Abstract
Many properties of special numbers, such as sum formulas, symmetric properties, and their relationships with each other, have been studied in the literature with the help of the Binet formula and generating function. In this paper, higher-order generalized Fibonacci hybrid numbers with q-integer components are defined through the utilization of q-integers and higher-order generalized Fibonacci numbers. Several special cases of these newly established hybrid numbers are presented. The article explores the integration of q-calculus and hybrid numbers, resulting in the derivation of a Binet-like formula, novel identities, a generating function, a recurrence relation, an exponential generating function, and sum properties of hybrid numbers with quantum integer coefficients. Furthermore, new identities for these types of hybrids are obtained using two novel special matrices. To substantiate the findings, numerical examples are provided, generated with the assistance of Maple.
Keywords:
higher-order generalized Fibonacci numbers; hybrid numbers; q-integers; Binet-like formula MSC:
11B37; 11B39; 11R52; 05A15
1. Introduction
Integer sequences possess a significance that transcends the realm of pure and applied mathematics, infiltrating diverse scientific domains such as physics and engineering. Among these sequences, the Fibonacci sequence stands out as particularly noteworthy, deriving its name from the esteemed Italian mathematician Leonardo Pisano, widely recognized as Fibonacci. This sequence demonstrates remarkable versatility, finding extensive applications across multiple disciplines, including mathematics, physics, and engineering. The symmetry properties of Fibonacci numbers are deeply intertwined with their mathematical structure and have far-reaching implications in number theory. One notable symmetry is that the ratio of consecutive Fibonacci numbers converges to the golden ratio, which is a fundamental constant in mathematics and nature. The subject matter has elicited considerable scholarly interest, prompting extensive investigation by diverse researchers [1,2]. The Fibonacci and Lucas sequences are defined by the following recurrence relations for :
and
with initial conditions , and , respectively. The Binet formulas for the Fibonacci numbers and Lucas numbers are given as follows:
and
where and are the zeros of the characteristic equation The concept of Fibonacci divisors, also referred to in the scholarly literature as higher-order Fibonacci numbers, was initially explored by Pashaev and Nalci (for further details, see [3] and also [4]). These higher-order Fibonacci numbers, or Fibonacci divisors, which are conjugate to , are defined for integer values of as follows:
Since is divisible by , the ratio of is always an integer. Thus, all higher-order Fibonacci numbers are integers and . In [5], Pashaev elucidated the essential properties of higher-order Fibonacci numbers and concurrently illustrated their application through various physical examples.
The ring of hybrid numbers is defined by
where the hybrid units , , satisfy the relations . This is introduced by Özdemir [6]. This number system is a general form of complex, hyperbolic, and dual number systems. Here, is complex unit, is dual unit, and is hyperbolic unit. These units are called hybrid units. In recent years, researchers from a variety of disciplines have studied this number system and used it in various fields of applied and computational science. For some applications of hybrid numbers, see [7,8] and references therein.
The conjugate of a hybrid number is expressed by
From the definition of hybrid numbers, the multiplication table of the hybrid units is given in the following table (Table 1):
Table 1.
Multiplication table for .
As can be seen from the table above, the multiplication of hybrid numbers is not commutative. Let and be two hybrid numbers. Some arithmetic operations related to hybrid numbers are as follows:
- if and only if, (equality).
- (addition).
- (subtraction).
- (multiplication by scalar ).
- The multiplication of hybrid numbers h and k is given by
Hybrid sequences whose components are terms of various integer sequences have been studied by many researchers. For instance, in [9], Szynal-Liana and Wloch examined the Fibonacci hybrid numbers and obtained some combinatorial properties of these numbers. In [10], Cerda-Morales introduced generalized hybrid Fibonacci numbers and obtained some of their properties. In [11], Kızılateş examined the q-Fibonacci and the q-Lucas hybrid numbers and obtained some combinatorial properties of these numbers. Kızılateş [12] also introduced and studied the Horadam hybrid polynomials called Horadam hybrinomials. In [13], with the help of the Fibonacci divisor numbers, Kızılateş and Kone introduced and examined the Fibonacci divisor hybrid numbers. By using higher-order generalized Fibonacci polynomials, Kızılateş et al. [14] studied the higher-order generalized Fibonacci hybrid polynomials called higher-order generalized Fibonacci hybrinomials and obtained some special cases and algebraic properties of the higher-order generalized Fibonacci hybrinomials. The q-integer [15] is expressed as
for and . Some properties of q-numbers are as follows:
- where
For more detailed information, interested readers should consult the remarkable monograph cited in [16]. Pashaev elucidated critical aspects of higher-order Fibonacci numbers while demonstrating their applicability in various physical contexts. For instance, in [5], through the utilization of quantum calculus, the infinite hierarchy of Golden quantum oscillators with the integer spectrum determined by Fibonacci divisors, the hierarchy of Golden coherent states, and associated Fock–Bargman representations in the space of complex analytic functions were derived.
The main aim of this paper is to extend the results obtained by Kızılateş [11] for hybrid numbers to higher-order generalized Fibonacci hybrid numbers with quantum integer components by considering a parameter According to this definition, several families of hybrid numbers can be derived, which may or may not be documented in the existing literature. The structure of this paper is as follows: The second section introduces q-integer higher-order generalized hybrid numbers, presenting a Binet-like formula for these numbers and exploring numerous algebraic properties derived from this formula. Additionally, numerical examples are provided to validate the results, utilizing Maple for demonstration. The third section examines significant properties of these numbers through the application of two previously defined special matrices. The final section and Remark include the Maple code for the product of two hybrid numbers, as obtained from the examples, and offers suggestions for future research.
2. The Higher-Order Generalized Fibonacci Hybrid Numbers with Quantum Integer Components
In this section, we will first define the higher-order generalized Fibonacci hybrid numbers with quantum integer components and provide a large number of results involving them.
Definition 1.
Let , , , and , and let , ε, and be units of . Then, we define higher-order generalized Fibonacci hybrid numbers with quantum integer components as follows:
The aforementioned definition is notably comprehensive, encompassing the variables s, , and q, and generalizing to various hybrid numbers documented in the literature. Several examples of these are enumerated below.
- For , , Equation (3) becomes the higher-order Fibonacci hybrid number [13].
- For , , and , Equation (3) becomes the Fibonacci hybrid number [9].
- For and , Equation (3) becomes the higher-order Jacobsthal hybrid number.
- For , , and , Equation (3) becomes the Jacobsthal hybrid number [17].
- For and , Equation (3) becomes the higher-order Pell hybrid number.
- For , , and Equation (3) becomes the Pell hybrid number [18].
We note that the following identity holds:
Now, we present the Binet-like formula for these types of newly established hybrid number sequences. Note that the Binet-like formula will play a key role in some of the results obtained in this section.
Theorem 1.
For a, , , and the Binet-like formula of is expressed as follows:
where and .
Proof.
From the definition of , we obtain
Thus, our claim is proved. □
Example 1.
Theorem 2.
For a, , , and , the following equation holds:
Proof.
By the aid of (4), we have
The proof is completed. □
Theorem 3.
For a, , , and , the following equation holds:
Proof.
Using (4), we obtain
The proof is completed. □
Theorem 4.
For a, , , and , the following equation holds:
Proof.
By virtue of the Equation (4), we obtain
The proof is completed. □
This section will present the generating function of the hybrid sequence under consideration. It is widely recognized that the concept of generating functions constitutes a powerful analytical tool in combinatorial mathematics.
Theorem 5.
For a, , , , and , the generating function of is given as
We can easily obtain the following conclusion if we take in (6).
Corollary 1.
For , , , and , the generating function of is expressed by
Theorem 6.
For , , , and , the exponential generating function of is given as follows:
Proof.
By virtue of the Equation (4), we have
So, the conclusion is proved. □
Theorem 7.
For , , and , satisfies the following recurrence relation:
Proof.
Making use of the Binet-like formula of the , direct computation gives
Thus, the proof is completed. □
Example 2.
From definition of the , we obtain the hybrid numbers as follows:
Setting , , , and in (7) and using the above hybrid numbers, we verify the following equation:
The Binet-like formula, Vajda-like identity, Catalan-like identity, Cassini-like identity, and d’Ocagne-like identity are recognized as having significant importance in the study of special numbers. The computation of these identities provides valuable information about the sequences under investigation. For further details, readers are directed to [1,19]. Among the most notable identities encountered in the examination of number sequences is Vajda’s identity, which has been the subject of scholarly investigation since 1901 [20]. We will now give the Vajda’s identity for .
Theorem 8.
For c, d, , , and , the Vajda’s identity for is as follows:
Proof.
Using the Binet-like formula and direct computation yields
Therefore, we obtain Formula (9). □
Example 3.
Corollary 2.
The following formulas hold:
- (i)
- (Catalan Identity):
- (ii)
- (Cassini’s Identity):
- (iii)
- (d’Ocagne Identity):
Proof.
- (i)
- (ii)
- (iii)
□
Example 4.
Example 5.
Letting in (10), we have
Example 6.
Theorem 9.
For a, b, , , and , the Honsberger Identity for is expressed by
Proof.
Applying the Binet-like formula given in (4), we obtain
The proof is completed. □
Theorem 10.
For a, b, , , and , following equation is true:
Proof.
By using the Equation (4), we obtain
The proof is completed. □
Example 7.
Theorem 11.
For a, b, , , and , the following equation is satisfied:
Proof.
By using Equation (4), we have
The proof is completed. □
Example 8.
Theorem 12.
For b, , , and , the following equation holds:
Proof.
Applying Equation (4), we obtain
The proof is completed. □
3. Some Matrix Representations for
This section undertakes an examination of various properties of higher-order generalized Fibonacci hybrid numbers with quantum integer components, utilizing the matrices defined below:
and
Lemma 1.
For , we have
Proof.
Lemma 2.
For we have
Proof.
Using Equation (7) and matrix multiplication, we have
Hence, the conclusion is proved. □
Example 10.
Lemma 3.
For , we have
Proof.
The proof will be conducted using mathematical induction on For , thanks to the recurrence relation of , we obtain
Suppose that it is true for a. Then, for , using Equation (7), we have
So, the proof is completed. □
Theorem 13.
For , the following equalities are satisfied:
Proof.
Remark 1.
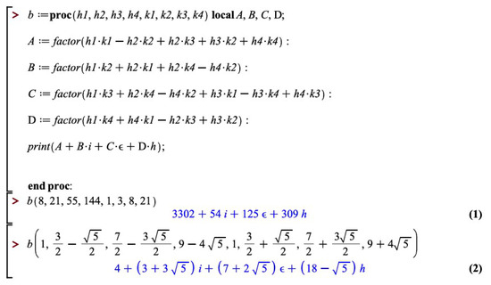
It is worth noting that it is quite challenging when we manually determine the product of two hybrid numbers, especially when dealing with large or irrational coefficients.
The below Maple code is written and presented to find the multiplication of and . Here, the desired product is obtained by typing the coefficients of h and k, respectively, in procedure b. For example, the number (1) in Figure 1 is the multiplication of and . Similarly, number(2)equals .
Figure 1.
Maple 2021 code for multiplication of hybrid numbers.
4. Conclusions
In this paper, several new identities for higher-order generalized Fibonacci hybrid numbers with q-integer components are derived through the application of specific types of matrices. This study explores an alternative generalization of Fibonacci hybrid numbers, which encompasses both existing families of Fibonacci-type hybrid numbers documented in the literature and introduces new families based on the parameters s, , and q. Our findings extend and enhance several existing results in the relevant literature [21], thereby facilitating the development of novel families of Fibonacci-type hybrid numbers and their associated proof techniques in subsequent research.
Author Contributions
Writing—original draft, C.K., E.P., N.T. and W.-S.D.; writing—review and editing, C.K., E.P., N.T. and W.-S.D. All authors have read and agreed to the published version of the manuscript.
Funding
Wei-Shih Du was partially supported by Grant No. NSTC 113-2115-M-017-004 of the National Science and Technology Council of the Republic of China.
Data Availability Statement
The original contributions presented in this study are included in the article. Further inquiries can be directed to the corresponding author.
Acknowledgments
The authors wish to express their sincere thanks to the anonymous referees for their valuable suggestions and comments.
Conflicts of Interest
The authors declare no conflicts of interest.
References
- Koshy, T. Fibonacci and Lucas Numbers with Applications; John Wiley & Sons: Hoboken, NJ, USA, 2019; Volume 2. [Google Scholar]
- Lyapin, A.P.; Akhtamova, S.S. Recurrence relations for the sections of the generating series of the solution to the multidimensional difference equation. Vestn. Udmurtsk. Univ. Mat. Mekh. 2021, 31, 414–423. [Google Scholar] [CrossRef]
- Pashaev, O.K.; Nalci, S. Golden quantum oscillator and Binet-Fibonacci calculus. J. Phys. A Math. Theor. 2012, 45, 015303. [Google Scholar] [CrossRef]
- Özvatan, M. Generalized Golden-Fibonacci Calculus and Applications. Master’s Thesis, Izmir Institute of Technology, Urla İzmir, Türkiye, 2018. [Google Scholar]
- Pashaev, O.K. Quantum calculus of Fibonacci divisors and infinite hierarchy of bosonic-fermionic golden quantum oscillators. Int. J. Geom. Methods Mod. Phys. 2021, 18, 2150075. [Google Scholar] [CrossRef]
- Özdemir, M. Introduction to Hybrid Numbers. Adv. Appl. Clifford Algebr. 2018, 28, 11. [Google Scholar] [CrossRef]
- Nunes, R.C. Erlangen’s Program for Space-Time through Space-Time Geometric Algebra Induced by the R Vector Characteristic of the Ring of Hybrid Numbers Z. arXiv 2021, arXiv:2106.11106. [Google Scholar]
- Petroianu, A. Bridging Circuits and Fields: Foundational Questions in Power Theory; CRC Press: Boca Raton, FL, USA, 2021. [Google Scholar]
- Szynal-Liana, A.; Wloch, I. The Fibonacci hybrid numbers. Util. Math. 2019, 110, 3–10. [Google Scholar]
- Cerda Moreles, G. Investigation of generalized hybrid Fibonacci numbers and their properties. Appl. Math. E-Notes 2021, 21, 110–118. [Google Scholar]
- Kızılateş, C. A new generalization of Fibonacci hybrid and Lucas hybrid numbers. Chaos Solitons Fractals 2020, 130, 109449. [Google Scholar] [CrossRef]
- Kızılateş, C. A Note on Horadam Hybrinomials. Fundam. J. Math. Appl. 2022, 5, 1–9. [Google Scholar] [CrossRef]
- Kızılateş, C.; Kone, T. On special spacelike hybrid numbers with Fibonacci divisor number components. Indian J. Pure Appl. Math. 2023, 54, 279–287. [Google Scholar] [CrossRef]
- Kızılateş, C.; Du, W.S.; Terzioğlu, N. On Higher-Order Generalized Fibonacci Hybrinomials: New Properties, Recurrence Relations and Matrix Representations. Mathematics 2024, 12, 1156. [Google Scholar] [CrossRef]
- Jackson, F.H. On q-functions and a certain difference operator. Earth Environ. Sci. Trans. R. Soc. Edinb. 1909, 46, 253–281. [Google Scholar] [CrossRef]
- Kac, V.; Cheung, P. Quantum Calculus Universitext; Springer: New York, NY, USA, 2002. [Google Scholar]
- Szynal-Liana, A.; Wloch, I. On Jacobsthal and Jacobsthal-Lucas Hybrid Numbers. Ann. Math. Silesianae 2019, 33, 276–283. [Google Scholar] [CrossRef]
- Szynal-Liana, A.; Wloch, I. On Pell and Pell-Lucas Hybrid Number. Comment. Math. 2018, 58, 11–17. [Google Scholar] [CrossRef]
- Vajda, S. Fibonacci and Lucas Numbers, and the Golden Section Theory and Applications; Ellis Horwood Series in Mathematics and Its Applications; Courier Corporation: North Chelmsford, MA, USA, 1989. [Google Scholar]
- Tagiuri, A. Di alcune successioni ricorrenti a termini interi e positivi. Period. Mat. 1901, 16, 1–12. [Google Scholar]
- Aydınyüz, S.; Gözeri, G.K. A Note on Generalized k-order F&L Hybrinomials. Axioms 2025, 14, 41. [Google Scholar] [CrossRef]
Disclaimer/Publisher’s Note: The statements, opinions and data contained in all publications are solely those of the individual author(s) and contributor(s) and not of MDPI and/or the editor(s). MDPI and/or the editor(s) disclaim responsibility for any injury to people or property resulting from any ideas, methods, instructions or products referred to in the content. |
© 2025 by the authors. Licensee MDPI, Basel, Switzerland. This article is an open access article distributed under the terms and conditions of the Creative Commons Attribution (CC BY) license (https://creativecommons.org/licenses/by/4.0/).
