Multi-Threshold Image Segmentation Based on Reinforcement Learning–Thermal Conduction–Sine Cosine Algorithm (RLTCSCA): Symmetry-Driven Optimization for Image Processing
Abstract
1. Introduction
- (1)
- Proposal of the RLTC-SCA: To address the limitations of the standard Sine Cosine Algorithm (SCA), this study integrates three complementary strategies—reinforcement learning-based action selection, heat conduction-driven global search, and quadratic interpolation-based local search—to construct the Reinforcement Learning and Thermal Conduction-enhanced Sine Cosine Algorithm (RLTC-SCA). The corresponding pseudocode is also provided.
- (2)
- Numerical validation: Based on the CEC2020 and CEC2022 benchmark suites, RLTC-SCA is compared with several advanced algorithms such as AGPSO and AGWO. Through ablation experiments, convergence behavior analysis, and statistical significance tests, the optimization performance of RLTC-SCA is comprehensively verified.
- (3)
- Application to multi-threshold image segmentation: Taking the Otsu method as the objective function, RLTC-SCA is applied to the multi-threshold segmentation of several images with threshold levels ranging from 4 to 10. Evaluation metrics including PSNR, SSIM, and FSIM are employed to demonstrate its superior segmentation capability.
2. Sine Cosine Algorithm (SCA) and the Proposed Methodology
2.1. Sine Cosine Algorithm (SCA)
2.2. Proposed Reinforcement Learning–Thermal Conduction–Sine Cosine Algorithm (RLTC-SCA)
2.2.1. Reinforcement Learning-Based Action Selection Strategy
2.2.2. Thermal Conduction-Guided Global Search Strategy
2.2.3. Quadratic Interpolation-Based Local Search Strategy
| Algorithm 1. Pseudocode of RLTC-SCA. |
| 1: Initialize the parameters (population size (N), dimension (dim), upper bound (ub), lower bound (lb), Max iterations (T)). 2: Initialize the solutions’ positions randomly. 3: while do 4: Select the action a by using the -greedy strategy by Equation (3) 5: Calculate by Equations (2) and (6). 6: for 7: if do 8: Update the position by Equations (5)–(7). 9: else if do 10: Update the position by Equations (8) and (9). 11: else do 12: Update position by Equations (1) and (2). 13: end if 14: End for 15: Update the in the by Equation (4). 16: Update the best solution found so far. 17: End while 18: Return . |
2.3. Complexity Analysis of RLTC-SCA
3. Numerical Experiments
3.1. Algorithm Parameter Settings
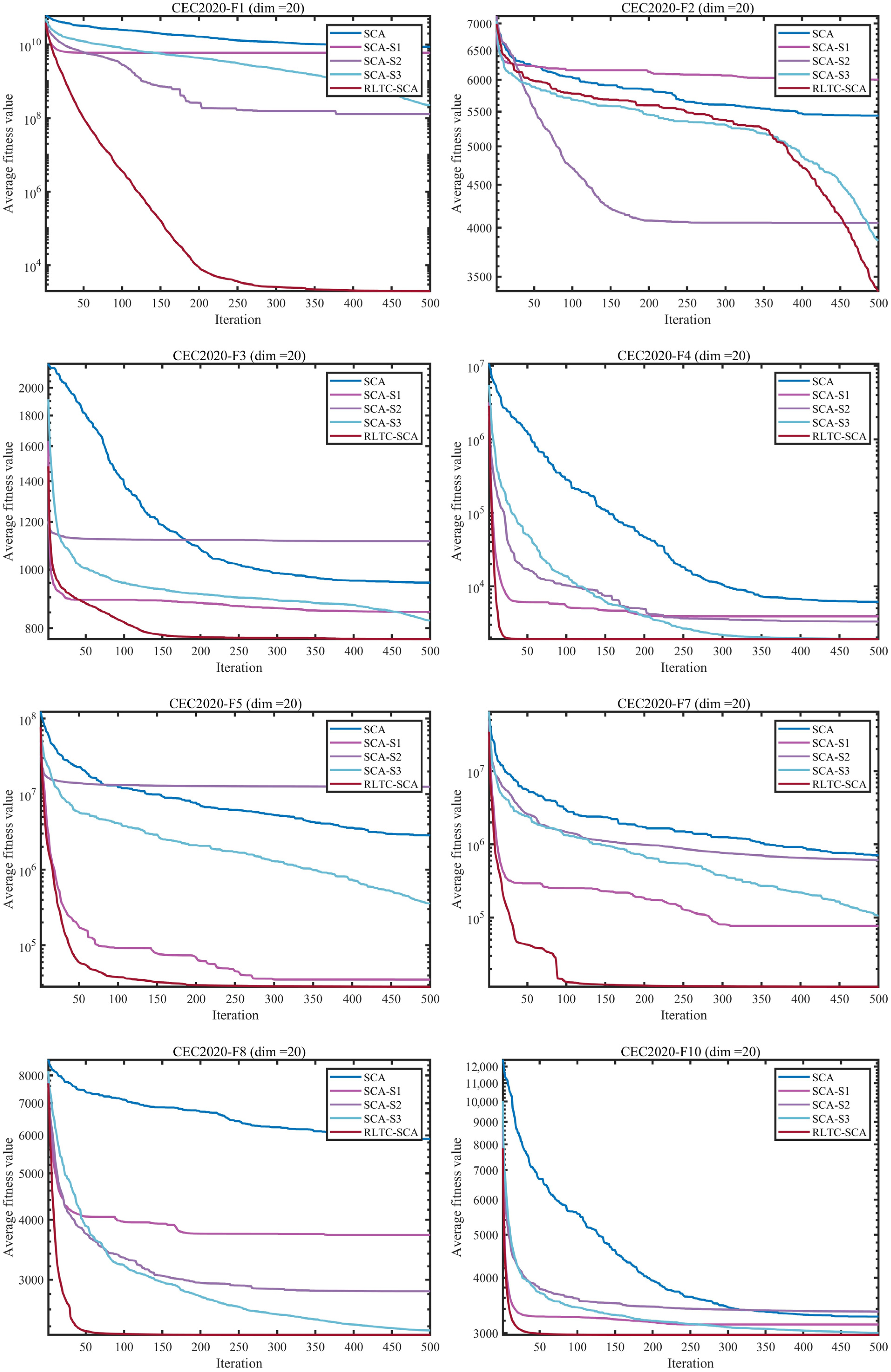
3.2. Ablation Experiment Analysis
3.3. Convergence Behavior Analysis
3.4. Experimental Results and Analysis of CEC2020 and CEC2022 Test Suite
3.5. Runtime Analysis
3.6. Stability Analysis
3.6.1. Wilcoxon Rank-Sum Test
3.6.2. Friedman Mean Rank Test
4. RLTC-SCA for Multilevel Thresholding
4.1. Evaluation Index
4.2. Analysis of Otsu Results Based on RLTC-SCA
5. Conclusions and Future Scope
Author Contributions
Funding
Data Availability Statement
Acknowledgments
Conflicts of Interest
References
- Zhang, Y.; Liu, X.; Sun, W.; You, T.; Qi, X. Multi-Threshold Remote Sensing Image Segmentation Based on Improved Black-Winged Kite Algorithm. Biomimetics 2025, 10, 331. [Google Scholar] [CrossRef]
- Xu, S.; Jiang, W.; Chen, Y.; Heidari, A.A.; Liu, L.; Chen, H.; Liang, G. REBSA: Enhanced backtracking search for multi-threshold segmentation of breast cancer images. Biomed. Signal Process. Control 2025, 106, 107733. [Google Scholar] [CrossRef]
- Al-Najdawi, N.A.; Al-Shawabkeh, A.F.; Tedmori, S.; Ikhries, I.I.; Dorgham, O. Comprehensive evaluation of optimization algorithms for medical image segmentation. Sci. Rep. 2025, 15, 37190. [Google Scholar] [CrossRef]
- Zhang, K.; He, M.; Dong, L.; Ou, C. The Application of Tsallis Entropy Based Self-Adaptive Algorithm for Multi-Threshold Image Segmentation. Entropy 2024, 26, 777. [Google Scholar] [CrossRef]
- Hu, G.; Zhao, F.; Hussien, A.G.; Zhong, J.; Houssein, E.H. Ameliorated Fick’s law algorithm based multi-threshold medical image segmentation. Artif. Intell. Rev. 2024, 57, 302. [Google Scholar] [CrossRef]
- Dong, Y.; Li, M.; Zhou, M. Multi-Threshold Image Segmentation Based on the Improved Dragonfly Algorithm. Mathematics 2024, 12, 854. [Google Scholar] [CrossRef]
- Chen, Y.; Wang, M.; Heidari, A.A.; Shi, B.; Hu, Z.; Zhang, Q.; Chen, H.; Mafarja, M.; Turabieh, H. Multi-threshold Image Segmentation using a Multi-strategy Shuffled Frog Leaping Algorithm. Expert Syst. Appl. 2022, 194, 116511. [Google Scholar] [CrossRef]
- Sun, Y.; Yang, Y. An Adaptive Bi-Mutation-Based Differential Evolution Algorithm for Multi-Threshold Image Segmentation. Appl. Sci. 2022, 12, 5759. [Google Scholar] [CrossRef]
- Rao, H.; Jia, H.; Zhang, X.; Abualigah, L. Hybrid Adaptive Crayfish Optimization with Differential Evolution for Color Multi-Threshold Image Segmentation. Biomimetics 2025, 10, 218. [Google Scholar] [CrossRef] [PubMed]
- Huang, T.; Yin, H.; Huang, X. Improved genetic algorithm for multi-threshold optimization in digital pathology image segmentation. Sci. Rep. 2024, 14, 22454. [Google Scholar] [CrossRef]
- Zheng, J.; Gao, Y.; Zhang, H.; Lei, Y.; Zhang, J. OTSU Multi-Threshold Image Segmentation Based on Improved Particle Swarm Algorithm. Appl. Sci. 2022, 12, 11514. [Google Scholar] [CrossRef]
- Ning, G. Two-dimensional Otsu multi-threshold image segmentation based on hybrid whale optimization algorithm. Multimed. Tools Appl. 2022, 82, 15007–15026. [Google Scholar] [CrossRef]
- Zhang, Y.; Wang, J.; Zhang, X.; Wang, B. ACPOA: An Adaptive Cooperative Pelican Optimization Algorithm for Global Optimization and Multilevel Thresholding Image Segmentation. Biomimetics 2025, 10, 596. [Google Scholar] [CrossRef] [PubMed]
- Lei, X.; Yu, H.; Zhong, J.; Shao, Z.; Jian, L. A data-driven robust optimal day-ahead bidding strategy considering V2G operation for distribution-system-side virtual power plant. Energy 2025, 338, 138795. [Google Scholar] [CrossRef]
- Lei, X.; Zhong, J.; Chen, Y.; Shao, Z.; Jian, L. Grid integration of electric vehicles within electricity and carbon markets: A comprehensive overview. eTransportation 2025, 25, 100435. [Google Scholar] [CrossRef]
- Lei, X.; Yu, H.; Yu, B.; Shao, Z.; Jian, L. Bridging electricity market and carbon emission market through electric vehicles: Optimal bidding strategy for distribution system operators to explore economic feasibility in China’s low-carbon transitions. Sustain. Cities Soc. 2023, 94, 104557. [Google Scholar] [CrossRef]
- Fu, Y.; Liu, D.; Chen, J.; He, L. Secretary bird optimization algorithm: A new metaheuristic for solving global optimization problems. Artif. Intell. Rev. 2024, 57, 123. [Google Scholar] [CrossRef]
- Kennedy, J.; Eberhart, R. Particle swarm optimization. In Proceedings of the ICNN’95—International Conference on Neural Networks, Perth, Australia, 27 November–1 December 1995; Volume 1944, pp. 1942–1948. [Google Scholar]
- Mirjalili, S.; Mirjalili, S.M.; Lewis, A. Grey Wolf Optimizer. Adv. Eng. Softw. 2014, 69, 46–61. [Google Scholar] [CrossRef]
- Mirjalili, S.; Lewis, A. The Whale Optimization Algorithm. Adv. Eng. Softw. 2016, 95, 51–67. [Google Scholar] [CrossRef]
- Saremi, S.; Mirjalili, S.; Lewis, A. Grasshopper Optimisation Algorithm: Theory and application. Adv. Eng. Softw. 2017, 105, 30–47. [Google Scholar] [CrossRef]
- Jia, H.; Peng, X.; Lang, C. Remora optimization algorithm. Expert Syst. Appl. 2021, 185, 115665. [Google Scholar] [CrossRef]
- Abdel-Basset, M.; Mohamed, R.; Abouhawwash, M. Crested Porcupine Optimizer: A new nature-inspired metaheuristic. Knowl.-Based Syst. 2024, 284, 111257. [Google Scholar] [CrossRef]
- Chopra, N.; Mohsin Ansari, M. Golden jackal optimization: A novel nature-inspired optimizer for engineering applications. Expert Syst. Appl. 2022. [Google Scholar] [CrossRef]
- Abualigah, L.; Diabat, A.; Mirjalili, S.; Abd Elaziz, M.; Gandomi, A.H. The Arithmetic Optimization Algorithm. Comput. Methods Appl. Mech. Eng. 2021, 376, 113609. [Google Scholar] [CrossRef]
- Guan, Z.; Ren, C.; Niu, J.; Wang, P.; Shang, Y. Great Wall Construction Algorithm: A novel meta-heuristic algorithm for engineer problems. Expert Syst. Appl. 2023, 233, 120905. [Google Scholar] [CrossRef]
- Wang, T.-L.; Gu, S.-W.; Liu, R.-J.; Chen, L.-Q.; Wang, Z.; Zeng, Z.-Q. Cuckoo catfish optimizer: A new meta-heuristic optimization algorithm. Artif. Intell. Rev. 2025, 58, 326. [Google Scholar] [CrossRef]
- Gao, Y.; Wang, J.; Li, C. Escape after love: Philoponella prominens optimizer and its application to 3D path planning. Clust. Comput. 2024, 28, 81. [Google Scholar] [CrossRef]
- Ghasemi, M.; Khodadadi, N.; Trojovský, P.; Li, L.; Mansor, Z.; Abualigah, L.; Alharbi, A.H.; El-Kenawy, E.-S.M. Kirchhoff’s law algorithm (KLA): A novel physics-inspired non-parametric metaheuristic algorithm for optimization problems. Artif. Intell. Rev. 2025, 58, 325. [Google Scholar] [CrossRef]
- Wolpert, D.H.; Macready, W.G. No free lunch theorems for optimization. IEEE Trans. Evol. Comput. 1997, 1, 67–82. [Google Scholar] [CrossRef]
- Mehmood, K.; Chaudhary, N.I.; Cheema, K.M.; Khan, Z.A.; Raja, M.A.; Milyani, A.H.; Alsulami, A. Design of Nonlinear Marine Predator Heuristics for Hammerstein Autoregressive Exogenous System Identification with Key-Term Separation. Mathematics 2023, 11, 2512. [Google Scholar] [CrossRef]
- Mehmood, K.; Chaudhary, N.I.; Khan, Z.A.; Cheema, K.M.; Raja, M.A.Z. Design of quantum computing-based avain navigation optimization algorithm for parameter estimation of input nonlinear output error model with key term separation. Mod. Phys. Lett. A 2025, 40, 2550019. [Google Scholar] [CrossRef]
- Mirjalili, S. SCA: A Sine Cosine Algorithm for solving optimization problems. Knowl.-Based Syst. 2016, 96, 120–133. [Google Scholar] [CrossRef]
- Al-Faisal, H.R.; Ahmad, I.; Salman, A.A.; Alfailakawi, M.G. Adaptation of Population Size in Sine Cosine Algorithm. IEEE Access 2021, 9, 25258–25277. [Google Scholar] [CrossRef]
- Abualigah, L.; Diabat, A. Advances in Sine Cosine Algorithm: A comprehensive survey. Artif. Intell. Rev. 2021, 54, 2567–2608. [Google Scholar] [CrossRef]
- Nadimi-Shahraki, M.H.; Taghian, S.; Javaheri, D.; Sadiq, A.S.; Khodadadi, N.; Mirjalili, S. MTV-SCA: Multi-trial vector-based sine cosine algorithm. Clust. Comput. 2024, 27, 13471–13515. [Google Scholar] [CrossRef]
- Li, C.; Liang, K.; Chen, Y.; Pan, M. An exploitation-boosted sine cosine algorithm for global optimization. Eng. Appl. Artif. Intell. 2022, 117, 105620. [Google Scholar] [CrossRef]
- Zhang, M.; Xu, H.; Phalé Zeze, A.L.; Liu, X.; Tao, M. Coating performance, durability and anti-corrosion mechanism of organic modified geopolymer composite for marine concrete protection. Cem. Concr. Compos. 2022, 129, 104495. [Google Scholar] [CrossRef]
- Gupta, S.; Deep, K. Hybrid sine cosine artificial bee colony algorithm for global optimization and image segmentation. Neural Comput. Appl. 2019, 32, 9521–9543. [Google Scholar] [CrossRef]
- Wang, W.; Li, X.; Tian, J. UAV formation path planning for mountainous forest terrain utilizing an artificial rabbit optimizer incorporating reinforcement learning and thermal conduction search strategies. Adv. Eng. Inform. 2024, 62, 102947. [Google Scholar] [CrossRef]
- Ye, J.; Xie, L.; Wang, H. A water cycle algorithm based on quadratic interpolation for high-dimensional global optimization problems. Appl. Intell. 2023, 53, 2825–2849. [Google Scholar] [CrossRef]
- Luo, W.; Lin, X.; Li, C.; Yang, S.; Shi, Y. Benchmark functions for CEC 2022 competition on seeking multiple optima in dynamic environments. arXiv 2022, arXiv:2201.00523. [Google Scholar] [CrossRef]
- Mirjalili, S.; Lewis, A.; Sadiq, A.S. Autonomous particles groups for particle swarm optimization. Arab. J. Sci. Eng. 2014, 39, 4683–4697. [Google Scholar] [CrossRef]
- Meng, X.; Jiang, J.; Wang, H. AGWO: Advanced GWO in multi-layer perception optimization. Expert Syst. Appl. 2021, 173, 114676. [Google Scholar] [CrossRef]
- Mirjalili, S.; Mirjalili, S.M.; Hatamlou, A. Multi-Verse Optimizer: A nature-inspired algorithm for global optimization. Neural Comput. Appl. 2016, 27, 495–513. [Google Scholar] [CrossRef]
- Xue, J.; Shen, B. Dung beetle optimizer: A new meta-heuristic algorithm for global optimization. J. Supercomput. 2022, 79, 7305–7336. [Google Scholar] [CrossRef]
- Ghasemi, M.; Zare, M.; Trojovský, P.; Rao, R.V.; Trojovská, E.; Kandasamy, V. Optimization based on the smart behavior of plants with its engineering applications: Ivy algorithm. Knowl.-Based Syst. 2024, 295, 111850. [Google Scholar] [CrossRef]
- Ghasemi, M.; Akbari, M.A.; Zare, M.; Mirjalili, S.; Deriche, M.; Abualigah, L.; Khodadadi, N. Birds of prey-based optimization (BPBO): A metaheuristic algorithm for optimization. Evol. Intell. 2025, 18, 88. [Google Scholar] [CrossRef]
- Cao, L.; Wei, Q. SZOA: An Improved Synergistic Zebra Optimization Algorithm for Microgrid Scheduling and Management. Biomimetics 2025, 10, 664. [Google Scholar] [CrossRef] [PubMed]
- Wang, J.; Bei, J.; Song, H.; Zhang, H.; Zhang, P. A whale optimization algorithm with combined mutation and removing similarity for global optimization and multilevel thresholding image segmentation. Appl. Soft Comput. 2023, 137, 110130. [Google Scholar] [CrossRef]
- Ryalat, M.H.; Dorgham, O.; Tedmori, S.; Al-Rahamneh, Z.; Al-Najdawi, N.; Mirjalili, S. Harris hawks optimization for COVID-19 diagnosis based on multi-threshold image segmentation. Neural Comput. Appl. 2022, 35, 6855–6873. [Google Scholar] [CrossRef]
- Suresh, S.; Lal, S. Multilevel thresholding based on Chaotic Darwinian Particle Swarm Optimization for segmentation of satellite images. Appl. Soft Comput. 2017, 55, 503–522. [Google Scholar] [CrossRef]
- Shi, J.; Chen, Y.; Wang, C.; Heidari, A.A.; Liu, L.; Chen, H.; Chen, X.; Sun, L. Multi-threshold image segmentation using new strategies enhanced whale optimization for lupus nephritis pathological images. Displays 2024, 84, 102799. [Google Scholar] [CrossRef]
- Jiang, Y.; Yeh, W.-C.; Hao, Z.; Yang, Z. A cooperative honey bee mating algorithm and its application in multi-threshold image segmentation. Inf. Sci. 2016, 369, 171–183. [Google Scholar] [CrossRef]















| Algorithms | Name of the Parameter | Value of the Parameter |
|---|---|---|
| AGPSO | , | |
| AGWO | ||
| MVO | [0.2,1], [0,1] | |
| IVYA | ||
| DBO | ||
| BPBO | 0.7 | |
| SCA | ||
| RLTC-SCA |
| Function | Metric | AGPSO | AGWO | MVO | IVYA | DBO | BPBO | SCA | RLTC-SCA |
|---|---|---|---|---|---|---|---|---|---|
| F1 | Ave | 6.7246 × 103 | 2.8835 × 107 | 1.6982 × 104 | 3.4795 × 105 | 4.1578 × 107 | 5.4856 × 103 | 4.3824 × 108 | 1.7347 × 103 |
| Std | 9.2825 × 103 | 4.8964 × 107 | 9.9950 × 103 | 1.3943 × 106 | 1.8390 × 108 | 5.2729 × 103 | 2.6319 × 108 | 2.4200 × 103 | |
| F2 | Ave | 1.6330 × 103 | 1.6554 × 103 | 1.7516 × 103 | 2.1380 × 103 | 2.1205 × 103 | 1.9395 × 103 | 2.5244 × 103 | 1.5782 × 103 |
| Std | 2.4679 × 102 | 2.9704 × 102 | 2.5298 × 102 | 2.9520 × 102 | 4.1246 × 102 | 2.9650 × 102 | 2.0744 × 102 | 2.6296 × 102 | |
| F3 | Ave | 7.2509 × 102 | 7.3139 × 102 | 7.3213 × 102 | 7.8948 × 102 | 7.4770 × 102 | 7.5927 × 102 | 7.8498 × 102 | 7.1825 × 102 |
| Std | 9.4596 × 100 | 9.5021 × 100 | 1.3237 × 101 | 2.3826 × 101 | 1.2431 × 101 | 1.8507 × 101 | 1.0520 × 101 | 3.8049 × 100 | |
| F4 | Ave | 1.9022 × 103 | 1.9121 × 103 | 1.9015 × 103 | 6.0201 × 103 | 1.9042 × 103 | 1.9056 × 103 | 1.9427 × 103 | 1.9018 × 103 |
| Std | 2.1603 × 100 | 3.4776 × 101 | 5.5009 × 10−1 | 1.7024 × 104 | 1.9774 × 100 | 2.9287 × 100 | 3.7106 × 101 | 1.2243 × 100 | |
| F5 | Ave | 8.9835 × 103 | 9.0337 × 104 | 5.9378 × 103 | 5.8826 × 105 | 3.0091 × 104 | 6.0639 × 103 | 7.8430 × 104 | 2.2256 × 103 |
| Std | 6.7773 × 103 | 1.7209 × 105 | 2.7507 × 103 | 2.2472 × 105 | 6.5543 × 104 | 4.2694 × 103 | 1.0397 × 105 | 8.1412 × 102 | |
| F6 | Ave | 1.6010 × 103 | 1.6121 × 103 | 1.6192 × 103 | 1.6193 × 103 | 1.6034 × 103 | 1.6026 × 103 | 1.6027 × 103 | 1.6067 × 103 |
| Std | 3.2491 × 10−1 | 1.9920 × 101 | 4.6497 × 101 | 2.0744 × 101 | 5.3290 × 100 | 4.2626 × 100 | 2.8452 × 100 | 8.0495 × 100 | |
| F7 | Ave | 4.4802 × 103 | 1.0975 × 104 | 7.5143 × 103 | 1.1574 × 106 | 8.5832 × 103 | 7.4326 × 103 | 1.4386 × 104 | 2.2645 × 103 |
| Std | 3.5110 × 103 | 5.9517 × 103 | 5.8701 × 103 | 2.0807 × 106 | 8.8417 × 103 | 5.9437 × 103 | 7.5201 × 103 | 1.3940 × 102 | |
| F8 | Ave | 2.3073 × 103 | 2.3626 × 103 | 2.3580 × 103 | 2.3560 × 103 | 2.3067 × 103 | 2.3089 × 103 | 2.3999 × 103 | 2.2972 × 103 |
| Std | 1.2055 × 101 | 1.9400 × 102 | 2.4851 × 102 | 2.3399 × 102 | 1.4742 × 101 | 6.4845 × 100 | 2.9883 × 101 | 1.7617 × 101 | |
| F9 | Ave | 2.7553 × 103 | 2.7481 × 103 | 2.7239 × 103 | 2.7244 × 103 | 2.7184 × 103 | 2.7564 × 103 | 2.7819 × 103 | 2.7377 × 103 |
| Std | 3.9124 × 101 | 1.2488 × 101 | 7.6360 × 101 | 7.6935 × 101 | 1.0057 × 102 | 9.8968 × 100 | 4.2228 × 101 | 4.6494 × 101 | |
| F10 | Ave | 2.9330 × 103 | 2.9405 × 103 | 2.9250 × 103 | 2.9320 × 103 | 2.9260 × 103 | 2.9236 × 103 | 2.9812 × 103 | 2.9279 × 103 |
| Std | 2.4486 × 101 | 2.3545 × 101 | 3.0683 × 101 | 2.4291 × 101 | 6.5417 × 101 | 2.4160 × 101 | 2.7854 × 101 | 2.2874 × 101 |
| Function | Metric | AGPSO | AGWO | MVO | IVYA | DBO | BPBO | SCA | RLTC-SCA |
|---|---|---|---|---|---|---|---|---|---|
| F1 | Ave | 3.4046 × 108 | 7.7538 × 108 | 3.2013 × 105 | 4.0103 × 108 | 3.0600 × 107 | 1.2687 × 106 | 8.8555 × 109 | 2.3355 × 103 |
| Std | 8.2729 × 108 | 7.5544 × 108 | 1.2750 × 105 | 6.9934 × 108 | 2.9322 × 107 | 9.3560 × 105 | 2.1100 × 109 | 2.9210 × 103 | |
| F2 | Ave | 2.7778 × 103 | 2.7108 × 103 | 3.0033 × 103 | 3.4762 × 103 | 3.5699 × 103 | 3.2787 × 103 | 5.3585 × 103 | 2.8451 × 103 |
| Std | 5.0259 × 102 | 4.0596 × 102 | 4.7061 × 102 | 5.8132 × 102 | 5.2253 × 102 | 6.9931 × 102 | 3.0664 × 102 | 7.5012 × 102 | |
| F3 | Ave | 7.7154 × 102 | 7.8231 × 102 | 7.9309 × 102 | 9.0431 × 102 | 8.2488 × 102 | 9.1724 × 102 | 9.5278 × 102 | 7.6452 × 102 |
| Std | 1.6572 × 101 | 1.6525 × 101 | 2.9757 × 101 | 4.0845 × 101 | 3.3257 × 101 | 4.1038 × 101 | 2.5256 × 101 | 1.5953 × 101 | |
| F4 | Ave | 1.9490 × 103 | 1.9407 × 103 | 1.9072 × 103 | 1.9221 × 103 | 1.9203 × 103 | 1.9229 × 103 | 5.1325 × 103 | 1.9073 × 103 |
| Std | 1.1144 × 102 | 5.5862 × 101 | 2.7610 × 100 | 1.2528 × 101 | 7.6097 × 100 | 6.8857 × 100 | 2.4059 × 103 | 4.0884 × 100 | |
| F5 | Ave | 4.5059 × 105 | 9.7957 × 105 | 2.4860 × 105 | 9.6851 × 105 | 9.5203 × 105 | 3.5976 × 105 | 2.1100 × 106 | 3.9017 × 104 |
| Std | 4.2060 × 105 | 1.0581 × 106 | 2.1130 × 105 | 3.9073 × 105 | 1.0773 × 106 | 1.9922 × 105 | 1.1440 × 106 | 3.7092 × 104 | |
| F6 | Ave | 1.8873 × 103 | 1.8873 × 103 | 1.8873 × 103 | 1.8873 × 103 | 1.8873 × 103 | 1.8873 × 103 | 1.8873 × 103 | 1.8873 × 103 |
| Std | 2.0539 × 102 | 2.0539 × 102 | 2.0539 × 102 | 2.0539 × 102 | 2.0539 × 102 | 2.0539 × 102 | 2.0539 × 102 | 2.0539 × 102 | |
| F7 | Ave | 1.5122 × 105 | 2.0399 × 105 | 1.0961 × 105 | 6.2538 × 105 | 4.1666 × 105 | 1.6222 × 105 | 6.9439 × 105 | 1.3041 × 104 |
| Std | 1.6765 × 105 | 1.9311 × 105 | 1.0395 × 105 | 8.2348 × 105 | 7.0035 × 105 | 1.2198 × 105 | 4.3488 × 105 | 2.8598 × 104 | |
| F8 | Ave | 3.2930 × 103 | 3.6490 × 103 | 3.5546 × 103 | 2.7542 × 103 | 2.6716 × 103 | 2.3103 × 103 | 5.3810 × 103 | 2.3013 × 103 |
| Std | 1.4183 × 103 | 1.2867 × 103 | 1.1803 × 103 | 1.1405 × 103 | 1.0178 × 103 | 2.9871 × 100 | 1.8107 × 103 | 9.7882 × 10−1 | |
| F9 | Ave | 2.9370 × 103 | 2.8761 × 103 | 2.8536 × 103 | 2.8782 × 103 | 2.9968 × 103 | 2.8950 × 103 | 3.0199 × 103 | 2.8917 × 103 |
| Std | 4.8972 × 101 | 3.6110 × 101 | 1.9055 × 101 | 3.6687 × 101 | 6.8978 × 101 | 3.0648 × 101 | 2.9186 × 101 | 3.1092 × 101 | |
| F10 | Ave | 2.9549 × 103 | 3.0062 × 103 | 2.9258 × 103 | 2.9994 × 103 | 3.0121 × 103 | 2.9873 × 103 | 3.3037 × 103 | 2.9572 × 103 |
| Std | 6.9269 × 101 | 4.9238 × 101 | 2.2041 × 101 | 2.0265 × 101 | 5.1426 × 101 | 2.5372 × 101 | 1.3691 × 102 | 3.3550 × 101 |
| Function | Metric | AGPSO | AGWO | MVO | IVYA | DBO | BPBO | SCA | RLTC-SCA |
|---|---|---|---|---|---|---|---|---|---|
| F1 | Ave | 3.0038 × 102 | 3.8939 × 103 | 3.0010 × 102 | 1.2733 × 104 | 1.6943 × 103 | 3.4108 × 102 | 2.2359 × 103 | 3.0000 × 102 |
| Std | 2.0533 × 100 | 2.4705 × 103 | 6.6988 × 10−2 | 6.6686 × 103 | 1.7637 × 103 | 3.7059 × 101 | 1.1636 × 103 | 2.4364 × 10−6 | |
| F2 | Ave | 4.2052 × 102 | 4.3012 × 102 | 4.0771 × 102 | 4.3576 × 102 | 4.4793 × 102 | 4.1666 × 102 | 4.8000 × 102 | 4.0124 × 102 |
| Std | 2.5976 × 101 | 2.4115 × 101 | 1.1778 × 101 | 3.4793 × 101 | 8.8355 × 101 | 2.8405 × 101 | 1.9843 × 101 | 2.7068 × 100 | |
| F3 | Ave | 6.0022 × 102 | 6.0157 × 102 | 6.0230 × 102 | 6.0315 × 102 | 6.1144 × 102 | 6.1376 × 102 | 6.2253 × 102 | 6.0191 × 102 |
| Std | 5.6904 × 10−1 | 1.8986 × 100 | 1.9614 × 100 | 6.1389 × 100 | 6.4798 × 100 | 7.7427 × 100 | 4.6681 × 100 | 2.0334 × 100 | |
| F4 | Ave | 8.1450 × 102 | 8.2052 × 102 | 8.2268 × 102 | 8.1751 × 102 | 8.3023 × 102 | 8.2259 × 102 | 8.4553 × 102 | 8.1051 × 102 |
| Std | 6.8680 × 100 | 1.2207 × 101 | 1.2092 × 101 | 7.7581 × 100 | 1.0651 × 101 | 6.0193 × 100 | 8.6501 × 100 | 3.9942 × 100 | |
| F5 | Ave | 9.0148 × 102 | 9.2167 × 102 | 9.0058 × 102 | 1.3206 × 103 | 9.7455 × 102 | 9.4691 × 102 | 1.0371 × 103 | 9.1605 × 102 |
| Std | 1.5475 × 100 | 4.2792 × 101 | 2.0137 × 100 | 1.5278 × 102 | 8.4228 × 101 | 3.4457 × 101 | 6.3018 × 101 | 2.5102 × 101 | |
| F6 | Ave | 4.5941 × 103 | 5.6752 × 103 | 4.8926 × 103 | 4.7583 × 103 | 4.7223 × 103 | 3.4370 × 103 | 3.8484 × 106 | 2.0569 × 103 |
| Std | 2.3847 × 103 | 2.4976 × 103 | 2.1854 × 103 | 3.2047 × 103 | 2.1888 × 103 | 1.4797 × 103 | 2.8331 × 106 | 4.3320 × 102 | |
| F7 | Ave | 2.0190 × 103 | 2.0315 × 103 | 2.0506 × 103 | 2.0459 × 103 | 2.0364 × 103 | 2.0454 × 103 | 2.0600 × 103 | 2.0249 × 103 |
| Std | 6.4464 × 100 | 1.0505 × 101 | 4.3336 × 101 | 2.2907 × 101 | 1.9942 × 101 | 1.5229 × 101 | 1.0270 × 101 | 9.6705 × 100 | |
| F8 | Ave | 2.2225 × 103 | 2.2302 × 103 | 2.2468 × 103 | 2.2433 × 103 | 2.2271 × 103 | 2.2273 × 103 | 2.2349 × 103 | 2.2247 × 103 |
| Std | 5.2558 × 100 | 2.1653 × 101 | 4.4617 × 101 | 4.5528 × 101 | 6.1920 × 100 | 4.4673 × 100 | 3.6667 × 100 | 2.1994 × 101 | |
| F9 | Ave | 2.5307 × 103 | 2.5803 × 103 | 2.5392 × 103 | 2.5567 × 103 | 2.5560 × 103 | 2.5295 × 103 | 2.5933 × 103 | 2.5293 × 103 |
| Std | 5.0917 × 100 | 4.5937 × 101 | 3.7259 × 101 | 1.9440 × 101 | 4.0983 × 101 | 5.4273 × 10−1 | 2.7975 × 101 | 4.3725 × 10−4 | |
| F10 | Ave | 2.5479 × 103 | 2.6004 × 103 | 2.5858 × 103 | 2.5802 × 103 | 2.5298 × 103 | 2.5372 × 103 | 2.5135 × 103 | 2.5462 × 103 |
| Std | 6.3068 × 101 | 1.4886 × 102 | 1.7994 × 102 | 6.1250 × 101 | 5.3358 × 101 | 5.6796 × 101 | 3.8542 × 101 | 5.6853 × 101 | |
| F11 | Ave | 2.8088 × 103 | 2.8190 × 103 | 2.7412 × 103 | 2.7423 × 103 | 2.7818 × 103 | 2.7299 × 103 | 2.8361 × 103 | 2.6736 × 103 |
| Std | 1.2844 × 102 | 1.7639 × 102 | 1.8203 × 102 | 1.5435 × 102 | 1.8704 × 102 | 1.7530 × 102 | 1.5197 × 102 | 1.3035 × 102 | |
| F12 | Ave | 2.8687 × 103 | 2.8697 × 103 | 2.8642 × 103 | 2.8861 × 103 | 2.8723 × 103 | 2.8659 × 103 | 2.8721 × 103 | 2.8789 × 103 |
| Std | 1.1451 × 101 | 1.0067 × 101 | 1.5962 × 100 | 2.0282 × 101 | 1.2194 × 101 | 1.4354 × 100 | 2.2714 × 100 | 1.5018 × 101 |
| Function | Metric | AGPSO | AGWO | MVO | IVYA | DBO | BPBO | SCA | RLTC-SCA |
|---|---|---|---|---|---|---|---|---|---|
| F1 | Ave | 1.3193 × 104 | 1.5359 × 104 | 3.1819 × 102 | 5.5565 × 104 | 3.2160 × 104 | 1.2796 × 104 | 2.0814 × 104 | 1.8546 × 103 |
| Std | 8.0849 × 103 | 6.2606 × 103 | 1.0531 × 101 | 1.8164 × 104 | 1.0064 × 104 | 4.9595 × 103 | 4.0514 × 103 | 2.0338 × 103 | |
| F2 | Ave | 4.6989 × 102 | 5.2258 × 102 | 4.5074 × 102 | 5.2191 × 102 | 5.2597 × 102 | 4.8085 × 102 | 7.9169 × 102 | 4.5232 × 102 |
| Std | 3.9217 × 101 | 5.4254 × 101 | 1.1565 × 101 | 4.0685 × 101 | 1.1422 × 102 | 3.0654 × 101 | 1.3826 × 102 | 1.6572 × 101 | |
| F3 | Ave | 6.0436 × 102 | 6.0749 × 102 | 6.1849 × 102 | 6.0948 × 102 | 6.3787 × 102 | 6.4456 × 102 | 6.4898 × 102 | 6.1209 × 102 |
| Std | 2.4098 × 100 | 4.8200 × 100 | 1.2487 × 101 | 1.2169 × 101 | 1.1261 × 101 | 1.2210 × 101 | 6.4875 × 100 | 5.8160 × 100 | |
| F4 | Ave | 8.5008 × 102 | 8.7255 × 102 | 8.6499 × 102 | 8.6571 × 102 | 9.1123 × 102 | 8.7510 × 102 | 9.5492 × 102 | 8.3426 × 102 |
| Std | 1.6570 × 101 | 3.2899 × 101 | 2.2959 × 101 | 1.7846 × 101 | 3.3288 × 101 | 1.8163 × 101 | 1.3030 × 101 | 9.8934 × 100 | |
| F5 | Ave | 1.1226 × 103 | 1.3036 × 103 | 2.3534 × 103 | 2.4176 × 103 | 2.1569 × 103 | 2.1593 × 103 | 2.5321 × 103 | 1.0867 × 103 |
| Std | 2.4143 × 102 | 3.0625 × 102 | 1.8574 × 103 | 1.7201 × 102 | 7.3297 × 102 | 7.1381 × 102 | 3.5484 × 102 | 1.4476 × 102 | |
| F6 | Ave | 1.0613 × 105 | 2.9295 × 106 | 1.5240 × 104 | 6.4963 × 107 | 1.5669 × 106 | 4.2533 × 103 | 1.5733 × 108 | 3.7407 × 103 |
| Std | 3.7631 × 105 | 6.9870 × 106 | 7.5976 × 103 | 2.2091 × 108 | 4.0755 × 106 | 2.6472 × 103 | 9.7990 × 107 | 2.0024 × 103 | |
| F7 | Ave | 2.0548 × 103 | 2.0831 × 103 | 2.1515 × 103 | 2.1459 × 103 | 2.1278 × 103 | 2.1354 × 103 | 2.1645 × 103 | 2.0698 × 103 |
| Std | 1.7893 × 101 | 3.8065 × 101 | 8.8998 × 101 | 7.4695 × 101 | 4.2274 × 101 | 4.1192 × 101 | 2.7193 × 101 | 3.1407 × 101 | |
| F8 | Ave | 2.2479 × 103 | 2.2604 × 103 | 2.3163 × 103 | 2.3797 × 103 | 2.3092 × 103 | 2.2678 × 103 | 2.2963 × 103 | 2.2572 × 103 |
| Std | 5.2633 × 101 | 4.8592 × 101 | 8.4003 × 101 | 1.4968 × 102 | 6.3719 × 101 | 5.1371 × 101 | 4.2288 × 101 | 5.2127 × 101 | |
| F9 | Ave | 2.4990 × 103 | 2.5200 × 103 | 2.4819 × 103 | 2.4858 × 103 | 2.5130 × 103 | 2.4859 × 103 | 2.6180 × 103 | 2.4813 × 103 |
| Std | 2.7292 × 101 | 2.1640 × 101 | 5.7777 × 10−1 | 3.9375 × 100 | 3.5723 × 101 | 5.9202 × 100 | 2.7172 × 101 | 8.8464 × 10−1 | |
| F10 | Ave | 3.1718 × 103 | 3.5984 × 103 | 3.7968 × 103 | 3.9596 × 103 | 3.3764 × 103 | 3.3942 × 103 | 3.7133 × 103 | 2.5526 × 103 |
| Std | 6.2859 × 102 | 6.9814 × 102 | 8.2481 × 102 | 1.0794 × 103 | 1.1423 × 103 | 1.0117 × 103 | 1.8356 × 103 | 8.0236 × 101 | |
| F11 | Ave | 3.4071 × 103 | 3.5013 × 103 | 2.9263 × 103 | 3.5150 × 103 | 3.1129 × 103 | 2.9848 × 103 | 5.0708 × 103 | 2.9141 × 103 |
| Std | 5.8739 × 102 | 3.9162 × 102 | 9.2377 × 101 | 1.0139 × 103 | 1.6646 × 102 | 1.2905 × 102 | 6.0850 × 102 | 7.2988 × 101 | |
| F12 | Ave | 3.0012 × 103 | 2.9908 × 103 | 2.9799 × 103 | 3.0383 × 103 | 3.0354 × 103 | 3.0145 × 103 | 3.1009 × 103 | 3.0541 × 103 |
| Std | 6.1850 × 101 | 4.1666 × 101 | 4.5166 × 101 | 8.2566 × 101 | 5.8622 × 101 | 4.6004 × 101 | 3.8518 × 101 | 4.8611 × 101 |
| Statistical Results | CEC2020 dim = 10 (+/=/−) | CEC2020 dim = 20 (+/=/−) | CEC2022 dim = 10 (+/=/−) | CEC2022 dim = 20 (+/=/−) |
|---|---|---|---|---|
| AGPSO | (7/0/3) | (4/1/5) | (11/0/1) | (6/0/6) |
| AGWO | (6/0/4) | (7/1/2) | (9/0/3) | (11/0/1) |
| MVO | (6/0/4) | (6/1/3) | (9/0/3) | (9/0/3) |
| IVYA | (8/0/2) | (7/1/2) | (10/0/2) | (12/0/0) |
| DBO | (8/0/2) | (8/1/1) | (11/0/1) | (11/0/1) |
| BPBO | (8/0/2) | (7/1/2) | (11/0/1) | (11/0/1) |
| SCA | (9/0/1) | (8/1/1) | (10/0/2) | (12/0/0) |
| Suites | CEC2020 | CEC2022 | ||||||
|---|---|---|---|---|---|---|---|---|
| Dimensions | 10 | 20 | 10 | 20 | ||||
| Algorithms | ||||||||
| GWO | 3.10 | 3 | 3.3 | 3 | 2.92 | 2 | 2.50 | 2 |
| IWOA | 5.00 | 5 | 4.1 | 4 | 5.00 | 5 | 4.58 | 4 |
| AGPSO | 2.90 | 2 | 2.8 | 2 | 3.83 | 3 | 3.67 | 3 |
| HSO | 6.10 | 7 | 5.6 | 6 | 5.17 | 7 | 5.50 | 6 |
| DBO | 5.20 | 6 | 5.8 | 7 | 5.00 | 5 | 5.83 | 7 |
| BPBO | 4.60 | 4 | 4.7 | 5 | 4.42 | 4 | 4.58 | 4 |
| GJO | 7.60 | 8 | 8 | 8 | 7.50 | 8 | 7.33 | 8 |
| MGJO | 1.50 | 1 | 1.7 | 1 | 2.17 | 1 | 2.00 | 1 |
| Images | TH = 4 | TH = 6 | TH = 8 | TH = 10 |
|---|---|---|---|---|
| brain | ![]() | ![]() | ![]() | ![]() |
![]() | ![]() | ![]() | ![]() | |
| camera | ![]() | ![]() | ![]() | ![]() |
![]() | ![]() | ![]() | ![]() | |
| girl | ![]() | ![]() | ![]() | ![]() |
![]() | ![]() | ![]() | ![]() | |
| face | ![]() | ![]() | ![]() | ![]() |
![]() | ![]() | ![]() | ![]() | |
| hunter | ![]() | ![]() | ![]() | ![]() |
![]() | ![]() | ![]() | ![]() | |
| peppers | ![]() | ![]() | ![]() | ![]() |
![]() | ![]() | ![]() | ![]() | |
| saturn | ![]() | ![]() | ![]() | ![]() |
![]() | ![]() | ![]() | ![]() | |
| terrace | ![]() | ![]() | ![]() | ![]() |
![]() | ![]() | ![]() | ![]() |
| Images | TH | Metrics | AGPSO | AGWO | MVO | IVYA | DBO | BPBO | SCA | RLTC-SCA |
|---|---|---|---|---|---|---|---|---|---|---|
| brian | 4 | Ave | 3.7306 × 103 | 3.7305 × 103 | 3.7306 × 103 | 3.7210 × 103 | 3.7306 × 103 | 3.7304 × 103 | 3.7290 × 103 | 3.7306 × 103 |
| Std | 2.3126 × 10−12 | 1.5156 × 10−1 | 2.7377 × 10−4 | 9.1163 × 100 | 2.3126 × 10−12 | 2.8471 × 10−1 | 8.2046 × 10−1 | 2.3126 × 10−12 | ||
| 6 | Ave | 3.7506 × 103 | 3.7507 × 103 | 3.7508 × 103 | 3.7462 × 103 | 3.7509 × 103 | 3.7502 × 103 | 3.7473 × 103 | 3.7508 × 103 | |
| Std | 4.7013 × 10−1 | 6.0427 × 10−1 | 5.6340 × 10−1 | 3.2759 × 100 | 1.1361 × 100 | 6.4972 × 10−1 | 1.6435 × 100 | 5.4517 × 10−1 | ||
| 8 | Ave | 3.7634 × 103 | 3.7634 × 103 | 3.7636 × 103 | 3.7547 × 103 | 3.7628 × 103 | 3.7611 × 103 | 3.7580 × 103 | 3.7638 × 103 | |
| Std | 2.9543 × 10−1 | 1.0491 × 100 | 8.5253 × 10−1 | 3.3251 × 100 | 1.6828 × 100 | 2.1279 × 100 | 1.7073 × 100 | 1.8944 × 10−1 | ||
| 10 | Ave | 3.7687 × 103 | 3.7691 × 103 | 3.7693 × 103 | 3.7611 × 103 | 3.7688 × 103 | 3.7667 × 103 | 3.7644 × 103 | 3.7694 × 103 | |
| Std | 3.3713 × 10−1 | 3.8816 × 10−1 | 1.1844 × 10−1 | 3.4907 × 100 | 1.1236 × 100 | 2.2941 × 100 | 1.2654 × 100 | 1.3312 × 10−1 | ||
| camera | 4 | Ave | 4.6003 × 103 | 4.6000 × 103 | 4.6001 × 103 | 4.5874 × 103 | 4.5996 × 103 | 4.5995 × 103 | 4.5967 × 103 | 4.6008 × 103 |
| Std | 1.0824 × 100 | 1.2769 × 100 | 1.1270 × 100 | 9.8970 × 100 | 1.2669 × 100 | 1.0985 × 100 | 1.7594 × 100 | 6.9397 × 10−1 | ||
| 6 | Ave | 4.6515 × 103 | 4.6510 × 103 | 4.6517 × 103 | 4.6312 × 103 | 4.6516 × 103 | 4.6491 × 103 | 4.6393 × 103 | 4.6517 × 103 | |
| Std | 1.6906 × 10−1 | 1.9128 × 100 | 9.4598 × 10−3 | 9.0928 × 100 | 2.6704 × 10−1 | 4.5228 × 100 | 4.2762 × 100 | 5.5119 × 10−3 | ||
| 8 | Ave | 4.6690 × 103 | 4.6693 × 103 | 4.6698 × 103 | 4.6514 × 103 | 4.6692 × 103 | 4.6688 × 103 | 4.6590 × 103 | 4.6699 × 103 | |
| Std | 8.3608 × 10−1 | 1.3994 × 100 | 8.1677 × 10−1 | 7.8726 × 100 | 9.6016 × 10−1 | 1.2255 × 100 | 3.7178 × 100 | 8.0938 × 10−1 | ||
| 10 | Ave | 4.6791 × 103 | 4.6805 × 103 | 4.6807 × 103 | 4.6611 × 103 | 4.6797 × 103 | 4.6789 × 103 | 4.6672 × 103 | 4.6808 × 103 | |
| Std | 1.3307 × 100 | 4.1330 × 10−1 | 2.7274 × 10−1 | 9.0906 × 100 | 1.5240 × 100 | 1.8926 × 100 | 3.9449 × 100 | 1.4299 × 10−1 | ||
| girl | 4 | Ave | 2.1225 × 103 | 2.1220 × 103 | 2.1225 × 103 | 2.0906 × 103 | 2.1225 × 103 | 2.1221 × 103 | 2.1150 × 103 | 2.1225 × 103 |
| Std | 1.5455 × 10−2 | 9.4254 × 10−1 | 1.3979 × 10−2 | 2.2238 × 101 | 3.9357 × 10−2 | 7.9172 × 10−1 | 5.9572 × 100 | 8.7175 × 10−3 | ||
| 6 | Ave | 2.1848 × 103 | 2.1835 × 103 | 2.1850 × 103 | 2.1583 × 103 | 2.1845 × 103 | 2.1838 × 103 | 2.1668 × 103 | 2.1850 × 103 | |
| Std | 2.1498 × 10−1 | 4.5296 × 100 | 1.4291 × 10−2 | 1.2641 × 101 | 7.8171 × 10−1 | 2.7653 × 100 | 1.0850 × 101 | 1.2070 × 10−2 | ||
| 8 | Ave | 2.2103 × 103 | 2.2086 × 103 | 2.2112 × 103 | 2.1819 × 103 | 2.2098 × 103 | 2.2091 × 103 | 2.1916 × 103 | 2.2112 × 103 | |
| Std | 7.0980 × 10−1 | 4.9222 × 100 | 2.3111 × 10−1 | 1.2782 × 101 | 2.6578 × 100 | 2.0924 × 100 | 7.1763 × 100 | 3.5567 × 10−1 | ||
| 10 | Ave | 2.2224 × 103 | 2.2217 × 103 | 2.2244 × 103 | 2.2038 × 103 | 2.2227 × 103 | 2.2229 × 103 | 2.2052 × 103 | 2.2244 × 103 | |
| Std | 1.2105 × 100 | 3.6280 × 100 | 5.7843 × 10−1 | 9.2518 × 100 | 1.9228 × 100 | 1.6132 × 100 | 5.8661 × 100 | 4.8550 × 10−1 | ||
| face | 4 | Ave | 2.5340 × 103 | 2.5339 × 103 | 2.5340 × 103 | 2.5226 × 103 | 2.5340 × 103 | 2.5337 × 103 | 2.5310 × 103 | 2.5340 × 103 |
| Std | 7.0208 × 10−3 | 2.0781 × 10−1 | 6.3586 × 10−3 | 1.2282 × 101 | 8.6250 × 10−3 | 6.1444 × 10−1 | 1.8112 × 100 | 5.8706 × 10−3 | ||
| 6 | Ave | 2.5845 × 103 | 2.5843 × 103 | 2.5846 × 103 | 2.5659 × 103 | 2.5835 × 103 | 2.5839 × 103 | 2.5762 × 103 | 2.5847 × 103 | |
| Std | 2.3571 × 10−1 | 7.5000 × 10−1 | 2.0092 × 10−1 | 1.1545 × 101 | 3.3127 × 100 | 1.3919 × 100 | 4.4764 × 100 | 1.9081 × 10−1 | ||
| 8 | Ave | 2.6060 × 103 | 2.6059 × 103 | 2.6072 × 103 | 2.5871 × 103 | 2.6057 × 103 | 2.6047 × 103 | 2.5939 × 103 | 2.6072 × 103 | |
| Std | 8.5777 × 10−1 | 1.9719 × 100 | 1.2167 × 10−1 | 6.3320 × 100 | 1.8873 × 100 | 2.3732 × 100 | 4.0053 × 100 | 5.0529 × 10−2 | ||
| 10 | Ave | 2.6158 × 103 | 2.6167 × 103 | 2.6178 × 103 | 2.5984 × 103 | 2.6166 × 103 | 2.6147 × 103 | 2.6057 × 103 | 2.6178 × 103 | |
| Std | 8.7461 × 10−1 | 1.9834 × 100 | 1.9299 × 10−1 | 8.5734 × 100 | 1.6251 × 100 | 1.9725 × 100 | 3.4807 × 100 | 1.8290 × 10−1 | ||
| hunter | 4 | Ave | 3.1904 × 103 | 3.1903 × 103 | 3.1904 × 103 | 3.1757 × 103 | 3.1903 × 103 | 3.1900 × 103 | 3.1873 × 103 | 3.1904 × 103 |
| Std | 6.8883 × 10−3 | 1.5664 × 10−1 | 5.4674 × 10−3 | 1.7580 × 101 | 1.3600 × 10−1 | 5.4392 × 10−1 | 1.9345 × 100 | 2.2193 × 10−3 | ||
| 6 | Ave | 3.2467 × 103 | 3.2470 × 103 | 3.2471 × 103 | 3.2283 × 103 | 3.2467 × 103 | 3.2458 × 103 | 3.2351 × 103 | 3.2472 × 103 | |
| Std | 5.9842 × 10−1 | 6.5839 × 10−1 | 4.1409 × 10−1 | 1.1113 × 101 | 6.5016 × 10−1 | 1.8117 × 100 | 7.4649 × 100 | 4.1704 × 10−1 | ||
| 8 | Ave | 3.2713 × 103 | 3.2723 × 103 | 3.2726 × 103 | 3.2533 × 103 | 3.2722 × 103 | 3.2701 × 103 | 3.2604 × 103 | 3.2726 × 103 | |
| Std | 1.0007 × 100 | 9.6966 × 10−1 | 2.2628 × 10−1 | 6.8450 × 100 | 5.3913 × 10−1 | 2.0104 × 100 | 4.2143 × 100 | 1.1699 × 10−1 | ||
| 10 | Ave | 3.2829 × 103 | 3.2847 × 103 | 3.2852 × 103 | 3.2683 × 103 | 3.2843 × 103 | 3.2822 × 103 | 3.2701 × 103 | 3.2854 × 103 | |
| Std | 1.2722 × 100 | 1.5645 × 100 | 8.7093 × 10−1 | 6.7524 × 100 | 1.2945 × 100 | 2.3176 × 100 | 5.9853 × 100 | 2.3804 × 10−1 | ||
| peppers | 4 | Ave | 2.7011 × 103 | 2.7009 × 103 | 2.7011 × 103 | 2.6809 × 103 | 2.7009 × 103 | 2.6993 × 103 | 2.6962 × 103 | 2.7011 × 103 |
| Std | 4.6030 × 10−3 | 4.5285 × 10−1 | 4.6119 × 10−3 | 1.1674 × 101 | 9.3591 × 10−1 | 2.4708 × 100 | 2.3418 × 100 | 5.1959 × 10−4 | ||
| 6 | Ave | 2.7687 × 103 | 2.7689 × 103 | 2.7689 × 103 | 2.7419 × 103 | 2.7689 × 103 | 2.7671 × 103 | 2.7567 × 103 | 2.7690 × 103 | |
| Std | 1.9872 × 10−1 | 3.5580 × 10−1 | 2.3649 × 10−2 | 1.4364 × 101 | 1.8328 × 10−1 | 2.9371 × 100 | 5.3779 × 100 | 3.9081 × 10−3 | ||
| 8 | Ave | 2.7946 × 103 | 2.7949 × 103 | 2.7956 × 103 | 2.7668 × 103 | 2.7944 × 103 | 2.7939 × 103 | 2.7780 × 103 | 2.7956 × 103 | |
| Std | 8.4080 × 10−1 | 2.1186 × 100 | 4.9811 × 10−2 | 1.0728 × 101 | 2.1140 × 100 | 1.8092 × 100 | 7.6420 × 100 | 5.8444 × 10−2 | ||
| 10 | Ave | 2.8059 × 103 | 2.8072 × 103 | 2.8085 × 103 | 2.7826 × 103 | 2.8073 × 103 | 2.8060 × 103 | 2.7929 × 103 | 2.8084 × 103 | |
| Std | 1.1070 × 100 | 2.3353 × 100 | 5.6046 × 10−1 | 1.4827 × 101 | 1.1944 × 100 | 1.7036 × 100 | 3.9094 × 100 | 6.5159 × 10−1 | ||
| saturn | 4 | Ave | 5.2220 × 103 | 5.2220 × 103 | 5.2220 × 103 | 5.2068 × 103 | 5.2220 × 103 | 5.2218 × 103 | 5.2187 × 103 | 5.2220 × 103 |
| Std | 3.8639 × 10−3 | 5.7652 × 10−3 | 4.0892 × 10−3 | 1.2556 × 101 | 1.7890 × 10−2 | 2.8332 × 10−1 | 1.8318 × 100 | 3.4001 × 10−3 | ||
| 6 | Ave | 5.2730 × 103 | 5.2725 × 103 | 5.2731 × 103 | 5.2588 × 103 | 5.2726 × 103 | 5.2723 × 103 | 5.2663 × 103 | 5.2731 × 103 | |
| Std | 9.5780 × 10−2 | 1.0074 × 100 | 7.6076 × 10−3 | 8.3318 × 100 | 1.6935 × 100 | 1.3013 × 100 | 2.8188 × 100 | 1.3486 × 10−2 | ||
| 8 | Ave | 5.2934 × 103 | 5.2932 × 103 | 5.2938 × 103 | 5.2803 × 103 | 5.2930 × 103 | 5.2926 × 103 | 5.2844 × 103 | 5.2939 × 103 | |
| Std | 2.7849 × 10−1 | 1.0839 × 100 | 2.1751 × 10−1 | 6.7865 × 100 | 1.6924 × 100 | 1.2231 × 100 | 3.6198 × 100 | 9.8460 × 10−2 | ||
| 10 | Ave | 5.3026 × 103 | 5.3030 × 103 | 5.3037 × 103 | 5.2934 × 103 | 5.3028 × 103 | 5.3021 × 103 | 5.2955 × 103 | 5.3037 × 103 | |
| Std | 6.4428 × 10−1 | 9.8028 × 10−1 | 1.3315 × 10−1 | 3.4327 × 100 | 1.0037 × 100 | 1.4447 × 100 | 2.6698 × 100 | 2.7244 × 10−1 | ||
| terrace | 4 | Ave | 2.6402 × 103 | 2.6402 × 103 | 2.6402 × 103 | 2.6238 × 103 | 2.6402 × 103 | 2.6400 × 103 | 2.6364 × 103 | 2.6402 × 103 |
| Std | 2.5828 × 10−3 | 1.5709 × 10−3 | 1.4636 × 10−3 | 1.8872 × 101 | 3.4028 × 10−2 | 4.8760 × 10−1 | 2.3320 × 100 | 1.3350 × 10−3 | ||
| 6 | Ave | 2.7022 × 103 | 2.7023 × 103 | 2.7024 × 103 | 2.6822 × 103 | 2.7022 × 103 | 2.7015 × 103 | 2.6912 × 103 | 2.7024 × 103 | |
| Std | 1.8627 × 10−1 | 3.8449 × 10−1 | 3.1219 × 10−2 | 1.5682 × 101 | 1.7289 × 10−1 | 1.3018 × 100 | 7.2087 × 100 | 2.6929 × 10−2 | ||
| 8 | Ave | 2.7286 × 103 | 2.7288 × 103 | 2.7296 × 103 | 2.7104 × 103 | 2.7279 × 103 | 2.7265 × 103 | 2.7169 × 103 | 2.7297 × 103 | |
| Std | 7.7169 × 10−1 | 2.0740 × 100 | 2.0896 × 10−1 | 6.2884 × 100 | 3.0784 × 100 | 2.3118 × 100 | 5.8259 × 100 | 1.1795 × 10−1 | ||
| 10 | Ave | 2.7411 × 103 | 2.7428 × 103 | 2.7433 × 103 | 2.7264 × 103 | 2.7421 × 103 | 2.7396 × 103 | 2.7314 × 103 | 2.7436 × 103 | |
| Std | 1.5899 × 100 | 1.5047 × 100 | 8.7645 × 10−1 | 7.0070 × 100 | 2.2547 × 100 | 2.4855 × 100 | 3.3144 × 100 | 2.9848 × 10−1 | ||
| Friedman-Rank | 3.93 | 2.76 | 2.64 | 7.71 | 4.16 | 5.26 | 7.23 | 2.33 | ||
| Final-Rank | 4 | 3 | 2 | 8 | 5 | 6 | 7 | 1 | ||
| Images | TH | Metrics | AGPSO | AGWO | MVO | IVYA | DBO | BPBO | SCA | RLTC-SCA |
|---|---|---|---|---|---|---|---|---|---|---|
| brian | 4 | Ave | 25.0617 | 25.0522 | 25.0416 | 24.3342 | 25.0693 | 25.1518 | 24.9700 | 25.0754 |
| Std | 0.0421 | 0.0947 | 0.0587 | 0.8004 | 0.0513 | 0.1145 | 0.2813 | 0.0628 | ||
| 6 | Ave | 27.5262 | 27.5140 | 27.5066 | 26.7920 | 27.3928 | 27.6003 | 26.7435 | 27.5248 | |
| Std | 0.1181 | 0.1519 | 0.1475 | 0.5606 | 0.2131 | 0.1635 | 0.4395 | 0.1644 | ||
| 8 | Ave | 29.4017 | 29.3715 | 29.4816 | 27.9306 | 29.3988 | 29.3372 | 28.2072 | 29.5167 | |
| Std | 0.1547 | 0.1737 | 0.2090 | 0.6337 | 0.2167 | 0.1925 | 0.3902 | 0.0879 | ||
| 10 | Ave | 30.7639 | 30.8811 | 30.9488 | 29.1790 | 30.8873 | 30.5369 | 29.4992 | 31.0092 | |
| Std | 0.1846 | 0.2486 | 0.1868 | 0.7778 | 0.2553 | 0.3627 | 0.4825 | 0.1652 | ||
| camera | 4 | Ave | 19.2258 | 19.1059 | 19.0573 | 18.5391 | 18.6420 | 18.5986 | 18.6798 | 19.6292 |
| Std | 0.8966 | 0.9128 | 0.9401 | 0.9153 | 0.9436 | 0.8921 | 0.9729 | 0.6280 | ||
| 6 | Ave | 21.8556 | 21.8478 | 21.9064 | 21.0446 | 21.8922 | 21.4888 | 21.0834 | 21.9133 | |
| Std | 0.1212 | 0.1955 | 0.0480 | 1.0356 | 0.0622 | 0.9914 | 0.9167 | 0.0385 | ||
| 8 | Ave | 23.1906 | 23.1580 | 23.1670 | 22.9032 | 23.2412 | 23.0149 | 22.5262 | 23.1874 | |
| Std | 0.2358 | 0.2530 | 0.2018 | 0.9152 | 0.2627 | 0.2410 | 0.7004 | 0.1872 | ||
| 10 | Ave | 24.1023 | 24.3681 | 24.3876 | 24.0766 | 24.3544 | 23.7086 | 24.0352 | 24.3315 | |
| Std | 0.4009 | 0.4466 | 0.2669 | 0.7837 | 0.4293 | 0.3543 | 0.9544 | 0.3058 | ||
| girl | 4 | Ave | 19.7470 | 19.7291 | 19.7510 | 19.0682 | 19.7518 | 19.6607 | 19.5310 | 19.7588 |
| Std | 0.0265 | 0.0649 | 0.0240 | 0.5562 | 0.0259 | 0.1418 | 0.2927 | 0.0150 | ||
| 6 | Ave | 22.5829 | 22.5423 | 22.5947 | 21.6755 | 22.6276 | 22.3832 | 21.7076 | 22.5957 | |
| Std | 0.0622 | 0.2454 | 0.0172 | 0.5153 | 0.1056 | 0.3374 | 0.5567 | 0.0187 | ||
| 8 | Ave | 24.8925 | 24.7529 | 24.9681 | 23.0542 | 24.9256 | 24.4691 | 23.4173 | 24.9770 | |
| Std | 0.1270 | 0.4202 | 0.0510 | 0.6743 | 0.2631 | 0.4137 | 0.5525 | 0.0688 | ||
| 10 | Ave | 26.4409 | 26.3474 | 26.7670 | 24.5922 | 26.5322 | 26.2898 | 24.5786 | 26.7959 | |
| Std | 0.2087 | 0.5005 | 0.0652 | 0.7309 | 0.2720 | 0.3747 | 0.5816 | 0.0558 | ||
| face | 4 | Ave | 21.9787 | 21.9982 | 21.9747 | 21.5952 | 21.9901 | 22.0552 | 21.9085 | 21.9938 |
| Std | 0.0341 | 0.0478 | 0.0396 | 0.7607 | 0.0322 | 0.1158 | 0.4163 | 0.0184 | ||
| 6 | Ave | 24.4250 | 24.4119 | 24.5132 | 23.3229 | 24.4250 | 24.5204 | 23.7859 | 24.4898 | |
| Std | 0.1566 | 0.2279 | 0.1555 | 0.8957 | 0.3508 | 0.1711 | 0.6254 | 0.1204 | ||
| 8 | Ave | 26.3625 | 26.3590 | 26.4129 | 24.8552 | 26.3984 | 26.4738 | 25.2944 | 26.4077 | |
| Std | 0.2477 | 0.1716 | 0.0637 | 0.8570 | 0.2224 | 0.3038 | 0.6036 | 0.0543 | ||
| 10 | Ave | 27.9362 | 28.0673 | 28.2497 | 26.1423 | 28.0517 | 28.1095 | 26.4915 | 28.2614 | |
| Std | 0.3172 | 0.3712 | 0.0949 | 1.0448 | 0.3229 | 0.2186 | 0.7107 | 0.0805 | ||
| hunter | 4 | Ave | 22.0049 | 22.0039 | 22.0060 | 21.2963 | 21.9964 | 21.9788 | 21.8255 | 22.0160 |
| Std | 0.0190 | 0.0342 | 0.0191 | 0.6260 | 0.0267 | 0.0557 | 0.1556 | 0.0078 | ||
| 6 | Ave | 24.6086 | 24.7087 | 24.6893 | 23.4764 | 24.5824 | 24.6466 | 23.7932 | 24.6908 | |
| Std | 0.2172 | 0.0789 | 0.1660 | 0.6235 | 0.2661 | 0.1739 | 0.4518 | 0.1669 | ||
| 8 | Ave | 26.2526 | 26.3674 | 26.3906 | 25.2261 | 26.3452 | 26.3009 | 25.3226 | 26.4040 | |
| Std | 0.1162 | 0.1022 | 0.0280 | 0.5439 | 0.0748 | 0.1440 | 0.4738 | 0.0254 | ||
| 10 | Ave | 27.7417 | 27.9676 | 28.0325 | 26.3393 | 27.8858 | 27.7966 | 26.1643 | 28.0951 | |
| Std | 0.2070 | 0.2323 | 0.1702 | 0.5471 | 0.2107 | 0.2443 | 0.6685 | 0.0593 | ||
| peppers | 4 | Ave | 20.4531 | 20.4508 | 20.4552 | 19.7087 | 20.4265 | 20.2670 | 20.2020 | 20.4537 |
| Std | 0.0136 | 0.0249 | 0.0120 | 0.4191 | 0.1087 | 0.2907 | 0.2278 | 0.0125 | ||
| 6 | Ave | 23.2180 | 23.2265 | 23.2300 | 22.0318 | 23.2278 | 23.1582 | 22.5404 | 23.2281 | |
| Std | 0.0376 | 0.0382 | 0.0085 | 0.6672 | 0.0326 | 0.1774 | 0.3793 | 0.0033 | ||
| 8 | Ave | 24.8793 | 24.9051 | 24.9529 | 23.4537 | 24.9530 | 24.8027 | 23.9797 | 24.9570 | |
| Std | 0.0969 | 0.1508 | 0.0176 | 0.6519 | 0.1377 | 0.2020 | 0.4259 | 0.0108 | ||
| 10 | Ave | 26.2497 | 26.5257 | 26.7048 | 24.7207 | 26.4864 | 26.1471 | 25.1754 | 26.6490 | |
| Std | 0.2354 | 0.2842 | 0.1224 | 0.9392 | 0.2371 | 0.2861 | 0.4416 | 0.1935 | ||
| saturn | 4 | Ave | 22.3272 | 22.3356 | 22.3284 | 21.7493 | 22.3423 | 22.3622 | 22.1775 | 22.3299 |
| Std | 0.0079 | 0.0185 | 0.0109 | 0.5873 | 0.0246 | 0.0554 | 0.2302 | 0.0132 | ||
| 6 | Ave | 25.3570 | 25.2895 | 25.3761 | 24.4015 | 25.3222 | 25.3829 | 24.6808 | 25.3747 | |
| Std | 0.0332 | 0.1521 | 0.0061 | 0.6762 | 0.1832 | 0.0819 | 0.3737 | 0.0129 | ||
| 8 | Ave | 27.4551 | 27.3808 | 27.5167 | 26.0848 | 27.3973 | 27.5653 | 26.3374 | 27.5257 | |
| Std | 0.0864 | 0.1962 | 0.0273 | 0.6789 | 0.2641 | 0.1303 | 0.4415 | 0.0318 | ||
| 10 | Ave | 29.0678 | 29.0743 | 29.2155 | 27.5988 | 29.0714 | 29.1610 | 27.6922 | 29.2742 | |
| Std | 0.1581 | 0.2309 | 0.1016 | 0.5157 | 0.2335 | 0.1702 | 0.4797 | 0.0595 | ||
| terrace | 4 | Ave | 21.4783 | 21.4779 | 21.4775 | 21.0062 | 21.4795 | 21.4809 | 21.3666 | 21.4772 |
| Std | 0.0045 | 0.0040 | 0.0037 | 0.4877 | 0.0071 | 0.0163 | 0.0885 | 0.0034 | ||
| 6 | Ave | 24.0086 | 24.0050 | 24.0126 | 23.1856 | 24.0082 | 23.9789 | 23.4775 | 24.0162 | |
| Std | 0.0282 | 0.0339 | 0.0167 | 0.6943 | 0.0248 | 0.0890 | 0.3601 | 0.0096 | ||
| 8 | Ave | 25.8557 | 25.9025 | 25.9624 | 24.7513 | 25.7937 | 25.7127 | 24.9859 | 25.9631 | |
| Std | 0.0927 | 0.1278 | 0.0220 | 0.3989 | 0.2648 | 0.2104 | 0.4336 | 0.0236 | ||
| 10 | Ave | 27.2155 | 27.4534 | 27.5259 | 25.9610 | 27.3606 | 27.0865 | 26.1203 | 27.5678 | |
| Std | 0.2178 | 0.2104 | 0.1481 | 0.5862 | 0.2970 | 0.3082 | 0.3715 | 0.0532 | ||
| Friedman-Rank | 3.76 | 3.03 | 3.23 | 7.59 | 3.93 | 4.26 | 7.22 | 2.99 | ||
| Final-Rank | 4 | 2 | 3 | 8 | 5 | 6 | 7 | 1 | ||
| Images | TH | Metrics | AGPSO | AGWO | MVO | IVYA | DBO | BPBO | SCA | RLTC-SCA |
|---|---|---|---|---|---|---|---|---|---|---|
| brian | 4 | Ave | 0.6751 | 0.6750 | 0.6751 | 0.7031 | 0.6751 | 0.6750 | 0.6733 | 0.6751 |
| Std | 0.0001 | 0.0004 | 0.0001 | 0.0607 | 0.0001 | 0.0003 | 0.0011 | 0.0001 | ||
| 6 | Ave | 0.7388 | 0.7615 | 0.7615 | 0.7817 | 0.8261 | 0.7142 | 0.8581 | 0.7612 | |
| Std | 0.0932 | 0.1061 | 0.1063 | 0.1004 | 0.1121 | 0.0697 | 0.0841 | 0.1059 | ||
| 8 | Ave | 0.9484 | 0.9421 | 0.9500 | 0.8544 | 0.9158 | 0.8494 | 0.9212 | 0.9510 | |
| Std | 0.0024 | 0.0415 | 0.0026 | 0.0980 | 0.0841 | 0.1225 | 0.0210 | 0.0016 | ||
| 10 | Ave | 0.9610 | 0.9632 | 0.9647 | 0.8826 | 0.9592 | 0.9028 | 0.9446 | 0.9644 | |
| Std | 0.0025 | 0.0028 | 0.0020 | 0.0960 | 0.0207 | 0.1009 | 0.0108 | 0.0019 | ||
| camera | 4 | Ave | 0.8341 | 0.8350 | 0.8351 | 0.8260 | 0.8350 | 0.8359 | 0.8285 | 0.8337 |
| Std | 0.0046 | 0.0050 | 0.0046 | 0.0096 | 0.0066 | 0.0060 | 0.0094 | 0.0025 | ||
| 6 | Ave | 0.8772 | 0.8774 | 0.8784 | 0.8594 | 0.8780 | 0.8759 | 0.8638 | 0.8786 | |
| Std | 0.0021 | 0.0039 | 0.0008 | 0.0119 | 0.0012 | 0.0041 | 0.0126 | 0.0007 | ||
| 8 | Ave | 0.9021 | 0.9015 | 0.9027 | 0.8830 | 0.9020 | 0.8994 | 0.8863 | 0.9028 | |
| Std | 0.0026 | 0.0029 | 0.0012 | 0.0103 | 0.0021 | 0.0028 | 0.0106 | 0.0010 | ||
| 10 | Ave | 0.9154 | 0.9180 | 0.9192 | 0.9005 | 0.9176 | 0.9128 | 0.9009 | 0.9196 | |
| Std | 0.0032 | 0.0023 | 0.0010 | 0.0089 | 0.0025 | 0.0043 | 0.0112 | 0.0010 | ||
| girl | 4 | Ave | 0.7542 | 0.7543 | 0.7544 | 0.7345 | 0.7542 | 0.7534 | 0.7496 | 0.7546 |
| Std | 0.0009 | 0.0022 | 0.0009 | 0.0191 | 0.0010 | 0.0017 | 0.0082 | 0.0005 | ||
| 6 | Ave | 0.8438 | 0.8416 | 0.8437 | 0.8102 | 0.8440 | 0.8422 | 0.8140 | 0.8444 | |
| Std | 0.0014 | 0.0076 | 0.0011 | 0.0138 | 0.0015 | 0.0040 | 0.0180 | 0.0007 | ||
| 8 | Ave | 0.8936 | 0.8907 | 0.8965 | 0.8432 | 0.8934 | 0.8912 | 0.8531 | 0.8965 | |
| Std | 0.0023 | 0.0106 | 0.0006 | 0.0195 | 0.0059 | 0.0047 | 0.0134 | 0.0009 | ||
| 10 | Ave | 0.9199 | 0.9185 | 0.9262 | 0.8786 | 0.9231 | 0.9207 | 0.8753 | 0.9264 | |
| Std | 0.0046 | 0.0103 | 0.0009 | 0.0166 | 0.0037 | 0.0045 | 0.0129 | 0.0009 | ||
| face | 4 | Ave | 0.8294 | 0.8295 | 0.8294 | 0.8273 | 0.8297 | 0.8288 | 0.8263 | 0.8297 |
| Std | 0.0010 | 0.0015 | 0.0009 | 0.0072 | 0.0011 | 0.0019 | 0.0054 | 0.0011 | ||
| 6 | Ave | 0.8673 | 0.8674 | 0.8682 | 0.8575 | 0.8695 | 0.8657 | 0.8637 | 0.8669 | |
| Std | 0.0039 | 0.0049 | 0.0052 | 0.0125 | 0.0070 | 0.0044 | 0.0082 | 0.0044 | ||
| 8 | Ave | 0.9034 | 0.9038 | 0.9046 | 0.8827 | 0.9042 | 0.8996 | 0.8871 | 0.9045 | |
| Std | 0.0017 | 0.0019 | 0.0005 | 0.0087 | 0.0030 | 0.0058 | 0.0080 | 0.0003 | ||
| 10 | Ave | 0.9242 | 0.9272 | 0.9298 | 0.9001 | 0.9273 | 0.9212 | 0.9049 | 0.9300 | |
| Std | 0.0037 | 0.0053 | 0.0008 | 0.0133 | 0.0046 | 0.0054 | 0.0079 | 0.0007 | ||
| hunter | 4 | Ave | 0.8529 | 0.8528 | 0.8529 | 0.8401 | 0.8527 | 0.8512 | 0.8492 | 0.8527 |
| Std | 0.0003 | 0.0003 | 0.0003 | 0.0133 | 0.0007 | 0.0024 | 0.0029 | 0.0001 | ||
| 6 | Ave | 0.9071 | 0.9078 | 0.9081 | 0.8851 | 0.9070 | 0.9056 | 0.8915 | 0.9081 | |
| Std | 0.0017 | 0.0014 | 0.0012 | 0.0110 | 0.0018 | 0.0031 | 0.0084 | 0.0012 | ||
| 8 | Ave | 0.9358 | 0.9375 | 0.9379 | 0.9147 | 0.9375 | 0.9334 | 0.9206 | 0.9383 | |
| Std | 0.0017 | 0.0020 | 0.0010 | 0.0097 | 0.0014 | 0.0036 | 0.0065 | 0.0005 | ||
| 10 | Ave | 0.9516 | 0.9553 | 0.9557 | 0.9312 | 0.9554 | 0.9495 | 0.9334 | 0.9557 | |
| Std | 0.0023 | 0.0029 | 0.0010 | 0.0102 | 0.0016 | 0.0040 | 0.0079 | 0.0008 | ||
| peppers | 4 | Ave | 0.7868 | 0.7865 | 0.7868 | 0.7793 | 0.7865 | 0.7856 | 0.7831 | 0.7868 |
| Std | 0.0001 | 0.0009 | 0.0001 | 0.0050 | 0.0005 | 0.0012 | 0.0030 | 0.0000 | ||
| 6 | Ave | 0.8492 | 0.8491 | 0.8494 | 0.8242 | 0.8494 | 0.8469 | 0.8347 | 0.8492 | |
| Std | 0.0008 | 0.0006 | 0.0003 | 0.0128 | 0.0008 | 0.0039 | 0.0062 | 0.0001 | ||
| 8 | Ave | 0.8847 | 0.8856 | 0.8864 | 0.8497 | 0.8852 | 0.8836 | 0.8625 | 0.8865 | |
| Std | 0.0017 | 0.0031 | 0.0003 | 0.0112 | 0.0022 | 0.0025 | 0.0096 | 0.0005 | ||
| 10 | Ave | 0.9083 | 0.9109 | 0.9142 | 0.8718 | 0.9117 | 0.9086 | 0.8836 | 0.9142 | |
| Std | 0.0029 | 0.0056 | 0.0013 | 0.0174 | 0.0029 | 0.0042 | 0.0068 | 0.0012 | ||
| saturn | 4 | Ave | 0.8477 | 0.8478 | 0.8477 | 0.8498 | 0.8479 | 0.8481 | 0.8475 | 0.8477 |
| Std | 0.0001 | 0.0003 | 0.0002 | 0.0080 | 0.0004 | 0.0010 | 0.0057 | 0.0002 | ||
| 6 | Ave | 0.8838 | 0.8842 | 0.8836 | 0.8827 | 0.8836 | 0.8835 | 0.8791 | 0.8837 | |
| Std | 0.0013 | 0.0019 | 0.0003 | 0.0105 | 0.0022 | 0.0018 | 0.0073 | 0.0001 | ||
| 8 | Ave | 0.9130 | 0.9124 | 0.9130 | 0.9029 | 0.9131 | 0.9139 | 0.9016 | 0.9139 | |
| Std | 0.0029 | 0.0026 | 0.0009 | 0.0075 | 0.0047 | 0.0035 | 0.0075 | 0.0019 | ||
| 10 | Ave | 0.9323 | 0.9323 | 0.9342 | 0.9197 | 0.9321 | 0.9332 | 0.9161 | 0.9347 | |
| Std | 0.0029 | 0.0029 | 0.0008 | 0.0074 | 0.0034 | 0.0022 | 0.0055 | 0.0005 | ||
| terrace | 4 | Ave | 0.8449 | 0.8449 | 0.8450 | 0.8377 | 0.8447 | 0.8437 | 0.8424 | 0.8450 |
| Std | 0.0005 | 0.0004 | 0.0004 | 0.0123 | 0.0006 | 0.0013 | 0.0055 | 0.0003 | ||
| 6 | Ave | 0.9043 | 0.9043 | 0.9047 | 0.8887 | 0.9046 | 0.9020 | 0.8936 | 0.9048 | |
| Std | 0.0013 | 0.0018 | 0.0004 | 0.0136 | 0.0017 | 0.0030 | 0.0099 | 0.0005 | ||
| 8 | Ave | 0.9354 | 0.9371 | 0.9375 | 0.9139 | 0.9350 | 0.9288 | 0.9216 | 0.9376 | |
| Std | 0.0036 | 0.0028 | 0.0014 | 0.0103 | 0.0053 | 0.0055 | 0.0070 | 0.0008 | ||
| 10 | Ave | 0.9525 | 0.9564 | 0.9565 | 0.9308 | 0.9547 | 0.9455 | 0.9396 | 0.9568 | |
| Std | 0.0044 | 0.0036 | 0.0017 | 0.0105 | 0.0040 | 0.0063 | 0.0066 | 0.0020 | ||
| Friedman-Rank | 3.63 | 3.58 | 3.00 | 6.99 | 3.78 | 5.81 | 6.30 | 2.90 | ||
| Final-Rank | 4 | 3 | 2 | 8 | 5 | 6 | 7 | 1 | ||
| Images | TH | Metrics | AGPSO | AGWO | MVO | IVYA | DBO | BPBO | SCA | RLTC-SCA |
|---|---|---|---|---|---|---|---|---|---|---|
| brian | 4 | Ave | 0.3766 | 0.3765 | 0.3766 | 0.4073 | 0.3768 | 0.3770 | 0.3750 | 0.3768 |
| Std | 0.0003 | 0.0006 | 0.0005 | 0.0913 | 0.0004 | 0.0005 | 0.0022 | 0.0004 | ||
| 6 | Ave | 0.4555 | 0.4864 | 0.4735 | 0.4937 | 0.5544 | 0.4281 | 0.6047 | 0.4833 | |
| Std | 0.1051 | 0.1301 | 0.1093 | 0.1259 | 0.1325 | 0.0765 | 0.1268 | 0.1258 | ||
| 8 | Ave | 0.7343 | 0.7010 | 0.7499 | 0.5936 | 0.7097 | 0.5733 | 0.7008 | 0.7578 | |
| Std | 0.0610 | 0.0765 | 0.0327 | 0.1362 | 0.1214 | 0.1352 | 0.0799 | 0.0259 | ||
| 10 | Ave | 0.7464 | 0.7797 | 0.7674 | 0.6452 | 0.7658 | 0.6257 | 0.7712 | 0.7877 | |
| Std | 0.0555 | 0.0691 | 0.0422 | 0.1527 | 0.0558 | 0.1347 | 0.0706 | 0.0363 | ||
| camera | 4 | Ave | 0.7330 | 0.7292 | 0.7269 | 0.7236 | 0.7103 | 0.7086 | 0.7059 | 0.7496 |
| Std | 0.0353 | 0.0366 | 0.0370 | 0.0463 | 0.0375 | 0.0350 | 0.0481 | 0.0245 | ||
| 6 | Ave | 0.8019 | 0.8019 | 0.8043 | 0.7814 | 0.8036 | 0.7920 | 0.7796 | 0.8046 | |
| Std | 0.0046 | 0.0097 | 0.0020 | 0.0422 | 0.0023 | 0.0278 | 0.0372 | 0.0016 | ||
| 8 | Ave | 0.8343 | 0.8325 | 0.8342 | 0.8310 | 0.8332 | 0.8280 | 0.8133 | 0.8343 | |
| Std | 0.0072 | 0.0094 | 0.0038 | 0.0289 | 0.0077 | 0.0072 | 0.0257 | 0.0036 | ||
| 10 | Ave | 0.8541 | 0.8610 | 0.8606 | 0.8605 | 0.8593 | 0.8463 | 0.8492 | 0.8618 | |
| Std | 0.0107 | 0.0094 | 0.0057 | 0.0258 | 0.0090 | 0.0087 | 0.0272 | 0.0053 | ||
| girl | 4 | Ave | 0.7071 | 0.7072 | 0.7073 | 0.6967 | 0.7072 | 0.7048 | 0.7036 | 0.7079 |
| Std | 0.0017 | 0.0034 | 0.0016 | 0.0180 | 0.0017 | 0.0040 | 0.0131 | 0.0010 | ||
| 6 | Ave | 0.8000 | 0.7979 | 0.8002 | 0.7757 | 0.8003 | 0.7984 | 0.7711 | 0.8010 | |
| Std | 0.0018 | 0.0082 | 0.0012 | 0.0133 | 0.0013 | 0.0049 | 0.0214 | 0.0008 | ||
| 8 | Ave | 0.8560 | 0.8535 | 0.8589 | 0.8116 | 0.8562 | 0.8539 | 0.8154 | 0.8590 | |
| Std | 0.0028 | 0.0108 | 0.0006 | 0.0204 | 0.0062 | 0.0051 | 0.0150 | 0.0006 | ||
| 10 | Ave | 0.8882 | 0.8870 | 0.8949 | 0.8493 | 0.8912 | 0.8907 | 0.8411 | 0.8951 | |
| Std | 0.0055 | 0.0114 | 0.0013 | 0.0176 | 0.0045 | 0.0045 | 0.0151 | 0.0012 | ||
| face | 4 | Ave | 0.7138 | 0.7140 | 0.7138 | 0.7178 | 0.7140 | 0.7130 | 0.7115 | 0.7139 |
| Std | 0.0008 | 0.0014 | 0.0008 | 0.0108 | 0.0010 | 0.0027 | 0.0086 | 0.0009 | ||
| 6 | Ave | 0.7528 | 0.7556 | 0.7574 | 0.7668 | 0.7633 | 0.7507 | 0.7680 | 0.7539 | |
| Std | 0.0113 | 0.0135 | 0.0143 | 0.0201 | 0.0174 | 0.0097 | 0.0189 | 0.0120 | ||
| 8 | Ave | 0.8035 | 0.8080 | 0.8063 | 0.8082 | 0.8076 | 0.7905 | 0.8083 | 0.8065 | |
| Std | 0.0056 | 0.0094 | 0.0010 | 0.0158 | 0.0091 | 0.0144 | 0.0203 | 0.0017 | ||
| 10 | Ave | 0.8289 | 0.8418 | 0.8403 | 0.8381 | 0.8409 | 0.8151 | 0.8303 | 0.8427 | |
| Std | 0.0137 | 0.0108 | 0.0052 | 0.0256 | 0.0121 | 0.0118 | 0.0162 | 0.0068 | ||
| hunter | 4 | Ave | 0.7064 | 0.7064 | 0.7064 | 0.7144 | 0.7048 | 0.6973 | 0.7004 | 0.7057 |
| Std | 0.0014 | 0.0021 | 0.0013 | 0.0112 | 0.0052 | 0.0119 | 0.0144 | 0.0005 | ||
| 6 | Ave | 0.7782 | 0.7809 | 0.7817 | 0.7780 | 0.7777 | 0.7728 | 0.7670 | 0.7818 | |
| Std | 0.0084 | 0.0057 | 0.0052 | 0.0149 | 0.0090 | 0.0124 | 0.0130 | 0.0051 | ||
| 8 | Ave | 0.8211 | 0.8250 | 0.8250 | 0.8266 | 0.8241 | 0.8102 | 0.8157 | 0.8271 | |
| Std | 0.0077 | 0.0059 | 0.0045 | 0.0230 | 0.0074 | 0.0117 | 0.0149 | 0.0026 | ||
| 10 | Ave | 0.8476 | 0.8590 | 0.8551 | 0.8455 | 0.8608 | 0.8389 | 0.8503 | 0.8554 | |
| Std | 0.0090 | 0.0097 | 0.0043 | 0.0181 | 0.0083 | 0.0115 | 0.0156 | 0.0049 | ||
| peppers | 4 | Ave | 0.7140 | 0.7135 | 0.7139 | 0.7111 | 0.7128 | 0.7055 | 0.7063 | 0.7138 |
| Std | 0.0007 | 0.0028 | 0.0007 | 0.0135 | 0.0042 | 0.0091 | 0.0112 | 0.0006 | ||
| 6 | Ave | 0.7866 | 0.7866 | 0.7871 | 0.7683 | 0.7871 | 0.7815 | 0.7672 | 0.7869 | |
| Std | 0.0014 | 0.0012 | 0.0007 | 0.0145 | 0.0014 | 0.0095 | 0.0107 | 0.0001 | ||
| 8 | Ave | 0.8178 | 0.8187 | 0.8191 | 0.7988 | 0.8198 | 0.8162 | 0.8057 | 0.8194 | |
| Std | 0.0026 | 0.0031 | 0.0005 | 0.0143 | 0.0032 | 0.0035 | 0.0101 | 0.0007 | ||
| 10 | Ave | 0.8477 | 0.8529 | 0.8562 | 0.8328 | 0.8537 | 0.8458 | 0.8336 | 0.8551 | |
| Std | 0.0070 | 0.0072 | 0.0040 | 0.0170 | 0.0064 | 0.0051 | 0.0138 | 0.0046 | ||
| saturn | 4 | Ave | 0.8307 | 0.8308 | 0.8307 | 0.8319 | 0.8309 | 0.8307 | 0.8301 | 0.8319 |
| Std | 0.0002 | 0.0002 | 0.0001 | 0.0127 | 0.0004 | 0.0013 | 0.0071 | 0.0001 | ||
| 6 | Ave | 0.8800 | 0.8799 | 0.8800 | 0.8747 | 0.8792 | 0.8781 | 0.8693 | 0.8802 | |
| Std | 0.0015 | 0.0021 | 0.0004 | 0.0115 | 0.0043 | 0.0028 | 0.0100 | 0.0001 | ||
| 8 | Ave | 0.9079 | 0.9067 | 0.9086 | 0.8986 | 0.9068 | 0.9078 | 0.8946 | 0.9089 | |
| Std | 0.0019 | 0.0038 | 0.0009 | 0.0083 | 0.0059 | 0.0031 | 0.0089 | 0.0005 | ||
| 10 | Ave | 0.9268 | 0.9267 | 0.9287 | 0.9153 | 0.9267 | 0.9273 | 0.9106 | 0.9294 | |
| Std | 0.0027 | 0.0035 | 0.0009 | 0.0073 | 0.0036 | 0.0025 | 0.0069 | 0.0009 | ||
| terrace | 4 | Ave | 0.7196 | 0.7196 | 0.7197 | 0.7276 | 0.7190 | 0.7165 | 0.7187 | 0.7199 |
| Std | 0.0013 | 0.0013 | 0.0012 | 0.0121 | 0.0016 | 0.0033 | 0.0112 | 0.0011 | ||
| 6 | Ave | 0.8044 | 0.8042 | 0.8045 | 0.8088 | 0.8046 | 0.7982 | 0.8006 | 0.8047 | |
| Std | 0.0034 | 0.0027 | 0.0011 | 0.0166 | 0.0048 | 0.0076 | 0.0152 | 0.0010 | ||
| 8 | Ave | 0.8553 | 0.8607 | 0.8583 | 0.8494 | 0.8540 | 0.8373 | 0.8497 | 0.8584 | |
| Std | 0.0089 | 0.0069 | 0.0028 | 0.0208 | 0.0125 | 0.0119 | 0.0204 | 0.0047 | ||
| 10 | Ave | 0.8856 | 0.8958 | 0.8938 | 0.8736 | 0.8915 | 0.8653 | 0.8836 | 0.8975 | |
| Std | 0.0121 | 0.0106 | 0.0056 | 0.0162 | 0.0141 | 0.0142 | 0.0124 | 0.0075 | ||
| Friedman-Rank | 4.17 | 4.21 | 3.92 | 4.22 | 4.46 | 6.73 | 4.89 | 3.42 | ||
| Final-Rank | 3 | 4 | 2 | 5 | 6 | 8 | 7 | 1 | ||
Disclaimer/Publisher’s Note: The statements, opinions and data contained in all publications are solely those of the individual author(s) and contributor(s) and not of MDPI and/or the editor(s). MDPI and/or the editor(s) disclaim responsibility for any injury to people or property resulting from any ideas, methods, instructions or products referred to in the content. |
© 2025 by the authors. Licensee MDPI, Basel, Switzerland. This article is an open access article distributed under the terms and conditions of the Creative Commons Attribution (CC BY) license (https://creativecommons.org/licenses/by/4.0/).
Share and Cite
Wang, Y.; Bao, Z.; Zhu, Q.; Lei, X. Multi-Threshold Image Segmentation Based on Reinforcement Learning–Thermal Conduction–Sine Cosine Algorithm (RLTCSCA): Symmetry-Driven Optimization for Image Processing. Symmetry 2025, 17, 2120. https://doi.org/10.3390/sym17122120
Wang Y, Bao Z, Zhu Q, Lei X. Multi-Threshold Image Segmentation Based on Reinforcement Learning–Thermal Conduction–Sine Cosine Algorithm (RLTCSCA): Symmetry-Driven Optimization for Image Processing. Symmetry. 2025; 17(12):2120. https://doi.org/10.3390/sym17122120
Chicago/Turabian StyleWang, Yijie, Zuowen Bao, Qianqian Zhu, and Xiang Lei. 2025. "Multi-Threshold Image Segmentation Based on Reinforcement Learning–Thermal Conduction–Sine Cosine Algorithm (RLTCSCA): Symmetry-Driven Optimization for Image Processing" Symmetry 17, no. 12: 2120. https://doi.org/10.3390/sym17122120
APA StyleWang, Y., Bao, Z., Zhu, Q., & Lei, X. (2025). Multi-Threshold Image Segmentation Based on Reinforcement Learning–Thermal Conduction–Sine Cosine Algorithm (RLTCSCA): Symmetry-Driven Optimization for Image Processing. Symmetry, 17(12), 2120. https://doi.org/10.3390/sym17122120

































































