Next Article in Journal
Robust Online Rotor Time Constant Tuning Method with High-Frequency Current Injection for Indirect Field-Oriented Induction Motor Drives
Previous Article in Journal
GeoText: Geodesic-Based 3D Text Generation on Triangular Meshes
 
 
Font Type:
Arial Georgia Verdana
Font Size:
Aa Aa Aa
Line Spacing:
Column Width:
Background:
Article

Performance Prediction of Air Source Heat Pumps Under Cold and Hot Ambient Temperatures Using ANFIS and ANN Models

by
Mehmet Numan Kaya
1,
Rıza Büyükzeren
2,* and
Abdülkadir Pektaş
3
1
Department of Mechanical Engineering, Faculty of Engineering, Necmettin Erbakan University, Konya 42140, Türkiye
2
Department of Energy Systems Engineering, Faculty of Engineering, Necmettin Erbakan University, Konya 42140, Türkiye
3
Department of Computer Engineering, Faculty of Engineering, Necmettin Erbakan University, Konya 42140, Türkiye
*
Author to whom correspondence should be addressed.
Symmetry 2025, 17(10), 1728; https://doi.org/10.3390/sym17101728
Submission received: 20 September 2025 / Revised: 3 October 2025 / Accepted: 10 October 2025 / Published: 14 October 2025
(This article belongs to the Section Engineering and Materials)

Abstract

Air source heat pumps (ASHPs) have become a promising alternative to conventional heating and cooling systems, making accurate performance prediction increasingly important. This study presents a comparative analysis of Adaptive Neuro-Fuzzy Inference System (ANFIS) and Artificial Neural Network (ANN) models for evaluating the ASHP performance under varying ambient conditions, examining the symmetry or asymmetry of prediction behavior across cold and hot regimes. Two experimental campaigns were carried out in a controlled climate room: the first primarily covering moderate to high temperatures ( 3   ° C to 36   ° C ), and the second mainly covering negative and low ambient temperatures ( 16   ° C to 18   ° C ). Performance data were collected to capture system behavior under diverse thermal conditions, making predictions more challenging. Both models were optimized, ANFIS through grid partitioning and ANN via architecture selection. Results demonstrate that ANN models achieved a superior overall accuracy, with mean absolute errors of 0.061 to 0.064 for cold and hot ambient conditions, respectively, showing a particularly strong performance under cold conditions. ANFIS demonstrated remarkable robustness in low-temperature predictions, maintaining less than 3% deviation across variations in water inlet temperature. Both approaches revealed temperature-dependent characteristics: cold-condition modeling required more complex architectures but yielded higher precision, whereas warm-condition modeling performed reliably with simpler configurations but showed slightly reduced accuracy.

1. Introduction

Air source heat pumps (ASHPs) have gained significant attention in recent years as an energy-efficient and environmentally friendly alternative to traditional heating and cooling systems [1]. They utilize ambient air as a heat source or heat sink, providing heating, cooling, and hot water supply capabilities for residential, commercial, and industrial applications [2]. The growing demand for energy-efficient technologies and the need to reduce greenhouse gas emissions have further accelerated the adoption of ASHPs in various regions [3,4].
Adaptive Neuro-Fuzzy Inference System (ANFIS) and Artificial Neural Network (ANN) models have been widely used for assessing the performance of various systems, including air source heat pumps. Several studies have compared the performance of ANFIS and ANN models and have found that the superiority of one model over the other depends on the specific application and input variables used. In the field of evapotranspiration estimation, Seifi and Riahi [5] found that the least square support vector machine (LSSVM) model outperformed the ANFIS and ANN models when similar meteorological input variables were used. Similar results were observed in the study by Kisi and Shiri [6], where ANN models generally performed better than the ANFIS model for predicting long-term monthly air temperature. On the other hand, in the context of heat pump performance prediction, Esen et al. [7] used ANNs to forecast the performance of a ground-coupled heat pump and found it to be effective. In an other study, Esen and Inalli [8] developed ANN and ANFIS models to evaluate the performance of a vertical ground source heat pump system. The models were trained using data from a real system and were able to accurately predict the performance parameters of the heat pump system. In the study by Zhuang et al. [9], ANN and ANFIS models were used to accurately predict the heat transfer performance of a ground heat exchanger for ground-coupled heat pump systems. The models were able to predict the coefficient of performance (COP) of the heat pump and the COPs of the ground-coupled heat pump system. Similarly, Sun et al. [10] developed ANN and ANFIS models to predict the COP of a ground source heat pump system. The models used input parameters such as water temperature leaving/entering the condenser and ground temperature to accurately predict the COP. The study showed that the ANFIS models had higher accuracy compared to the ANN models. Garud et al. [11] formulated several ANN and ANFIS models to predict the current, power, and thermal efficiency of a thermoelectric generator for waste heat recovery, and identified an optimum ANN model for accurate prediction. Naresh et al. [12] also reported that an ANFIS model with fuzzy weighted preprocessing technique gave better accuracy than the standard ANFIS model in the prediction of ground source heat pump performance. Gupta et al. [13] explored the performance measurement of a plate-fin heat exchanger and found that both ANFIS and ANN models were accurate, with statistical indicators used to assess their performance. Seo et al. [14] assessed the performance of VMD-based models and found that the VMD-ANFIS model outperformed the ANN and ANFIS models and was the most efficient model. Khan et al. [15] observed that an ANN-based model accurately predicted the rate of penetration in drilling better than an ANFIS model. While ANNs have often been found to outperform ANFIS models, it is important to note that the suitability of each model depends on the specific application and input variables used. Moghaddas et al. [16] compared the performance of APSO-ANN and APSO-ANFIS models in predicting the pressure loss in air–water two-phase slug flow and found that both models successfully determined the pressure loss coefficient. Similarly, Ye et al. [17] developed ANN models to predict the energy consumption of air-source heat pumps and found a higher correlation of determination compared to regression analysis. In summary, the performance of ANFIS and ANN models for assessing the performance of air source heat pumps can vary depending on the specific application and input variables used. While ANNs have generally been found to perform better in certain applications, such as evapotranspiration estimation and air temperature prediction, ANFIS models have also been shown to be effective in predicting the heat pump performance. It is important to carefully consider the specific requirements of each application when selecting the appropriate model.
This study aims to conduct a detailed comparative analysis of ANFIS and ANN models for predicting the performance of air source heat pumps under contrasting ambient temperature conditions. Unlike previous research that primarily relied on limited temperature ranges or simulation-based data, this work is grounded in two comprehensive experimental campaigns conducted in a controlled climate chamber. The first experiment was designed to capture ASHP behavior under extremely low, even negative, ambient temperatures, while the second focused on moderate to high ambient temperatures. This dual-experimental setup enables the evaluation of model robustness across a broad climatic spectrum. Both ANFIS and ANN models were trained and optimized using this experimentally acquired dataset. The findings are intended to support more informed model selection for ASHP performance forecasting, particularly in regions that experience severe seasonal weather variations.

2. Materials and Methods

Traditional approaches for performance assessment, such as empirical methods and regression-based models, have limitations in accurately capturing the complex nonlinear relationships and interactions involved in ASHP performance. As a result, there has been a growing interest in exploring advanced modeling techniques that can better capture the intricate dynamics of ASHPs.
ANN and Adaptive Neuro-Fuzzy Inference Systems (ANFISs) are two such advanced modeling techniques that have shown promise in various fields for their ability to learn complex patterns and make accurate predictions [18,19]. ANNs are computational models inspired by the structure and functionality of biological neural networks, capable of learning from data and capturing nonlinear relationships [20]. ANFIS, on the other hand, combines the advantages of fuzzy logic and neural networks to provide a hybrid modeling approach, allowing for linguistic inputs and fuzzy rules [21,22]. In the context of ASHP performance assessment, ANN and ANFIS models offer the potential to improve accuracy and provide robust estimations. These models can handle large datasets, consider multiple input variables, and adapt to varying climatic conditions, making them suitable for assessing ASHP performance in diverse environments. Before proceeding with the details of both models, brief information about the experimental setup and data will be presented.

2.1. Experimental Setup and Campaigns

2.1.1. Experimental Setup

The experimental setup consists of an environmental simulation (climate) room, a control unit, an air-source heat pump, a boiler, and a circulating pump. The overall configuration is illustrated in Figure 1. During operation, chilled water exits from the lower section of the boiler and is circulated to the heat pump via the pump. Within the heat pump, the water flows through a heat exchanger where it is heated by extracting thermal energy from the surrounding air. The heated water then returns to the boiler through its upper section, where it is stored for further use. Inside the boiler, thermal stratification naturally develops, with higher temperatures at the top and cooler layers toward the bottom. This cycle repeats continuously, as the cooled water at the bottom is again routed to the heat pump, completing one loop and initiating the next.
The system employs an 8 kW air-source heat pump capable of raising water temperature from 30 °C to 35 °C, starting from ambient air conditions of 7 °C, in accordance with EN 14511 standards [23]. A 270 L water storage tank is used, which is designed to support two independent heat sources as well as two auxiliary electric heaters if needed. To minimize thermal losses, all hydraulic pipelines are insulated with glass wool.
The climate chamber enables the precise control of ambient conditions, with adjustable air temperatures ranging from 17   ° C to 40   ° C and humidity variation limited to 5 %. During the experiments, ambient humidity was maintained consistently between 75 % and 80 %. The chamber also allows fine temperature adjustments in 0.1 °C increments, enabling the accurate simulation of real-world operating conditions. Integrated within the chamber are multiple temperature and humidity sensors that provide the accurate real-time monitoring of environmental conditions. Ambient temperature and humidity values are determined by averaging the measurements from these sensors. The key operating variables of the climate chamber and the experimental setup, together with the measurement ranges and uncertainties of the instruments, are summarized in Table 1. Photographs of the experimental setup components are presented in Figure 2.
Temperature data were recorded at 15 s intervals using sensors with a resolution of 0.1 °C. Key parameters monitored include the coefficient of performance (COP), heat pump inlet and outlet temperatures, and the temperature distribution inside the storage tank. COP values were directly obtained from the heat pump, while the inlet and outlet temperatures were measured at the water tank interface. The average tank temperature was tracked by a sensor positioned at the vertical midpoint of the tank.
Throughout all experiments, the water inlet temperature was varied between 15 °C and 55 °C, while a constant flow rate of 1.65 m3/h was maintained to ensure steady-state conditions. COP values ranged between 1.5 and 8.5, providing a comprehensive assessment of the heat pump’s thermal performance under varying operating scenarios.
All water pipelines entering and exiting the heat pump are insulated to minimize thermal losses, and temperature sensors are placed at both the inlet and outlet to monitor the water temperatures during experiments.

2.1.2. Experimental Campaigns

Two distinct experimental campaigns were conducted to evaluate the performance of the air source heat pump under varying ambient temperature conditions. The temperature ranges were designed as generalized representations of typical climatic conditions and constrained by the operational limits of both the climate chamber and the tested ASHP.
The first campaign covered 3 to 36   ° C , reflecting conditions of temperate to warm regions such as the Mediterranean basin, parts of southern Europe, or interior Anatolia, where winters are relatively mild and summers often exceed 30   ° C . This stage primarily addressed the heat pump’s behavior under transitional to hot ambient conditions.
The second campaign spanned 16 to 18   ° C , representing colder climates typical of Nordic countries, Canada, or northern Asia, where winters can drop well below 15   ° C but summer and transitional months frequently fall within the 10–18 °C range. This phase focused on evaluating the heat pump’s behavior under cold ambient conditions.

2.2. ANN and ANFIS Models

2.2.1. ANN Model

Artificial Neural Networks (ANNs), inspired by the structure of the human brain, are widely used for solving nonlinear and complex engineering problems [24]. A typical ANN comprises three layers: an input layer, one or more hidden layers, and an output layer. Each neuron within these layers processes incoming data and transmits the result to the next connected neuron. The interconnection and weight optimization of these neurons allow ANNs to generalize and model nonlinear relationships effectively [25,26].
In this study, ANN architectures were trained to predict two key performance parameters of the air source heat pump: the coefficient of performance (COP) and the outlet water temperature. The input layer receives two parameters: the ambient air temperature and the inlet water temperature. The output layer consists of a single neuron that produces the predicted value. The ANN architectures and their abbreviations used in this study are given in Table 2.
To investigate the effect of the number of neurons in the hidden layer and the impact of the training strategy, various configurations were tested. Specifically, the number of hidden neurons was varied from 2 to 15, and twelve different training algorithms were evaluated. The data were split into 80% for training and 20% for testing.

2.2.2. Adaptive Neuro-Fuzzy Inference System (ANFIS) Model

Fuzzy logic provides a framework for modeling uncertain or imprecise real-world phenomena [27], while its integration with neural networks enables adaptive learning capabilities [28,29]. The Adaptive Neuro-Fuzzy Inference System (ANFIS) combines the structural advantages and learning ability of artificial neural networks with fuzzy rule-based inference mechanisms. In this study, we implemented an ANFIS model with two input parameters (ambient temperature and water inlet temperature) and a single output (COP), maintaining consistency with the ANN model architecture. Similarly to the ANN model, the dataset was divided into 80% for training and 20% for testing. The model was constructed using grid partitioning, with grid configurations systematically varied from 3 × 3 to 8 × 8 to identify the optimal ANFIS structure. Figure 3 shows a representative ANFIS model with an 8 × 5 grid partitioning configuration, demonstrating how the two-dimensional input space is systematically divided into rectangular regions, with each grid cell representing a distinct fuzzy rule that contributes to the COP prediction.

3. Results and Discussions

The comprehensive evaluation of ANN models across different temperature regimes yielded important insights into algorithm performance. Figure 4 and Figure 5 present the mean absolute error (MAE) values achieved by various training algorithms with different hidden layer configurations for the warm and cold experimental conditions, respectively.
For the warm temperature conditions (Figure 4), the BFGS Quasi–Newton (trainbfg) algorithm demonstrated exceptional performance, achieving the lowest MAE of 0.064 with 12 hidden layers. This configuration outperformed other approaches in the warm temperature regime, where MAE values generally ranged between 0.064 and 0.132. The Bayesian Regularization (trainbr) method showed particularly stable performance across different network architectures, with MAE values consistently below 0.0864.
In cold temperature conditions (Figure 5), the BFGS Quasi–Newton algorithm again emerged as the top performer, reaching an even lower MAE of 0.0610 with 14 hidden layers. The cold condition results revealed several important patterns: first, the overall MAE range was notably tighter compared to warm conditions; second, multiple algorithms (trainbfg, trainoss, and trainlm) achieved MAE values below 0.0630; and third, the optimal hidden layer size increased to 14 layers for the best-performing configuration. Similar ANN-based approaches have also been shown to provide accurate heat pump performance predictions in the literature. For example, Esen et al. [7] reported the reliable forecasting of ground-coupled heat pump systems using ANN models, while Sun et al. [10] confirmed that properly trained ANN configurations can achieve high accuracy in predicting the COP of heat pumps. Our findings, particularly the lower MAE values in cold conditions, are consistent with these studies, highlighting ANN’s suitability for nonlinear heat pump performance modeling.
The comparative analysis highlights several key findings regarding ANN prediction in cold and hot regimes. First, ANN models consistently achieved better performance in cold-temperature-dominant conditions compared to warm-temperature-dominant ones, with the best cold-condition MAE being approximately 5% lower than the best warm-condition result. Prediction errors were not symmetric between cold and hot regimes; accuracy was consistently higher in cold conditions. Similarly, the COP sensitivity to ambient temperature was stronger than that to water inlet temperature, revealing input–response asymmetry. Second, the BFGS Quasi–Newton algorithm demonstrated remarkable versatility, delivering top performance in both temperature regimes. Third, the optimal network architecture showed temperature-dependent characteristics, with cold conditions favoring slightly larger networks. These findings underscore the importance of temperature-specific model optimization for achieving maximum predictive accuracy in ASHP performance assessment.
The ANFIS model performance was evaluated across different grid partition configurations for both temperature ranges, as shown in Figure 6. The subfigures present the MAE values for (a) warm and (b) cold conditions, with grid partitions varying from 3 × 3 to 10 × 10 along both axes representing the input variable partitions.
The analysis revealed significant differences in ANFIS configurations. For warm conditions, the 7 × 4 grid partition achieved the best performance with MAE = 0.0753. This configuration balanced complexity and accuracy, outperforming both simpler and more complex partitions. The MAE values for warm conditions ranged from 0.0753 to 0.0887, with performance degrading more noticeably with larger partition sizes beyond 8 × 8. Under cold conditions, the model demonstrated superior overall performance, with the 7 × 6 partition yielding the lowest MAE of 0.0488—a 35.2% improvement over the best warm condition result. The cold temperature predictions showed greater robustness, maintaining MAE values below 0.052 across a wider range of partition sizes. This suggests that cold condition modeling benefits from the slightly more granular partitioning of the input variables, particularly for water inlet temperature. The comparative analysis highlights three key findings: (1) ANFIS achieves significantly better accuracy in cold temperature prediction; (2) optimal partition sizes differ substantially between temperature regimes; and (3) cold condition modeling is less sensitive to exact partition size selection. Overall, the findings demonstrate that temperature-specific ANFIS configuration is essential for optimal ASHP performance prediction, with cold conditions requiring the more detailed partitioning of water temperature inputs while warm conditions perform best with moderately sized rule bases. The superior accuracy observed in the ANFIS configurations is in line with that of previous studies. For instance, Esen and Inalli [8] demonstrated the effectiveness of ANFIS for vertical ground source heat pump systems, and Zhuang et al. [9] reported that ANFIS could capture the detailed heat transfer performance characteristics of ground heat exchangers.
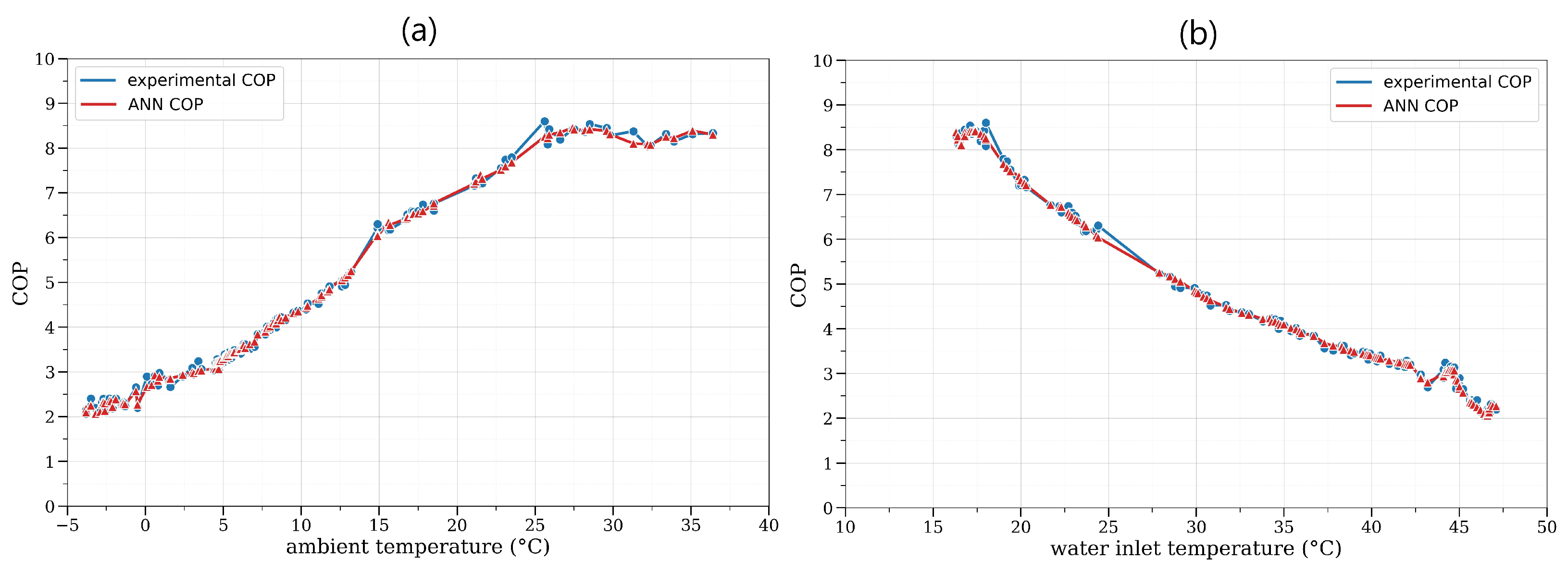
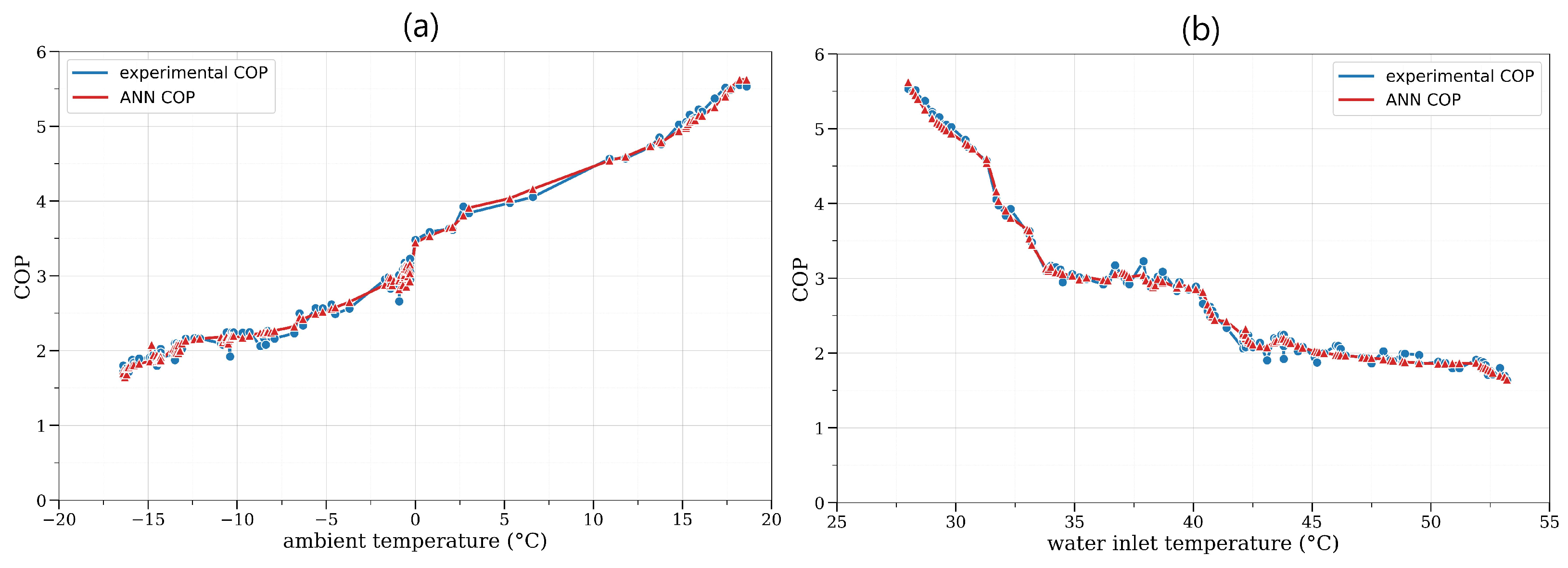
Figure 7 presents the combined comparison of experimental COP values with predictions from the best-performing warm condition ANN, showing both ambient temperature and water inlet temperature relationships in a single visualization. The model demonstrates excellent agreement across both parameters, with ≤5% deviation for ambient temperatures and ±3% accuracy for water inlet temperatures. Particularly strong alignment ( R 2 > 0.98 ) occurs in the most common operational ranges (5 °C–30 °C ambient and 20 °C–45 °C water inlet), confirming the model’s robustness for typical operating conditions.
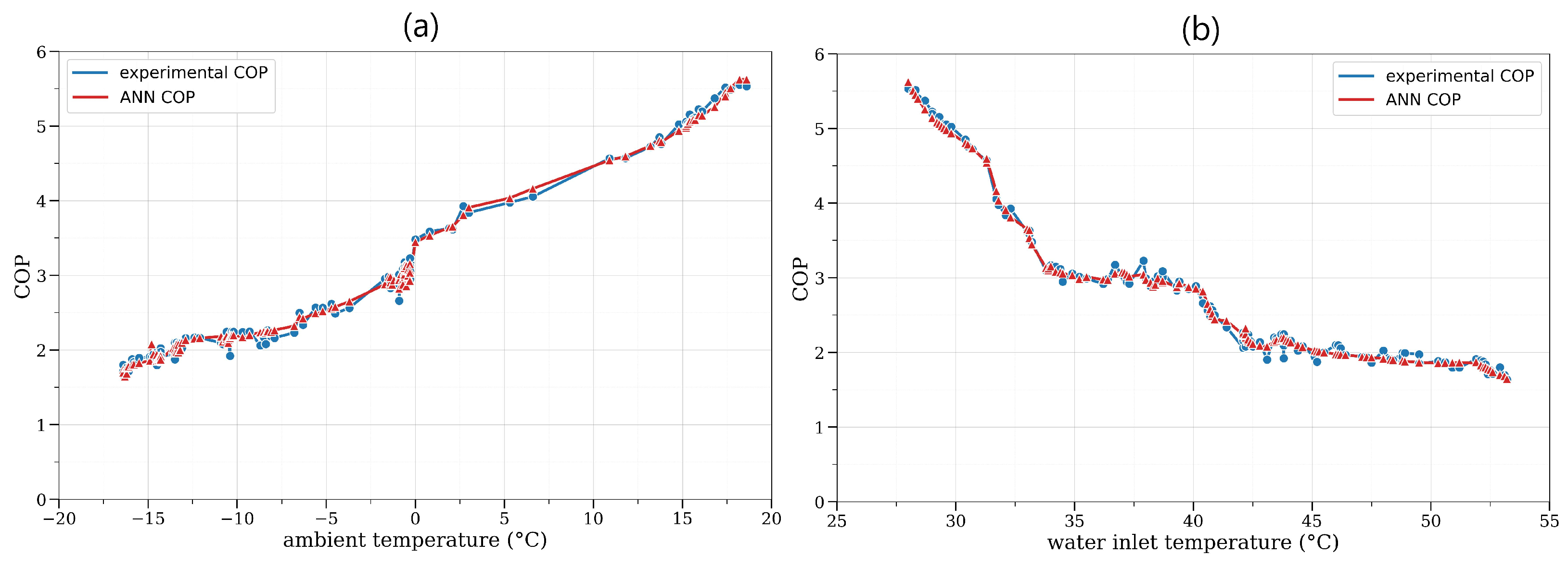
Figure 8 displays the comparison for the best cold-condition ANN (trainbfg with 14 hidden layers). The model achieves exceptional accuracy across the full ambient temperature range, including sub-zero conditions. For water inlet temperatures, the predictions maintain remarkable precision (<2% deviation), demonstrating consistent performance across all operating conditions under cold climates.
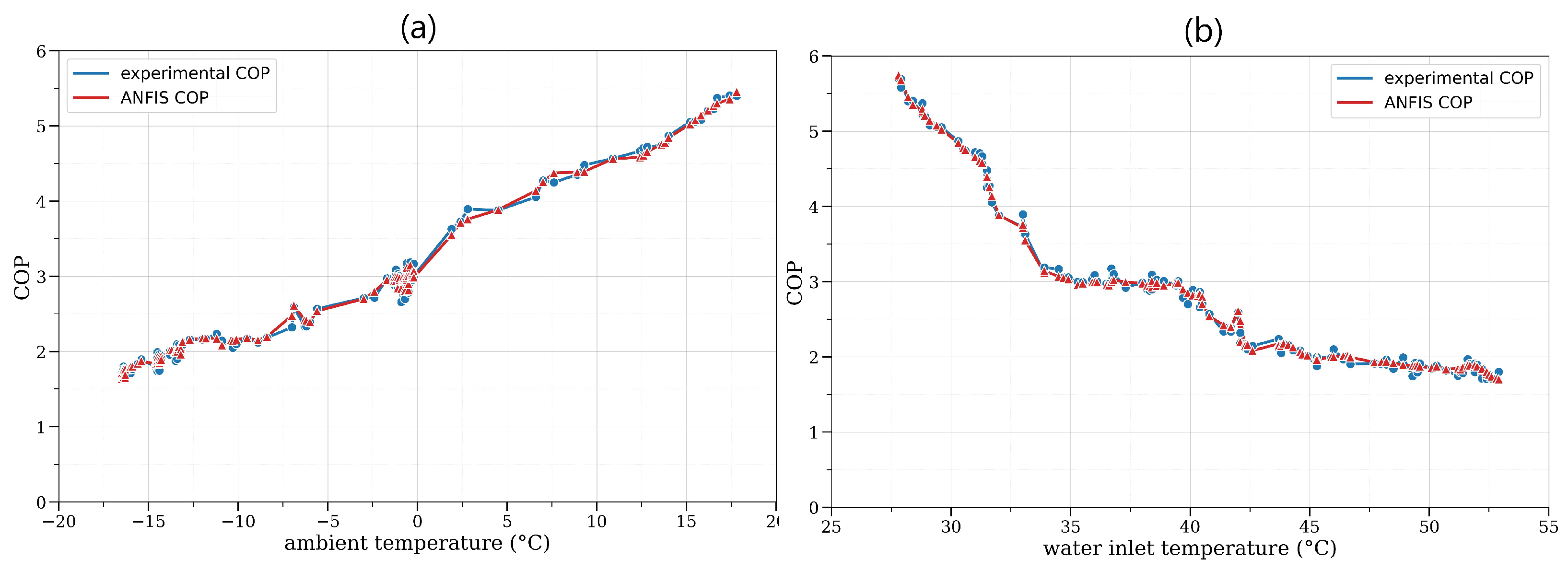
The comparative analysis of ANN and ANFIS predictions reveals several key insights: Both models show excellent predictive capability, with the cold-condition models demonstrating superior overall performance. Both ANN and ANFIS predictions were not symmetric between cold and hot regimes; accuracy was consistently higher under cold conditions. Generally, COP sensitivity to ambient temperature was stronger than that to water inlet temperature, revealing input–response asymmetry. The warm-condition models show slightly reduced accuracy at temperature extremes, particularly for ambient temperatures below 0 °C. Water inlet temperature relationships are captured with higher precision than ambient temperature dependencies in both models. Both cold-condition models maintain exceptional accuracy across all tested ranges, suggesting particular suitability for low-temperature applications.
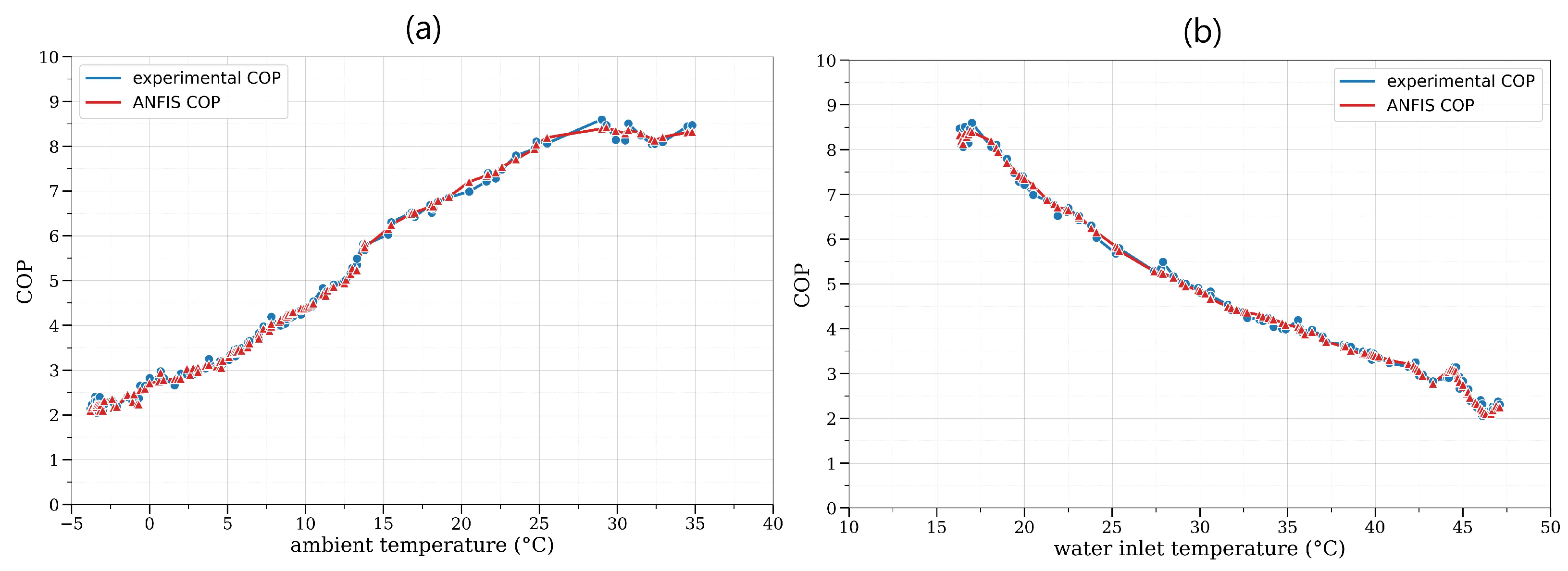
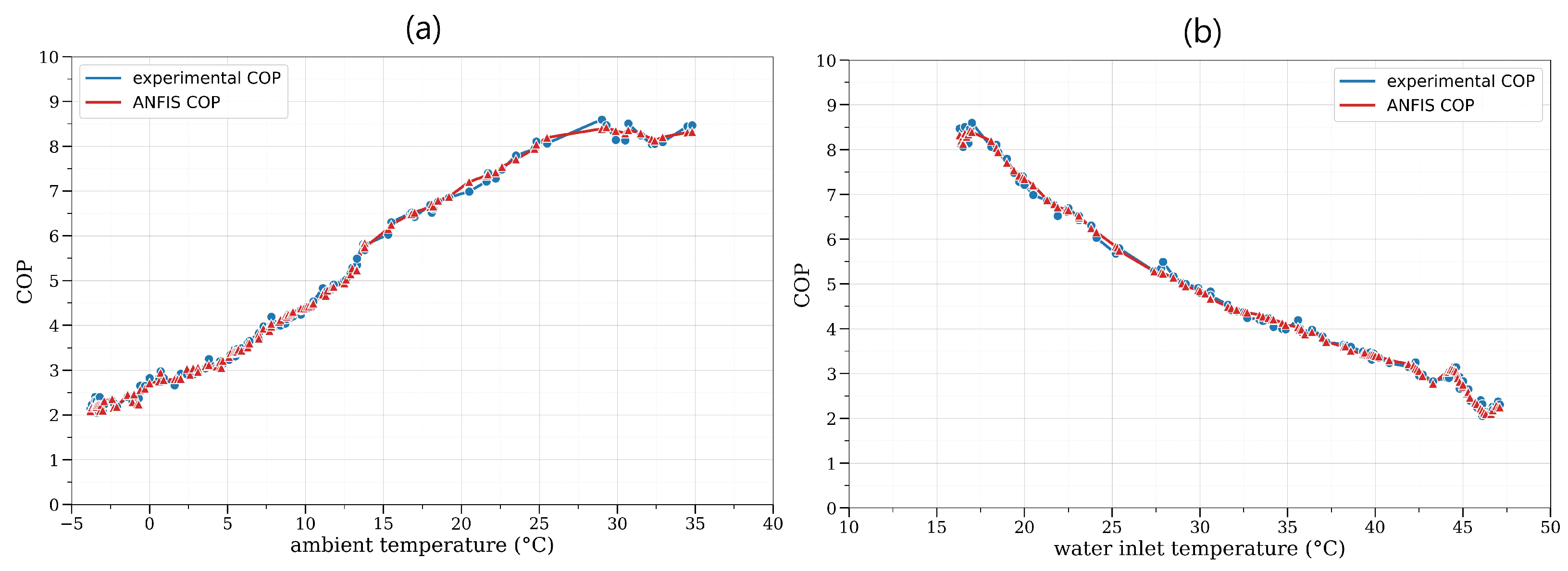
Figure 9 presents the performance of the best warm-condition ANFIS model comparing predicted and experimental COP values across both (a) ambient temperature and (b) water inlet temperature variations. The model demonstrates strong agreement with experimental data, particularly in the 5 °C–30 °C ambient range and 20 °C–45 °C water inlet range where most operations occur. Minor deviations appear at temperature extremes, suggesting slightly reduced accuracy for boundary conditions.
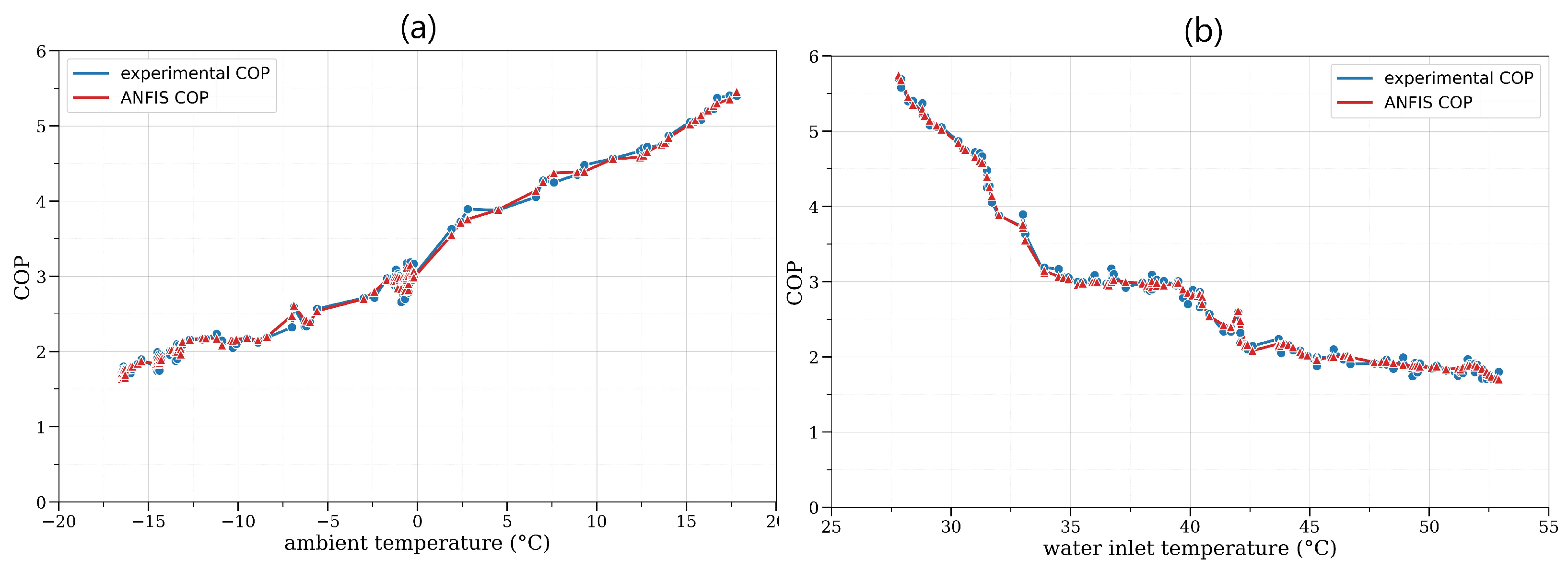
Figure 10 shows the corresponding results for the best cold-condition ANFIS model (7 × 6 grid partition). Remarkably, the model maintains excellent agreement across the full ambient temperature range, including sub-zero conditions. The water inlet temperature relationship shows even better precision (<3% deviation), confirming the model’s robustness for diverse cold-climate operations.

4. Conclusions

This study comprehensively investigated the performance prediction of air source heat pumps under cold and hot ambient temperatures using ANFIS and ANN models. Several key conclusions can be drawn: First, both modeling approaches demonstrated a strong predictive capability when properly configured for specific temperature regimes. The ANN models, particularly the BFGS Quasi–Newton algorithm with 12–14 hidden layers, achieved excellent overall accuracy, with cold-temperature-dominant condition predictions achieving approximately 35% lower MAE than warm-temperature-dominant condition predictions. The consistent <2% deviation across water inlet temperatures confirms the robustness of ANN predictions for COP estimation. ANFIS models revealed distinct advantages in low-temperature applications. The optimal 7 × 6 grid partition configuration for cold conditions maintained exceptional accuracy, MAE = 0.0488, with <3% deviation across water inlet variations, outperforming its warm-condition counterpart. This suggests ANFIS’s particular suitability for cold and sub-zero temperature predictions. The comparative analysis revealed fundamental differences in model behavior. ANN architectures required increased complexity for cold conditions, while ANFIS benefited from finer grid partitioning. Both models showed higher accuracy in capturing water inlet temperature effects compared to ambient temperature variations. The findings indicate that the prediction difficulty is not symmetric across regimes and input variables, emphasizing the need to account for these asymmetries when evaluating the ASHP performance. In summary, the results demonstrate the following: (1) ANN models are recommended for general-purpose ASHP performance prediction, especially when high accuracy across diverse conditions is needed; (2) ANFIS offers advantages for specialized low-temperature applications where its rule-based structure captures cold condition behavior more effectively; and (3) one should always consider the specific temperature range of the intended application, as both approaches showed significant performance variations between warm and cold conditions.

Author Contributions

M.N.K.: Writing—review and editing, Writing—original draft, Visualization, Validation, Methodology, Investigation, Conceptualization. R.B.: Writing—review and editing, Writing—original draft, Methodology, Investigation, Conceptualization, Validation, Resources. A.P.: Writing—review and editing, Writing—original draft, Validation, Software, Formal analysis, Data curation. All authors have read and agreed to the published version of the manuscript.

Funding

This research received no external funding.

Data Availability Statement

The original contributions presented in this study are included in the article. Further inquiries can be directed to the corresponding author.

Acknowledgments

The authors would like to thank Solimpeks Solar Energy Corp. for their support during this work.

Conflicts of Interest

The authors declare no conflicts of interest.

References

  1. Lee, M.-Y.; Garud, K.S.; Jeon, H.-B.; Lee, H.-S. A Study on Performance Characteristics of a Heat Pump System with High-Pressure Side Chiller for Light-Duty Commercial Electric Vehicles. Symmetry 2020, 12, 1237. [Google Scholar] [CrossRef]
  2. de Melo Resende, S.I.; Diniz, H.A.G.; Machado, L.; de Faria, R.N.; de Oliveira, R.N. Dynamic modeling of an R290 direct-expansion solar-assisted heat pump: Performance analysis for efficient hot water production under different conditions. J. Build. Eng. 2025, 100, 111687. [Google Scholar] [CrossRef]
  3. Buyukzeren, R.; Kahraman, A. A comparative study on the application of solar thermal collector and photovoltaic combinations to assist an air source heat pump. J. Therm. Anal. Calorim. 2024, 149, 9413–9428. [Google Scholar] [CrossRef]
  4. Özden, E.; Kaya, M.N. Comprehensive analysis of key design parameters affecting the efficiency of flat plate solar thermal collectors. CaseStudies Therm. Eng. 2025, 73, 106458. [Google Scholar] [CrossRef]
  5. Seifi, A.; Riahi, H. Estimating daily reference evapotranspiration using hybrid gamma test-least square support vector machine, gamma test-ann, and gamma test-anfis models in an arid area of iran. J. Water Clim. Chang. 2020, 11, 217–240. [Google Scholar] [CrossRef]
  6. Kisi, O.; Shiri, J. Prediction of long-term monthly air temperature using geographical inputs. Int. J. Climatol. 2014, 34, 179–186. [Google Scholar] [CrossRef]
  7. Esen, H.; Inalli, M.; Sengur, A.; Esen, M. Forecasting of a ground-coupled heat pump performance using neural networks with statistical data weighting pre-processing. Int. J. Therm. Sci. 2008, 47, 431–441. [Google Scholar] [CrossRef]
  8. Esen, H.; Inalli, M. Ann and anfis models for performance evaluation of a vertical ground source heat pump system. Expert Syst. Appl. 2010, 37, 8134–8147. [Google Scholar] [CrossRef]
  9. Zhuang, Z.; Ben, X.; Yan, R.; Pang, J.; Li, Y. Accurately predicting heat transfer performance of ground heat exchanger for ground-coupled heat pump systems using data mining methods. Neural Comput. Appl. 2017, 28, 3993–4010. [Google Scholar] [CrossRef]
  10. Sun, W.; Hu, P.; Lei, F.; Zhu, N.; Jiang, Z. Case study of performance evaluation of ground source heat pump system based on ann and anfis models. Appl. Therm. Eng. 2015, 87, 586–594. [Google Scholar] [CrossRef]
  11. Garud, K.S.; Seo, J.H.; Cho, C.P.; Lee, M.Y. Artificial neural network and adaptive neuro-fuzzy interface system modelling to predict thermal performances of thermoelectric generator for waste heat recovery. Symmetry 2020, 12, 259. [Google Scholar] [CrossRef]
  12. Naresh, C.; Bose, P.; Rao, C. Artificial neural networks and adaptive neuro-fuzzy models for predicting wedm machining responses of nitinol alloy: Comparative study. SN Appl. Sci. 2020, 2, 314. [Google Scholar] [CrossRef]
  13. Gupta, A.K.; Kumar, P.; Sahoo, R.K.; Sahu, A.K.; Sarangi, S.K. Performance measurement of plate fin heat exchanger by exploration: Ann, anfis, ga, and sa. J. Comput. Des. Eng. 2017, 4, 60–68. [Google Scholar] [CrossRef]
  14. Seo, Y.; Kim, S.; Singh, V.P. Comparison of different heuristic and decomposition techniques for river stage modeling. Environ. Assess. 2018, 190, 392. [Google Scholar] [CrossRef]
  15. Khan, M.R.; Sadeed, A.; Kalam, S.; Abu-Khamsin, S.; Abdulraheem, A.; Khan, R.A.; Abbasi, A. Integration of formation and drilling parameters to generate a deterministic rop model. In Proceedings of the Offshore Technology Conference, OTC, Houston, TX, USA, 2–5 May 2022; p. D012S057R005. [Google Scholar]
  16. Moghaddas, F.; Kabiri-Samani, A.; Zekri, M.; Azamathulla, H.M. Combined apso-ann and apso-anfis models for prediction of pressure loss in air-water two-phase slug flow in a horizontal pipeline. J. Hydroinform. 2021, 23, 88–102. [Google Scholar] [CrossRef]
  17. Ye, K.; Demirezen, G.; Fung, A.; Janssen, E. The use of artificial neural networks (ann) in the prediction of energy consumption of air-source heat pump in retrofit residential housing. IOP Conf. Ser. Earth Environ. Sci. 2020, 463, 012165. [Google Scholar] [CrossRef]
  18. Guzel, M.H.; Unal, R.E.; Onder, A.; Sen, M.A.; Kose, F. The fuzzy logic-based modeling of a micro-scale sloped solar chimney power plant. J. Mech. Sci. Technol. 2021, 35, 1301–1308. [Google Scholar] [CrossRef]
  19. Ünler, T.; Seyfi, L. Experimental investigation of range measurement error for radar under different weather conditions. Proc. Bulg. Acad. Sci. 2022, 75, 1325–1333. [Google Scholar] [CrossRef]
  20. Dave, H.; Vakharia, V.; Panchal, H.; Siddiqui, M.I.H.; Dobrotă, D. Ann and multilayer-elm based prediction of combustion, performance and emission characteristics of a diesel engine fuelled with diesel-dtbp blends. Case Stud. Therm. Eng. 2025, 72, 106323. [Google Scholar] [CrossRef]
  21. Naphon, P.; Arisariyawong, T.; Wiriyasart, S.; Srichat, A. Anfis for analysis friction factor and nusselt number of pulsating nanofluids flow in the fluted tube under magnetic field. Case Stud. Therm. Eng. 2020, 18, 100605. [Google Scholar] [CrossRef]
  22. Ye, B.; Zhou, W. Efficiency increment of cfd modeling by using anfis artificial intelligence for thermal-based separation modeling. CaseStudies Therm. Eng. 2024, 60, 104820. [Google Scholar] [CrossRef]
  23. EN 14511-2; Air Conditioners, Liquid Chilling Packages and Heat Pumps for Space Heating and Cooling and Process Chillers, with Electrically Driven Compressors—Part 2: Test Conditions. European Committee for Standardization (CEN): Brussels, Belgium, 2018.
  24. Yang, X. Artificial Neural Networks. In Handbook of Research on Geoinformatics; Karimi, H.A., Ed.; IGI Global: Hershey, PA, USA, 2009; pp. 122–128. [Google Scholar]
  25. Abraham, A. Artificial neural networks. In Handbook of Measuring System Design; John Wiley & Sons: Chichester, UK, 2005. [Google Scholar]
  26. Wu, Y.C.; Feng, J.W. Development and application of artificial neural network. Wirel. Pers. Commun. 2018, 102, 1645–1656. [Google Scholar] [CrossRef]
  27. Yen, J. Fuzzy logic—a modern perspective. IEEE Trans. Knowl. Data Eng. 1999, 11, 153–165. [Google Scholar] [CrossRef]
  28. Mendel, J.M. Fuzzy logic systems for engineering: A tutorial. Proc. IEEE 1995, 83, 345–377. [Google Scholar] [CrossRef]
  29. Karaboga, D.; Kaya, E. Adaptive network based fuzzy inference system (ANFIS) training approaches: A comprehensive survey. Artif. Rev. 2019, 52, 2263–2293. [Google Scholar] [CrossRef]
Figure 1. General view of the experimental setup.
Figure 1. General view of the experimental setup.
Symmetry 17 01728 g001
Figure 2. Photographs of the experimental setup components.
Figure 2. Photographs of the experimental setup components.
Symmetry 17 01728 g002
Figure 3. A representative ANFIS model with a 8 × 5 grid partitioning configuration for ambient temperature (input1) and water inlet temperature (input2).
Figure 3. A representative ANFIS model with a 8 × 5 grid partitioning configuration for ambient temperature (input1) and water inlet temperature (input2).
Symmetry 17 01728 g003
Figure 4. MAE values of different ANN configurations for the warm temperature range (−3 °C to 36 °C) with lower values indicating better predictive performance. The color gradient from green to red represents increasing MAE values.
Figure 4. MAE values of different ANN configurations for the warm temperature range (−3 °C to 36 °C) with lower values indicating better predictive performance. The color gradient from green to red represents increasing MAE values.
Symmetry 17 01728 g004
Figure 5. MAE values of different ANN configurations for the cold temperature range (−16 °C to 18 °C) with lower values indicating better predictive performance. The color gradient from green to red represents increasing MAE values.
Figure 5. MAE values of different ANN configurations for the cold temperature range (−16 °C to 18 °C) with lower values indicating better predictive performance. The color gradient from green to red represents increasing MAE values.
Symmetry 17 01728 g005
Figure 6. MAE values of ANFIS configurations across different grid partition sizes for (a) warm and (b) cold temperature conditions. The color gradient from green to red represents increasing MAE values.
Figure 6. MAE values of ANFIS configurations across different grid partition sizes for (a) warm and (b) cold temperature conditions. The color gradient from green to red represents increasing MAE values.
Symmetry 17 01728 g006
Figure 7. Comparison of experimental COP with best warm-condition ANN predictions showing relationships with both (a) ambient temperature and (b) water inlet temperature.
Figure 7. Comparison of experimental COP with best warm-condition ANN predictions showing relationships with both (a) ambient temperature and (b) water inlet temperature.
Symmetry 17 01728 g007
Figure 8. Comparison of experimental COP with best cold-condition ANN predictions showing relationships with both (a) ambient temperature and (b) water inlet temperature.
Figure 8. Comparison of experimental COP with best cold-condition ANN predictions showing relationships with both (a) ambient temperature and (b) water inlet temperature.
Symmetry 17 01728 g008
Figure 9. Performance of best warm-condition ANFIS model (7 × 4 grid): (a) COP versus ambient temperature; and (b) COP versus water inlet temperature.
Figure 9. Performance of best warm-condition ANFIS model (7 × 4 grid): (a) COP versus ambient temperature; and (b) COP versus water inlet temperature.
Symmetry 17 01728 g009
Figure 10. Performance of the best cold-condition ANFIS model (7 × 6 grid): (a) COP versus ambient temperature; (b) COP versus water inlet temperature.
Figure 10. Performance of the best cold-condition ANFIS model (7 × 6 grid): (a) COP versus ambient temperature; (b) COP versus water inlet temperature.
Symmetry 17 01728 g010
Table 1. Details of climate room and experimental devices.
Table 1. Details of climate room and experimental devices.
Climate Room Data
Max. ambient temperature40 °C
Min. ambient temperature−17 °C
Temperature adjustment0.1 °C
Humidity variation limit5 %
Data recording period15 s
Experimental Data
Min. water inlet temperature15 °C
Max. water inlet temperature55 °C
Ambient humidity75–80%
Flow rate1.65 m3/h
COP1.5–8.5
Range and standard accuracy of device/sensor
Temperature sensor−50 to 250 °C and 0.1%
Magnetic flowmeter0 to 6.36 m3/h and 0.5%
Humidity sensor5 to 100 % and 5%
Table 2. ANN configurations tested in this study.
Table 2. ANN configurations tested in this study.
Training AlgorithmAbbreviation
Levenberg–Marquardttrainlm
Bayesian regularizationtrainbr
BFGS Quasi–Newtontrainbfg
Resilient backpropagationtrainrp
Scaled conjugate gradienttrainscg
Conjugate gradient with Powell–Beale restartstraincgb
Conjugate gradient with Fletcher–Reeves updatestraincgf
Conjugate gradient with Polak–Ribière updatestraincgp
One-step secanttrainoss
Gradient descent with adaptive learningtraingdx
Gradient descent with momentumtraingdm
Gradient descenttraingd
Disclaimer/Publisher’s Note: The statements, opinions and data contained in all publications are solely those of the individual author(s) and contributor(s) and not of MDPI and/or the editor(s). MDPI and/or the editor(s) disclaim responsibility for any injury to people or property resulting from any ideas, methods, instructions or products referred to in the content.

Share and Cite

MDPI and ACS Style

Kaya, M.N.; Büyükzeren, R.; Pektaş, A. Performance Prediction of Air Source Heat Pumps Under Cold and Hot Ambient Temperatures Using ANFIS and ANN Models. Symmetry 2025, 17, 1728. https://doi.org/10.3390/sym17101728

AMA Style

Kaya MN, Büyükzeren R, Pektaş A. Performance Prediction of Air Source Heat Pumps Under Cold and Hot Ambient Temperatures Using ANFIS and ANN Models. Symmetry. 2025; 17(10):1728. https://doi.org/10.3390/sym17101728

Chicago/Turabian Style

Kaya, Mehmet Numan, Rıza Büyükzeren, and Abdülkadir Pektaş. 2025. "Performance Prediction of Air Source Heat Pumps Under Cold and Hot Ambient Temperatures Using ANFIS and ANN Models" Symmetry 17, no. 10: 1728. https://doi.org/10.3390/sym17101728

APA Style

Kaya, M. N., Büyükzeren, R., & Pektaş, A. (2025). Performance Prediction of Air Source Heat Pumps Under Cold and Hot Ambient Temperatures Using ANFIS and ANN Models. Symmetry, 17(10), 1728. https://doi.org/10.3390/sym17101728

Note that from the first issue of 2016, this journal uses article numbers instead of page numbers. See further details here.

Article Metrics

Back to TopTop