar] [CrossRef] [PubMed]
- Azzouz, M. Thermodynamics of high-TC materials in the rotating antiferromagnetism theory. Phys. Rev. B 2003, 68, 174523:1–174523:12. [Google Scholar] [CrossRef]
- Azzouz, M. Chemical potentials of high-temperature superconductors. Phys. Rev. B 2004, 70, 52501:1–52501:4. [Google Scholar] [CrossRef]
- Saadaoui, H.; Azzouz, M. Doping dependence of coupling between charge carriers and bosonic modes in the normal state of high-TC superconductors. Phys. Rev. B 2005, 72, 184518:1–184518:11. [Google Scholar] [CrossRef]
- Azzouz, M.; Hewitt, K.C.; Saadaoui, H. Dichotomy and pseudogap signature in the Raman response of high-TC cuprates. Phys. Rev. B 2010, 81, 174502:1–174502:4. [Google Scholar] [CrossRef]
- Azzouz, M. Calculation of the phase of hidden rotating antiferromagnetic order. Physica C 2012, 480, 34–36. [Google Scholar] [CrossRef] [Green Version]
- Mermin, N.D.; Wagner, H. Absence of ferromagnetism or antiferromagnetism in one- or two-dimensional isotropic heisenberg models. Phys. Rev. Lett. 1966, 17, 1133–1136. [Google Scholar] [CrossRef]
- Kyung, B. Mean-field study of the interplay between antiferromagnetism and d-wave superconductivity. Phys. Rev. B 2000, 62, 9083–9088. [Google Scholar] [CrossRef]
- Chakravarty, S.; Laughlin, R.B.; Morr, D.K.; Nayak, C. Hidden order in the cuprates. Phys. Rev. B 2001, 63, 094503:1–094503:10. [Google Scholar] [CrossRef]
- Tsuei, C.C.; Kirtley, J.R. Pairing symmetry in cuprate superconductors. Rev. Mod. Phys. 2000, 72, 969–1016. [Google Scholar] [CrossRef]
- Bardeen, J.; Cooper, L.N.; Schrieffer, J.R. Theory of Superconductivity. Phys. Rev. 1957, 108, 1175–1204. [Google Scholar] [CrossRef]
- Tallon, J.L.; Loram, J.W. The doping dependence of T*—What is the real high-TC phase diagram? Physica C 2001, 349, 53–68. [Google Scholar] [CrossRef]
- Chubukov, A.V.; Morr, D.K. Electronic structure of underdoped cuprates. Phys. Rep. 1997, 288, 355–387. [Google Scholar] [CrossRef]
- Yoshida, T.; Zhou, X.J.; Lu, D.H.; Komiya, S.; Ando, Y.; Eisaki, H.; Kakeshita, T.; Uchida, S.; Hussain, Z.; Shen, Z.-X.; et al. Low-energy electronic structure of the high-TC cuprates La2-xSrxCuO4 studied by angle-resolved photoemission spectroscopy. J. Phys. Condens. Matter 2007, 19, 125209:1–125209:23. [Google Scholar] [CrossRef]
- Ronning, F.; Kim, C.; Feng, D.L.; Marshall, D.S.; Loeser, A.G.; Miller, L.L.; Eckstein, J.N.; Bozovic, I.; Shen, Z.-X. Photoemission evidence for a remnant fermi surface and a d-wavelike dispersion in insulating Ca2CuO2Cl2. Science 1998, 282, 2067–2072. [Google Scholar] [CrossRef] [PubMed]
- Doiron-Leyraud, N.; Proust, C.; LeBoeuf, D.; Levallois, J.; Bonnemaison, J.-B.; Liang, R.; Bonn, D.A.; Hardy, W.N.; Taillefer, L. Quantum oscillations and the Fermi surface in an underdoped high-TC superconductor. Nature 2007, 447, 565–568. [Google Scholar] [CrossRef] [PubMed]
- Sebastian, S.E.; Harrison, N.; Goddard, P.A.; Altarawneh, M.M.; Mielke, C.H.; Liang, R.; Bonn, D.A.; Hardy, W.N.; Andersen, O.K.; Lonzarich, G.G. Compensated electron and hole pockets in an underdoped high-TC superconductor. Phys. Rev. B 2010, 81, 214524:1–214524:17. [Google Scholar] [CrossRef]
- Matsui, H.; Takahashi, T.; Sato, T.; Terashima, K.; Ding, H.; Uefuji, T.; Yamada, K. Evolution of the pseudogap across the magnet-superconductor phase boundary of Nd2-xCexCuO4. Phys. Rev. B 2007, 75, 224514:1–224514:4. [Google Scholar] [CrossRef]
- Fauqué, B.; Sidis, Y.; Hinkov, V.; Pailhès, S.; Lin, C.T.; Chaud, X.; Bourges, P. Magnetic order in the pseudogap phase of high-TC superconductors. Phys. Rev. Lett. 2006, 96, 197001:1–197001:4. [Google Scholar] [CrossRef]
- Li, Y.; Balédent, V.; Barisic, N.; Cho, Y.; Fauqué, B.; Sidis, Y.; Yu, G.; Zhao, X.; Bourges, P.; Greven, M. Unusual magnetic order in the pseudogap region of the superconductor HgBa2CuO4+δ. Nature 2008, 455, 372–375. [Google Scholar] [CrossRef] [PubMed]
- Chang, J.; Blackburn, E.; Holmes, A.T.; Christensen, N.B.; Larsen, J.; Mesot, J.; Liang, R.; Bonn, D.A.; Hardy, W.N.; Watenphul, A.; et al. Direct observation of competition between superconductivity and charge density wave order in YBa2Cu3O6.67. Nat. Phys. 2012, 8, 871–876. [Google Scholar] [CrossRef]
- Shekhter, A.; Ramshaw, B.J.; Liang, R.; Hardy, W.N.; Bonn, D.A.; Balakirev, F.F.; McDonald, R.D.; Betts, J.B.; Riggs, S.C.; Migliori, A. Ultrasonic signatures at the superconducting and the pseudogap phase boundaries in YBCO cuprates. Available online: http://arxiv.org/abs/1208.5810 (accessed on 7 May 2013).
- Dean, M.P.M.; Springell, R.S.; Monney, C.; Zhou, K.J.; Bozovic, I.; Pereiro, J.; Dalla Piazza, B.; Ronnow, H.M.; Morenzoni, E.; van den Brink, J.; et al. Spin excitations in a single La2CuO4 layer. Nat. Mater. 2012, 11, 850–854. [Google Scholar] [CrossRef] [PubMed]
© 2013 by the authors; licensee MDPI, Basel, Switzerland. This article is an open access article distributed under the terms and conditions of the Creative Commons Attribution license (http://creativecommons.org/licenses/by/3.0/).
Share and Cite
Azzouz, M. Fermi Surface Reconstruction due to Hidden Rotating Antiferromagnetism in N and P-Type High-TC Cuprates. Symmetry 2013, 5, 215-232. https://doi.org/10.3390/sym5020215
Azzouz M. Fermi Surface Reconstruction due to Hidden Rotating Antiferromagnetism in N and P-Type High-TC Cuprates. Symmetry. 2013; 5(2):215-232. https://doi.org/10.3390/sym5020215
Chicago/Turabian StyleAzzouz, Mohamed. 2013. "Fermi Surface Reconstruction due to Hidden Rotating Antiferromagnetism in N and P-Type High-TC Cuprates" Symmetry 5, no. 2: 215-232. https://doi.org/10.3390/sym5020215
APA StyleAzzouz, M. (2013). Fermi Surface Reconstruction due to Hidden Rotating Antiferromagnetism in N and P-Type High-TC Cuprates. Symmetry, 5(2), 215-232. https://doi.org/10.3390/sym5020215
