Effects of Quark Core Sizes of Baryons in Neutron Star Matter
Abstract
1. Introduction
2. NJL Model and Excluded Volume Effects
2.1. Mean Field Approximation Without EVEs
2.2. EVEs for Baryons with Different Quark Core Sizes
3. Results
3.1. Model Parameters and Results for Single Baryons
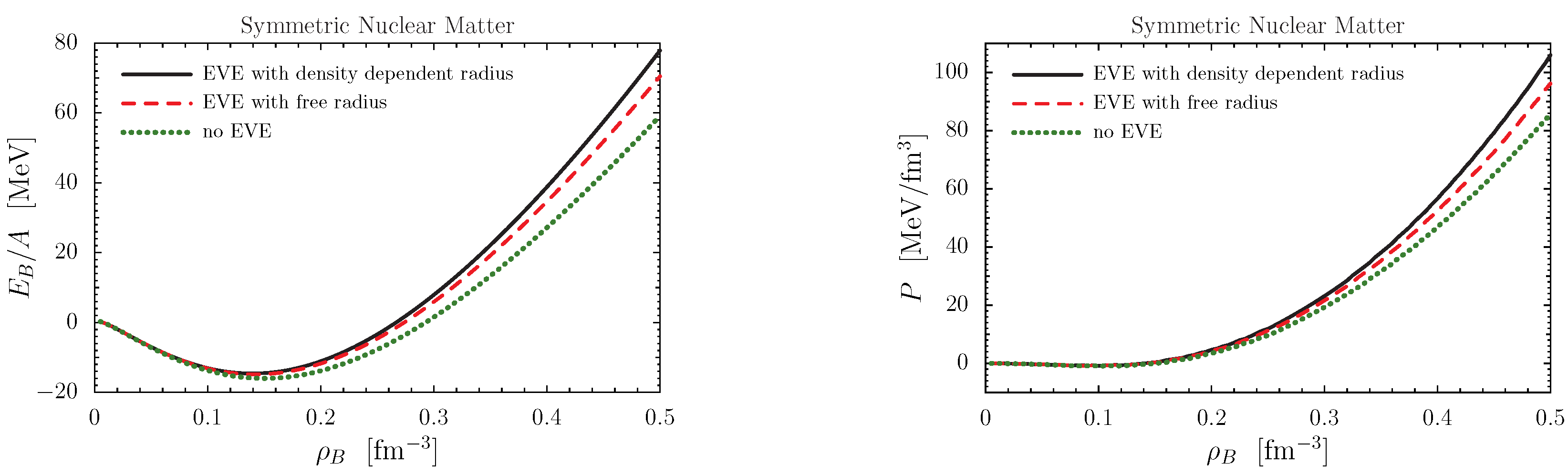
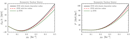
3.2. Symmetric Nuclear Matter
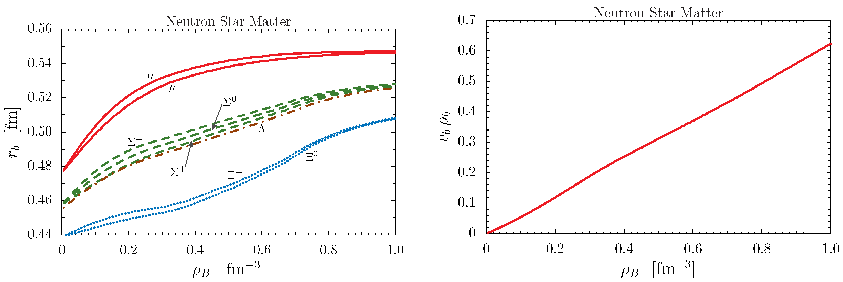
3.3. Neutron Star Matter
3.4. Neutron Stars
4. Summary
Author Contributions
Funding
Data Availability Statement
Conflicts of Interest
Appendix A. Effective Interaction Between Baryons

References
- Alford, M.G.; Rajagopal, K.; Wilczek, F. QCD at finite baryon density: Nucleon droplets and color superconductivity. Phys. Lett. 1998, 422, 247–256. [Google Scholar] [CrossRef]
- Heiselberg, H.; Hjorth-Jensen, M. Phases of dense matter in neutron stars. Phys. Rep. 2000, 328, 237–327. [Google Scholar] [CrossRef]
- Weinberg, S. Superconductivity for Particular Theorists. Prog. Theor. Phys. Suppl. 1986, 86, 43. [Google Scholar] [CrossRef]
- ’t Hooft, G. Computation of the Quantum Effects Due to a Four-Dimensional Pseudoparticle. Phys. Rev. D 1976, 14, 3432–3450, Erratum in Phys. Rev. D 1978, 18, 2199. [Google Scholar] [CrossRef]
- Gell-Mann, M. Symmetries of baryons and mesons. Phys. Rev. 1962, 125, 1067–1084. [Google Scholar] [CrossRef]
- Okubo, S. Note on unitary symmetry in strong interactions. Prog. Theor. Phys. 1962, 27, 949–966. [Google Scholar] [CrossRef]
- Pagels, H. Departures from Chiral Symmetry: A Review. Phys. Rep. 1975, 16, 219. [Google Scholar] [CrossRef]
- Demorest, P.; Pennucci, T.; Ransom, S.; Roberts, M.; Hessels, J. Shapiro Delay Measurement of A Two Solar Mass Neutron Star. Nature 2010, 467, 1081–1083. [Google Scholar] [CrossRef]
- Antoniadis, J.; Freire, P.C.; Wex, N.; Tauris, T.M.; Lynch, R.S.; Van Kerkwijk, M.H.; Kramer, M.; Bassa, C.; Dhillon, V.S.; Driebe, T.; et al. A Massive Pulsar in a Compact Relativistic Binary. Science 2013, 340, 6131. [Google Scholar] [CrossRef]
- Riley, T.E.; Watts, A.L.; Ray, P.S.; Bogdanov, S.; Guillot, S.; Morsink, S.M.; Bilous, A.V.; Arzoumanian, Z.; Choudhury, D.; Deneva, J.S. A NICER View of the Massive Pulsar PSR J0740+6620 Informed by Radio Timing and XMM-Newton Spectroscopy. Astrophys. J. Lett. 2021, 918, L27. [Google Scholar] [CrossRef]
- Fonseca, E.; Cromartie, H.T.; Pennucci, T.T.; Ray, P.S.; Kirichenko, A.Y.; Ransom, S.M.; Demorest, P.B.; Stairs, I.H.; Arzoumanian, Z.; Guillemot, L.; et al. Refined Mass and Geometric Measurements of the High-mass PSR J0740+6620. Astrophys. J. Lett. 2021, 915, L12. [Google Scholar] [CrossRef]
- Romani, R.W.; Kandel, D.; Filippenko, A.V.; Brink, T.G.; Zheng, W. PSR J0952-0607: The Fastest and Heaviest Known Galactic Neutron Star. Astrophys. J. Lett. 2022, 934, L17. [Google Scholar] [CrossRef]
- Brandes, L.; Weise, W. Constraints on Phase Transitions in Neutron Star Matter. Symmetry 2024, 16, 111. [Google Scholar] [CrossRef]
- Glendenning, N.K. Compact Stars: Nuclear Physics, Particle Physics, and General Relativity; Springer: Berlin/Heidelberg, Germany, 1997. [Google Scholar]
- Bombaci, I. The Hyperon Puzzle in Neutron Stars. JPS Conf. Proc. 2017, 17, 101002. [Google Scholar] [CrossRef]
- Burgio, G.F.; Schulze, H.J.; Vidana, I.; Wei, J.B. Neutron stars and the nuclear equation of state. Prog. Part. Nucl. Phys. 2021, 120, 103879. [Google Scholar] [CrossRef]
- Beane, S.R.; Chang, E.; Cohen, S.D.; Detmold, W.; Lin, H.W.; Luu, T.C.; Orginos, K.; Parreno, A.; Savage, M.J.; Walker-Loud, A. Hyperon-Nucleon Interactions and the Composition of Dense Nuclear Matter from Quantum Chromodynamics. Phys. Rev. Lett. 2012, 109, 172001. [Google Scholar] [CrossRef]
- Inoue, T. Strange Nuclear Physics from QCD on Lattice. AIP Conf. Proc. 2019, 2130, 020002. [Google Scholar] [CrossRef]
- Abbott, R.; Detmold, W.; Illa, M.; Parreño, A.; Perry, R.J.; Romero-López, F.; Shanahan, P.E.; Wagman, M.L. QCD Constraints on Isospin-Dense Matter and the Nuclear Equation of State. Phys. Rev. Lett. 2025, 134, 011903. [Google Scholar] [CrossRef]
- Moore, G.D.; Gorda, T. Bounding the QCD Equation of State with the Lattice. JHEP 2023, 12, 133. [Google Scholar] [CrossRef]
- Choi, S.; Hiyama, E.; Hyun, C.H.; Cheoun, M.K. ΛΛ Interaction in a Nuclear Density Functional Theory and Hyperon Puzzle of the Neutron Star. arXiv 2023, arXiv:2309.01348. [Google Scholar]
- Chorozidou, A.; Gaitanos, T. Momentum dependence of in-medium potentials: A solution to the hyperon puzzle in neutron stars. Phys. Rev. C 2024, 109, L032801. [Google Scholar] [CrossRef]
- Tamura, H. How can we solve the hyperon puzzle?—Introduction to “topical session on ΛNN three-body force”. EPJ Web Conf. 2022, 271, 06001. [Google Scholar] [CrossRef]
- Jinno, A.; Murase, K.; Nara, Y.; Ohnishi, A. Repulsive Λ potentials in dense neutron star matter and binding energy of Λ in hypernuclei. Phys. Rev. C 2023, 108, 065803. [Google Scholar] [CrossRef]
- Eslam Panah, B.; Yazdizadeh, T.; Bordbar, G.H. Contraction of cold neutron star due to in the presence a quark core. Eur. Phys. J. C 2019, 79, 815. [Google Scholar] [CrossRef]
- Annala, E.; Gorda, T.; Kurkela, A.; Nättilä, J.; Vuorinen, A. Evidence for quark-matter cores in massive neutron stars. Nat. Phys. 2020, 16, 907–910. [Google Scholar] [CrossRef]
- Ferreira, M.; Câmara Pereira, R.; Providência, C. Neutron stars with large quark cores. Phys. Rev. D 2020, 101, 123030. [Google Scholar] [CrossRef]
- Contrera, G.A.; Blaschke, D.; Carlomagno, J.P.; Grunfeld, A.G.; Liebing, S. Quark-nuclear hybrid equation of state for neutron stars under modern observational constraints. Phys. Rev. C 2022, 105, 045808. [Google Scholar] [CrossRef]
- Tanimoto, T.; Bentz, W.; Cloët, I.C. Massive Neutron Stars with a Color Superconducting Quark Matter Core. Phys. Rev. C 2020, 101, 055204. [Google Scholar] [CrossRef]
- McLerran, L.; Pisarski, R.D. Phases of cold, dense quarks at large N(c). Nucl. Phys. A 2007, 796, 83–100. [Google Scholar] [CrossRef]
- Jeong, K.S.; McLerran, L.; Sen, S. Dynamically generated momentum space shell structure of quarkyonic matter via an excluded volume model. Phys. Rev. C 2020, 101, 035201. [Google Scholar] [CrossRef]
- Baym, G.; Hatsuda, T.; Kojo, T.; Powell, P.D.; Song, Y.; Takatsuka, T. From hadrons to quarks in neutron stars: A review. Rept. Prog. Phys. 2018, 81, 056902. [Google Scholar] [CrossRef] [PubMed]
- Fukushima, K.; Kojo, T.; Weise, W. Hard-core deconfinement and soft-surface delocalization from nuclear to quark matter. Phys. Rev. D 2020, 102, 096017. [Google Scholar] [CrossRef]
- Fujimoto, Y.; Kojo, T.; McLerran, L. Quarkyonic matter pieces together the hyperon puzzle. arXiv 2024, arXiv:2410.22758. [Google Scholar]
- Kojo, T. Stiffening of matter in quark-hadron continuity: A mini-review. arXiv 2024, arXiv:2412.20442. [Google Scholar]
- Xia, C.J. Extended NJL model for baryonic matter and quark matter. Phys. Rev. D 2024, 110, 014022. [Google Scholar] [CrossRef]
- Oka, M. Spin-Flavor SU(6) Symmetry for Baryon-Baryon Interactions. arXiv 2023, arXiv:2301.06026. [Google Scholar]
- Nanamura, T.; Miwa, K.; Ahn, J.K.; Akazawa, Y.; Aramaki, T.; Ashikaga, S.; Callier, S.; Chiga, N.; Choi, S.W.; Ekawa, H.; et al. Measurement of differential cross sections for Σ + p elastic scattering in the momentum range 0.44–0.80 GeV/c. PTEP 2022, 2022, 093D01. [Google Scholar] [CrossRef]
- Rischke, D.H.; Gorenstein, M.I.; Stoecker, H.; Greiner, W. Excluded volume effect for the nuclear matter equation of state. Z. Phys. C 1991, 51, 485–490. [Google Scholar] [CrossRef]
- Yen, G.D.; Gorenstein, M.I.; Greiner, W.; Yang, S.N. Excluded volume hadron gas model for particle number ratios in A+A collisions. Phys. Rev. C 1997, 56, 2210–2218. [Google Scholar] [CrossRef]
- Leong, J.; Thomas, A.W.; Guichon, P.A.M. Excluded volume effects on cold neutron star phenomenology. Nucl. Phys. A 2024, 1050, 122928. [Google Scholar] [CrossRef]
- Guichon, P.A.M. A Possible Quark Mechanism for the Saturation of Nuclear Matter. Phys. Lett. B 1988, 200, 235–240. [Google Scholar] [CrossRef]
- Saito, K.; Tsushima, K.; Thomas, A.W. Nucleon and hadron structure changes in the nuclear medium and impact on observables. Prog. Part. Nucl. Phys. 2007, 58, 1–167. [Google Scholar] [CrossRef]
- Nambu, Y.; Jona-Lasinio, G. Dynamical Model of Elementary Particles Based on an Analogy with Superconductivity. 1. Phys. Rev. 1961, 122, 345–358. [Google Scholar] [CrossRef]
- Nambu, Y.; Jona-Lasinio, G. Dynamical model of elementary particles based on an analogy with superconductivity. II. Phys. Rev. 1961, 124, 246–254. [Google Scholar] [CrossRef]
- Vogl, U.; Weise, W. The Nambu and Jona Lasinio model: Its implications for hadrons and nuclei. Prog. Part. Nucl. Phys. 1991, 27, 195–272. [Google Scholar] [CrossRef]
- Hatsuda, T.; Kunihiro, T. QCD phenomenology based on a chiral effective Lagrangian. Phys. Rep. 1994, 247, 221–367. [Google Scholar] [CrossRef]
- Ishii, N.; Bentz, W.; Yazaki, K. Baryons in the NJL model as solutions of the relativistic Faddeev equation. Nucl. Phys. A 1995, 587, 617–656. [Google Scholar] [CrossRef]
- Ishii, N. Goldberger-Treiman relation and g pi N N from the three quark BS/Faddeev approach in the NJL model. Nucl. Phys. A 2001, 689, 793–845. [Google Scholar] [CrossRef]
- Bentz, W.; Thomas, A.W. The Stability of nuclear matter in the Nambu-Jona-Lasinio model. Nucl. Phys. 2001, A696, 138–172. [Google Scholar] [CrossRef]
- Cloet, I.C.; Bentz, W.; Thomas, A.W. EMC and polarized EMC effects in nuclei. Phys. Lett. B 2006, 642, 210–217. [Google Scholar] [CrossRef]
- Cloët, I.C.; Bentz, W.; Thomas, A.W. Parity-violating DIS and the flavour dependence of the EMC effect. Phys. Rev. Lett. 2012, 109, 182301. [Google Scholar] [CrossRef] [PubMed]
- Cloët, I.C.; Bentz, W.; Thomas, A.W. Relativistic and Nuclear Medium Effects on the Coulomb Sum Rule. Phys. Rev. Lett. 2016, 116, 032701. [Google Scholar] [CrossRef] [PubMed]
- Birse, M.C. Low-energy theorem for a composite particle in mean scalar and vector fields. Phys. Rev. C 1995, 51, R1083–R1085. [Google Scholar] [CrossRef] [PubMed]
- Wallace, S.J.; Gross, F.; Tjon, J.A. Low-energy theorem for scalar and vector interactions of a composite spin 1/2 system. Phys. Rev. Lett. 1995, 74, 228–230. [Google Scholar] [CrossRef]
- Guichon, P.A.M.; Thomas, A.W.; Tsushima, K. Binding of hypernuclei in the latest quark-meson coupling model. Nucl. Phys. A 2008, 814, 66–73. [Google Scholar] [CrossRef][Green Version]
- Noro, K.; Bentz, W.; Cloët, I.C.; Kitabayashi, T. Composite octet baryons in a relativistic mean field description of nuclear and neutron star matter. Phys. Rev. C 2024, 109, 025205. [Google Scholar] [CrossRef]
- Panda, P.K.; Bracco, M.E.; Chiapparini, M.; Conte, E.; Krein, G. Excluded volume effects in the quark meson coupling model. Phys. Rev. C 2002, 65, 065206. [Google Scholar] [CrossRef]
- Carrillo-Serrano, M.E.; Bentz, W.; Cloët, I.C.; Thomas, A.W. Baryon Octet Electromagnetic Form Factors in a confining NJL model. Phys. Lett. 2016, B759, 178–183. [Google Scholar] [CrossRef]
- Baldo, M.; Burgio, G.F.; Schulze, H.J. Hyperon stars in the Brueckner-Bethe-Goldstone theory. Phys. Rev. C 2000, 61, 055801. [Google Scholar] [CrossRef]
- Lu, D.H.; Thomas, A.W.; Tsushima, K.; Williams, A.G.; Saito, K. In-medium electron-nucleon scattering. Phys. Lett. B 1998, 417, 217–223. [Google Scholar] [CrossRef]
- Negele, J.; Orland, H. Quantum Many-particle Systems; Westview Press: Boulder, CO, USA, 1998. [Google Scholar]
- Shankar, R. Renormalization group approach to interacting fermions. Rev. Mod. Phys. 1994, 66, 129–192. [Google Scholar] [CrossRef]
- Osipov, A.A.; Hiller, B.; Blin, A.H.; da Providencia, J. Effects of eight-quark interactions on the hadronic vacuum and mass spectra of light mesons. Ann. Phys. 2007, 322, 2021–2054. [Google Scholar] [CrossRef]
- Schwinger, J.S. On gauge invariance and vacuum polarization. Phys. Rev. 1951, 82, 664–679. [Google Scholar] [CrossRef]
- Hellstern, G.; Alkofer, R.; Reinhardt, H. Diquark confinement in an extended NJL model. Nucl. Phys. 1997, A625, 697–712. [Google Scholar] [CrossRef]
- Kneur, J.L.; Neveu, A. from Renormalization Group Optimized Perturbation. Phys. Rev. D 2012, 85, 014005. [Google Scholar] [CrossRef]
- Horowitz, C.J.; Piekarewicz, J.; Reed, B. Insights into nuclear saturation density from parity violating electron scattering. Phys. Rev. C 2020, 102, 044321. [Google Scholar] [CrossRef]
- Wang, N.; Liu, M.; Wu, X.; Meng, J. Surface diffuseness correction in global mass formula. Phys. Lett. B 2014, 734, 215–219. [Google Scholar] [CrossRef]
- Navas, S.; Amsler, C.; Gutsche, T.; Hanhart, C.; Hernández-Rey, J.; Lourenço, C.; Masoni, A.; Mikhasenko, M.; Mitchell, R.; Patrignani, C.; et al. Review of particle physics. Phys. Rev. D 2024, 110, 030001. [Google Scholar] [CrossRef]
- Carrillo-Serrano, M.E.; Cloët, I.C.; Thomas, A.W. SU(3)-flavor breaking in octet baryon masses and axial couplings. Phys. Rev. C 2014, 90, 064316. [Google Scholar] [CrossRef]
- Yang, M.; Wang, P. Electromagnetic form factors of octet baryons with the nonlocal chiral effective theory. Phys. Rev. D 2020, 102, 056024. [Google Scholar] [CrossRef]
- Ulrych, S.; Muther, H. Relativistic structure of the nucleon selfenergy in asymmetric nuclei. Phys. Rev. C 1997, 56, 1788–1794. [Google Scholar] [CrossRef]
- Tolman, R.C. Static solutions of Einstein’s field equations for spheres of fluid. Phys. Rev. 1939, 55, 364–373. [Google Scholar] [CrossRef]
- Oppenheimer, J.R.; Volkoff, G.M. On Massive neutron cores. Phys. Rev. 1939, 55, 374–381. [Google Scholar] [CrossRef]
- Rather, I.A.; Usmani, A.A.; Patra, S.K. Effect of Inner Crust EoS on Neutron star properties. Nucl. Phys. A 2021, 1010, 122189. [Google Scholar] [CrossRef]
- Lastowiecki, R.; Blaschke, D.; Grigorian, H.; Typel, S. Strangeness in the cores of neutron stars. Acta Phys. Polon. Supp. 2012, 5, 535–540. [Google Scholar] [CrossRef]







| m | |||||||
| 0.240 | 0.645 | 19.04 | 6.03 | 0.40 | 0.562 | 0.016 | 0.273 |
| calc. | 0.940 | 1.12 | 1.17 | 1.32 |
| obs. | 0.939 | 1.12 | 1.19 ± 0.02 | 1.32 ± 0.14 |
| b | ||||
|---|---|---|---|---|
| N | ||||
Disclaimer/Publisher’s Note: The statements, opinions and data contained in all publications are solely those of the individual author(s) and contributor(s) and not of MDPI and/or the editor(s). MDPI and/or the editor(s) disclaim responsibility for any injury to people or property resulting from any ideas, methods, instructions or products referred to in the content. |
© 2025 by the authors. Licensee MDPI, Basel, Switzerland. This article is an open access article distributed under the terms and conditions of the Creative Commons Attribution (CC BY) license (https://creativecommons.org/licenses/by/4.0/).
Share and Cite
Bentz, W.; Cloët, I.C. Effects of Quark Core Sizes of Baryons in Neutron Star Matter. Symmetry 2025, 17, 505. https://doi.org/10.3390/sym17040505
Bentz W, Cloët IC. Effects of Quark Core Sizes of Baryons in Neutron Star Matter. Symmetry. 2025; 17(4):505. https://doi.org/10.3390/sym17040505
Chicago/Turabian StyleBentz, Wolfgang, and Ian C. Cloët. 2025. "Effects of Quark Core Sizes of Baryons in Neutron Star Matter" Symmetry 17, no. 4: 505. https://doi.org/10.3390/sym17040505
APA StyleBentz, W., & Cloët, I. C. (2025). Effects of Quark Core Sizes of Baryons in Neutron Star Matter. Symmetry, 17(4), 505. https://doi.org/10.3390/sym17040505
