Illuminating Dark Matter Admixed in Neutron Stars with Simultaneous Mass–Radius Constraints
Abstract
1. Introduction
2. Theoretical Framework
2.1. The EOS of Nuclear Matter
2.2. The EOS of Dark Matter
2.3. Two-Fluid TOV Equations
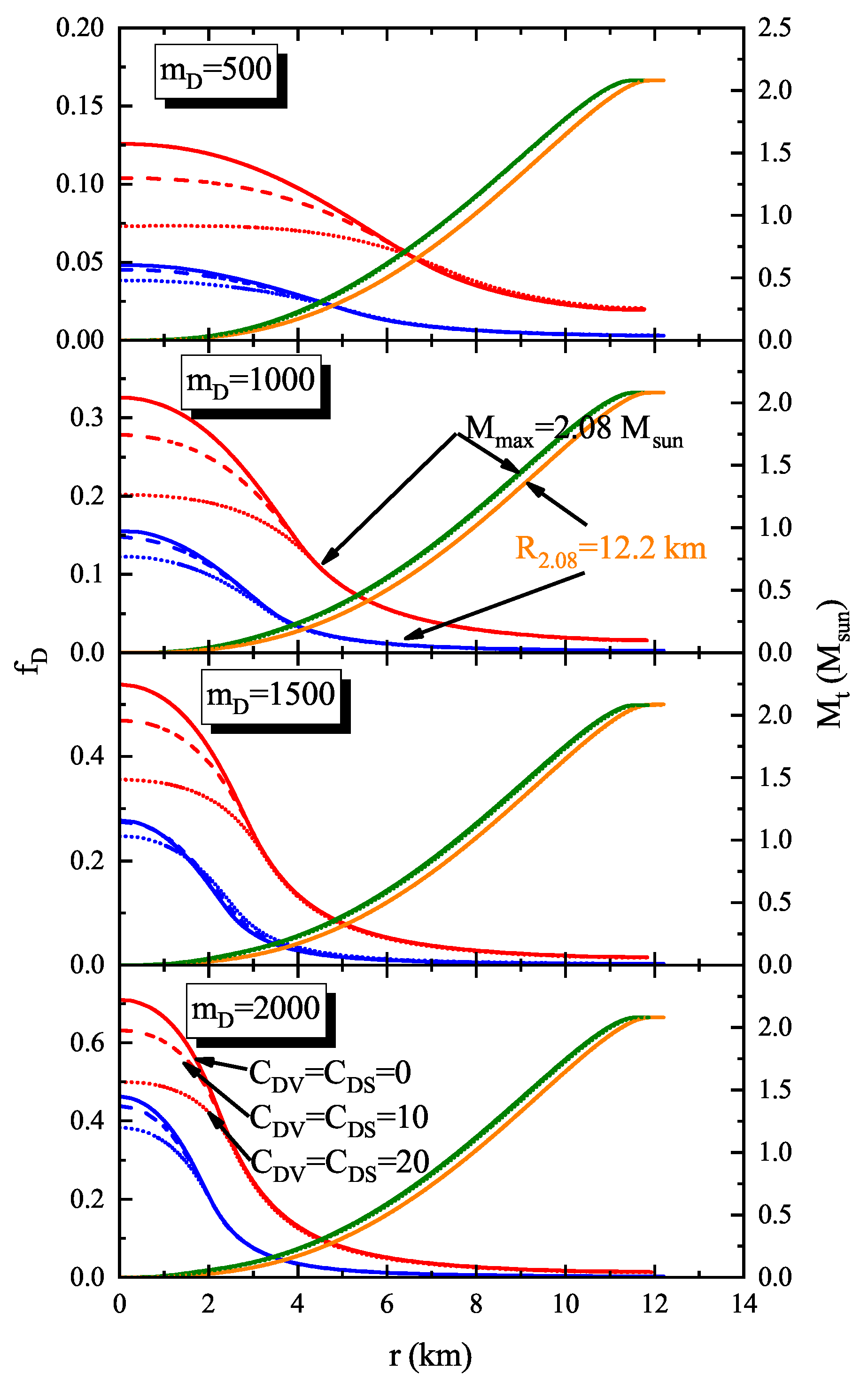
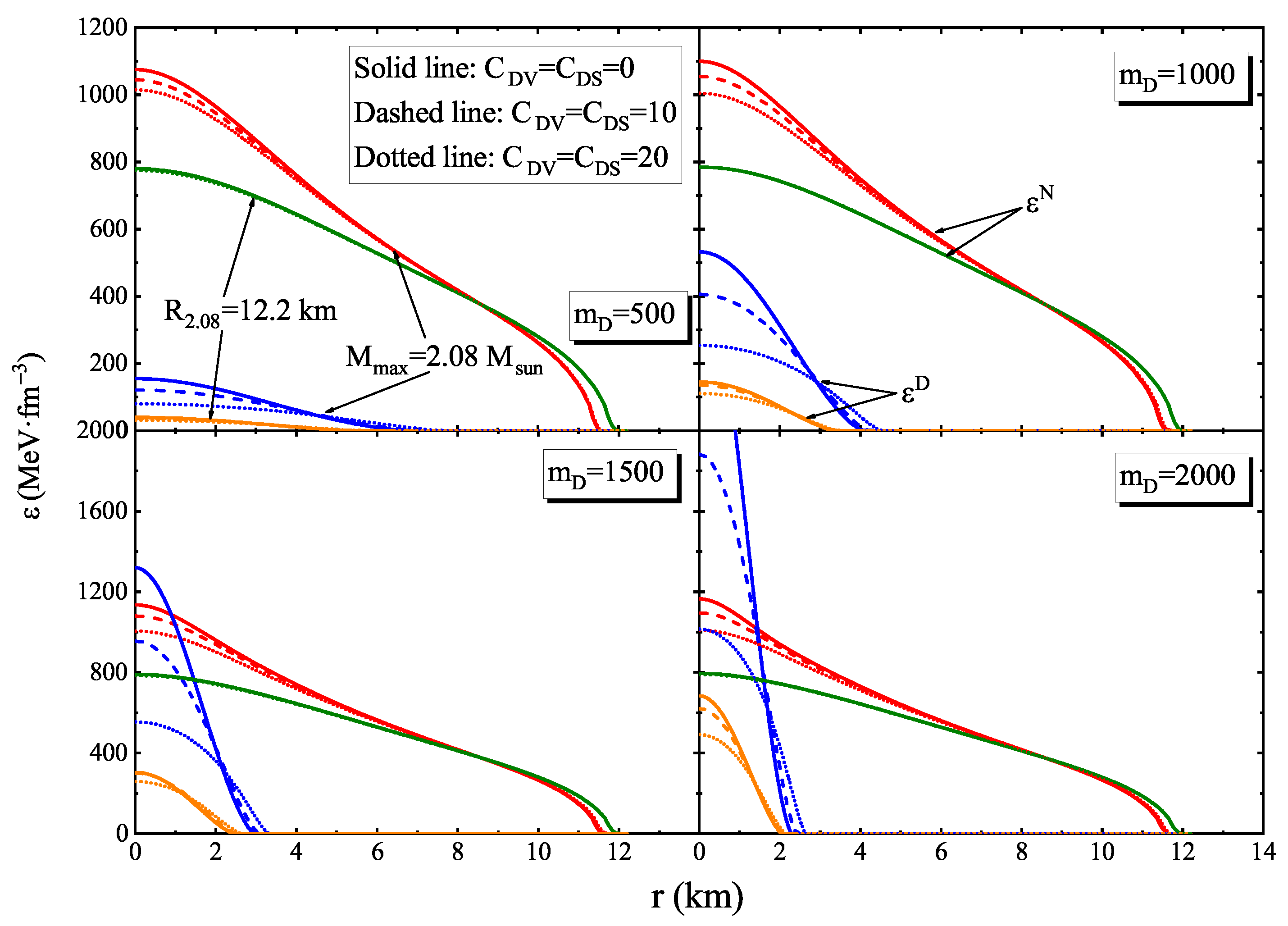
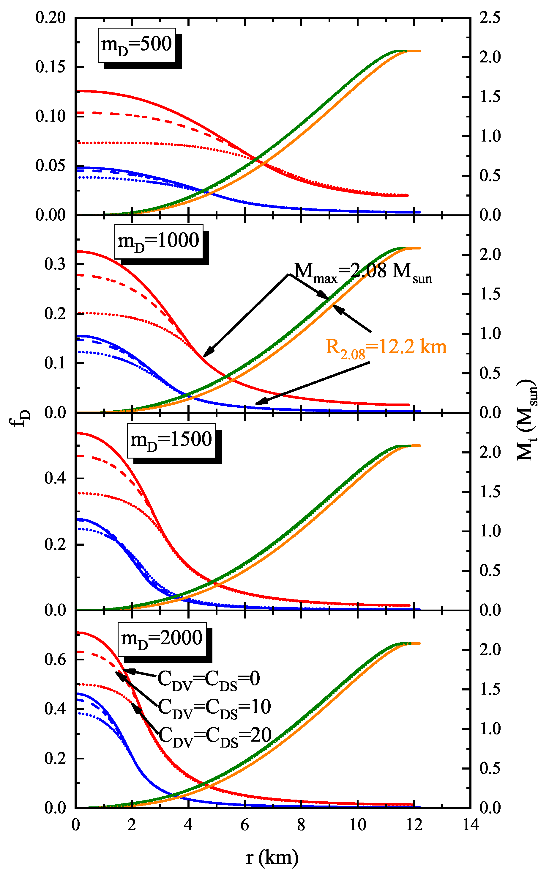
3. Results and Discussions
4. Conclusions
Author Contributions
Funding
Data Availability Statement
Acknowledgments
Conflicts of Interest
References
- Rubin, V.C.; Ford, W.K., Jr. Rotation of the andromeda nebula from a spectroscopic survey of emission regions. Astrophys. J. 1970, 159, 379–403. [Google Scholar] [CrossRef]
- Douglas, C.; Marusa, B.; Anthony, H.G.; Maxim, M.; Scott, W.R.; Christine, J.; Dennis, Z. A direct empirical proof of the existence of dark matter. Astrophys. J. Lett. 2006, 648, L109–L113. [Google Scholar] [CrossRef]
- Miville-Deschênes, M.A.; Pettorino, V.; Bucher, M.; Delabrouille, J.; Ganga, K.; Le Jeune, M.; Patanchon, G.; Rosset, C.; Roudier, G.; Fantaye, Y.; et al. Planck 2018 results. VI. cosmological parameters. Astron. Astrophys. 2020, 641, A6, Erratum in Astron. Astrophys. 2021, 652, C4. [Google Scholar] [CrossRef]
- White, S.D.M.; Rees, M.J. Core condensation in heavy halos: A two-stage theory for galaxy formation and clustering. Mon. Not. R. Astron. Soc. 1978, 183, 341–358. [Google Scholar] [CrossRef]
- Jarosik, N.; Bennett, C.L.; Dunkley, J.; Gold, B.; Greason, M.R.; Halpern, M.; Hill, R.S.; Hinshaw, G.; Kogut, A.; Komatsu, E.; et al. Seven-year Wilkinson Microwave Anisotropy Probe (WMAP) observations: Sky maps, systematic errors, and basic results. Astrophys. J. Suppl. Ser. 2011, 192, 14. [Google Scholar] [CrossRef]
- Baryakhtar, M.; Caputo, R.; Croon, D.; Perez, K.; Berti, E.; Bramante, J.; Buschmann, M.; Brito, R.; Chen, T.Y.; Cole, P.S.; et al. Dark Matter In Extreme Astrophysical Environments. arXiv 2022, arXiv:2203.07984. [Google Scholar] [CrossRef]
- Kouvaris, C.; Tinyakov, P. Constraining asymmetric dark matter through observations of compact stars. Phys. Rev. D 2011, 83, 083512. [Google Scholar] [CrossRef]
- Steigman, G.; Dasgupta, B.; Beacom, J.F. Precise Relic WIMP Abundance and its Impact on Searches for Dark Matter Annihilation. Phys. Rev. D 2012, 86, 023506. [Google Scholar] [CrossRef]
- Bertone, G.; Tait, T.M.P. A new era in the search for dark matter. Nature 2018, 562, 51. [Google Scholar] [CrossRef]
- Duffy, L.D.; Bibber, K.V. Axions as dark matter particles. New J. Phys. 2009, 11, 105008. [Google Scholar] [CrossRef]
- Olive, K.A. Review of Particle Physics. Chin. Phys. C 2014, 38, 090001. [Google Scholar] [CrossRef]
- Tanabashi, M.; Hagiwara, K.; Hikasa, K.; Nakamura, K.; Sumino, Y.; Takahashi, F.; Tanaka, J.; Agashe, K.; Aielli, G.; Amsler, C.; et al. Review of Particle Physics: Particle data groups. Phys. Rev. D 2018, 98, 030001. [Google Scholar] [CrossRef]
- An, H.; Pospelov, M.; Pradler, J.; Ritz, A. Direct Detection Constraints on Dark Photon Dark Matter. Phys. Lett. B 2015, 747, 331–338. [Google Scholar] [CrossRef]
- Bertone, G.; Hooper, D. History of dark matter. Rev. Mod. Phys. 2018, 90, 045002. [Google Scholar] [CrossRef]
- Blinnikov, S.I.; Khlopov, M.Y. On the possible signatures of mirror particles. Sov. J. Nucl. Phys. 1982, 36, 472–474. [Google Scholar]
- Blinnikov, S.I.; Khlopov, M.Y. Possible astronomical effects of mirror particles. Astron. Zhurnal 1983, 27, 371–375. [Google Scholar]
- Khlopov, M.Y.; Beskin, G.M.; Bochkarev, N.G.; Pustilnik, L.A.; Pustilnik, S.A. Observational physics of mirror world. Sov. Astron. 1991, 35, 21–30. [Google Scholar]
- Aprile, E.; Aalbers, J.; Agostini, F.; Alfonsi, M.; Althueser, L.; Amaro, F.D.; Anthony, M.; Arneodo, F.; Baudis, L.; Bauermeister, B.; et al. Dark Matter Search Results from a One Ton-Year Exposure of XENON1T. Phys. Rev. Lett. 2018, 121, 111302. [Google Scholar] [CrossRef]
- Aprile, E.; Aalbers, J.; Agostini, F.; Alfonsi, M.; Althueser, L.; Amaro, F.D.; Anthony, M.; Antochi, V.C.; Arneodo, F.; Baudis, L.; et al. Constraining the spin-dependent WIMP-nucleon cross sections with XENON1T. Phys. Rev. Lett. 2019, 122, 141301. [Google Scholar] [CrossRef]
- Aprile, E.; Aalbers, J.; Agostini, F.; Alfonsi, M.; Althueser, L.; Amaro, F.D.; Antochi, V.C.; Angelino, E.; Arneodo, F.; Barge, D.; et al. Light Dark Matter Search with Ionization Signals in XENON1T. Phys. Rev. Lett. 2019, 123, 251801. [Google Scholar] [CrossRef]
- Aprile, E.; Aalbers, J.; Agostini, F.; Alfonsi, M.; Althueser, L.; Amaro, F.D.; Antochi, V.C.; Angelino, E.; Arneodo, F.; Barge, D.; et al. Search for Light Dark Matter Interactions Enhanced by the Migdal Effect or Bremsstrahlung in XENON1T. Phys. Rev. Lett. 2019, 123, 241803. [Google Scholar] [CrossRef] [PubMed]
- Aprile, E.; Aalbers, J.; Agostini, F.; Alfonsi, M.; Althueser, L.; Amaro, F.D.; Antochi, V.C.; Angelino, E.; Angevaare, J.R.; Arneodo, F.; et al. Projected WIMP sensitivity of the XENONnT dark matter experiment. J. Cosmol. Astropart. Phys. 2020, 11, 031. [Google Scholar] [CrossRef]
- Aprile, E.; Aalbers, J.; Agostini, F.; Ahmed Maouloud, S.; Alfonsi, M.; Althueser, L.; Amaro, F.D.; Andaloro, S.; Antochi, V.C.; Angelino, E.; et al. Search for Coherent Elastic Scattering of Solar 8B Neutrinos in the XENON1T Dark Matter Experiment. Phys. Rev. Lett. 2021, 126, 091301. [Google Scholar] [CrossRef] [PubMed]
- Bernabei, R.; Belli, P.; Cappella, F.; Cerulli, R.; Dai, C.J.; d’Angelo, A.; He, H.L.; Incicchitti, A.; Kuang, H.H.; Ma, X.H.; et al. New results from DAMA/LIBRA. Eur. Phys. J. C 2010, 67, 39–49. [Google Scholar] [CrossRef]
- Akerib, D.S.; Araùjo, H.M.; Bai, X.; Bailey, A.J.; Balajthy, J.; Bedikian, S.; Bernard, E.; Bernstein, A.; Bolozdynya, A.; Bradley, A.; et al. First results from the LUX dark matter experiment at the Sanford Underground Research Facility. Phys. Rev. Lett. 2014, 112, 091303. [Google Scholar] [CrossRef]
- Angloher, G.; Bento, A.; Bucci, C.; Canonica, L.; Defay, X.; Erb, A.; von Feilitzsch, F.; Iachellini, N.F.; Gorla, P.; Gütlein, A.; et al. Results on light dark matter particles with a low-threshold CRESST-II detector. Eur. Phys. J. C 2016, 76, 25. [Google Scholar] [CrossRef]
- Abdelhameed, A.H.; Angloher, G.; Bauer, P.; Bento, A.; Bertoldo, E.; Bucci, C.; Canonica, L.; D’Addabbo, A.; Defay, X.; Di Lorenzo, S.; et al. First results from the CRESST-III low-mass dark matter program. Phys. Rev. D 2019, 100, 102002. [Google Scholar] [CrossRef]
- Agnese, R.; Anderson, A.J.; Asai, M.; Balakishiyeva, D.; Basu Thakur, R.; Bauer, D.A.; Beaty, J.; Billard, J.; Borgl, A.; Bowles, M.A.; et al. Search for Low-Mass Weakly Interacting Massive Particles with SuperCDMS. Phys. Rev. Lett. 2014, 112, 241302. [Google Scholar] [CrossRef]
- Agnese, R.; Anderson, A.J.; Aralis, T.; Aramaki, T.; Arnquist, I.J.; Baker, W.; Balakishiyeva, D.; Barker, D.; Basu Thakur, R.; Bauer, D.A.; et al. Low-mass dark matter search with CDMSlite. Phys. Rev. D 2018, 97, 022002. [Google Scholar] [CrossRef]
- Vahsen, S.E.; O’Hare, C.A.J.; Lynch, W.A.; Spooner, N.J.C.; Baracchini, E.; Barbeau, P.; Battat, J.B.R.; Crow, B.; Deaconu, C.; Eldridge, C.; et al. CYGNUS: Feasibility of a nuclear recoil observatory with directional sensitivity to dark matter and neutrinos. arXiv 2020, arXiv:2008.12587. [Google Scholar] [CrossRef]
- Wang, Q.; Abdukerim, A.; Chen, W.; Chen, X.; Chen, Y.H.; Cheng, C.; Cui, X.Y.; Fan, Y.J.; Fang, D.Q.; Fu, C.B.; et al. Results of dark matter search using the full PandaX-II exposure. Chin. Phys. C 2020, 44, 125001. [Google Scholar] [CrossRef]
- Grippa, F.; Lambiase, G.; Kumar, T. Poddar Searching for New Physics in an Ultradense Environment: A Review on Dark Matter Admixed Neutron Stars. Universe 2025, 11, 74. [Google Scholar] [CrossRef]
- Cromartie, H.T.; Fonseca, E.; Ransom, S.M.; Demorest, P.B.; Arzoumanian, Z.; Blumer, H.; Brook, P.R.; DeCesar, M.E.; Dolch, T.; Ellis, J.A.; et al. Relativistic Shapiro delay measurements of an extremely massive millisecond pulsar. Nat. Astron. 2019, 4, 72–76. [Google Scholar] [CrossRef]
- Fonseca, E.; Cromartie, H.T.; Pennucci, T.T.; Ray, P.S.; Kirichenko, A.Y.; Ransom, S.M.; Demorest, P.B.; Stairs, I.H.; Arzoumanian, Z.; Guillemot, L.; et al. Refined mass and geometric measurements of the high-mass PSR J0740+6620. Astrophys. J. Lett. 2021, 915, L12. [Google Scholar] [CrossRef]
- Miller, M.C.; Lamb, F.K.; Dittmann, A.J.; Bogdanov, S.; Arzoumanian, Z.; Gendreau, K.C.; Guillot, S.; Ho, W.C.G.; Lattimer, J.M.; Loewenstein, M.; et al. The radius of PSR J0740+ 6620 from NICER and XMM-Newton data. Astrophys. J. Lett. 2021, 918, L28. [Google Scholar] [CrossRef]
- Riley, T.E.; Watts, A.L.; Ray, P.S.; Bogdanov, S.; Guillot, S.; Morsink, S.M.; Bilous, A.V.; Arzoumanian, Z.; Choudhury, D.; Deneva, J.S.; et al. A NICER view of the massive pulsar PSR J0740+6620 informed by radio timing and XMM-Newton spectroscopy. Astrophys. J. Lett. 2021, 918, L27. [Google Scholar] [CrossRef]
- Abbott, B.P.; Abbott, R.; Abbott, T.D.; Acernese, F.; Ackley, K.; Adams, C.; Adams, T.; Addesso, P.; Adhikari, R.X.; Adya, V.B.; et al. GW170817: Measurements of neutron star radii and equation of state. Phys. Rev. Lett. 2018, 121, 161101. [Google Scholar] [CrossRef]
- Guha, A.; Sen, D. Constraining the mass of fermionic dark matter from its feeble interaction with hadronic matter via dark mediators in neutron stars. Phys. Rev. D 2024, 109, 043038. [Google Scholar] [CrossRef]
- Ivanytskyi, O.; Sagun, V.; Lopes, I. Neutron stars: New constraints on asymmetric dark matter. Phys. Rev. D 2020, 102, 063028. [Google Scholar] [CrossRef]
- Li, A.; Huang, F.; Xu, R.X. Too massive neutron stars: The role of dark matter? Astropart. Phys. 2012, 37, 70–74. [Google Scholar] [CrossRef]
- Xiang, Q.F.; Jiang, W.Z.; Zhang, D.R.; Yang, R.Y. Effects of fermionic dark matter on properties of neutron stars. Phys. Rev. C 2014, 89, 025803. [Google Scholar] [CrossRef]
- Panotopoulos, G.; Lopes, I. Dark matter effect on realistic equation of state in neutron stars. Phys. Rev. D 2017, 96, 083004. [Google Scholar] [CrossRef]
- Ellis, J.; Hütsi, G.; Kannike, K.; Marzola, L.; Raidal, M.; Vaskonen, V. Dark matter effects on neutron star properties. Phys. Rev. D 2018, 97, 123007. [Google Scholar] [CrossRef]
- Nelson, A.E.; Reddy, S.; Zhou, D. Dark halos around neutron stars and gravitational waves. J. Cosmol. Astropart. Phys. 2019, 07, 012. [Google Scholar] [CrossRef]
- Das, H.C.; Kumar, A.; Patra, S.K. Dark matter admixed neutron star as a possible compact component in the GW190814 merger event. Phys. Rev. D 2021, 104, 063028. [Google Scholar] [CrossRef]
- Das, H.C.; Kumar, A.; Biswal, S.K.; Patra, S.K. Impacts of dark matter on the f-mode oscillation of hyperon star. Phys. Rev. D 2021, 104, 123006. [Google Scholar] [CrossRef]
- Das, H.C.; Kumar, A.; Kumar, B.; Patra, S.K. Dark Matter Effects on the Compact Star Properties. Galaxies 2022, 10, 14. [Google Scholar] [CrossRef]
- Karkevandi, D.R.; Shakeri, S.; Sagun, V.; Ivanytskyi, O. Bosonic dark matter in neutron stars and its effect on gravitational wave signal. Phys. Rev. D 2022, 105, 023001. [Google Scholar] [CrossRef]
- Barbat, M.F.; Schaffner-Bielich, J.; Tolos, L. Comprehensive study of compact stars with dark matter. Phys. Rev. D 2024, 110, 023013. [Google Scholar] [CrossRef]
- Flores, C.V.; Lenzi, C.H.; Dutra, M.; Lourenço, O.; Arbanil, J.D.V. Gravitational wave asteroseismology of dark matter hadronic stars. Phys. Rev. D 2024, 109, 083021. [Google Scholar] [CrossRef]
- Giangrandi, E.; Ávila, A.; Sagun, V.; Ivanytskyi, O.; Providência, C. The Impact of Asymmetric Dark Matter on the Thermal Evolution of Nucleonic and Hyperonic Compact Stars. Particles 2024, 7, 179. [Google Scholar] [CrossRef]
- Konstantinou, A. The Effect of a Dark Matter Core on the Structure of a Rotating Neutron Star. Astrophys. J. 2024, 968, 83. [Google Scholar] [CrossRef]
- Kumar, A.; Sotani, H. Constraints on the parameter space in dark matter admixed neutron stars. Phys. Rev. D 2024, 110, 063001. [Google Scholar] [CrossRef]
- Shawqi, S.; Morsink, S.M. Interpreting Mass and Radius Measurements of Neutron Stars with Dark Matter Halos. Astrophys. J. 2024, 975, 123. [Google Scholar] [CrossRef]
- Shirke, S.; Pradhan, B.K.; Chatterjee, D.; Sagunski, L.; Schaffner-Bielich, J. Effects of dark matter on f-mode oscillations of neutron stars. Phys. Rev. D 2024, 110, 063025. [Google Scholar] [CrossRef]
- Rutherford, N.; Prescod-Weinstein, C.; Watts, A. Probing fermionic asymmetric dark matter cores using global neutron star properties. Phys. Rev. D 2025, 111, 123034. [Google Scholar] [CrossRef]
- Thakur, P.; Kumar, A.; Thapa, V.B.; Parmar, V.; Sinha, M. Exploring non-radial oscillation modes in dark matter admixed neutron stars. J. Cosmol. Astropart. Phys. 2024, 12, 042. [Google Scholar] [CrossRef]
- Kumar, A.; Girmohanta, S.; Sotani, H. Multi-Messenger and Cosmological Constraints on Dark Matter through Two-Fluid Neutron Star Modeling. arXiv 2025, arXiv:2501.16829. [Google Scholar]
- Miao, Z.Q.; Zhu, Y.F.; Li, A.; Huang, F. Dark Matter Admixed Neutron Star Properties in the Light of X-Ray Pulse Profile Observations. Astrophys. J. 2022, 936, 69. [Google Scholar] [CrossRef]
- Shakeri, S.; Karkevandi, D.R. Bosonic dark matter in light of the NICER precise massradius measurements. Phys. Rev. D 2024, 109, 043029. [Google Scholar] [CrossRef]
- Kain, B. Dark matter admixed neutron stars. Phys. Rev. D 2021, 103, 043009. [Google Scholar] [CrossRef]
- Karkevandi, D.R.; Shahrbaf, M.; Shakeri, S.; Typel, S. Exploring the Distribution and Impact of Bosonic Dark Matter in Neutron Stars. Particles 2024, 7, 201–213. [Google Scholar] [CrossRef]
- Bastero-Gil, M.; Huertas-Roldan, T.; Santos, D. Neutron decay anomaly, neutron stars, and dark matter. Phys. Rev. D 2024, 110, 083003. [Google Scholar] [CrossRef]
- Scordino, D.; Bombaci, I. Dark matter admixed neutron stars with a realistic nuclear equation of state from chiral nuclear interactions. J. High Energy Astrophys. 2025, 45, 371–381. [Google Scholar] [CrossRef]
- Giangrandi, E.; Rüter, H.R.; Kunert, N.; Emma, M.; Abac, A.; Adhikari, A.; Dietrich, T.; Sagun, V.; Tichy, W.; Providência, C. Numerical Relativity Simulations of Dark Matter Admixed Binary Neutron Stars. arXiv 2025, arXiv:2504.20825. [Google Scholar] [CrossRef]
- Grippa, F.; Lambiase, G.; Poddar, T.K. Constraints on scalar and vector dark matter admixed neutron stars with linear and quadratic couplings. arXiv 2024, arXiv:2407.16386. [Google Scholar] [CrossRef]
- Shapiro, S.L.; Teukolsky, S.A. Black Holes, White Dwarfs, and Neutron Stars: The Physics of Compact Objects; John Wiley & Sons: Hoboken, NJ, USA, 1983. [Google Scholar] [CrossRef]
- Glendenning, N.K. Compact Stars: Nuclear Physics, Particle Physics, and General Relativity; Springer Science & Business Media: Berlin, Germany, 1997. [Google Scholar]
- Collier, M.; Croon, D.; Leane, R.K. Tidal Love numbers of novel and admixed celestial objects. Phys. Rev. D 2022, 106, 123027. [Google Scholar] [CrossRef]
- Das, A.; Malik, T.; Nayak, A.C. Dark matter admixed neutron star properties in light of gravitational wave observations: A two fluid approach. Phys. Rev. D 2022, 105, 123034. [Google Scholar] [CrossRef]
- Routaray, P.; Mohanty, S.R.; Das, H.C.; Ghosh, S.; Kalita, P.J.; Parmar, V.; Kumar, B. Investigating dark matter-admixed neutron stars with NITR equation of state in light of PSR J0952-0607. J. Cosmol. Astropart. Phys. 2023, 10, 073. [Google Scholar] [CrossRef]
- Zhang, N.B.; Li, B.A. Impact of the nuclear equation of state on the formation of twin stars. Euro. Phys. J. A 2025, 61, 31. [Google Scholar] [CrossRef]
- Burgio, G.F.; Schulze, H.J.; Vidana, I.; Wei, J.B. Neutron stars and the nuclear equation of state. Prog. Part. Nucl. Phys. 2021, 120, 103879. [Google Scholar] [CrossRef]
- Liu, X.Z.; Mahapatra, P.; Huang, C.; Hazarika, A.; Singha, C.; Das, P.K. Revealing Dark Matter’s Role in Neutron Stars Anisotropy: A Bayesian Approach Using Multi-messenger Observations. arXiv 2025, arXiv:2506.08376. [Google Scholar]
- Zhang, N.B.; Li, B.A.; Xu, J. Combined constraints on the equation of state of dense neutron-rich Matter from terrestrial nuclear experiments and observations of Neutron Stars. Astrophys. J. 2018, 859, 90. [Google Scholar] [CrossRef]
- Zhang, N.B.; Li, B.A. Delineating effects of nuclear symmetry energy on the radii and tidal polarizabilities of neutron stars. J. Phys. G Nucl. Part. Phys. 2019, 46, 014002. [Google Scholar] [CrossRef]
- Zhang, N.B.; Li, B.A. Implications of the mass M= M⊙ of PSR J0740+6620 on the equation of state of super-dense neutron-rich nuclear matter. Astrophys. J. 2019, 879, 99. [Google Scholar] [CrossRef]
- Zhang, N.B.; Li, B.A. Constraints on the Muon Fraction and Density Profile in Neutron Stars. Astrophys. J. 2020, 893, 61. [Google Scholar] [CrossRef]
- Zhang, N.B.; Li, B.A. Impact of symmetry energy on sound speed and spinodal decomposition in dense neutron-rich matter. Eur. Phys. J. A 2023, 59, 86. [Google Scholar] [CrossRef]
- Xie, W.J.; Li, B.A.; Zhang, N.B. Impact of the newly revised gravitational redshift of X-ray burster GS 1826-24 on the equation of state of supradense neutron-rich matter. Phys. Rev. D 2024, 110, 043025. [Google Scholar] [CrossRef]
- Fetter, A.L.; Walecka, J.D. Quantum Theory of Many-Particle Systems; McGraw-Hill: Boston, MA, USA, 1971. [Google Scholar]
- Ciarcellut, P.; Sandin, F. Have neutron stars a dark matter core? Phys. Lett. B 2011, 695, 19. [Google Scholar] [CrossRef]
- Arvikar, P.; Gautam, S.; Venneti, A.; Banik, S. Exploring Fermionic Dark Matter Admixed Neutron Stars in the Light of Astrophysical Observations. arXiv 2025, arXiv:2506.20736. [Google Scholar] [CrossRef]
- Thakur, P.; Malik, T.; Das, A.; Jha, T.K.; Providência, C.M.C. Exploring robust correlations between fermionic dark matter model parameters and neutron star properties: A two-fluid perspective. Phys. Rev. D 2024, 109, 043030. [Google Scholar] [CrossRef]





| Disclaimer/Publisher’s Note: The statements, opinions and data contained in all publications are solely those of the individual author(s) and contributor(s) and not of MDPI and/or the editor(s). MDPI and/or the editor(s) disclaim responsibility for any injury to people or property resulting from any ideas, methods, instructions or products referred to in the content. | 
© 2025 by the authors. Licensee MDPI, Basel, Switzerland. This article is an open access article distributed under the terms and conditions of the Creative Commons Attribution (CC BY) license (https://creativecommons.org/licenses/by/4.0/).
Share and Cite
Zhang, N.; Li, B.-A.; Zhang, J.; Shen, W.; Zhang, H. Illuminating Dark Matter Admixed in Neutron Stars with Simultaneous Mass–Radius Constraints. Symmetry 2025, 17, 1669. https://doi.org/10.3390/sym17101669
Zhang N, Li B-A, Zhang J, Shen W, Zhang H. Illuminating Dark Matter Admixed in Neutron Stars with Simultaneous Mass–Radius Constraints. Symmetry. 2025; 17(10):1669. https://doi.org/10.3390/sym17101669
Chicago/Turabian StyleZhang, Naibo, Bao-An Li, Jiayu Zhang, Weina Shen, and Hui Zhang. 2025. "Illuminating Dark Matter Admixed in Neutron Stars with Simultaneous Mass–Radius Constraints" Symmetry 17, no. 10: 1669. https://doi.org/10.3390/sym17101669
APA StyleZhang, N., Li, B.-A., Zhang, J., Shen, W., & Zhang, H. (2025). Illuminating Dark Matter Admixed in Neutron Stars with Simultaneous Mass–Radius Constraints. Symmetry, 17(10), 1669. https://doi.org/10.3390/sym17101669
 
         
                                                


