Robust Fault Estimation Based on a Learning Observer for Linear Continuous-Time Systems with State Time-Varying Delay
Abstract
1. Introduction
- (1)
- Novel Learning Observer Structure for Time-Varying Delay Systems: A learning observer is proposed for linear continuous-time systems with actuator faults, external disturbances, and state time-varying delays. Unlike existing learning observers limited to constant delays or delay-free cases, the proposed structure explicitly accommodates time-varying delays through modified Lyapunov–Krasovskii functional and delay-dependent stability conditions.
- (2)
- Explicit Existence Conditions with Reduced Conservatism: The necessary conditions for learning observer existence are explicitly established based on invariant zeros and rank conditions. Furthermore, the delay-dependent sufficient conditions generated are less conservative than previous results, as demonstrated by quantitative comparisons of feasible delay bounds and disturbance attenuation levels.
- (3)
- Systematic LMI-Based Design with Practical Implementation Guidance: A systematic design procedure for observer gains is developed using LMI optimization techniques. Detailed guidance is provided on parameter selection, including the learning interval , gain matrices and , and equality constraints.
2. System Description
3. Fault Estimation
3.1. Design of the Learning Observer
- (1)
- With , the error system (6) is asymptotically stable.
- (2)
- For , the performance index .
3.2. Stability Analysis of the Learning Observer
3.3. Existence Conditions of the Proposed Learning Observer
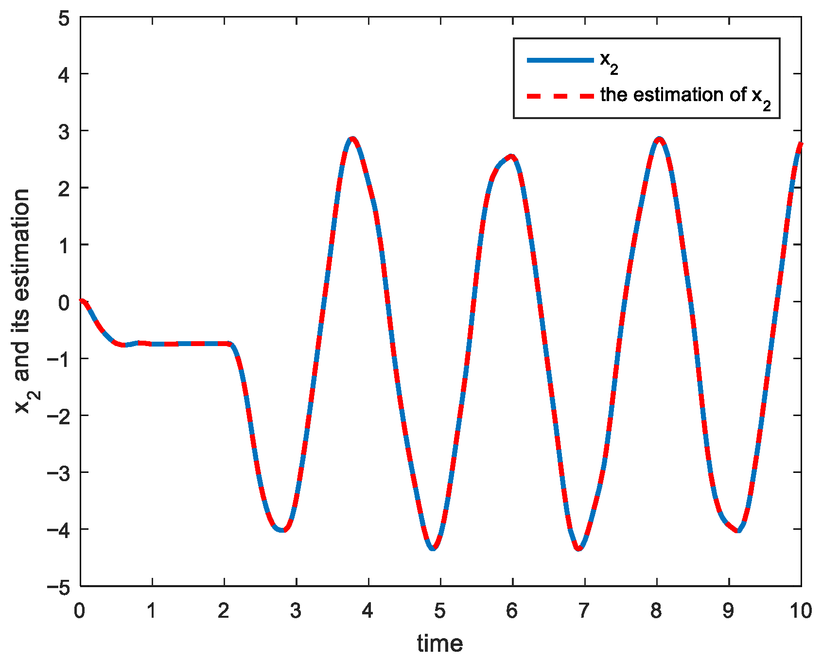
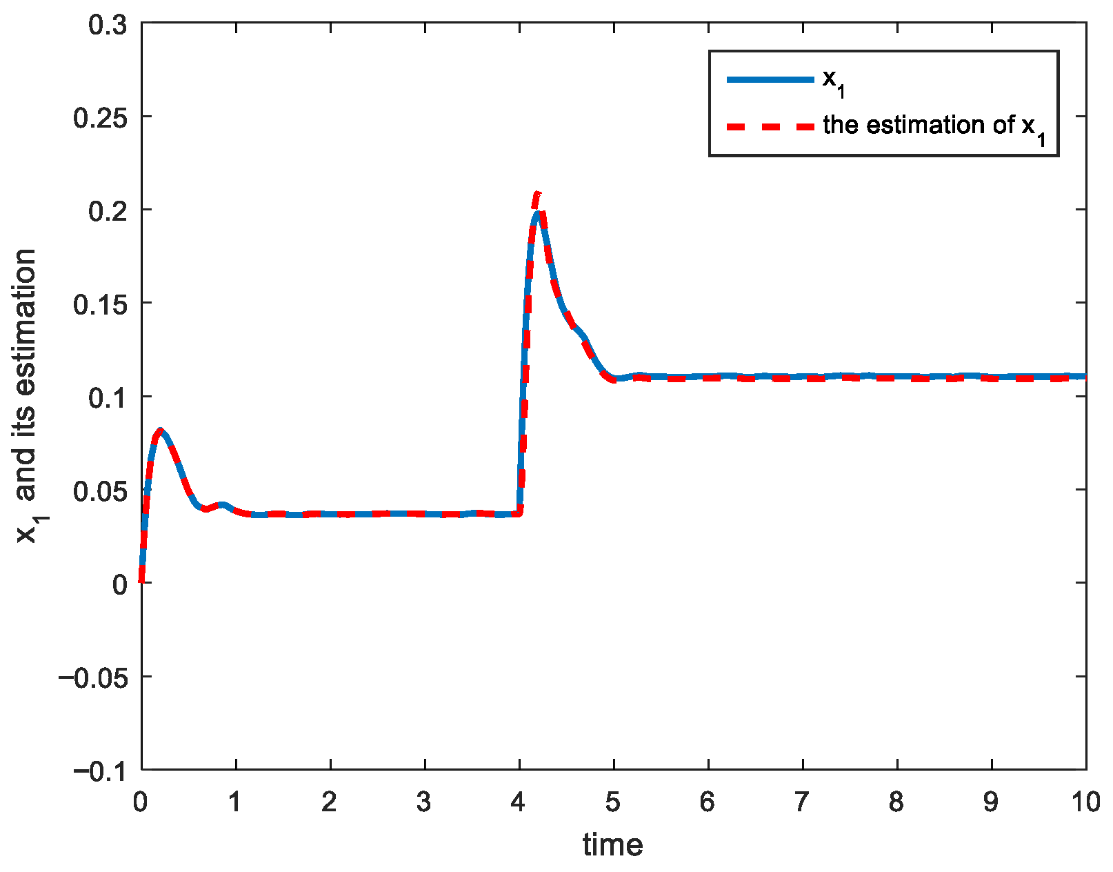
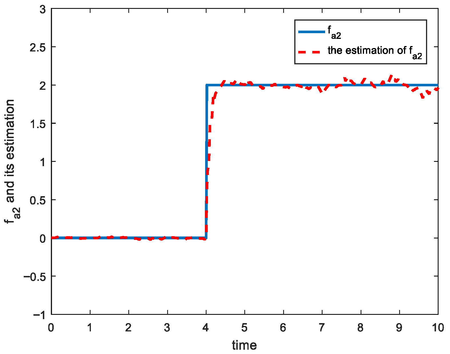
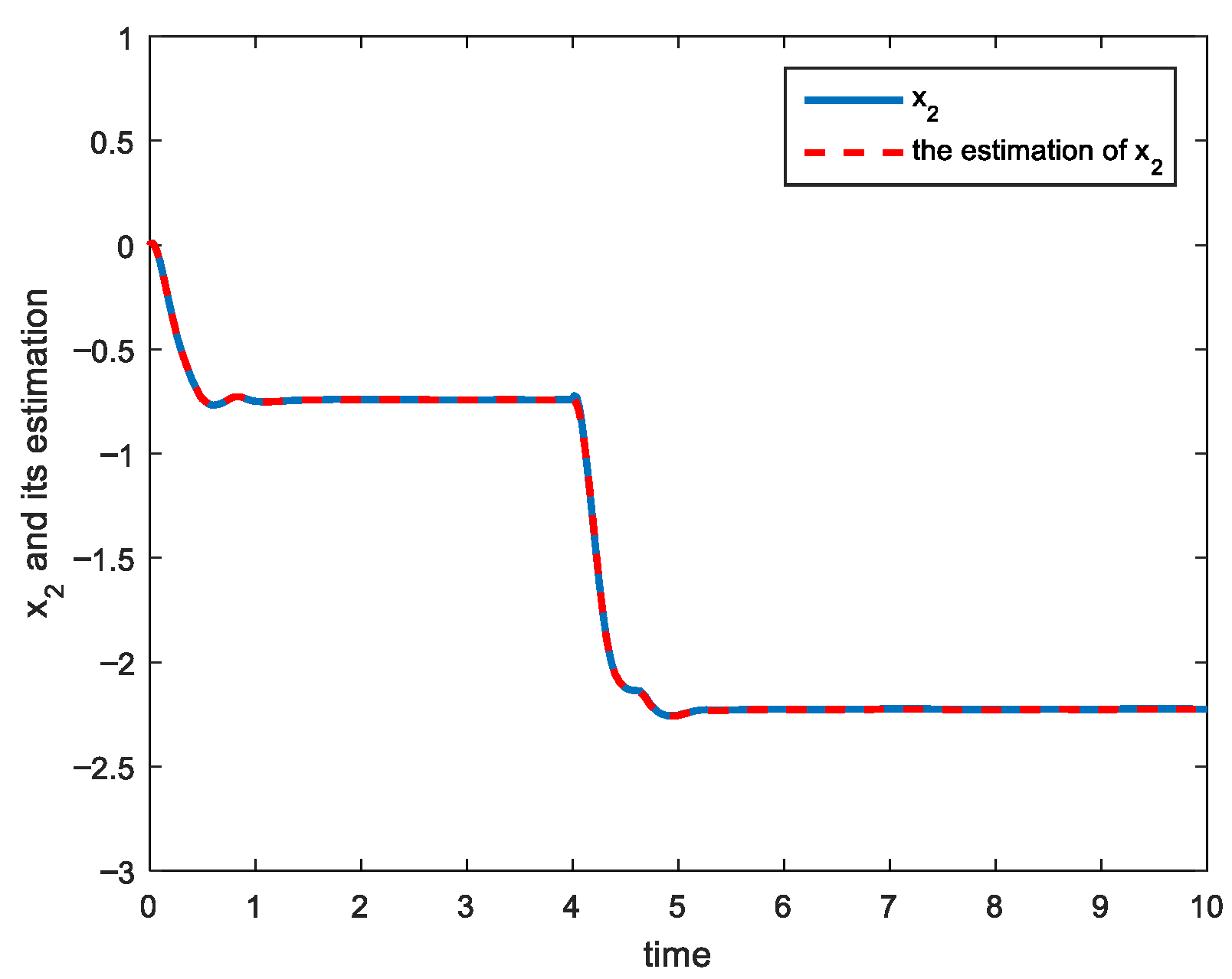
4. Simulation Results
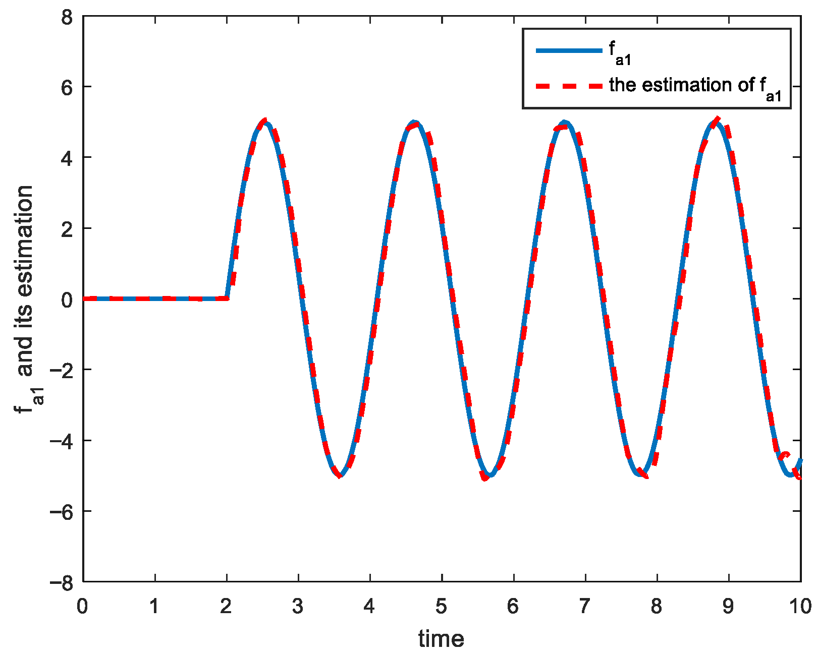
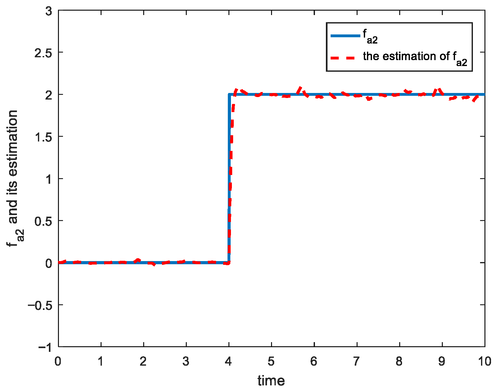
4.1. Example 1
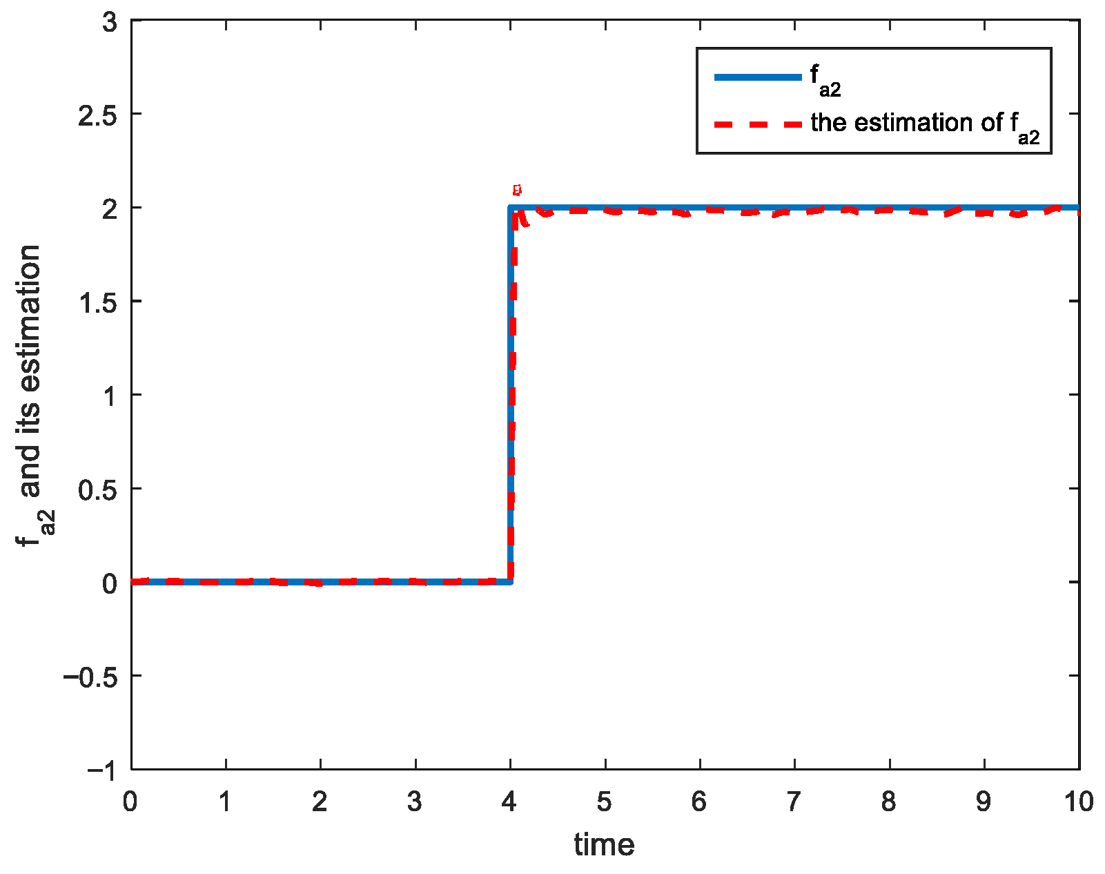
4.2. Example 2
4.3. Example 3
4.4. Comparative Statistical Analysis
5. Conclusions
Author Contributions
Funding
Data Availability Statement
Acknowledgments
Conflicts of Interest
Abbreviations
| Symbol | Meaning |
| n-dimensional Euclidean space | |
| Transpose of matrix P | |
| Inverse of matrix P | |
| P is positive definite | |
| P is positive semi-definite | |
| P is negative definite | |
| P is negative semi-definite | |
| Identity matrix of appropriate dimension | |
| 0 | Zero matrix of appropriate dimension |
| * | Symmetric element in a symmetric matrix |
| Maximum eigenvalue of matrix P | |
| Minimum eigenvalue of matrix P | |
| Euclidean norm of a vector or matrix | |
| Infinity norm of a vector or matrix | |
| Space of square-integrable vector functions |
References
- Ahmad, M.; Mohd-Mokhtar, R. A Survey on Model-based Fault Detection Techniques for Linear Time-Invariant Systems with Numerical Analysis. Pertanika J. Sci. Technol. 2022, 30, 53–78. [Google Scholar] [CrossRef]
- He, X.; Li, C.; Liu, Z. A real-time adaptive fault diagnosis scheme for dynamic systems with performance degradation. IEEE Trans. Reliab. 2023, 73, 1231–1244. [Google Scholar] [CrossRef]
- You, F.; Li, H.; Wang, F.; Guan, S. Robust Fast Adaptive Fault Estimation for Systems with Time-Varying Interval Delay. J. Frankl. Inst. 2015, 352, 5486–5513. [Google Scholar] [CrossRef]
- Gao, S.; Ma, G.; Guo, Y.; Zhang, W. Fast actuator and sensor fault estimation based on adaptive unknown input observer. ISA Trans. 2022, 129, 305–323. [Google Scholar] [CrossRef] [PubMed]
- Venkateswaran, S.; Kravaris, C. Design of linear unknown input observers for sensor fault estimation in nonlinear systems. Automatica 2023, 155, 111152. [Google Scholar] [CrossRef]
- Azarbani, A.; Fakharian, A.; Menhaj, M.B. Fault estimation for nonlinear uncertain time-delay systems based on unknown input observer. IET Control Theory Appl. 2024, 18, 846–864. [Google Scholar] [CrossRef]
- Edwards, C.; Spurgeon, S.K.; Patton, R.J. Sliding mode observers for fault detection and isolation. Automatica 2000, 36, 541–553. [Google Scholar] [CrossRef]
- Borja-Jaimes, V.; Coronel-Escamilla, A.; Escobar-Jiménez, R.F.; Adam-Medina, M.; Guerrero-Ramírez, G.V.; Sánchez-Coronado, E.M.; García-Morales, J. Fractional-order sliding mode observer for actuator fault estimation in a quadrotor UAV. Mathematics 2024, 12, 1247. [Google Scholar] [CrossRef]
- Liu, M.; Luo, P.; Hu, C.; Guo, R.; Hu, X. Actuator Fault Detection of T–S Fuzzy Hypersonic Flight Vehicle Model: AT–S Fuzzy-Based H∞ Sliding Mode Observer Approach. IEEE J. Miniaturization Air Space Syst. 2023, 4, 274–282. [Google Scholar] [CrossRef]
- Mimoune, K.; Hammoudi, M.Y.; Saadi, R.; Hamdi, W. Estimating Actuator Fault Through the Utilization of a Proportional Integral Observer with Quadratic Lyapunov Functions. In Proceedings of the 2024 8th International Conference on Image and Signal Processing and Their Applications (ISPA); IEEE: Piscataway, NJ, USA, 2024; pp. 1–6. [Google Scholar]
- Telbissi, K.; Benbraim, A.; Benzaouia, A. A fault estimation and fault accommodation-based PI observer for switched systems with time delay. Int. J. Dyn. Control 2023, 11, 748–758. [Google Scholar] [CrossRef]
- Dai, X.; Hu, Y.; Cui, D.; Chai, T. A disturbance decoupling generalized proportional–integral observer design for robust sensor fault detection. IEEE Trans. Ind. Electron. 2022, 70, 6326–6336. [Google Scholar] [CrossRef]
- Zhu, Y.; Zhang, J.; Chen, L.; Chen, X.; Su, C.-Y. Learning observer based fault estimation for a class of unmanned marine vehicles: The switched system approach. IEEE Trans. Autom. Sci. Eng. 2023, 21, 5665–5676. [Google Scholar] [CrossRef]
- Liu, W.; Sun, C.; Huang, S.; Yi, S. Robust Fault Estimation and Fault-Tolerant Control for a Class of Fuzzy Singularly Perturbed Systems with State Time Delay Based on Learning Observer. Int. J. Adapt. Control Signal Process. 2024, 38, 3865–3882. [Google Scholar] [CrossRef]
- Jiang, B.; Zhang, K.; Shi, P. Less conservative criteria for fault accommodation of time-varying delay systems using adaptive fault diagnosis observer. Int. J. Adapt. Control Signal Process. 2010, 24, 322–334. [Google Scholar] [CrossRef]
- Zare, I.; Asemani, M.H.; Setoodeh, P. Active adaptive observer-based fault-tolerant control strategy for a class of T-S fuzzy systems with unmeasurable premise variables. IEEE Trans. Fuzzy Syst. 2023, 31, 3543–3554. [Google Scholar] [CrossRef]
- Richard, J.P. Time-delay systems: An overview of some recent advances and open problems. Automatica 2003, 39, 1667–1694. [Google Scholar] [CrossRef]
- Seuret, A.; Gouaisbaut, F.; Baudouin, L. D1. 1-Overview of Lyapunov Methods for Time-Delay Systems; HAL: Lyon, France, 2016. [Google Scholar]
- Sinha, V.; Mondal, S. Robust Adaptive Fault Estimation Observer-Based FTC Design for Time-Delay PEMFC Systems. J. Inst. Eng. India Ser. B 2022, 103, 1305–1314. [Google Scholar] [CrossRef]
- Xia, Y.; Liu, Y.; Sun, W. A new fault tolerant strategy using adaptive time delay estimation for robot manipulators with actuator faults. Nonlinear Dyn. 2025, 113, 8769–8781. [Google Scholar] [CrossRef]
- Rabeb, B.; Aicha, E.; Naceur, A.M. Fault diagnosis and fault-tolerant control design for neutral time delay system. Automatika 2023, 64, 422–430. [Google Scholar] [CrossRef]
- Li, H.; You, F.; Wang, F.; Guan, S. Robust fast adaptive fault estimation and tolerant control for T-S fuzzy systems with interval time-varying delay. INT J Syst Sci. 2017, 48, 1708–1730. [Google Scholar] [CrossRef]
- Zhao, Z.; Zhu, L.; Li, J.; Du, D. Actuator and sensor fault detection for a nonlinear fractional-order system with time-varying delay. Chaos Solitons Fractals 2025, 199, 116647. [Google Scholar] [CrossRef]
- Zhang, H.; Sun, S.; Liu, C.; Zhang, K. A novel approach to observer-based fault estimation and fault-tolerant controller design for T–S fuzzy systems with multiple time delays. IEEE Trans. Fuzzy Syst. 2019, 28, 1679–1693. [Google Scholar] [CrossRef]
- Chen, W.; Saif, M. An iterative learning observer-based approach to fault detection and accommodation in nonlinear systems. In Proceedings of the 40th IEEE Conference on Decision and Control, Orlando, FL, USA, 4–7 December 2001; IEEE: Piscataway, NJ, USA, 2001; pp. 4469–4474. [Google Scholar]
- Jia, Q.; Chen, W.; Zhang, Y.; Li, H. Fault Reconstruction for Continuous-Time Systems via Learning Observers. Asian J. Control 2016, 18, 549–561. [Google Scholar] [CrossRef]
- Jia, Q.; Chen, W.; Zhang, Y.; Chen, X. Robust fault reconstruction via learning observers in linear parameter-varying systems subject to loss of actuator effectiveness. IET Control Theory Appl. 2014, 8, 42–50. [Google Scholar] [CrossRef]
- Jia, Q.; Chen, W.; Zhang, Y.; Li, H. Fault Reconstruction and Fault-tolerant Control via Learning Observers in Takagi-Sugeno Fuzzy Descriptor Systems with Time Delays. IEEE Trans. Ind. Electron. 2015, 62, 3885–3895. [Google Scholar] [CrossRef]
- Jia, Q.; Li, H.; Li, M. Robust actuator fault reconstruction for Takagi-Sugeno fuzzy systems with unknown input via a synthesized learning and sliding-mode observer. Asian J. Control 2023, 25, 2720–2735. [Google Scholar] [CrossRef]
- Zetina-Rios, I.I.; Osorio-Gordillo, G.; Vargas-Méndez, R.A.; Madrigal-Espinosa, G.; Astorga-Zaragoza, C. Actuator fault estimation based on generalized learning observer for quasi-linear parameter varying systems. Int. J. Adapt. Control Signal Process. 2021, 35, 828–845. [Google Scholar] [CrossRef]
- Rios, I.Z.; Osorio-Gordillo, G.; Alma, M.; Darouach, M.; Astorga Zaragoza, C.M. Fault Estimation Based on Generalized Learning Observer for a Class of Nonlinear Algebro-Differential Parameter-Varying Systems. Mem. Del Congr. Nac. De Control Automático 2023, 6, 1–6. [Google Scholar]
- Ma, R.; Gui, Y.; Jia, Q.; Zheng, Z.; Li, H. Actuator Fault Identification for Spacecraft System via an Iterative Learning Observer. In Proceedings of the International Conference on Guidance, Navigation and Control; Springer: Singapore, 2023. [Google Scholar]
- Naifar, O. Tempered fractional gradient descent: Theory, algorithms, and robust learning applications. Neural Netw. 2025, 193, 108005. [Google Scholar] [CrossRef]
- Wang, Y.; Xie, L.; De Souza, C.E. Robust control of a class of uncertain nonlinear systems. Syst. Control Lett. 1992, 19, 139–149. [Google Scholar] [CrossRef]
- Gu, K. An integral inequality in the stability problem of time-delay systems. In Proceedings of the 39th IEEE Conference on Decision and Control (Cat. No. 00CH37187); IEEE: Piscataway, NJ, USA, 2000; Volume 3, pp. 2805–2810. [Google Scholar]
- Xie, L.; de Souza, C.E. Robust H/sub infinity/control for linear systems with norm-bounded time-varying uncertainty. In Proceedings of the 29th IEEE Conference on Decision and Control; IEEE: Piscataway, NJ, USA, 1990; pp. 1034–1035. [Google Scholar]
- Corless, M.; Tu, J. State and input estimation for a class of uncertain systems. Automatica 1998, 34, 757–764. [Google Scholar] [CrossRef]
















| d(s) | 0.001 | 0.002 | 0.005 | 0.01 | 0.02 | 0.05 | 0.08 | 0.1 |
| RMSE | 0.021 | 0.024 | 0.032 | 0.038 | 0.047 | 0.072 | 0.095 | 0.112 |
| Ex. | Fault Type | Method | Noise Level | Delay Bound | RMSE | MAE | Conv. Time (s) |
|---|---|---|---|---|---|---|---|
| 1 | Time- varying | Proposed | 0.032 | 0.024 | 0.42 | ||
| 0.036 | 0.027 | 0.46 | |||||
| 0.040 | 0.030 | 0.50 | |||||
| 0.042 | 0.032 | 0.53 | |||||
| 0.055 | 0.042 | 0.68 | |||||
| Constant | Proposed | 0.008 | 0.006 | 0.21 | |||
| 0.009 | 0.007 | 0.23 | |||||
| 0.011 | 0.008 | 0.26 | |||||
| 2 | Time- varying | Proposed | - | 0.031 | 0.023 | 0.38 | |
| - | 0.035 | 0.026 | 0.42 | ||||
| - | 0.039 | 0.029 | 0.46 | ||||
| Constant | Proposed | - | 0.007 | 0.005 | 0.18 | ||
| - | 0.008 | 0.006 | 0.20 | ||||
| - | 0.010 | 0.007 | 0.23 | ||||
| 3 | Time- varying | Proposed | 0.041 | 0.031 | 0.55 | ||
| Method in ref. [15] | 0.098 | 0.074 | 1.45 | ||||
| Proposed | 0.046 | 0.035 | 0.60 | ||||
| Method in ref. [15] | 0.106 | 0.080 | 1.55 | ||||
| Proposed | 0.051 | 0.039 | 0.65 | ||||
| Method in ref. [15] | 0.115 | 0.087 | 1.65 | ||||
| Proposed | 0.054 | 0.041 | 0.70 | ||||
| Method in ref. [15] | 0.125 | 0.095 | 1.80 | ||||
| Proposed | 0.070 | 0.053 | 0.88 | ||||
| Method in ref. [15] | 0.165 | 0.125 | 2.15 | ||||
| Constant | Proposed | 0.009 | 0.007 | 0.24 | |||
| Method in ref. [15] | 0.011 | 0.008 | 0.38 |
Disclaimer/Publisher’s Note: The statements, opinions and data contained in all publications are solely those of the individual author(s) and contributor(s) and not of MDPI and/or the editor(s). MDPI and/or the editor(s) disclaim responsibility for any injury to people or property resulting from any ideas, methods, instructions or products referred to in the content. |
© 2026 by the authors. Licensee MDPI, Basel, Switzerland. This article is an open access article distributed under the terms and conditions of the Creative Commons Attribution (CC BY) license.
Share and Cite
Tian, K.; Fu, Q.; You, F.; Li, M.; Jiang, Y. Robust Fault Estimation Based on a Learning Observer for Linear Continuous-Time Systems with State Time-Varying Delay. Symmetry 2026, 18, 479. https://doi.org/10.3390/sym18030479
Tian K, Fu Q, You F, Li M, Jiang Y. Robust Fault Estimation Based on a Learning Observer for Linear Continuous-Time Systems with State Time-Varying Delay. Symmetry. 2026; 18(3):479. https://doi.org/10.3390/sym18030479
Chicago/Turabian StyleTian, Kuo, Qiang Fu, Fuqiang You, Ming Li, and Yunfeng Jiang. 2026. "Robust Fault Estimation Based on a Learning Observer for Linear Continuous-Time Systems with State Time-Varying Delay" Symmetry 18, no. 3: 479. https://doi.org/10.3390/sym18030479
APA StyleTian, K., Fu, Q., You, F., Li, M., & Jiang, Y. (2026). Robust Fault Estimation Based on a Learning Observer for Linear Continuous-Time Systems with State Time-Varying Delay. Symmetry, 18(3), 479. https://doi.org/10.3390/sym18030479

