Optimal Intensity Measures for the Repair Rate Estimation of Buried Cast Iron Pipelines with Lead-Caulked Joints Subjected to Pulse-like Ground Motions
Abstract
1. Introduction
2. Identification of Optimal Seismic Intensity Measures
2.1. Candidate Seismic Intensity Measures
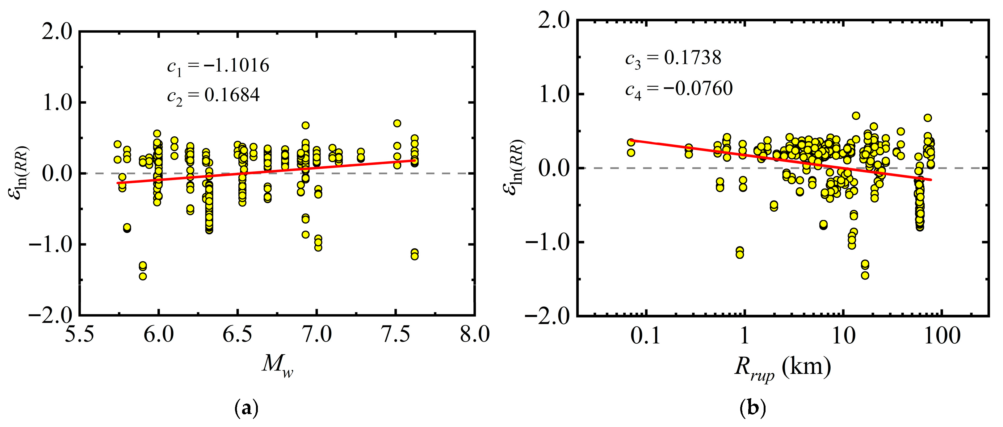
2.2. Criteria for Identifying Optimal IMs
3. Ground Motion Dataset
4. Numerical Modeling
4.1. Sealing Capacity of the Lead-Caulked Joints
4.2. Pipeline Simulation
4.3. Joint Simulation
4.4. Soil–Pipe Interaction Simulation
4.5. Dynamic Analysis
4.6. Acquisition of Repair Rate
4.7. Validation of the Numerical Model
5. Results
5.1. Optimal Scalar-IMs
5.2. Optimal Vector-IMs
6. Discussion
7. Conclusions
- (1)
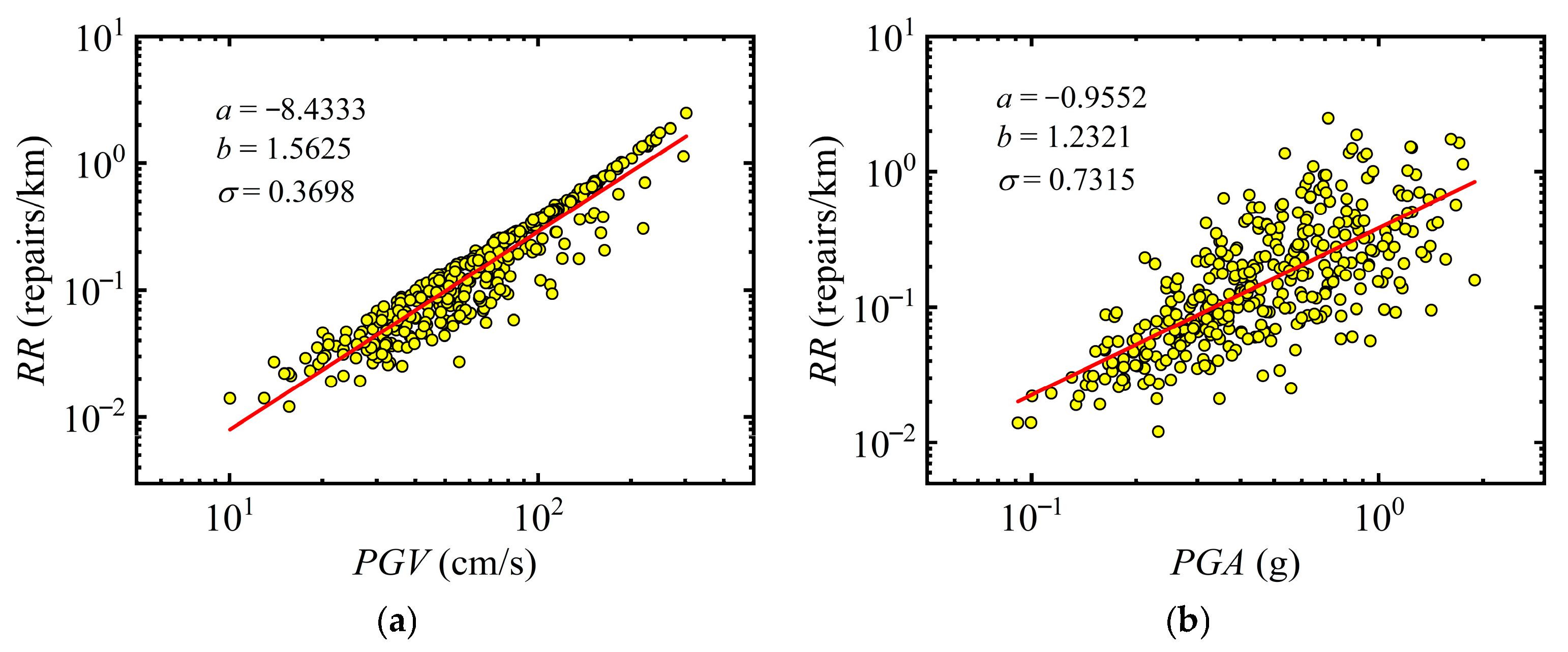
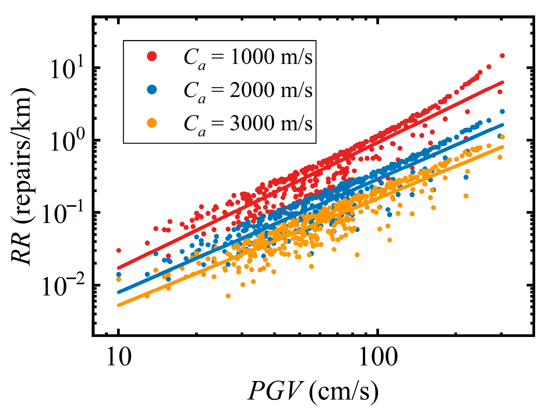
- The distribution patterns of efficiency, sufficiency, and proficiency in predicting RR using various candidate IMs are alike under varying values of Ca. Among the scalar-IMs, PGV exhibits the best predictive efficiency (σ = 0.39) and proficiency (ζ = 0.24), followed by VSI (σ = 0.50, ζ = 0.33). The IMs CAV, CAV5, and VRMS demonstrate superior predictive sufficiency, each with a cavg value of approximately 0.08, and PGV also shows good predictive sufficiency (cavg = 0.12). However, VSI presents inferior sufficiency compared to the other IMs (cavg = 0.25). After comprehensively comparing the predictive efficiency, sufficiency, and proficiency of candidate scalar-IMs, PGV is chosen as the optimal scalar-IM for estimating RR of buried CI pipelines subjected to pulse-like ground motions.
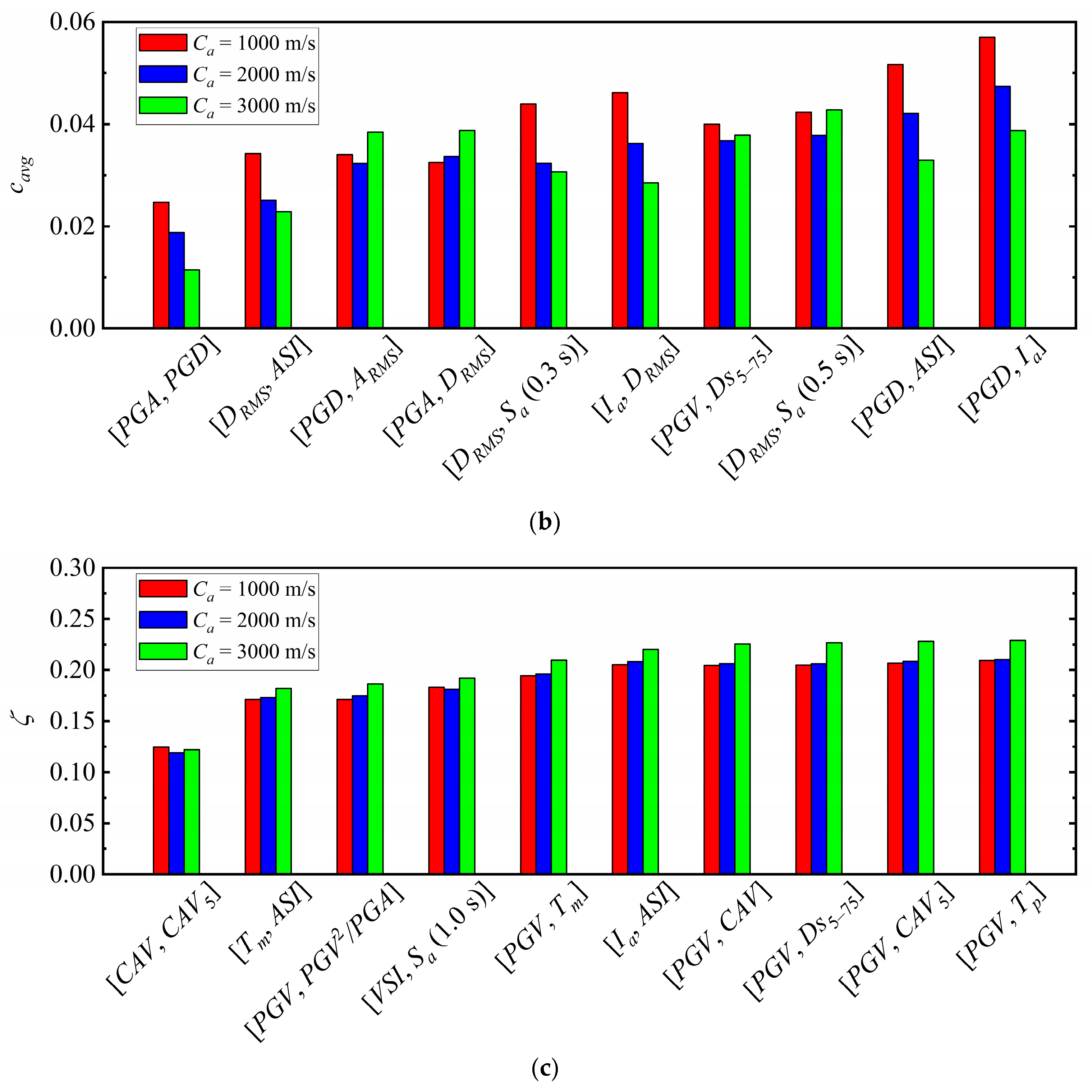
- (2)
- Among the vector-IMs, [PGV, CAV] demonstrates the best efficiency (σ = 0.36). [PGV, PGD] shows the best sufficiency (cavg = 0.02), followed by [DRMS, ASI] (cavg = 0.03). The proficiency of [CAV, CAV5] is remarkably better than that of other vector-IMs (ζ = 0.12). Considering all three criteria together, [PGV, Ds5–75] exhibits good predictive efficiency (σ = 0.37), sufficiency (cavg = 0.04), and proficiency (ζ = 0.21), and is ultimately identified as the optimal vector-IM for estimating RR of buried CI pipelines subjected to pulse-like ground motions. Compared to PGV, the vector-IM [PGV, Ds5–75] yields improvements across efficiency, sufficiency, and proficiency, with average reductions of approximately 5% in σ, 69% in cavg, and 12% in ζ. This confirms that adopting vector-IMs offers advantages in estimating the RR of buried CI pipelines with lead-caulked joints.
- (3)
- The symmetrical multi-criteria framework developed in this study successfully identified optimal IMs through a balanced consideration of efficiency, sufficiency, and proficiency. These findings hold practical implications for pipeline seismic risk prevention and management. The scalar-IM (PGV) can serve as a practical parameter for prioritizing maintenance and retrofit planning in large-scale pipeline networks owing to its data availability and computational simplicity. The vector-IM ([PGV, Ds5–75]) can be adopted to reduce uncertainty in site-specific probabilistic risk assessments for high-risk critical pipelines. These findings provide a quantitative basis for seismic design guidelines of buried cast iron pipelines.
Author Contributions
Funding
Data Availability Statement
Conflicts of Interest
Appendix A
| RSN | Earthquake | Station | Year | Mw | Rrup (km) | Vs30 (m/s) |
|---|---|---|---|---|---|---|
| 20 | Northern Calif-03 | Ferndale City Hall | 1954 | 6.50 | 27.02 | 219.31 |
| 148 | Coyote Lake | Gilroy Array #3 | 1979 | 5.74 | 7.42 | 349.85 |
| 159 | Imperial Valley-06 | Agrarias | 1979 | 6.53 | 0.65 | 242.05 |
| 161 | Imperial Valley-06 | Brawley Airport | 1979 | 6.53 | 10.42 | 208.71 |
| 170 | Imperial Valley-06 | EC County Center FF | 1979 | 6.53 | 7.31 | 192.05 |
| 171 | Imperial Valley-06 | El Centro-Meloland Geot Array | 1979 | 6.53 | 0.07 | 264.57 |
| 173 | Imperial Valley-06 | El Centro Array #10 | 1979 | 6.53 | 8.60 | 202.85 |
| 178 | Imperial Valley-06 | El Centro Array #3 | 1979 | 6.53 | 12.85 | 162.94 |
| 179 | Imperial Valley-06 | El Centro Array #4 | 1979 | 6.53 | 7.05 | 208.91 |
| 180 | Imperial Valley-06 | El Centro Array #5 | 1979 | 6.53 | 3.95 | 205.63 |
| 181 | Imperial Valley-06 | El Centro Array #6 | 1979 | 6.53 | 1.35 | 203.22 |
| 182 | Imperial Valley-06 | El Centro Array #7 | 1979 | 6.53 | 0.56 | 210.51 |
| 184 | Imperial Valley-06 | El Centro Differential Array | 1979 | 6.53 | 5.09 | 202.26 |
| 185 | Imperial Valley-06 | Holtville Post Office | 1979 | 6.53 | 7.50 | 202.89 |
| 250 | Mammoth Lakes-06 | Long Valley Dam (Upr L Abut) | 1980 | 5.94 | 16.03 | 537.16 |
| 316 | Westmorland | Parachute Test Site | 1981 | 5.90 | 16.66 | 348.69 |
| 319 | Westmorland | Westmorland Fire Sta | 1981 | 5.90 | 6.50 | 193.67 |
| 415 | Coalinga-05 | Transmitter Hill | 1983 | 5.77 | 9.51 | 477.25 |
| 451 | Morgan Hill | Coyote Lake Dam-Southwest Abutment | 1984 | 6.19 | 0.53 | 561.43 |
| 503 | Taiwan SMART1(40) | SMART1 C00 | 1986 | 6.32 | 59.92 | 309.41 |
| 504 | Taiwan SMART1(40) | SMART1 E01 | 1986 | 6.32 | 57.25 | 308.39 |
| 505 | Taiwan SMART1(40) | SMART1 I01 | 1986 | 6.32 | 60.11 | 275.82 |
| 506 | Taiwan SMART1(40) | SMART1 I07 | 1986 | 6.32 | 59.72 | 309.41 |
| 507 | Taiwan SMART1(40) | SMART1 M01 | 1986 | 6.32 | 60.86 | 268.37 |
| 508 | Taiwan SMART1(40) | SMART1 M07 | 1986 | 6.32 | 58.92 | 327.61 |
| 510 | Taiwan SMART1(40) | SMART1 O07 | 1986 | 6.32 | 57.99 | 314.33 |
| 568 | San Salvador | Geotech Investig Center | 1986 | 5.80 | 6.30 | 489.34 |
| 569 | San Salvador | National Geografic Inst | 1986 | 5.80 | 6.99 | 455.93 |
| 595 | Whittier Narrows-01 | Bell Gardens-Jaboneria | 1987 | 5.99 | 17.79 | 267.13 |
| 611 | Whittier Narrows-01 | Compton-Castlegate St | 1987 | 5.99 | 23.37 | 266.90 |
| 614 | Whittier Narrows-01 | Downey-Birchdale | 1987 | 5.99 | 20.79 | 245.06 |
| 615 | Whittier Narrows-01 | Downey-Co Maint Bldg | 1987 | 5.99 | 20.82 | 271.90 |
| 645 | Whittier Narrows-01 | LB-Orange Ave | 1987 | 5.99 | 24.54 | 344.72 |
| 668 | Whittier Narrows-01 | Norwalk-Imp Hwy, S Grnd | 1987 | 5.99 | 20.42 | 279.46 |
| 692 | Whittier Narrows-01 | Santa Fe Springs-E. Joslin | 1987 | 5.99 | 18.49 | 339.06 |
| 722 | Superstition Hills-02 | Kornbloom Road (temp) | 1987 | 6.54 | 18.48 | 266.01 |
| 723 | Superstition Hills-02 | Parachute Test Site | 1987 | 6.54 | 0.95 | 348.69 |
| 725 | Superstition Hills-02 | Poe Road (temp) | 1987 | 6.54 | 11.16 | 316.64 |
| 738 | Loma Prieta | Alameda Naval Air Stn Hanger | 1989 | 6.93 | 71.00 | 190.00 |
| 758 | Loma Prieta | Emeryville, Pacific Park #2, Free Field | 1989 | 6.93 | 76.97 | 198.74 |
| 764 | Loma Prieta | Gilroy-Historic Bldg | 1989 | 6.93 | 10.97 | 308.55 |
| 766 | Loma Prieta | Gilroy Array #2 | 1989 | 6.93 | 11.07 | 270.84 |
| 767 | Loma Prieta | Gilroy Array #3 | 1989 | 6.93 | 12.82 | 349.85 |
| 783 | Loma Prieta | Oakland-Outer Harbor Wharf | 1989 | 6.93 | 74.26 | 248.62 |
| 784 | Loma Prieta | Oakland-Title and Trust | 1989 | 6.93 | 72.20 | 306.30 |
| 796 | Loma Prieta | SF-Presidio | 1989 | 6.93 | 77.43 | 594.47 |
| 802 | Loma Prieta | Saratoga-Aloha Ave | 1989 | 6.93 | 8.50 | 380.89 |
| 803 | Loma Prieta | Saratoga-W Valley Coll | 1989 | 6.93 | 9.31 | 347.90 |
| 808 | Loma Prieta | Treasure Island | 1989 | 6.93 | 77.42 | 155.11 |
| 828 | Cape Mendocino | Petrolia | 1992 | 7.01 | 8.18 | 422.17 |
| 838 | Landers | Barstow | 1992 | 7.28 | 34.86 | 370.08 |
| 900 | Landers | Yermo Fire Station | 1992 | 7.28 | 23.62 | 353.63 |
| 982 | Northridge-01 | Jensen Filter Plant | 1994 | 6.69 | 5.43 | 373.07 |
| 983 | Northridge-01 | Jensen Filter Plant Generator | 1994 | 6.69 | 5.43 | 525.79 |
| 1003 | Northridge-01 | LA-Saturn St | 1994 | 6.69 | 27.01 | 308.71 |
| 1004 | Northridge-01 | LA-Sepulveda VA Hospital | 1994 | 6.69 | 8.44 | 380.06 |
| 1044 | Northridge-01 | Newhall-Fire Sta | 1994 | 6.69 | 5.92 | 269.14 |
| 1045 | Northridge-01 | Newhall-W Pico Canyon Rd | 1994 | 6.69 | 5.48 | 285.93 |
| 1052 | Northridge-01 | Pacoima Kagel Canyon | 1994 | 6.69 | 7.26 | 508.08 |
| 1054 | Northridge-01 | Pardee-SCE | 1994 | 6.69 | 7.46 | 325.67 |
| 1063 | Northridge-01 | Rinaldi Receiving Sta | 1994 | 6.69 | 6.50 | 282.25 |
| 1084 | Northridge-01 | Sylmar-Converter Sta | 1994 | 6.69 | 5.35 | 251.24 |
| 1085 | Northridge-01 | Sylmar-Converter Sta East | 1994 | 6.69 | 5.19 | 370.52 |
| 1086 | Northridge-01 | Sylmar-Olive View Med FF | 1994 | 6.69 | 5.30 | 440.54 |
| 1106 | Kobe, Japan | KJMA | 1995 | 6.90 | 0.96 | 312.00 |
| 1114 | Kobe, Japan | Port Island (0 m) | 1995 | 6.90 | 3.31 | 198.00 |
| 1119 | Kobe, Japan | Takarazuka | 1995 | 6.90 | 0.27 | 312.00 |
| 1120 | Kobe, Japan | Takatori | 1995 | 6.90 | 1.47 | 256.00 |
| 1148 | Kocaeli, Turkey | Arcelik | 1999 | 7.51 | 13.49 | 523.00 |
| 1176 | Kocaeli, Turkey | Yarimca | 1999 | 7.51 | 4.83 | 297.00 |
| 1244 | Chi-Chi, Taiwan | CHY101 | 1999 | 7.62 | 9.94 | 258.89 |
| 1402 | Chi-Chi, Taiwan | NST | 1999 | 7.62 | 38.42 | 491.08 |
| 1492 | Chi-Chi, Taiwan | TCU052 | 1999 | 7.62 | 0.66 | 579.10 |
| 1510 | Chi-Chi, Taiwan | TCU075 | 1999 | 7.62 | 0.89 | 573.02 |
| 1528 | Chi-Chi, Taiwan | TCU101 | 1999 | 7.62 | 2.11 | 389.41 |
| 1602 | Duzce, Turkey | Bolu | 1999 | 7.14 | 12.04 | 293.57 |
| 1605 | Duzce, Turkey | Duzce | 1999 | 7.14 | 6.58 | 281.86 |
| 1752 | Northwest China-03 | Jiashi | 1997 | 6.10 | 17.73 | 240.09 |
| 2495 | Chi-Chi, Taiwan-03 | CHY080 | 1999 | 6.20 | 22.37 | 496.21 |
| 3473 | Chi-Chi, Taiwan-06 | TCU078 | 1999 | 6.30 | 11.52 | 443.04 |
| 3636 | Taiwan SMART1(40) | SMART1 I04 | 1986 | 6.32 | 59.93 | 314.88 |
| 3641 | Taiwan SMART1(40) | SMART1 I11 | 1986 | 6.32 | 60.00 | 309.41 |
| 3642 | Taiwan SMART1(40) | SMART1 I12 | 1986 | 6.32 | 60.09 | 275.82 |
| 3643 | Taiwan SMART1(40) | SMART1 M02 | 1986 | 6.32 | 60.89 | 306.78 |
| 3644 | Taiwan SMART1(40) | SMART1 M03 | 1986 | 6.32 | 60.45 | 306.78 |
| 3645 | Taiwan SMART1(40) | SMART1 M04 | 1986 | 6.32 | 59.93 | 306.38 |
| 3646 | Taiwan SMART1(40) | SMART1 M05 | 1986 | 6.32 | 59.50 | 306.38 |
| 3647 | Taiwan SMART1(40) | SMART1 M06 | 1986 | 6.32 | 59.07 | 308.39 |
| 3649 | Taiwan SMART1(40) | SMART1 M09 | 1986 | 6.32 | 59.35 | 321.63 |
| 3650 | Taiwan SMART1(40) | SMART1 M10 | 1986 | 6.32 | 59.86 | 321.63 |
| 3652 | Taiwan SMART1(40) | SMART1 M12 | 1986 | 6.32 | 60.78 | 275.82 |
| 3656 | Taiwan SMART1(40) | SMART1 O05 | 1986 | 6.32 | 59.02 | 286.03 |
| 3660 | Taiwan SMART1(40) | SMART1 O11 | 1986 | 6.32 | 60.90 | 295.17 |
| 3744 | Cape Mendocino | Bunker Hill FAA | 1992 | 7.01 | 12.24 | 566.42 |
| 4040 | Bam, Iran | Bam | 2003 | 6.60 | 1.70 | 487.40 |
| 4098 | Parkfield-02, CA | Parkfield-Cholame 1E | 2004 | 6.00 | 3.00 | 326.64 |
| 4100 | Parkfield-02, CA | Parkfield-Cholame 2WA | 2004 | 6.00 | 3.01 | 173.02 |
| 4101 | Parkfield-02, CA | Parkfield-Cholame 3E | 2004 | 6.00 | 5.55 | 397.36 |
| 4102 | Parkfield-02, CA | Parkfield-Cholame 3W | 2004 | 6.00 | 3.63 | 230.57 |
| 4103 | Parkfield-02, CA | Parkfield-Cholame 4W | 2004 | 6.00 | 4.23 | 410.40 |
| 4107 | Parkfield-02, CA | Parkfield-Fault Zone 1 | 2004 | 6.00 | 2.51 | 178.27 |
| 4113 | Parkfield-02, CA | Parkfield-Fault Zone 9 | 2004 | 6.00 | 2.85 | 372.26 |
| 4115 | Parkfield-02, CA | Parkfield-Fault Zone 12 | 2004 | 6.00 | 2.65 | 265.21 |
| 4126 | Parkfield-02, CA | Parkfield-Stone Corral 1E | 2004 | 6.00 | 3.79 | 260.63 |
| 4458 | Montenegro, Yugo. | Ulcinj-Hotel Olimpic | 1979 | 7.10 | 5.76 | 318.74 |
| 4480 | L’Aquila, Italy | L’Aquila-V. Aterno-Centro Valle | 2009 | 6.30 | 6.27 | 475.00 |
| 4482 | L’Aquila, Italy | L’Aquila-V. Aterno -F. Aterno | 2009 | 6.30 | 6.55 | 552.00 |
| 4847 | Chuetsu-oki | Joetsu Kakizakiku Kakizaki | 2007 | 6.80 | 11.94 | 383.43 |
| 4850 | Chuetsu-oki | Yoshikawaku Joetsu City | 2007 | 6.80 | 16.86 | 561.59 |
| 4856 | Chuetsu-oki | Kashiwazaki City Center | 2007 | 6.80 | 11.09 | 294.38 |
| 4879 | Chuetsu-oki | Yan Sakuramachi City watershed | 2007 | 6.80 | 18.97 | 265.82 |
| 4896 | Chuetsu-oki | Kashiwazaki NPP, Service Hall Array 2.4 m depth | 2007 | 6.80 | 10.97 | 201.00 |
| 6911 | Darfield, New Zealand | HORC | 2010 | 7.00 | 7.29 | 326.01 |
| 6927 | Darfield, New Zealand | LINC | 2010 | 7.00 | 7.11 | 263.20 |
| 6962 | Darfield, New Zealand | ROLC | 2010 | 7.00 | 1.54 | 295.74 |
| 6969 | Darfield, New Zealand | Styx Mill Transfer Station | 2010 | 7.00 | 20.86 | 247.50 |
| 6975 | Darfield, New Zealand | TPLC | 2010 | 7.00 | 6.11 | 249.28 |
| 8064 | Christchurch, New Zealand | Christchurch Cathedral College | 2011 | 6.20 | 3.26 | 198.00 |
| 8066 | Christchurch, New Zealand | Christchurch Hospital | 2011 | 6.20 | 4.85 | 194.00 |
| 8067 | Christchurch, New Zealand | Christchurch Cashmere High School | 2011 | 6.20 | 4.46 | 204.00 |
| 8090 | Christchurch, New Zealand | Hulverstone Drive Pumping Station | 2011 | 6.20 | 4.35 | 206.00 |
| 8119 | Christchurch, New Zealand | Pages Road Pumping Station | 2011 | 6.20 | 1.98 | 206.00 |
| 8123 | Christchurch, New Zealand | Christchurch Resthaven | 2011 | 6.20 | 5.13 | 141.00 |
| 8130 | Christchurch, New Zealand | Shirley Library | 2011 | 6.20 | 5.60 | 207.00 |
References
- Barfuss, S.L. Water Main Break Rates in the USA and Canada: A Comprehensive Study; Utah State University: Logan, UT, USA, 2023. [Google Scholar] [CrossRef]
- Tien, C.M.T.; Manalo, A.; Dixon, P.; Tafsirojjaman, T.; Karunasena, W.; Flood, W.W.; Ahmadi, H.; Kiriella, S.; Salah, A.; Wham, B.P. Effects of the legacy pipe ends on the behaviour of pipe-in-pipe repair systems under internal pressure. Eng. Fail. Anal. 2023, 144, 106957. [Google Scholar] [CrossRef]
- O’Rourke, M.J.; Liu, X. Seismic Design of Buried and Offshore Pipelines; Multidisciplinary Center for Earthquake Engineering Research: Buffalo, NY, USA, 2012. [Google Scholar]
- Nair, G.; Dash, S.; Mondal, G. Review of pipeline performance during earthquakes since 1906. J. Perform. Constr. Fac. 2018, 32, 1–18. [Google Scholar] [CrossRef]
- Zhao, N.; Li, D.; Gu, S.-X.; Du, W. Analytical fragility relation for buried cast iron pipelines with lead-caulked joints based on machine learning algorithms. Earthq. Spectra 2023, 40, 566–583. [Google Scholar] [CrossRef]
- Isoyama, R.; Katayama, T. Reliability Evaluation of Water Supply System During Earthquakes; Institute of Industrial Science, University of Tokyo: Tokyo, Japan, 1982; Available online: https://katalog.slub-dresden.de/en/id/0-1349465925 (accessed on 15 March 2025).
- Jeon, S.-S. Northridge earthquake effects on pipelines and residential buildings. Bull. Seismol. Soc. Am. 2005, 95, 294–318. [Google Scholar] [CrossRef]
- O’rourke, M.J.; Filipov, E.T.; Uçkan, E. Towards robust fragility relations for buried segmented pipe in ground strain areas. Earthq. Spectra 2015, 31, 1839–1858. [Google Scholar] [CrossRef]
- O’Rourke, T.; Jeon, S.-S.; Toprak, S.; Cubrinovski, M.; Hughes, M.; van Ballegooy, S.; Bouziou, D. Earthquake response of underground pipeline networks in christchurch, NZ. Earthq. Spectra 2014, 30, 183–204. [Google Scholar] [CrossRef]
- Lemnitzer, A.; Arduino, P.; Dafni, J.; Franke, K.W.; Martinez, A.; Mayoral, J.; El Mohtar, C.; Pehlivan, M.; Yashinsky, M. The September 19, 2017 MW 7.1 CENTRAL-Mexico earthquake: Immediate observations on selected infrastructure systems. Soil Dyn. Earthq. Eng. 2021, 141, 106430. [Google Scholar] [CrossRef]
- Shahi, S.; Baker, J. An efficient algorithm to identify strong-velocity pulses in multicomponent ground motions. Bull. Seismol. Soc. Am. 2014, 104, 2456–2466. [Google Scholar] [CrossRef]
- Kiani, A.; Torabi, M.; Mirhosseini, S.M. Intensity measures for the seismic response evaluation of buried steel pipelines under near-field pulse-like ground motions. Earthq. Eng. Eng. Vib. 2019, 18, 917–931. [Google Scholar] [CrossRef]
- Tsinidis, G.; Di Sarno, L.; Sextos, A.; Furtner, P. A critical review on the vulnerability assessment of natural gas pipelines subjected to seismic wave propagation. Part 1: Fragility relations and implemented seismic intensity measures. Tunn. Undergr. Space Technol. 2019, 86, 279–296. [Google Scholar] [CrossRef]
- Luco, N.; Cornell, C.A. Structure-specific scalar intensity measures for near-source and ordinary earthquake ground motions. Earthq. Spectra 2007, 23, 357–392. [Google Scholar] [CrossRef]
- Padgett, J.; Nielson, B. Selection of optimal intensity measures in probabilistic seismic demand models of highway bridge portfolios. Earthq. Eng. Struct. Dyn. 2008, 37, 711–725. [Google Scholar] [CrossRef]
- Bradley, B.A.; Cubrinovski, M.; Dhakal, R.P.; MacRae, G.A. Intensity measures for the seismic response of pile foundations. Soil Dyn. Earthq. Eng. 2009, 29, 1046–1058. [Google Scholar] [CrossRef]
- Pinzón, L.A.; Hidalgo-Leiva, D.A.; Alva, R.E.; Mánica, M.A.; Pujades, L.G. Correlation between seismic intensity measures and engineering demand parameters of reinforced concrete frame buildings through nonlinear time history analysis. Structures 2023, 57, 105276. [Google Scholar] [CrossRef]
- Dehghanpoor, A.; Thambiratnam, D.; Zhang, W.; Chan, T.; Taciroglu, E. An extended probabilistic demand model with optimal intensity measures for seismic performance characterization of isolated bridges under coupled horizontal and vertical motions. Bull. Earthq. Eng. 2021, 19, 2291–2323. [Google Scholar] [CrossRef]
- Regina, G.; Zimmaro, P.; Ziotopoulou, K.; Cairo, R. Evaluation of the optimal ground motion intensity measure in the prediction of the seismic vulnerability of earth dams. Earthq. Spectra 2023, 39, 2352–2378. [Google Scholar] [CrossRef]
- Tsinidis, G.; Di Sarno, L.; Sextos, A.; Furtner, P. Optimal intensity measures for the structural assessment of buried steel natural gas pipelines due to seismically-induced axial compression at geotechnical discontinuities. Soil Dyn. Earthq. Eng. 2020, 131, 106030. [Google Scholar] [CrossRef]
- Wu, Q.; Li, D.-Q.; Du, W. Identification of optimal ground-motion intensity measures for assessing liquefaction triggering and lateral displacement of liquefiable sloping grounds. Earthq. Spectra 2022, 38, 2707–2730. [Google Scholar] [CrossRef]
- Du, W.; Wang, G. Ground motion selection for seismic slope displacement analysis using a generalized intensity measure distribution method. Earthq. Eng. Struct. Dyn. 2018, 47, 1352–1359. [Google Scholar] [CrossRef]
- Wang, M.-X.; Wu, Q.; Li, D.-Q.; Du, W. Numerical-based seismic displacement hazard analysis for earth slopes considering spatially variable soils. Soil Dyn. Earthq. Eng. 2023, 171, 107967. [Google Scholar] [CrossRef]
- Li, J.; Zhong, Z.; Bi, K.; Hao, H. Selection of optimal intensity measures for seismic performance evaluation of underground utility tunnel and internal pipeline system. Tunn. Undergr. Space Technol. 2024, 148, 105780. [Google Scholar] [CrossRef]
- American Lifelines Alliance. Seismic Fragility Formulations for Water Systems. Part 1: Guideline; ASCE-FEMA: Reston, VA, USA, 2001. [Google Scholar]
- Wijaya, H.; Rajeev, P.; Gad, E. Effect of seismic and soil parameter uncertainties on seismic damage of buried segmented pipeline. Transp. Geotech. 2019, 21, 100274. [Google Scholar] [CrossRef]
- Xu, R.; Jiang, R.; Qu, T.J. Review of dynamic response of buried pipelines. J. Pipeline Syst. Eng. 2021, 12, 03120003. [Google Scholar] [CrossRef]
- Bommer, J.J.; MartÍNez-Pereira, A. The effective duration of earthquake strong motion. J. Earthq. Eng. 1999, 3, 127–172. [Google Scholar] [CrossRef]
- Reed, J.W.; Kassawara, R.P. A criterion for determining exceedance of the operating basis earthquake. Nucl. Eng. Des. 1990, 123, 387–396. [Google Scholar] [CrossRef]
- Arias, A. A measure of earthquake intensity. In Seismic Design for Nuclear Power Plants, 1st ed.; Hansen, R.J., Ed.; MIT Press: Cambridge, MA, USA, 1970; pp. 438–483. [Google Scholar]
- Kramer, S.L. Geotechnical Earthquake Engineering, 1st ed.; Prentice Hall: Upper Saddle River, NJ, USA, 1996. [Google Scholar]
- Rathje, E.M.; Abrahamson, N.A.; Bray, J.D. Simplified frequency content estimates of earthquake ground motions. J. Geotech. Geoenviron. 1998, 124, 150–159. [Google Scholar] [CrossRef]
- Paolucci, R.; Smerzini, C. Earthquake-induced transient ground strains from dense seismic networks. Earthq. Spectra 2008, 24, 453–470. [Google Scholar] [CrossRef]
- O’Rourke, M.; Vargas-Londono, T. Analytical model for segmented pipe response to tensile ground strain. Earthq. Spectra 2016, 32, 2533–2548. [Google Scholar] [CrossRef]
- Dashti, S.; Karimi, Z. Ground motion intensity measures to evaluate I: The liquefaction hazard in the vicinity of shallow-founded structures. Earthq. Spectra 2017, 33, 241–276. [Google Scholar] [CrossRef]
- Bayat, M.; Daneshjoo, F.; Nisticò, N. A novel proficient and sufficient intensity measure for probabilistic analysis of skewed highway bridges. Struct. Eng. Mech. 2015, 55, 1177–1202. [Google Scholar] [CrossRef]
- Qian, J.; Dong, Y. Multi-criteria decision making for seismic intensity measure selection considering uncertainty. Earthq. Eng. Struct. D 2020, 49, 1095–1114. [Google Scholar] [CrossRef]
- Mavroeidis, G. A mathematical representation of near-fault ground motions. Bull. Seismol. Soc. Am. 2003, 93, 1099–1131. [Google Scholar] [CrossRef]
- Baker, J. Quantitative classification of near-fault ground motions using wavelet analysis. Bull. Seismol. Soc. Am. 2007, 97, 1486–1501. [Google Scholar] [CrossRef]
- Shahi, S.K. A Probabilistic Framework to Include the Effects of Near-Fault Directivity in Seismic Hazard Assessment; Stanford University: Stanford, CA, USA, 2013; Available online: https://purl.stanford.edu/hb804nv7861 (accessed on 15 March 2025).
- Ancheta, T.; Darragh, R.; Stewart, J.; Seyhan, E.; Silva, W.; Chiou, B.; Wooddell, K.; Graves, R.; Kottke, A.; Boore, D.; et al. NGA-West2 database. Earthq. Spectra 2014, 30, 989–1005. [Google Scholar] [CrossRef]
- Selmy, Y.M.; El-Salakawy, E.F. Nonlinear finite-element analysis of circular GFRP-RC columns subjected to reversed cyclic loading including torsion. Structures 2025, 71, 107819. [Google Scholar] [CrossRef]
- Shargh, G.B.; Barati, R. Probabilistic assessment of ground motion rotation impact on seismic performance of structures. Eng. Struct. 2023, 292, 116383. [Google Scholar] [CrossRef]
- Dolati, S.S.K.; Matamoros, A.; Ghannoum, W. Recommendations for nonlinear finite element analyses of reinforced concrete columns under seismic loading up to collapse. In ACI Symposium Paper 358; American Concrete Institute: Farmington Hills, MI, USA, 2023; pp. 230–250. [Google Scholar] [CrossRef]
- Buyukozturk, O. Nonlinear analysis of reinforced concrete structures. Comput. Struct. 1977, 7, 149–156. [Google Scholar] [CrossRef]
- Wang, Y.; O’Rourke, T.D. Seismic Performance Evaluation of Water Supply Systems; Multidisciplinary Center for Earthquake Engineering Research: Buffalo, NY, USA, 2008. [Google Scholar]
- Bouziou, D. Earthquake-Induced Ground Deformation Effects on Buried Pipelines; Cornell University: Ithaca, NY, USA, 2015. Available online: https://hdl.handle.net/1813/39318 (accessed on 15 March 2025).
- Wham, B.; Argyrou, C.; O’Rourke, T. Jointed pipeline response to tunneling-induced ground deformation. Can. Geotech. J. 2016, 53, 1794–1806. [Google Scholar] [CrossRef]
- El Hmadi, K.; O’Rourke, M.J. Seismic Wave Effects on Straight Jointed Buried Pipeline; Multidisciplinary Center for Earthquake Engineering Research: Buffalo, NY, USA, 1989. [Google Scholar]
- Zhong, Z.; Filiatrault, A.; Aref, A. Numerical simulation and seismic performance evaluation of buried pipelines rehabilitated with cured-in-place-pipe liner under seismic wave propagation. Earthq. Eng. Struct. Dyn. 2017, 46, 811–829. [Google Scholar] [CrossRef]
- Shi, P.; O’Rourke, T.D. Seismic Response Modeling of Water Supply Systems; Multidisciplinary Center for Earthquake Engineering Research: Buffalo, NY, USA, 2008. [Google Scholar]
- Shi, P. Seismic wave propagation effects on buried segmented pipelines. Soil Dyn. Earthq. Eng. 2015, 72, 89–98. [Google Scholar] [CrossRef]

















| IMs | Definition | Equation |
|---|---|---|
| PGA | Peak ground acceleration | |
| PGV | Peak ground velocity | |
| PGD | Peak ground displacement | |
| PGV2/PGA | / | / |
| Ia | Arias intensity | |
| CAV | Cumulative absolute velocity | |
| CAV5 | CAV excluded the portion of |a(t)| < 0.05 m/s2 | |
| ARMS | Root-mean-square of acceleration | |
| VRMS | Root-mean-square of velocity | |
| DRMS | Root-mean-square of displacement | |
| Ds5–75 | Time interval between 5% and 75% of the normalized Arias intensity | |
| Ds5–95 | Time interval between 5% and 95% of the normalized Arias intensity | |
| Tm | Mean period of a ground motion | |
| Tp | Predominant period | |
| ASI | Acceleration spectrum intensity | |
| VSI | Velocity spectrum intensity | |
| Sa (0.3 s) | Spectral acceleration at 0.3 s | / |
| Sa (0.5 s) | Spectral acceleration at 0.5 s | / |
| Sa (1.0 s) | Spectral acceleration at 1.0 s | / |
| Components | Properties | Units | Values |
|---|---|---|---|
| Seismic waves | Wave propagation velocity along axial direction, Ca | m/s | 1000; 2000; 3000 |
| Pipe–soil interaction | Soil density, ρs | kg/m3 | 1900 |
| Cohesion, c | kPa | 0 | |
| Friction angle, φ | ° | 35 | |
| Burial depth, d | m | 1 | |
| Relative soil–pipe yielding displacement, ua | mm | 3 | |
| Pipe barrel | Elastic modulus, E | GPa | 96 |
| Density, ρp | kg/m3 | 7000 | |
| Segment length, L | m | 6 | |
| Outer diameter, Dos | mm | 169 | |
| Wall thickness, e | mm | 11 | |
| Joint embedment distance, dj | mm | 90 |
| Ca (m/s) | R2 | MSE | MAE |
|---|---|---|---|
| 1000 | 0.75 | 0.52 | 0.45 |
| 2000 | 0.73 | 0.07 | 0.18 |
| 3000 | 0.90 | 0.02 | 0.10 |
| All | 0.76 | 0.20 | 0.24 |
| Ca (m/s) | ln(RR) = a + b × ln(PGV) | ln(RR) = a + b × ln(PGV) + c × ln(Ds5–75) | |||||
|---|---|---|---|---|---|---|---|
| a | b | RMSE | a | b | c | RMSE | |
| 1000 | −8.0590 | 1.7337 | 0.755 | −8.1027 | 1.6891 | 0.1884 | 0.130 |
| 2000 | −8.4333 | 1.5625 | 0.120 | −8.4748 | 1.5201 | 0.1793 | 0.036 |
| 3000 | −8.6550 | 1.4779 | 0.055 | −8.6951 | 1.4370 | 0.1730 | 0.018 |
Disclaimer/Publisher’s Note: The statements, opinions and data contained in all publications are solely those of the individual author(s) and contributor(s) and not of MDPI and/or the editor(s). MDPI and/or the editor(s) disclaim responsibility for any injury to people or property resulting from any ideas, methods, instructions or products referred to in the content. |
© 2026 by the authors. Licensee MDPI, Basel, Switzerland. This article is an open access article distributed under the terms and conditions of the Creative Commons Attribution (CC BY) license.
Share and Cite
Zhao, N.; Li, H.; Tang, B.; Fang, H.; Wu, Q.; Wang, G. Optimal Intensity Measures for the Repair Rate Estimation of Buried Cast Iron Pipelines with Lead-Caulked Joints Subjected to Pulse-like Ground Motions. Symmetry 2026, 18, 190. https://doi.org/10.3390/sym18010190
Zhao N, Li H, Tang B, Fang H, Wu Q, Wang G. Optimal Intensity Measures for the Repair Rate Estimation of Buried Cast Iron Pipelines with Lead-Caulked Joints Subjected to Pulse-like Ground Motions. Symmetry. 2026; 18(1):190. https://doi.org/10.3390/sym18010190
Chicago/Turabian StyleZhao, Ning, Heng Li, Bing Tang, Hongyuan Fang, Qiang Wu, and Gang Wang. 2026. "Optimal Intensity Measures for the Repair Rate Estimation of Buried Cast Iron Pipelines with Lead-Caulked Joints Subjected to Pulse-like Ground Motions" Symmetry 18, no. 1: 190. https://doi.org/10.3390/sym18010190
APA StyleZhao, N., Li, H., Tang, B., Fang, H., Wu, Q., & Wang, G. (2026). Optimal Intensity Measures for the Repair Rate Estimation of Buried Cast Iron Pipelines with Lead-Caulked Joints Subjected to Pulse-like Ground Motions. Symmetry, 18(1), 190. https://doi.org/10.3390/sym18010190

