Anthropometric Formulas Repurposed to Predict Body Fat Content from Ultrasound Measurements of Subcutaneous Fat Thickness
Abstract
1. Introduction
2. Materials and Methods
2.1. Subjects
2.2. Reference Body Composition Assessment by ADP
2.3. Measurements of Subcutaneous Fat Thickness by A-Mode Ultrasound
2.4. Prediction of Body Fat Percentage Using Formulas Adapted from Anthropometry
2.5. Statistical Analysis
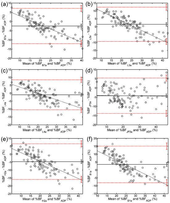
3. Results
4. Discussion
5. Conclusions
Supplementary Materials
Author Contributions
Funding
Institutional Review Board Statement
Informed Consent Statement
Data Availability Statement
Conflicts of Interest
References
- Heymsfield, S.; Lohman, T.G.; Wang, Z.-M.; Going, S. Human Body Composition, 2nd ed.; Human Kinetics: Chapmaign, IL, USA, 2005. [Google Scholar]
- Olansky, S.; Beaudry, K.M.; Woods, S.; Barbour-Tuck, E.; Gammage, K.L.; Klentrou, P.; Josse, A.R. Changes in Body Composition, Energy Expenditure, and Energy Intake during Four Years of University—A Follow-Up Study. Int. J. Environ. Res. Public Health 2021, 18, 3990. [Google Scholar] [CrossRef]
- Ackland, T.R.; Lohman, T.G.; Sundgot-Borgen, J.; Maughan, R.J.; Meyer, N.L.; Stewart, A.D.; Müller, W. Current status of body composition assessment in sport. Sports Med. 2012, 42, 227–249. [Google Scholar] [CrossRef]
- Sundgot-Borgen, J.; Meyer, N.L.; Lohman, T.G.; Ackland, T.R.; Maughan, R.J.; Stewart, A.D.; Müller, W. How to minimise the health risks to athletes who compete in weight-sensitive sports review and position statement on behalf of the Ad Hoc Research Working Group on Body Composition, Health and Performance, under the auspices of the IOC Medical Commission. Br. J. Sports Med. 2013, 47, 1012–1022. [Google Scholar] [CrossRef] [PubMed]
- Muller, M.J.; Braun, W.; Enderle, J.; Bosy-Westphal, A. Beyond BMI: Conceptual Issues Related to Overweight and Obese Patients. Obes. Facts 2016, 9, 193–205. [Google Scholar] [CrossRef]
- Lohman, T.G.; Milliken, L.A.; Sardinha, L.B. Introduction to Body Composition and Assessment. In ACSM’s Body Composition Assessment; Lohman, T.G., Milliken, L.A., Eds.; Human Kinetics: Champaign, IL, USA, 2020; pp. 1–16. [Google Scholar]
- Kasper, A.M.; Langan-Evans, C. Come Back Skinfolds, All Is Forgiven: A Narrative Review of the Efficacy of Common Body Composition Methods in Applied Sports Practice. Nutrients 2021, 13, 1075. [Google Scholar] [CrossRef]
- Wagner, D.R. Ultrasound as a Tool to Assess Body Fat. J. Obes. 2013, 2013, 280713. [Google Scholar] [CrossRef] [PubMed]
- Wagner, D.R.; Teramoto, M. Interrater reliability of novice examiners using A-mode ultrasound and skinfolds to measure subcutaneous body fat. PLoS ONE 2020, 15, e0244019. [Google Scholar] [CrossRef]
- Hendrickson, N.; Davison, J.; Schiller, L.; Willey, M. Reliability and Validity of A-Mode Ultrasound to Quantify Body Composition. J. Orthop. Trauma 2019, 33, 472–477. [Google Scholar] [CrossRef] [PubMed]
- Loenneke, J.P.; Barnes, J.T.; Wagganer, J.D.; Wilson, J.M.; Lowery, R.P.; Green, C.E.; Pujol, T.J. Validity and reliability of an ultrasound system for estimating adipose tissue. Clin. Physiol. Funct. Imaging 2014, 34, 159–162. [Google Scholar] [CrossRef]
- Miclos-Balica, M.; Muntean, P.; Schick, F.; Haragus, H.G.; Glisici, B.; Pupazan, V.; Neagu, A.; Neagu, M. Reliability of body composition assessment using A-mode ultrasound in a heterogeneous sample. Eur. J. Clin. Nutr. 2021, 75, 438–445. [Google Scholar] [CrossRef]
- Smith-Ryan, A.E.; Blue, M.N.M.; Trexler, E.T.; Hirsch, K.R. Utility of ultrasound for body fat assessment: Validity and reliability compared to a multicompartment criterion. Clin. Physiol. Funct. Imaging 2018, 38, 220–226. [Google Scholar] [CrossRef] [PubMed]
- Smith-Ryan, A.E.; Fultz, S.N.; Melvin, M.N.; Wingfield, H.L.; Woessner, M.N. Reproducibility and Validity of A-Mode Ultrasound for Body Composition Measurement and Classification in Overweight and Obese Men and Women. PLoS ONE 2014, 9, e91750. [Google Scholar] [CrossRef] [PubMed]
- Wagner, D.R.; Cain, D.L.; Clark, N.W. Validity and Reliability of A-Mode Ultrasound for Body Composition Assessment of NCAA Division I Athletes. PLoS ONE 2016, 11, e0153146. [Google Scholar] [CrossRef] [PubMed]
- Da Silva, L. An Introduction to Ultrasound and the BodyMetrix System; IntelaMetrix: Livermore, CA, USA, 2010. [Google Scholar]
- Baranauskas, M.N.; Johnson, K.E.; Juvancic-Heltzel, J.A.; Kappler, R.M.; Richardson, L.; Jamieson, S.; Otterstetter, R. Seven-site versus three-site method of body composition using BodyMetrix ultrasound compared to dual-energy X-ray absorptiometry. Clin. Physiol. Funct. Imaging 2017, 37, 317–321. [Google Scholar] [CrossRef] [PubMed]
- Johnson, K.E.; Naccarato, I.A.; Corder, M.A.; Repovich, W. Validation of Three Body Composition Techniques with a Comparison of Ultrasound Abdominal Fat Depths against an Octopolar Bioelectrical Impedance Device. Int. J. Exerc. Sci. 2012, 5, 205–213. [Google Scholar]
- Loenneke, J.P.; Barnes, J.T.; Wagganer, J.D.; Pujol, T.J. Validity of a portable computer-based ultrasound system for estimating adipose tissue in female gymnasts. Clin. Physiol. Funct. Imaging 2014, 34, 410–412. [Google Scholar] [CrossRef]
- Johnson, K.E.; Miller, B.; Juvancic-Heltzel, J.A.; Agnor, S.E.; Kiger, D.L.; Kappler, R.M.; Otterstetter, R. Agreement between ultrasound and dual-energy X-ray absorptiometry in assessing percentage body fat in college-aged adults. Clin. Physiol. Funct. Imaging 2014, 34, 493–496. [Google Scholar] [CrossRef]
- Kang, S.; Park, J.-H.; Seo, M.-W.; Jung, H.C.; Kim, Y.I.; Lee, J.-M. Validity of the Portable Ultrasound BodyMetrix™ BX-2000 for Measuring Body Fat Percentage. Sustainability 2020, 12, 8786. [Google Scholar] [CrossRef]
- Lowry, R.S.; Wagner, D.R.; Bigler, M. Evaluation of Body Fat Prediction Equations from a Portable A-Mode Ultrasound Compared to Air Displacement Plethysmography. Meas. Phys. Educ. Exerc. Sci. 2021, 25, 314–321. [Google Scholar] [CrossRef]
- Brandon, L.J.; Milliken, L.A.; Blew, R.M.; Lohman, T.G. Body Composition Field Methods. In ACSM’s Body Composition Assessment; Lohman, T.G., Milliken, L.A., Eds.; Human Kinetics: Champaign, IL, USA, 2020; pp. 59–89. [Google Scholar]
- Wagner, D.R.; Thompson, B.J.; Anderson, D.A.; Schwartz, S. A-mode and B-mode ultrasound measurement of fat thickness: A cadaver validation study. Eur. J. Clin. Nutr. 2019, 73, 518–523. [Google Scholar] [CrossRef]
- Wagner, D.R.; Teramoto, M.; Judd, T.; Gordon, J.; McPherson, C.; Robison, A. Comparison of A-mode and B-mode Ultrasound for Measurement of Subcutaneous Fat. Ultrasound Med. Biol. 2020, 46, 944–951. [Google Scholar] [CrossRef]
- Müller, W.; Horn, M.; Fürhapter-Rieger, A.; Kainz, P.; Kröpfl, J.M.; Maughan, R.J.; Ahammer, H. Body composition in sport: A comparison of a novel ultrasound imaging technique to measure subcutaneous fat tissue compared with skinfold measurement. Br. J. Sports Med. 2013, 47, 1028–1035. [Google Scholar] [CrossRef]
- Cintra-Andrade, J.H.; Ripka, W.L.; Heymsfield, S.B. Skinfold calipers: Which instrument to use? J. Nutr. Sci. 2023, 12, e82. [Google Scholar] [CrossRef] [PubMed]
- Borkan, G.A.; Hults, D.E.; Cardarelli, J.; Burrows, B.A. Comparison of ultrasound and skinfold measurements in assessment of subcutaneous and total fatness. Am. J. Phys. Anthropol. 1982, 58, 307–313. [Google Scholar] [CrossRef]
- Pérez-Chirinos Buxadé, C.; Solà-Perez, T.; Castizo-Olier, J.; Carrasco-Marginet, M.; Roy, A.; Marfell-Jones, M.; Irurtia, A. Assessing subcutaneous adipose tissue by simple and portable field instruments: Skinfolds versus A-mode ultrasound measurements. PLoS ONE 2018, 13, e0205226. [Google Scholar] [CrossRef]
- Jackson, A.S.; Pollock, M.L. Generalized equations for predicting body density of men. Br. J. Nutr. 1978, 40, 497–504. [Google Scholar] [CrossRef] [PubMed]
- Jackson, A.S.; Pollock, M.L.; Ward, A. Generalized equations for predicting body density of women. Med. Sci. Sports Exerc. 1980, 12, 175–181. [Google Scholar] [CrossRef] [PubMed]
- Chandler, A.J.; Cintineo, H.P.; Sanders, D.J.; McFadden, B.A.; Arent, M.A.; Monaco, R.; Arent, S.M. Agreement between B-Mode Ultrasound and Air Displacement Plethysmography in Preprofessional Ballet Dancers. Med. Sci. Sports Exerc. 2021, 53, 653–657. [Google Scholar] [CrossRef]
- Tinsley, G.M.; Rodriguez, C.; White, S.J.; Williams, A.D.; Stratton, M.T.; Harty, P.S.; Smith, R.W.; Dellinger, J.R.; Johnson, B.A. A Field-based Three-Compartment Model Derived from Ultrasonography and Bioimpedance for Estimating Body Composition Changes. Med. Sci. Sports Exerc. 2021, 53, 658–667. [Google Scholar] [CrossRef]
- Chandler, A.J.; Dona, S.T.; Cintineo, H.P.; McFadden, B.A.; Sanders, D.J.; Monaco, R.; Arent, S.M. Intra-and inter-rater reliability of assessing body composition using B-mode ultrasound in conjunction with artificial intelligence software. J. Exerc. Nutr. 2020, 3, 4. [Google Scholar]
- Tinsley, G.M.; Chandler, A.J.; Arent, S.M. Response. Med. Sci. Sports Exerc. 2022, 54, 190. [Google Scholar] [CrossRef]
- Wagner, D.R. Oversimplification of the Relationship between Ultrasound and Skinfold Measurements of Subcutaneous Fat Thickness. Med. Sci. Sports Exerc. 2022, 54, 189. [Google Scholar] [CrossRef]
- Stewart, A.; Marfell-Jones, M.; Olds, T.; De Ridder, J. International Standards for Anthropometric Assessment, 3rd ed.; International Society for the Advancement of Kinanthropometry: Lower Hutt, New Zealand, 2011. [Google Scholar]
- COSMED. BOD POD Gold Standard Body Composition Tracking System Operator’s Manual—P/N 210-2400 Rev. M—DCO 1765; COSMED USA, Inc.: Concord, CA, USA, 2015. [Google Scholar]
- Tucker, L.A.; Lecheminant, J.D.; Bailey, B.W. Test-retest reliability of the Bod Pod: The effect of multiple assessments. Percept. Mot. Skills 2014, 118, 563–570. [Google Scholar] [CrossRef]
- Muntean, P.; Micloș-Balica, M.; Popa, A.; Neagu, A.; Neagu, M. Reliability of Repeated Trials Protocols for Body Composition Assessment by Air Displacement Plethysmography. Int. J. Environ. Res. Public Health 2021, 18, 10693. [Google Scholar] [CrossRef] [PubMed]
- Nevill, A.M.; Metsios, G.S.; Jackson, A.S.; Wang, J.; Thornton, J.; Gallagher, D. Can we use the Jackson and Pollock equations to predict body density/fat of obese individuals in the 21st century? Int. J. Body Compos. Res. 2008, 6, 114–121. [Google Scholar]
- Durnin, J.V.; Womersley, J. Body fat assessed from total body density and its estimation from skinfold thickness: Measurements on 481 men and women aged from 16 to 72 years. Br. J. Nutr. 1974, 32, 77–97. [Google Scholar] [CrossRef]
- Sloan, A.W.; Burt, J.J.; Blyth, C.S. Estimation of body fat in young women. J. Appl. Physiol. 1962, 17, 967–970. [Google Scholar] [CrossRef] [PubMed]
- Wilmore, J.H.; Behnke, A.R. An anthropometric estimation of body density and lean body weight in young women. Am. J. Clin. Nutr. 1970, 23, 267–274. [Google Scholar] [CrossRef] [PubMed]
- Hassager, C.; Gotfredsen, A.; Jensen, J.; Christiansen, C. Prediction of body composition by age, height, weight, and skinfold thickness in normal adults. Metab.—Clin. Exp. 1986, 35, 1081–1084. [Google Scholar] [CrossRef]
- Lean, M.E.; Han, T.S.; Deurenberg, P. Predicting body composition by densitometry from simple anthropometric measurements. Am. J. Clin. Nutr. 1996, 63, 4–14. [Google Scholar] [CrossRef]
- Peterson, M.J.; Czerwinski, S.A.; Siervogel, R.M. Development and validation of skinfold-thickness prediction equations with a 4-compartment model. Am. J. Clin. Nutr. 2003, 77, 1186–1191. [Google Scholar] [CrossRef] [PubMed]
- Evans, E.M.; Rowe, D.A.; Misic, M.M.; Prior, B.M.; Arngrímsson, S.A. Skinfold prediction equation for athletes developed using a four-component model. Med. Sci. Sports Exerc. 2005, 37, 2006–2011. [Google Scholar] [CrossRef] [PubMed]
- Jackson, A.S.; Ellis, K.J.; McFarlin, B.K.; Sailors, M.H.; Bray, M.S. Cross-validation of generalised body composition equations with diverse young men and women: The Training Intervention and Genetics of Exercise Response (TIGER) Study. Br. J. Nutr. 2009, 101, 871–878. [Google Scholar] [CrossRef] [PubMed]
- Bacchi, E.; Cavedon, V.; Zancanaro, C.; Moghetti, P.; Milanese, C. Comparison between dual-energy X-ray absorptiometry and skinfold thickness in assessing body fat in overweigh/obese adult patients with type-2 diabetes. Sci. Rep. 2017, 7, 17424. [Google Scholar] [CrossRef] [PubMed]
- Svendsen, O.L.; Haarbo, J.; Heitmann, B.L.; Gotfredsen, A.; Christiansen, C. Measurement of body fat in elderly subjects by dual-energy X-ray absorptiometry, bioelectrical impedance, and anthropometry. Am. J. Clin. Nutr. 1991, 53, 1117–1123. [Google Scholar] [CrossRef]
- Siri, W.E. Body composition from fluid spaces and density: Analysis of methods. In Techniques for Measuring Body Composition; Brozek, J., Hanschel, A., Eds.; National Academy of Sciences: Washington, DC, USA, 1961; pp. 223–244. [Google Scholar]
- Sloan, A.W. Estimation of body fat in young men. J. Appl. Physiol. 1967, 23, 311–315. [Google Scholar] [CrossRef] [PubMed]
- Wilmore, J.H.; Behnke, A.R. An anthropometric estimation of body density and lean body weight in young men. J. Appl. Physiol. 1969, 27, 25–31. [Google Scholar] [CrossRef] [PubMed]
- Civar, S.; Ozer, K.; Aktop, A.; Tercan, E.; Ayçeman, N. Validity of leg-to-leg bioelectrical impedance measurement in higly active males. Biol. Sport 2003, 20, 209–219. [Google Scholar] [CrossRef]
- Ball, S.D.; Altena, T.S.; Swan, P.D. Comparison of anthropometry to DXA: A new prediction equation for men. Eur. J. Clin. Nutr. 2004, 58, 1525–1531. [Google Scholar] [CrossRef]
- Leahy, S.; O’Neill, C.; Sohun, R.; Toomey, C.; Jakeman, P. Generalised equations for the prediction of percentage body fat by anthropometry in adult men and women aged 18–81 years. Br. J. Nutr. 2013, 109, 678–685. [Google Scholar] [CrossRef]
- Heyward, V.H.; Wagner, D.R. Applied Body Composition Assessment; Human Kinetics: Champaign, IL, USA, 2004. [Google Scholar]
- Bland, J.M.; Altman, D.G. Measuring agreement in method comparison studies. Stat. Methods Med. Res. 1999, 8, 135–160. [Google Scholar] [CrossRef] [PubMed]
- Bland, M.J.; Altman, D.G. Statistical methods for assessing agreement between two methods of clinical measurement. Lancet 1986, 327, 307–310. [Google Scholar] [CrossRef]
- Lin, L.I. A concordance correlation coefficient to evaluate reproducibility. Biometrics 1989, 45, 255–268. [Google Scholar] [CrossRef] [PubMed]
- Matthew, R. f_CCC, GitHub. 2024. Available online: https://github.com/robertpetermatthew/f_CCC (accessed on 9 April 2024).
- Muntean, P.; Neagu, M.; Amaricai, E.; Haragus, H.G.; Onofrei, R.R.; Neagu, A. Using A-Mode Ultrasound to Assess the Body Composition of Soccer Players: A Comparative Study of Prediction Formulas. Diagnostics 2023, 13, 690. [Google Scholar] [CrossRef]
- Fields, D.A.; Gunatilake, R.; Kalaitzoglou, E. Air displacement plethysmography: Cradle to grave. Nutr. Clin. Pract. 2015, 30, 219–226. [Google Scholar] [CrossRef] [PubMed]
- Fields, D.A.; Goran, M.I.; McCrory, M.A. Body-composition assessment via air-displacement plethysmography in adults and children: A review. Am. J. Clin. Nutr. 2002, 75, 453–467. [Google Scholar] [CrossRef]
- Blue, M.N.M.; Hirsch, K.R.; Brewer, G.J.; Cabre, H.E.; Gould, L.M.; Tinsley, G.M.; Ng, B.K.; Ryan, E.D.; Padua, D.; Smith-Ryan, A.E. The validation of contemporary body composition methods in various races and ethnicities. Br. J. Nutr. 2022, 128, 2387–2397. [Google Scholar] [CrossRef]
- Collins, A.L.; McCarthy, H.D. Evaluation of factors determining the precision of body composition measurements by air displacement plethysmography. Eur. J. Clin. Nutr. 2003, 57, 770–776. [Google Scholar] [CrossRef]
- McCrory, M.A.; Mole, P.A.; Gomez, T.D.; Dewey, K.G.; Bernauer, E.M. Body composition by air-displacement plethysmography by using predicted and measured thoracic gas volumes. J. Appl. Physiol. 1998, 84, 1475–1479. [Google Scholar] [CrossRef]
- Otterstetter, R.; Johnson, K.E.; Kiger, D.L.; Agnor, S.E.; Kappler, R.M.; Reinking, M.; Tessmer, K. Comparison of air-displacement plethysmography results using predicted and measured lung volumes over a protracted period of time. Clin. Physiol. Funct. Imaging 2015, 35, 328–331. [Google Scholar] [CrossRef]
- Wagner, D.R. Predicted versus measured thoracic gas volumes of collegiate athletes made by the BOD POD air displacement plethysmography system. Appl. Physiol. Nutr. Metab. 2015, 40, 1075–1077. [Google Scholar] [CrossRef]






| All (n = 201) | Women (n = 94) | Men (n = 107) | ||||
|---|---|---|---|---|---|---|
| Age (y) | 31.6 ± 10.8 | [19, 66] | 32.0 ± 11.2 | [19, 62] | 31.3 ± 10.4 | [20, 66] |
| Height (m) | 1.71 ± 0.10 | [1.49, 1.96] | 1.63 ± 0.06 | [1.49, 1.79] | 1.78 ± 0.07 | [1.55, 1.96] |
| BM (kg) | 76.8 ± 20.0 | [37.9, 160.5] | 67.7 ± 16.4 | [37.9, 115.5] | 84.8 ± 19.5 | [55.0, 160.5] |
| BMI (kg/m2) | 26.1 ± 6.0 | [16.6, 47.9] | 25.4 ± 6.4 | [16.6, 45.0] | 26.7 ± 5.7 | [17.0, 47.9] |
| Site Name | Anatomical Location [37] | SKF a | SF a |
|---|---|---|---|
| Biceps | The most anterior point of the biceps along the line that runs horizontally at the mid-acromiale-radiale level (midway between the most lateral point on the upper border of the acromion and the proximal and lateral border of the head of the radius) | BI | bi |
| Triceps | The most posterior point of the triceps along the horizontal line drawn at the mid-acromiale-radiale level | TR | tr |
| Chest | Midway between the anterior axilla and the nipple | CH | ch |
| Subscapular | 2-cm along the line that descends at a 45° angle from the tip of the inferior angle of the scapula | SC | sc |
| Midaxilla | Along the midaxillary line, halfway between the axilla and the iliac crest | AX | ax |
| Abdomen b | 2.5-cm to the right of the midpoint of the umbilicus | AB | ab |
| Suprailiac c (Supraspinale) | At the intersection of the line that runs horizontally from the iliocristale (the most lateral point of the iliac tubercle) and the segment that connects the anterior axilla with the iliospinale (the most inferior point of the anterior superior iliac spine) | SU | su |
| Front thigh | Along the anterior midline of the thigh, halfway between the inguinal fold and the superior margin of the anterior patella | TH | th |
| Acronym | Authors [Reference] | Formula |
|---|---|---|
| JP7 | 7-site Jackson, Pollock, Ward a,b [31] | D = 1.097 − 0.00046971 × S7 + 0.00000056 × (S7)2 − 0.00012828 × Age |
| JP3 | 3-site Jackson, Pollock, Ward b [31] | D = 1.0994921 − 0.0009929 × S3 + 0.0000023 × (S3)2 − 0.0001392 × Age |
| N3 | 3-site Nevill et al. [41] | D = exp(0.120936 − 0.0084087 × (S3)0.532 − 0.0001178 × Age) |
| DW | Durnin and Womersley [42] | D = c − m × log10(BI + TR + SC + SU), where |
| c = 1.1549; m = 0.0678 if 16 ≤ Age ≤ 19 | ||
| c = 1.1599; m = 0.0717 if 20 ≤ Age ≤ 29 | ||
| c = 1.1423; m = 0.0632 if 30 ≤ Age ≤ 39 | ||
| c = 1.1333; m = 0.0612 if 40 ≤ Age ≤ 49 | ||
| c = 1.1339; m = 0.0645 if 50 ≤ Age ≤ 68 | ||
| S2 | 2-site Sloan [43] | D = 1.0764 − 0.00081 × SU − 0.00088 × TR |
| WB | Wilmore and Behnke [44] | D = 1.06234 − 0.00068 × SC − 0.00039 × TR − 0.00025 × TH |
| H2 | 2-site Hassager et al. [45] | % BF = 0.07 × Age + 35 × log10(TR + SC) − 26 |
| L4 | 4-site Lean et al. [46] | % BF = 30.8 × log10(BI + TR + SC + SU) + 0.274 × Age − 31.7 |
| L1 | 1-site Lean et al. [46] | % BF = 0.730 × BMI + 0.548 × TR + 0.270 × Age − 5.9 |
| P4 | 4-site Peterson et al. [47] | % BF = 22.18945 + 0.06368 × Age + 0.60404 × BMI − 0.14520 × H + 0.30919 × S4 − 0.00099562 × (S4)2, where H stands for height expressed in cm and S4 = TR + SC + SU + TH |
| E7 | 7-site Evans et al. [48] | % BF = 10.566 + 0.12077 × S7 |
| E3 | 3-site Evans et al. [48] | % BF = 8.997 + 0.24658 × (TR + AB + TH) |
| J3 | 3-site Jackson et al. [49] | % BF = 0.4446 × S3 − 0.0012 × (S3)2 + 4.3387 |
| B1 | 1-site Bacchi et al. [50] | % BF = 3.071 + 0.211 × TR + 0.756 × BMI + 6.861 |
| S1 | 1-site Svendsen et al. [51] | Fat Mass (kg) = 1.4 × BMI + 0.48 × TR − 25.81, and then % BF = (Fat Mass/BM) × 100% |
| Acronym | Authors [Reference] | Formula |
|---|---|---|
| JP7 | 7-site Jackson and Pollock a,b [30] | D = 1.112 − 0.00043499 × S7 + 0.00000055 × (S7)2 − 0.00028826 × Age |
| JP3 | 3-site Jackson and Pollock b [30] | D = 1.10938 − 0.0008267 × S3 + 0.0000016 × (S3)2 − 0.000257 × Age |
| N3 | 3-site Nevill et al. [41] | D = exp(0.109648 − 0.0021745 × (S3)0.747 − 0.0002516 × Age) |
| DW | Durnin and Womersley [42] | D = c − m × log10(BI + TR + SC + SU), where |
| c = 1.1620, m = 0.0630 if 17 ≤ Age ≤ 19 | ||
| c = 1.1631, m = 0.0632 if 20 ≤ Age ≤ 29 | ||
| c = 1.1422, m = 0.0544 if 30 ≤ Age ≤ 39 | ||
| c = 1.1620, m = 0.0700 if 40 ≤ Age ≤ 49 | ||
| c = 1.1715, m = 0.0779 if 50 ≤ Age ≤ 72 | ||
| S2 | 2-site Sloan [53] | D = 1.1043 − 0.001327 × TH − 0.001310 × SC |
| WB | Wilmore and Behnke [54] | D = 1.08543 − 0.000886 × AB − 0.00040 × TH |
| H2 | 2-site Hassager et al. [45] | % BF = 0.12 × Age + 30 × log10(TR + SC) − 28 |
| L4 | 4-site Lean et al. [46] | % BF = 30.9 × log10(BI + TR + SC + SU) + 0.271 × Age − 39.9 |
| L1 | 1-site Lean et al. [46] | % BF = 0.742 × BMI + 0.950 × TR + 0.335 × Age − 20 |
| P4 | 4-site Peterson et al. [47] | % BF = 20.94878 + 0.1166 × Age − 0.11666 × H + 0.42696 × S4 − 0.00159 × (S4)2, where H stands for height expressed in cm and S4 = TR + SC + SU + TH |
| E7 | 7-site Evans et al. [48] | % BF = 10.566 + 0.12077 × S7 − 8.057 |
| E3 | 3-site Evans et al. [48] | % BF = 8.997 + 0.24658 × (TR + AB + TH) − 6.343 |
| J3 | 3-site Jackson et al. [41] | % BF = 0.2568 × (TR + SU + TH) − 0.0004 × (TR + SU + TH)2 + 4.8647 |
| B1 | 1-site Bacchi et al. [50] | % BF = 3.071 + 0.211 × TR + 0.756 × BMI |
| S1 | 1-site Svendsen et al. [51] | Fat Mass (kg) = 1.4 × BMI + 0.48 × TR − 25.81, and then % BF = (Fat Mass/BM) × 100% |
| C3 | 3-site Civar et al. [55] | % BF = 0.364 × BI+ 0.432 × TR + 0.193 × AB + 0.077 × BM − 0.891 |
| B7 | 7-site Ball [56] | % BF = 0.465 + 0.180 × S7 − 0.0002406 × (S7)2 + 0.06619 × Age |
| L3 | 3-site Leahy et al. [57] | % BF = 0.1 × Age + 7.6 × log10(TR) + 8.8 × log10(AX) + 11.9 × log10(SU) − 11.3 |
| Women | Men | |||||||||
|---|---|---|---|---|---|---|---|---|---|---|
| Formula | Bias a | ± b | ULA | ± | ULA−Bias | Bias | ± | ULA | ± | ULA−Bias |
| JP7 c | −4.81 | 1.01 | 4.54 | 1.75 | 9.35 | −4.75 | 0.98 | 4.95 | 1.70 | 9.70 |
| JP3 | −6.73 | 1.07 | 3.24 | 1.86 | 9.96 | −5.09 | 0.94 | 4.23 | 1.63 | 9.32 |
| Bic1 | 0.56 | 1.55 | 14.93 | 2.68 | 14.37 | −5.15 | 1.16 | 6.32 | 2.01 | 11.47 |
| JP7a | −3.64 | 0.95 | 5.20 | 1.65 | 8.84 | −5.41 | 0.85 | 3.03 | 1.48 | 8.44 |
| JP3a | −2.67 | 1.03 | 6.86 | 1.78 | 9.53 | −4.22 | 0.97 | 5.38 | 1.68 | 9.61 |
| N3a | −2.33 | 1.16 | 8.43 | 2.01 | 10.76 | −3.56 | 1.17 | 8.00 | 2.02 | 11.56 |
| DWa | 0.49 | 0.97 | 9.52 | 1.69 | 9.03 | −1.24 | 1.05 | 9.11 | 1.81 | 10.35 |
| S2a | −1.12 | 1.49 | 12.72 | 2.58 | 13.84 | −5.36 | 1.84 | 12.89 | 3.19 | 18.25 |
| WBa | −3.31 | 1.15 | 7.39 | 2.00 | 10.70 | −0.48 | 1.44 | 13.76 | 2.49 | 14.24 |
| H2a | −0.49 | 0.93 | 8.09 | 1.60 | 8.58 | −4.67 | 1.13 | 6.55 | 1.96 | 11.21 |
| L4a | 1.53 | 0.91 | 10.01 | 1.58 | 8.48 | −0.99 | 0.96 | 8.53 | 1.67 | 9.52 |
| L1a | 4.93 | 1.97 | 23.23 | 3.42 | 18.30 | 1.14 | 1.49 | 15.88 | 2.58 | 14.74 |
| P4a | 1.23 | 1.05 | 10.95 | 1.82 | 9.73 | 1.30 | 1.50 | 16.18 | 2.60 | 14.88 |
| E7a | −1.44 | 1.21 | 9.78 | 2.09 | 11.22 | −4.96 | 1.12 | 6.10 | 1.93 | 11.06 |
| E3a | 0.87 | 1.68 | 16.50 | 2.92 | 15.63 | −3.68 | 1.21 | 8.28 | 2.09 | 11.96 |
| J3a | −1.61 | 1.02 | 7.83 | 1.76 | 9.44 | −4.81 | 1.26 | 7.67 | 2.18 | 12.48 |
| B1a | 2.46 | 0.98 | 11.53 | 1.69 | 9.06 | 3.51 | 1.17 | 15.07 | 2.02 | 11.57 |
| S1a | −0.23 | 1.82 | 16.63 | 3.15 | 16.85 | −2.28 | 1.07 | 8.33 | 1.86 | 10.62 |
| C3a | −2.62 | 1.09 | 8.12 | 1.88 | 10.75 | |||||
| B7a | −2.47 | 0.96 | 7.08 | 1.67 | 9.55 | |||||
| L3a | 1.50 | 1.10 | 12.35 | 1.90 | 10.85 | |||||
Disclaimer/Publisher’s Note: The statements, opinions and data contained in all publications are solely those of the individual author(s) and contributor(s) and not of MDPI and/or the editor(s). MDPI and/or the editor(s) disclaim responsibility for any injury to people or property resulting from any ideas, methods, instructions or products referred to in the content. |
© 2024 by the authors. Licensee MDPI, Basel, Switzerland. This article is an open access article distributed under the terms and conditions of the Creative Commons Attribution (CC BY) license (https://creativecommons.org/licenses/by/4.0/).
Share and Cite
Muntean, P.; Miclos-Balica, M.; Macavei, G.A.; Munteanu, O.; Neagu, A.; Neagu, M. Anthropometric Formulas Repurposed to Predict Body Fat Content from Ultrasound Measurements of Subcutaneous Fat Thickness. Symmetry 2024, 16, 962. https://doi.org/10.3390/sym16080962
Muntean P, Miclos-Balica M, Macavei GA, Munteanu O, Neagu A, Neagu M. Anthropometric Formulas Repurposed to Predict Body Fat Content from Ultrasound Measurements of Subcutaneous Fat Thickness. Symmetry. 2024; 16(8):962. https://doi.org/10.3390/sym16080962
Chicago/Turabian StyleMuntean, Paul, Monica Miclos-Balica, George Andrei Macavei, Oana Munteanu, Adrian Neagu, and Monica Neagu. 2024. "Anthropometric Formulas Repurposed to Predict Body Fat Content from Ultrasound Measurements of Subcutaneous Fat Thickness" Symmetry 16, no. 8: 962. https://doi.org/10.3390/sym16080962
APA StyleMuntean, P., Miclos-Balica, M., Macavei, G. A., Munteanu, O., Neagu, A., & Neagu, M. (2024). Anthropometric Formulas Repurposed to Predict Body Fat Content from Ultrasound Measurements of Subcutaneous Fat Thickness. Symmetry, 16(8), 962. https://doi.org/10.3390/sym16080962

