Abstract
During the preparation of high dilutions, repeated external vibration (shaking) is used. We hypothesized that it was the vibration treatment, and not the negligible content of the initial substance, that underlies the activity of highly diluted preparations. In order to test this, the vibration was separated from the dilution process. After vibrating two tubes together on a vortex mixer (one containing water and the other the initial substance) the electrical conductivity and radio frequency radiation intensity of water differed from the unvibrated control, and the ability to exert a modifying effect on the target solution appeared, as assessed using ELISA and terahertz spectroscopy, appeared. Thus, the properties of the neutral carrier (water) changed after non-contact exposure to the initial substance. We have named this process ‘crossing’ and its products ‘aqueous iterations of the initial substance’. Several aqueous iterations with different physical properties were obtained, some of which have a modifying effect and others cause various chemical (catalytic) and biological (antiviral) effects similar to those of the initial substance. This indicates that during crossing, substances enter into post-vibration supramolecular interactions. At the nanoscale level, aqueous iterations and the initial substance are structurally symmetrical, which allows us to assume that the preservation of the symmetry of substances subjected to vibration treatment is the basis of the post-vibration interaction phenomenon.
1. Introduction
The physico-chemical properties of water and aqueous solutions have been previously shown to change after exposure to mechanical effects [1,2,3,4]. The present work is devoted to the study of a new property of various substances subjected to joint vibration treatment: the ability to enter into post-vibrational interactions.
The discovery of the unknown role of vibrations [5] was made possible by the preliminary studies of high dilutions, since their preparation involves vibration treatment in the form of vertical shaking, a procedure commonly used in chemistry.
The first scientific publications [6,7,8,9,10] on high dilutions appeared in the 1970s and indicated the ability of high dilutions of various substances to have a biological effect at the molecular and cellular levels. High dilutions affected the same targets in the body as the initial substance and reproduced its effects in a weakened form; however, not all, but only part of the initial substance’s effects were reproduced [11,12].
Later, it had been found that the effects of high dilutions of low-molecular-weight pharmacological drugs and biological molecules (antibodies) are not only quantitatively, but also qualitatively different from the initial substance. In particular, high dilutions can have a modifying effect (ME) on the initial substance, its target or a complementary molecule, which manifests itself in a change in their biological and physico-chemical properties [5,13,14,15,16,17]. Thus, the hypothesis that such high dilutions modify their targets through the transformation of target molecules to a more harmonious (symmetrical) state was proposed [5].
The revealed facts allowed us to conclude that the activity of high dilutions is based not on a speculatively low concentration of the dissolved substance, but on the technology for preparing dilutions and, above all, on external vibration effects. This assumption was confirmed by a simple experiment: with a ‘delicate’ dilution, without an external rhythmic influence, high dilutions did not have specific modifying activity (which will be discussed in detail below). In connection with this, the ‘concept’ of high dilutions should rather be not small doses of the initial substance, but an ‘accumulator’ of vibrational effects.
ME was most extensively studied using the example of high dilutions of antibodies to interferon-gamma (IFNγ), which changed the conformational state of the antigen molecule (IFNγ) [18] through the effect on the hydration shell of this protein [19], which led to the activation of molecular events in the IFNγ signaling pathway [18]. This effect of high dilutions on the target hydrate shell is a process of restoring the ideal symmetry of the target structure [5].
High dilutions of antibodies act inside the organism (in vivo) on the same targets as antibodies [20], and outside the organism (in vitro) they can have a direct ME on the molecule of the corresponding antigen [21].
Using high dilutions of antibodies and a number of other substances [22,23,24,25,26,27,28,29], it has been established that they can change various structural characteristics of a non-vibrated neutral medium (neutral carrier), for instance, water or lactose [23,24].
It was suggested that possible carriers of high dilution activity may be water clusters (nano-sized structures) [1,30,31,32,33,34,35].
Relatively recently, it was discovered that ME can be exerted without the direct contact (contactless) of high dilutions of antibodies with the corresponding antigen or neutral medium by placing vials with high dilutions and the target molecule adjacent or at a close distance (from 1 to 3 cm) from each other [36,37,38,39]. The ability of highly diluted substances subjected to vibration to have contactless interactions with their targets suggested that behind the screen of multiple dilutions there is a contactless interaction between the substance (the conditional effector) and the solvent (at the first stage of high dilution preparation) and then dilutions of the substance and the solvent (at subsequent stages) (Figure 1a). Probably, the processes of the dissolution of the initial substance in the solvent and the non-contact interaction of the substance and the solvent are interdependent processes.
Figure 1.
Conventional process for preparing high dilutions (a) and crossing technology (b).
To establish the possibility of contactless interactions, the vibration treatment of the initial substance was separated from the process of its dilution, which led to the discovery of the phenomenon of post-vibration interactions. Vials with ‘classical’ solutions or solids were placed close to vials with water (or lactose powder) and subjected to joint vibration treatment on a vortex. As a result, the substances were not mixed and were not diluted.
The idea of the joint vibration treatment of the effector and target arose as an attempt to enhance a manifestation of ME of a solution of antibodies to IFNγ, which, after vibration treatment, exerted a very weak ME on a static (i.e., unvibrated) target (IFNγ) (see Appendix C, Figure A1). For this purpose, not only the effector, but also the conditional target (neutral carrier) was vortexed.
The technology for obtaining iterations is described below. The standard procedure of preparation of iterations, which we named ‘crossing’, is a sequential vibration treatment of two substances: at the first stage, two vials containing two substances are placed adjacent on a vortex mixer and vibrated at a frequency of 50 Hz (for 10 s at a speed of 3000 rpm) followed by their joint incubation at room temperature for 1 min. These two substances, by analogy with a supramolecular chemistry, will be further referred to as ‘partners’. Partners could be any initial substance and a neutral carrier (purified water or lactose powder). The first partner is considered as a conditional effector (hereinafter referred to as the effector) and the second one as a conditional target (hereinafter referred to as the target). At this stage, the initial substance influences a neutral carrier, which is evidenced by a change in the properties of the carrier, and after that it is named ‘iteration 0’.
As can be seen in Figure 1b, then, a row of iterations is obtained from iteration 0. First, a sequential repetition of the joint vortexing of iteration 0 and a static neutral carrier (not subjected to vibration treatment) is performed; the neutral carrier is then named iteration No. 1. Then the procedure for obtaining the next iteration (No. 2, No. 3, etc.) is repeated many times by the joint vortexing of a new portion of a neutral carrier and the previous iteration.
If water acted as a neutral carrier, then the iteration obtained using, for example, a solution of antibodies to IFNγ as the initial substance is designated as the ‘aqueous iteration of a solution of antibodies to IFNγ’. If lactose powder acts as a neutral carrier, then the iteration obtained, for example, using sodium sulfate powder is designated as the ‘lactose iteration of a sodium sulfate powder’.
The purpose of this work was to study only the iterations obtained from one of the partners—a neutral carrier subjected to vibration treatment together with the initial substance. In the future, we plan to study iterations obtained from both partners.
The physical properties of iterations obtained during the crossing process were analyzed using several methods that were previously used in the study of high dilutions (which ‘store’ vibration): conductometry [33], radiometry [37,40], THz spectroscopy [17], and ELISA [21]. These methods made it possible to distinguish samples subjected to vibration treatment from the intact ones (not subjected to vibration).
Specific electrical conductivity, measured using conductometry [33,41], was chosen as one of the indicators for assessing changes in the physico-chemical properties of iterations. Samples that differ from the intact neutral carrier were designated as ‘C+’; those that did not differ were designated as ‘C−’.
Based on the previously obtained data [31], as well as information about the ability of vibration-treated high dilutions of antibodies to emit electromagnetic waves in the frequency range of 50 MHz–3.5 GHz [37,40], radiometry was used to study iterations. Samples that differed from the neutral carrier were designated as ‘GHz+’, and those that did not differ, as ‘GHz−’.
It was also previously shown that after vibration treatment, high dilutions of antibodies to IFNγ are capable of changing the THz characteristics of IFNγ solution [36], and, therefore, a change in the THz characteristics was chosen as one of the markers of ME. To detect the ME of iterations, we used the Δε1 and Δε2 characteristics of THz spectroscopy, which reflect the dynamics and connectivity of water molecules, as well as the number of free water molecules in the solution, respectively. We designated samples that differed from the neutral carrier in THz spectroscopy as ‘THz+’, and those that did not differ as ‘THz−’.
ELISA, which had been previously developed to detect the activity of high dilutions of antibodies [21], was also used in the current study. It was possible to establish that the difference between the test sample and neutral carrier according to ELISA (samples ‘ELISA+’) is more indicative of the direction of ME on the target molecules and the change in the THz characteristics reflects the influence mainly on their hydration shells [19].
Analyses of the characteristics of iterations were carried out immediately after their preparation and for iterations of the sodium sulfate solution in water, additionally, after 1 month of storage. Lactose iterations were diluted with water to a final concentration of 0.2% and 1% for conductometry and THz spectroscopy, respectively.
Additionally, the study of iterations was carried out using other methods previously used in the study of high dilutions: pH-metry, high-resolution thermography and UV spectrophotometry (which was used to assess the effect of iterations on the rate of the oxidation of ascorbic acid). The results of these studies either showed no differences between iterations and the control (pH-metry) or the poor reproducibility of the measurements performed on the same iteration (high-resolution thermography, UV spectrophotometry). Therefore, they were not used further to evaluate the characteristics of iterations. IR spectroscopy, which showed no advantages over THz spectroscopy, was also not used.
2. Materials and Methods
2.1. Sample Preparation
Iterations for each study were prepared by the same operator on the same day. Temperature and humidity in the laboratory were monitored during sample preparation and subsequent measurements using a verified IVA-6N thermohygrometer (NPK MICROFOR LLC, Zelenograd, Moscow, Russia); the temperature was 22 ± 1 °C and humidity was 30 ± 5%. Clear borosilicate glass vials (40 and 60 mL, G075-27/095-H and G075G-27/140-H Glastechnik Grafenroda, Infochroma AG, Goldau, Switzerland) or flasks (100, 250 and 500 mL, Kavalierglass Simax®, Praha, Czech Republic) were used to prepare iterations.
Type 1 ultrapure water with a resistivity of 18.2 MOhm×cm (Milli-Q Integral 5, Millipore, Molsheim, France), hereinafter referred to as ‘purified water’, was used as one of the neutral carriers, as well as for all other purposes. The purified water quality was monitored daily by measuring resistivity with a SevenCompact S230 conductometer (Mettler Toledo, Greifensee, Switzerland) and pH with a SevenCompact S220 pH meter (Mettler Toledo, Greifensee, Switzerland). Automatic variable volume pipettes were used for liquids (Eppendorf, Hamburg, Germany; Socorex, Greifensee, Switzerland), as was accuracy class A measuring glassware (Borosil, Mumbai, India; Steklopribor, Zavodske, Poltava Oblast, Ukraine). Dry reagents were weighed using a class I accuracy analytical balance (Pioneer PA214C, Ohaus, Pine Brook, NJ, USA). A calibrated laboratory timer (Traceable, VWR, Darmstadt, Germany) was used to measure all incubation periods. Vibration treatment was conducted using an MS 3 basic shaker (IKA-Werke, Staufen, Germany) with a standard insert.
The following initial substances were used:
- Polyclonal antibodies to IFNγ:
- 1.1.
- Solution of rabbit polyclonal antibodies to human IFNγ (2.6 mg/mL, manufactured by AB Biotechnology Limited, Edinburg, UK), which were diluted in purified water to a concentration of 26 μg/mL. A solution for obtaining iterations was prepared in 5 mL clear borosilicate glass vials (G075Y-14/050-H, Glastechnik Grafenroda, Infochroma AG, Goldau, Switzerland) by adding 50 µL of polyclonal antibodies to IFNγ to 4950 µL of purified water and mixing the solution by inverting the vial ten times without using a vortex. If an experiment required a large volume of iterations, then solution for obtaining iterations was prepared in 60 mL vials by adding 500 µL of polyclonal antibodies to IFNγ to 49.5 mL of purified water and mixing as described above.
- 1.2.
- High dilutions of antibodies to IFNγ, which were prepared using rabbit polyclonal antibodies to human IFNγ as the initial substance. Dilutions were prepared in 20 mL vials (G075G-27/057-H, Glastechnik Grafenroda, Infochroma AG, Goldau, Switzerland). 900 μL of solvent (purified water) was added to the vial, followed by 100 μL of the initial substance. The resulting mixture was manually shaken 20 times vertically (all subsequent shakes were performed likewise) and solution 1 was obtained. Next, 9.9 mL of solvent was added to a new vial, then 100 μL of solution 1 was added, the mixture was shaken and solution 2 was obtained. Next, using the procedure for obtaining solution 2, subsequent solutions 3–6 were prepared. Preparation of solution 7 was performed in the same vial as follows: 100 μL was taken from a vial with solution 6 using a pipette and then the contents of the vial were discarded by a quick movement. Afterwards, 9.9 mL of solvent was added to the emptied vial, which retained a small amount of the previous content (solution 6), followed by the addition of 100 μL of solution 6. The mixture was then shaken to give solution 7. This procedure was repeated until solution 30 was obtained.
- Sodium sulfate:
- 2.1.
- Sodium sulfate solution (0.1 M) was prepared by weighing 0.71 g of anhydrous sodium sulfate powder (131716, Panreac Applichem, Barcelona, Spain,) and placing it in a 60 mL clear borosilicate glass vial. Then, 50 mL of purified water was added using a dispenser and gently mixed by inverting until the powder was completely dissolved.
- 2.2.
- Anhydrous sodium sulfate powder (5 g) was placed in a 10 mL clear borosilicate glass vial (G075Y-27/037-H, Glastechnik Grafenroda, Infochroma AG, Goldau, Switzerland).
- Sodium thiosulfate solution (0.1 M) was prepared using an ampoule with a ready-made sodium thiosulfate pentahydrate reagent (2642-581-00205087-2007, Ural Plant of chemical reagents, Verkhnaya Pishma, Sverdlovsk oblast, Russia). The contents of the ampoule were quantitatively transferred to a 1 dm3 volumetric flask (MiniMedProm, Suponevo, Bryansk Oblast, Russia). Then, 500 mL of purified water was added to the flask, the reagent was completely dissolved and then the solution was filled to the mark with purified water and mixed again by inverting the flask ten times.
- Glucose:
- 4.1.
- Glucose powder (5 g) (G7021-100G, Sigma-Aldrich, Saint Louis, MO, USA) was placed in a 10 mL clear borosilicate glass vial (G075Y-27/037-H, Glastechnik Grafenroda, Infochroma AG, Goldau, Switzerland).
- 4.2.
- Glucose trituration powder. The process of obtaining triturations was conducted in several stages. First, 1g of lactose monohydrate (SuperTab 30 GR, DFE pharma, Nörten-Hardenberg, Germany) was weighed and ground in a mortar using a pestle to fill the pores. Next, three portions of 33 g of lactose powder and three portions of 0.33 g of glucose were prepared. Then, 33 g of lactose was placed in the mortar, 0.33 g of glucose was added, and the mixture was triturated with a pestle for 3.5 min. The resulting mixture was transferred to an evaporation bowl. The process was repeated twice, resulting in a combined mixture of three parts in the evaporation bowl. This mixture was taken as the first trituration of glucose powder, which was transferred to a 250 mL polypropylene flask (11001502, Kartell, Milan, Italy). To obtain the second glucose trituration, three new 33 g portions of lactose were prepared, as well as three 0.33 g portions of the first glucose trituration. Then, 33 g of lactose was added to the mortar, 0.33 g of the first glucose trituration was added to it, and the mixture was triturated for 3.5 min. The resulting mixture was transferred to an evaporation bowl. The process was repeated twice, and all three mixtures were combined in an evaporation bowl, resulting in a second glucose trituration, which was transferred to a 250 mL polypropylene flask. The procedure was repeated to obtain the sixth trituration of glucose. Glucose triturations were prepared by the same operator on the same day. Temperature and humidity in the laboratory during sample preparation and subsequent measurements were monitored using a verified IVA-6N thermohygrometer; temperature was within 22 ± 1 °C and humidity 30 ± 5%. Porcelain pestles and mortars (No.6, GOST 9147-80, Oyatskaya keramika, Saint Petersburg, Russia) and evaporation bowls (No.6, GOST 9147-80, Oyatskaya keramika, Saint Petersburg, Russia) were used to prepare the triturations.
The process of obtaining iterations (crossing) took place in several stages (Figure 1b). To obtain aqueous iterations of solution of antibodies to IFNγ, sodium sulfate solution and sodium thiosulfate solution, at the first stage, a 5 mL vial with 5 mL of the effector (a freshly prepared stock solution of the initial substance (antibodies to IFNγ, sodium sulfate or sodium thiosulfate solution)) and a 40 mL vial with 35 mL of the target (a neutral carrier (purified water)) were vortexed for 10 s at 3000 rpm in close contact. Thereafter, both vials were incubated for 1 min at room temperature in close contact. As a result of the above treatment, 35 mL of iteration 0 was obtained.
To obtain the first iteration (I1), a vial with iteration 0 was placed next to a new vial with 35 mL of neutral carrier and vortexed for 10 s at 3000 rpm in close contact. Then both vials were incubated for 1 min at room temperature in close contact. After this procedure, the processed neutral carrier was taken as an aqueous iteration I1 of the initial substance. Further, by repeating the procedure with I1, a new neutral carrier, I2, was obtained and, in a similar way, I3 from I2, etc.
In the case of lactose iterations of sodium sulfate powder, a 10 mL vial with 5 g of sodium sulfate powder (effector) was placed next to a 10 mL vial with 5g of a neutral carrier, lactose monohydrate (target), and vortexed for 10 s at 3000 rpm in close contact. Thereafter, both vials were incubated for 1 min at room temperature in close contact. To obtain the first iteration (I1) of sodium sulfate powder, vial with iteration 0 was placed next to a new 250 mL polypropylene flask with 100 g of intact lactose and vortexed for 10 s at 3000 rpm in close contact. Thereafter, both containers were incubated for 1 min at room temperature in close contact. After that, flask with the intact lactose was taken as lactose I1 of sodium sulfate powder. Further, I2 was obtained from I1 in a similar way and I3 from I2, etc. The procedure was repeated as many times as necessary to obtain the final iteration.
The process of preparing iterations obtained after using, at the first stage, two vials containing an identical substance (solutions of antibodies to IFNγ, dilutions of antibodies to IFNγ, glucose powders and glucose trituration powders) emulated the preparation of iterations described above exactly. To obtain I1, one of vials with the initial substance after the first stage was considered an effector and from it, according to the standard crossing procedure, a number of iterations of duo of the initial substance were obtained.
To obtain complex iterations, two vials with effectors (solution of antibodies to IFNγ and sodium sulfate solution) and one vial with target (neutral carrier (water)) were used. All three vials (with 5 mL of antibody to IFNγ solution (26 μg/mL), 5 mL of sodium sulfate solution (0.1 M), and 5 mL of neutral carrier) were vortexed for 10 s at 3000 rpm in close contact. The three vials were then incubated for 1 min at room temperature in close contact. After this procedure, a series of complex iterations were obtained from the vial with the neutral carrier (iteration 0).
After preparation, the samples were blinded and randomized, and measurements were performed by different operators in two laboratories (see Appendix A).
On the day of analysis, iterations were vortexed once for 10 s at 3000 rpm.
For the study of lactose iterations by conductometry and terahertz spectroscopy, aliquots of lactose samples were weighed and dissolved in purified water by gently mixing by inverting 5 times. For conductometry, a 0.2% aqueous solution of lactose iterations was prepared (60 mg of the sample was dissolved in 30 mL of purified water in a 40 mL clear borosilicate glass vial). For analysis by terahertz spectroscopy, 1% aqueous solution of lactose iterations was prepared (100 mg lactose samples were weighed and dissolved in 10 mL of purified water in a 10 mL clear Glastechnik Grafenroda borosilicate glass vial).
2.2. Additional Sample Preparation for In Vivo Experiments
Aqueous iterations of solution of antibodies to IFNγ applied to lactose powder (fluidized bed saturation method) were provided as test samples for a mouse influenza model. For the oral glucose tolerance test, samples of lactose iterations of duo triturations of glucose were prepared.
Immediately prior to intragastric administration, the test samples for each study were dissolved in purified water according to the following procedure: 1.25 g of the test sample was placed in a sterile polypropylene tube, 15 mL of purified water was added, then the contents were gently mixed by inverting the tube. Another 10 mL of purified water (25 mL in total) was added to the resulting solution. The solutions were mixed before each administration.
Lactose saturation with ‘Native’ and ‘Active’ fraction of aqueous iteration of solution of antibodies to IFNγ for the study in an influenza mouse model:
Sample preparation for lactose monohydrate saturation:
Ethyl alcohol (70%) was used as one of the components and was prepared by mixing 3093 g of 95% ethyl alcohol and 1519 g of purified water. Weighing was performed on an electronic laboratory balance (BW22KH, Shimadzu, Kyoto, Japan) and the density of the resulting mixture was measured using a density meter (Mettler Toledo EasyPlus D40, Greifensee, Switzerland). To obtain the test solution, 494 g of iteration solution was added to 463 g of 70% ethyl alcohol. The resulting mixture was thoroughly stirred, and the density was measured using a density meter.
The process of lactose monohydrate saturation with an iteration sample (‘Native’ and ‘Active’ fraction of aqueous iteration of solution of antibodies to IFNγ):
Lactose saturation with ‘Native’ or ‘Active’ fraction of aqueous iteration of solution of antibodies to IFNγ was performed by the same operator on the same day. During saturation preparation a 10 L stainless steel bucket with a lid was used; weighing during the measurement of technological characteristics was conducted using a 500 mL stainless steel portioning ladle and a chemical spoon (Bochem Instrumente GmbH, Weilburg, Germany). Lactose and saturated lactose were weighed using Scout Pro SPS4001F (OHAUS, Pine Brook, NJ, USA) and Scout Pro SPS6001F (OHAUS, Greifensee, Switzerland) laboratory scales. Technological characteristics during incoming material control and product control were measured using the following set of instruments: PTG-S4 powder flow analyzer (Pharma Test Apparatebau AG, Hainburg, Germany), PT TD200 powder density tester (Pharma Test Apparatebau AG, Hainburg, Germany), AS200 sieving machine (Retsch GmbH, Haan, Germany), and MB45 Moisture Analyzer (OHAUS, Greifensee, Switzerland). Lactose saturation was performed using a Solidlab 2 Fluidized Bed Unit (Hüttlin GmbH A Bosch Packaging Technology Company, Schopfheim, Germany), including: liquid dosing system, Diskjet product container and dynamic air filtration system (Hüttlin GmbH A Bosch Packaging Technology Company, Schopfheim, Germany). The following saturation materials were used:
- (1)
- Lactose monohydrate.
- (2)
- Iteration sample (‘Native’ fraction of aqueous iteration of solution of antibodies to IFNγ) for saturation in 36.7% alcohol.
The saturation process in the fluidized bed unit was performed automatically according to the selected recipe. After saturation, the technological characteristics of the obtained samples were checked for compliance with the established standards.
2.3. Additional Sample Preparation for Experiments to Assess the Effect on the Decomposition Reaction of Sodium Thiosulfate
This approach was used to investigate iterations of sodium sulfate (1% aqueous solutions of lactose powders saturated with iterations) and iterations of sodium thiosulfate (aqueous solutions). Here, 1% aqueous solutions of lactose powders saturated with iterations and intact lactose (control) were prepared as follows: a 10 mL tube (SCT-10ML-S, Axygen, Glendale, AZ, USA), in which 5 g of lactose powder was stored, was shaken for 10 s on a vortex, a 100 mg aliquot was taken from it, placed in a 20 mL glass vial, 10 mL of water was added to it, it was left alone for 10 min, then shaken on a vortex for 10 s at 3000 rpm, after which measurements were taken.
2.4. Evaluation of the Physico-Chemical Properties and Modifying Activity of Samples
2.4.1. Assessment of Physico-Chemical Properties: Electrical Conductivity
Conductivity measurements were performed using a SevenCompact S230 conductivity meter (hereinafter referred to as ‘conductometer’) with a two-pole conductivity cell having a constant 0.1 cm−1 in the range from 0.001 μS/cm to 500 μS/cm (hereinafter referred to as ‘the sensor’). Measurements were conducted using a non-linear temperature correction mode for temperature compensation. Before measurements, it was necessary to make sure that the temperature sensor was stabilized. The conductivity meter was calibrated before and after each series of measurements using a 10 µS/cm calibration standard (51300169, Reagecon, Clare, Ireland). Before each calibration and measurement, the absence of air bubbles inside the measuring cell was checked. Air bubbles were removed by tapping on the sensor or raising and lowering the sensor to flush them.
The measurement procedure began by immersing the sensor in the test specimen without contact with the walls or the bottom of the tube to avoid interference. The readings were allowed to stabilize before recording; this varied depending on the sample, but usually required up to 20 s. Measurements were performed in nine replicates. Before each measurement, the electrode was washed with distilled water, after which the electrical conductivity was measured using a new aliquot of the sample.
Between samples, the probe was thoroughly washed with purified water and dried with a clean, lint-free laboratory wipe to prevent cross-contamination. Statistically significant differences from the control (a neutral carrier (either water or lactose solution)) exceeding 5% at p < 0.05 were considered a positive result.
2.4.2. Assessment of Physico-Chemical Properties: Radiometry
To prevent external electromagnetic interference, measurements were conducted inside an in-house-build Faraday cage, made of an aluminum frame and copper mesh. An integrated electromagnetic radiation detector, a heating device and an antenna for generating external electromagnetic radiation were placed inside the Faraday cage (for a schematic illustration of such an installation, see Stepanov G.O. et al., 2024 [37]).
A TES-92 electromagnetic radiation detector (TES Electrical Electronic Corp., Taipei, Taiwan) was used to measure the radiation flux density which produced the samples. During measurement, the following parameters were set: energy flux density measurement range: 0 μW/m2;–30.93 W/m2 with a resolution of 0.001 μW/m2; measurement method: isotropic; sensor: three-channel; frequency range: 50 MHz–3.5 GHz; display refresh rate: about 400 ms; units: μW/m2; and measurement mode: MAX AVG. The TES-92 integrated detector was powered by a 9V battery (either rechargeable or non-rechargeable). Before the experiment, the battery was tested with a DT9205A multimeter (TEC Technik und Entwicklung AG, Zug, Switzerland) and used only if the reading was 9 volts or higher. An ADF4351 signal generator (Diymore, Shenzhen, China) with a 1.4-10.5 GHz UWB directional high-gain antenna (ZWAAJKQK, Shenzhen, China) was used as an external radiation source. Inside the cage, devices were attached to a clamp stand or a specially designed metal frame so that the distance from the detector sensor to the sample was 0.5 cm. To control the temperature of the sample during measurement, a PST-60HL-4 laboratory thermal shaker (Biosan, Riga, Latvia) or Primelab PL-H hot plate (Primelab, Mytishchi, Moscow oblast, Russia) was used. The test samples were placed in polystyrene Petri dishes with a diameter of 60 mm (Perint, Saint Petersburg, Russia). To control the temperature, a WF-4000 infrared laser thermometer (B.Well Swiss AG, Widnau, Switzerland) was used.
The procedure of the experiment was as follows: a liquid sample of 10 mL was placed in a polystyrene Petri dish with a diameter of 60 mm using a manual macropipette (Acura 835 1–10 mL, Socorex, Ecublens, Switzerland) and closed with a lid. For the lactose iteration analysis, approximately 17 g of the sample was placed in a 60 mm diameter Petri dish so that the plate was filled completely. The thermal shaker for preheating was heated to 52 °C and the sample was heated to a temperature of 37 °C after closing the lid. To minimize the risk of contamination, a new Petri dish was used each time. The heating time was 4–5 min and the temperature was monitored with an infrared laser thermometer. The required measurement parameters of the TES-92 device were set at measurement axis—Z, units of measurement—µW/m2. After that, the sample was placed on a thermal shaker (or hot plate) inside the cage, where the temperature was set to 45 °C to maintain the desired temperature of the sample, and the Petri dish was placed in the center of the heating element for more uniform heating. The antenna was aimed at the sample and the radiation parameters were selected: the frequency was set to 2200 MHz and power was set to +5 dBm. The Faraday cage was then closed and measurements were performed in MAX AVG mode, selecting this mode using the MAX AVG button placed outside the cage. The measurement time of one replicate was 10 min. The measurement time was controlled by a laboratory timer. After the specified time, the radiation value on the TES-92 display was recorded, the Faraday cage lid was opened, the sample was removed, and another sample was put in its place and preheated to the desired temperature, after which similar measurements were conducted.
Statistically significant differences from the control (a neutral carrier (either water or lactose solution)) exceeding 10% at p < 0.05 were considered a positive result.
2.4.3. Terahertz Spectroscopy
Using terahertz spectroscopy, the intrinsic terahertz characteristics of iterations were studied, as well as their effect on the terahertz characteristics of the target molecule solution—a modifying effect (ME).
Evaluating Terahertz Characteristics of Iterations
From each aqueous iteration sample, 9 aliquots were taken for measurement. Three aliquots of each lactose iteration sample were dissolved in purified water to obtain a 7 w% solution; after that, three aliquots were taken from each solution for measurement.
Sample spectra were recorded on a TPS Spectra 3000 THz spectrometer (Teraview Ltd., Cambridge, UK) in the range of 0.1–275 cm−1 with a spectral resolution of 4 cm−1. The Fourier transform of the measured time functions of electric field strength into spectra was performed using the Blackmann-Harris 3 apodization function. To obtain one spectrum, 1200 scans were averaged.
The temperature of all solutions during the measurement was maintained at 25 ± 0.5 °C by placing them in a cuvette in a 4000 Series High-Stability Temperature Controller thermostatic holder (Specac Inc., Fort Washington, PA, USA).
Samples were analyzed in two identical quartz cuvettes differing only in inter-window distance (approximately 50 and 100 μm thick). The exact distances between the windows were determined interferometrically after the cuvettes had been assembled. For this purpose, the transmission spectra of the empty cuvettes were measured on a FT-801 (OOO “NPF “Simex”, Novosibirsk, Russia) in the range of 4000–8000 cm−1.
The single-beam radiation intensity spectrum of a sample aliquot recorded in a 100 μm cuvette was divided by a similar spectrum of another aliquot of the same sample recorded in a 50 μm cuvette to obtain a transmission spectrum of this sample with a thickness equal to the difference in the thicknesses of the two cuvettes. The phase spectrum of the sample in a smaller thickness cuvette was subtracted from the phase spectrum of the sample in a larger thickness cuvette, which, after dividing by the difference in thickness of the two cuvettes, gave the refractive index spectrum of the sample. This approach avoided optical artifacts and minimized the interference effect within the sample.
Transmittance and refractive index spectra were used to calculate the spectra of the real and imaginary component of the dielectric constant of the solutions. The latter were used to calculate the coefficients de1 (∆ɛ1) and de2 (∆ɛ2), depending on the binding of water molecules in the test solution. Thus, the increased binding of water molecules in hydrate shells is accompanied by a decrease in the amplitude of the Debye relaxation band (de1). At the same time, it is possible to both increase and decrease the amplitude of the high-frequency relaxation band (de2) in different cases. Calculation of de1 and de2 values was carried out in Python v.3.8.10 in the narrowed frequency range from 10 cm−1 to 110 cm−1. For a more detailed description of data acquisition and analysis, see Penkov N., 2021 [36].
Before each experiment, the cuvettes and the cuvette compartments were checked for scratches and cleanliness. For each measurement, a dry clean cuvette was filled with a new aliquot of the sample without forming bubbles inside the cuvette. The cuvette was closed and the housing was dried from the outside with a pressurized nitrogen jet and placed in the THz cuvette compartment of the spectrometer. A pause of 5 min was maintained to stabilize the temperature and purge the optical part of the spectrometer with dried air. After measurement, the cuvettes were washed with purified water and dried.
The test sample was considered active if the de1 (∆ɛ1) or de2 (∆ɛ2) value was statistically significantly different from the corresponding value for the control (a neutral carrier (water)) at p < 0.05.
Evaluation of Modifying Effect
It has been previously shown that the THz spectroscopy method allows molecular changes to be detected at the level of hydrogen bonds when dilutions of one substance are exposed to another ‘complementary substance’, indicating the presence of ME in dilutions of the substance [19,36]. In this regard, we used this method to assess ME of samples towards the target molecule.
The following reagents were used in the experiment: recombinant human interferon-gamma (OOO “NPF “Materia Medica Holding”, Moscow, Russia) and type 1 ultrapure water water.
Human recombinant IFNγ produced in Escherichia coli at a concentration of 0.5 to 1.2 mg/mL, depending on the batch, in 0.01 M PBS pH 7.4 (P4417, Sigma-Aldrich, Saint Louis, MO, USA) with 0.1% Tween-80 (142050, Panreac AppliChem, Barcelona, Spain) and 10% mannitol (1534, Panreac AppliChem, Barcelona, Spain) was stored at −80 °C. Aliquots of a freshly prepared aqueous solution of IFNγ (20 μg/mL) (990 μL per 2 mL Eppendorf plastic tube) were stored in a refrigerator at 2–8 °C throughout the experiment. Each tube of IFNγ solution was kept at room temperature for 15 min prior to the addition of the test sample.
A mixture of the test sample with IFNγ solution or purified water was prepared immediately prior to measurement. To do this, 990 μL of IFNγ solution (20 μg/mL) and 10 μL of the test sample were added to 2 mL Eppendorf plastic tube. The resulting solution was mixed by inverting the tube 5 times. Each solution was prepared in three independent replicates and for each replicate, two independent measurements were made. All samples were analyzed randomly. The air humidity in the room during the measurements was controlled and was approximately 35%.
Sample spectra were recorded on a TeraPulse Lx THz spectrometer (Teraview Ltd., Cambridge, UK). Samples were analyzed in two quartz cuvettes according to the procedure described in the previous subsection.
The cuvette assembly was placed in a special compartment with a holder connected to a Lauda Alpha Ra 8 thermostatic circulator (Lauda Dr.R. Wobser GMBH & CO, Lauda-Koenigshofen, Germany) and maintained at a constant temperature of 27 °C. During the experiment, the cuvette compartment was continuously purged with dried air (15–17 L/min) to minimize the formation of water vapor. Clean dry air was obtained using a PG14L gas generator (PEAK Scientific Ltd., Inchinnan, Scotland, UK) and a FatMax air compressor (Stanley, Torino, Italy). Before measurements, the baseline was set with an empty cuvette compartment. The peak value of the THz signal (20 a.u.) was at 7 ps.
Using TeraPulse v0.16.01 software (Teraview Ltd., Cambridge, UK), the spectra of the refractive index (relative units) and the light transmission index (relative units) in the range of 0–360 cm−1 with a spectral resolution of ~1 cm−1 were obtained and 1800 scans were averaged for each spectrum. The parameters for recording the spectra were as follows: pre-scan extent—3000 ps, optical delay extent—37,000 ps, offset—4000 ps and waveform rate—15,000 Hz, smoothing model—Blackman-Harris 3 term.
Calculations of de1 (∆ɛ1) and de2 (∆ɛ2) coefficients were carried out in Python v.3.8.10 in the narrowed range from 10 cm−1 to 110 cm−1. For a more detailed description of data collection and analysis, see Penkov N., 2021 [36].
Statistically significant differences in de1 (∆ɛ1) or de2 (∆ɛ2) from the control (a neutral carrier (water)) exceeding 5% at p < 0.05 were considered a positive result.
2.4.4. ELISA: Evaluating Modifying Effect
All dilutions of primary and secondary antibodies were freshly prepared. For all incubations, the recommended circular mixing frequency of solutions in the wells was strictly observed and the permissible deviation of the time of the immunochemical reaction was no more than 3 min from the standard incubation time, contributing to reproducibility of results.
Additionally, 100 μL of human IFNγ solution in a carbonate–bicarbonate buffer (C3041, Sigma-Aldrich, Saint Louis, MO, USA,) with pH 9.6 at a concentration of 1.0 μg/mL was added to each well of a 96-well medium-binding plate (655001, Greiner bio-one GmbH, Frickenhausen, Germany). The plate was then sealed with an adhesive film (D2000r, PanEco, Moscow, Russia), placed in a wet chamber and incubated at 4 °C for 18 h. The plates were washed twice using a Wellwash microplate washer (Thermo Fisher Scientific, Vantaa, Finland) with 350 μL/well of 1x PBS wash buffer (P4417, Sigma-Aldrich, Saint Louis, MO, USA)) with pH 7.4 and 0.1% BSA (A2244, PanReac AppliChem, Barcelona, Spain). After washing, 250 μL of blocking buffer (1x PBS pH 7.4 with 1% BSA) was added to each well and incubated for 1 h ± 10 min at room temperature. After blocking, the plates were washed twice using a microplate washer with 350 μL/well of stabilizing buffer (1x PBS pH 7.4 with 0.1% BSA and 2% sucrose (141621, PanReac AppliChem, Barcelona, Spain,)) and dried at 37 °C for 4 h in a MIR-162 thermostat (Sanyo, Osaka, Japan).
For IFNγ-coated plates, quality control was performed, which included determining the working dilution of secondary antibodies and assessing homogeneity. The plates were used for sample analysis only if all the acceptance criteria were met. If at least one criterion was not met, the assay was repeated (adjusting the selected secondary antibody dilutions as necessary). If the requirements were not met again, the batch of plates was rejected and a new one was prepared.
The test samples (100 μL) were added to the wells according to the plate layout shown in Appendix B, Scheme A1. To minimize the edge effect, we added purified water to the outer wells during pre-incubation with samples and diluent at the primary antibody incubation stage. The plates were placed in a thermostat for 30 min at 55 °C; then the test samples were discarded by inverting the plate and blotting on a Kimtech Pure W4 lint-free wipe (7605, Kimberly-Clark, Irving, TX, USA). Next, dilutions of primary monoclonal antibody to IFNγ (mouse IgG1, κ, LS-C149485, LifeSpan BioSciences, Shirley, MA, USA) were prepared at concentrations of 100, 50, 25 and 12.5 ng/mL in 1x PBS with 0.1% BSA and 0.05% Tween-20 (A4974, PanReac AppliChem, Barcelona, Spain) and added (100 μL/well) to the wells according to the plate layout shown in Appendix B, Scheme A2. To control non-specific binding of reagents, diluent was added to the outer wells. The plate was incubated for 1.5 h at room temperature at 700 rpm in a thermal shaker. The plates were washed three times with a microplate washer with 350 μL/well of wash buffer (1× PBS with 0.05% Tween-20).
After washing the plate, 100 μL of secondary horseradish peroxidase-conjugated antibody (goat anti-mouse IgG, ab6789, Abcam, Cambridge, UK) was added in the dilution selected for this plate batch. The plates were then incubated for 1 h at room temperature in a thermal shaker at 700 rpm. The plates were washed three times with 350 μL/well of wash buffer (1x PBS with 0.05% Tween-20) and 100 μL of a mixture of 3,3’,5,5’-tetramethylbenzidine and substrate buffer (Lanko, Moscow, Russia) was added. After 15 min of incubation in the dark, the reaction was stopped by adding 100 μL of 12% solution of sulfuric acid (141058, PanReac AppliChem, Barcelona, Spain) to the wells. The plate was sealed and shaken briefly (10 s at 700 rpm) at room temperature. No later than 10 min after stopping the reaction, optical density was measured using a Multiskan FC microplate reader (Thermo Fisher Scientific, Shanghai, China) at the wavelength of 450 nm with the reference wavelength of 620 nm. For replicates within a single concentration of the primary antibody, the mean absorbance, standard deviation, and coefficient of variation were calculated using MS Excel, 2007.
For testing, the researcher received coded samples. In accordance with the in-house developed ELISA technique, it was not possible to arrange the samples on the plate in a random order, so the researcher was informed about the layout of the samples on the plate. At the same time, in order to ensure blind testing, the researchers did not know which iteration number they were testing and received a complete decoding of the samples only after the study was completed and statistical processing of the data was underway.
An iteration of solution of antibody to IFNγ was placed on the left and the neutral carrier on the right. The compared test samples and controls were spaced apart to eliminate the distant effect and the outermost wells were filled with water to eliminate the edge effect. Finally, before performing the main study, the ELISA technique was validated to measure the interaction between IFNγ and the corresponding antibody, i.e., the specificity of the test system was confirmed, as well as the absence of operator factor, edge effect, concentration gradient and the influence of sample layout.
Curves of optical density dependence on the antibody concentration were plotted. Statistically significant differences from the control (a neutral carrier (water)) in optical densities for at least two of the four comparison points exceeding 5% at p < 0.05 were considered a positive result.
2.4.5. Dynamic Light Scattering: Presence of Heterogeneities in Solutions
The hydrodynamic diameters of optical heterogeneities (nanostructures) in solutions were determined by dynamic light scattering on a Zetasizer nano ZS system (Malvern Instruments Ltd., Enigma Business Park, UK) equipped with a continuous wave (CW) He−Ne laser at a wavelength of 633 nm (maximum intensity 4 mW) and a temperature controller. The system is sensitive to heterogeneities with a hydrodynamic diameter in the range from 0.3 nm to 10 µm. Measurements were conducted at 25 ± 0.1 °C. The autocorrelation function of scattering intensity was measured at an angle of 173°. To determine the size distribution of optical heterogeneities, the viscosity of water at 25 °C was set to 0.89 cP [42]. Size distributions were calculated with Zetasizer software (version 7.17). When analyzing data in size distribution of optical heterogeneities, the following size ranges were considered: <1 nm, 1–20 nm, 20–50 nm, 50–1000 nm, and >1000 nm.
The following samples were studied by the method of dynamic light scattering: aqueous iterations of solution of antibodies to IFNγ and aqueous iterations of sodium sulfate solution, aqueous solutions of lactose iterations of sodium sulfate powder, static freshly prepared water, as well as static freshly prepared water after exposure to iterations.
Each water sample was analyzed 18 times, but in some cases, size distributions were not obtained.
2.5. Sodium Thiosulfate Decomposition Reaction
The effects of the test samples (iterations of sodium sulfate and sodium thiosulfate) on the kinetics of the chemical reaction were evaluated using an easily reproducible model reaction between sodium thiosulfate and sulfuric acid. This reaction results in the solution becoming cloudy and acquiring a yellow color: a fine colloidal sulfur is formed, due to which the speed of the process can be measured by the optical density of the solution at a pre-selected wavelength.
Solutions of Na2S2O3 (0.2 M) (prepared from a ready-made sodium thiosulfate pentahydrate reagent)) and H2SO4 (0.1 M) (prepared from 98% sulfuric acid) were diluted with the test samples two-fold to a concentration of 0.1 M and 0.05 M, respectively. Dilution was performed in 20 mL glass vials by adding 2.5 mL of each respective solution.
Next, 0.5 mL of H2SO4 solution (0.05 M) was placed into a Semimicrovolume quartz cuvette (Bio-Rad), then 0.5 mL of Na2S2O3 solution (0.1 M) was added. Immediately after this, the cuvette was closed with a lid, and the solutions were mixed by inverting three times. The cuvette was then immediately put into the spectrophotometer, and the measurement of the optical density dependence on time of the solution was started.
Measurement of optical density was conducted at the wavelength of 740 nm (selected experimentally) on a Cary 60 UV-Vis spectrophotometer (Agilent Technology Inc., Santa Clara, CA, USA) in kinetics mode for 5 min. The room temperature (22 °C) and humidity (37%) were monitored.
Using each test sample, 6 replicates of the reaction were made and, accordingly, 6 optical density kinetics curves were recorded. Each kinetic curve was approximated with a sigmoid function, and the maximum of the first derivative was calculated, which is equal to the sodium thiosulfate decomposition reaction rate of the inflection point. The groups were compared by first derivative maximum value.
The test sample was considered to change the thiosulfate decomposition reaction rate if, in its presence, the obtained values of the measured parameter were statistically significantly different from the corresponding value in the presence of the control (a neutral carrier (water or lactose solution)) at p < 0.05.
2.6. Estimation of the Amount of Glucose Consumed by CHO-S Cells Depending on Insulin Concentration
The activity of the samples was tested using CHO-S cell line (514448, Thermo Fisher Scientific, Carlsbad, CA, USA). To assess the effect of the samples, 10 mL of a 7w% solution was prepared. To do this, 0.07 g of each sample was dissolved in Hybris medium without insulin (manufactured by PanEco, Moscow, Russia) by careful pipetting of the solution; the solution was then passed through a 0.2 µm-pore-size PVDF membrane syringe filter (729219, Macherey-Nagel, Düren, Germany). Freshly prepared sample solutions were used each time.
CHO-S cells were cultured in 6-well plates (N-703011, Nest, Jiangsu, China) in Hybris medium without insulin for 7 days (37 °C, 5% CO2), with the proportion of samples being 1/6 of the total well volume. The cells were then transferred into 48-well plates (N-748011, Nest, Jiangsu, China) and test samples and various concentrations (0.5 μg/mL, 5 μg/mL, and 50 μg/mL) of human insulin solution (PanEco, Moscow, Russia) were added. The final cell concentration was 0.15 × 106 cells/mL and the proportion of test samples was 1/6 of the total well volume (500 μL). Plates were incubated for 72 h at 37 °C with 5% CO2. A glucose consumption analysis was then performed for each experimental well, using the hexokinase method and WST assay to calculate the normalized glucose consumption.
When preparing samples for the hexokinase method, 2 mL plastic tubes (CFT001020, JetBiofil, Guangzhou, China) were used. Each tube contained 780 µL of Tris buffer (0.1 M, pH 7.8) (Tris(hydroxymethyl)aminomethane Sigma 7-9®, T1378, Sigma-Aldrich, Saint Louis, MO 63103, USA) and 20 µL of cell suspension from a well with the corresponding sample. The resulting mixtures were vortexed (Biosan, Riga, Latvia) and 50 μL added into the wells of a 96-well plate (Corning Costar, Glendale, AZ, USA). Then, 50 µL of the enzyme and coenzyme mixture (Tris buffer, hexokinase, NAD+, and ATP) were added to the wells and incubated for 1 h at 37 °C. After incubation, 200 µL of Tris buffer (0.1 M, pH 7.8) was added to each well. The optical density was measured using a Multiskan FC microplate reader at wavelengths of 340 nm and 450 nm. The optical density values in each well were obtained by the formula ODglu = OD340 − OD450 − ODtris(calibration). Next, the glucose consumption was calculated by the formula Cglu = 30 − ((ODglu − b)/a × 40), using the calibration equation y = ax + b. For replicates within a single insulin concentration, the mean, standard deviation, and coefficient of variation were calculated using Excel, 2007 software (Microsoft, Redmond, WA, USA). The plate layout is shown in Appendix B, Scheme A3.
The WST-1 reagent (FI28731, Biosynth, Suzhou, China) was used to evaluate the metabolic activity of cells. Assay was conducted according to the manufacturer’s instructions. CHO-S cells were added to 96-well plates (3599, Corning Costar, NY, USA) at 100 μL/well in duplicates, then 8 μL/well of WST-1 reagent was added, and plates were incubated for 3 h at 37 °C. Optical density was measured on a Multiskan FC microplate reader at wavelengths of 440 nm and 650 nm. The final optical density was calculated using the formula: ODwst = OD440 − OD650. The plate layout is shown in Appendix B, Scheme A4.
Calculation of normalized glucose consumption by CHO-S cells was carried out according to the formula N = Cglu/ODwst (where ODwst is the average value of two replicates).
Statistically significant differences from the control (a neutral carrier (intact lactose)) exceeding 15% at p < 0.05 were considered a positive result.
2.7. Oral Glucose Tolerance Test
2.7.1. Animals and Experimental Groups
An oral glucose tolerance test was performed on adult male Balb/c mice (n = 47) (SMK Stesar, Vladimir, Russia). This study was approved by the Bioethics Committee of the Research Institute of General Pathology and Pathophysiology (Protocol No.2, 12/03/2024). All animal experiments and care were performed in accordance with the guidelines for the protection of animals used for scientific purposes (Directive 2010/63/EU of the European Parliament and of the Council of 22 September 2010). Mice were housed in groups of 9–10 in polycarbonate and polysulfone cages (475 × 350 × 200 mm, floor space 1662.5 cm2, AWTech, Moscow, Russia) with Rehofix MK 2000 bedding based on corn cobs (JRS, Rosenberg, Germany) and placed in a 12:12 h light–dark cycle with temperature ranges of 20–24 °C and relative humidity ranges of 45–65%. Animals were given complete universal extruded diet for rats, mice and hamsters (JSC GATCHINSKY KKZ, Saint Petersburg, Russia) and filtered tap water available ad libitum.
Mice were randomly divided into six experimental group: intact (n = 11), control (received 10 mL/kg purified water orally, n = 8), two groups that were orally (via gavage) administered (10 mL/kg) ‘Native’ (n = 13) or ‘Active’ (n = 15) fractions of lactose iterations of duo triturations of glucose and two groups that were orally (via gavage) administered (10 mL/kg) ‘Native’ (n = 14) or ‘Active’ (n = 13) fractions of lactose iterations of duo of glucose powder. The tested samples were supplied as powders (before administration, they were dissolved in purified water to a concentration of 0.05 g/mL).
2.7.2. Oral Glucose Tolerance Test
Mice were deprived of food for 13–15 h prior to the test, with unrestricted access to drinking water. Experimental or control samples were administered 30 min before the test, followed by oral administration of glucose (2 g/kg, 10 mL/kg). Blood glucose concentrations were assessed at 15, 30, 60, and 90 min after glucose solution administration using a Contour TS glucometer (Ascensia Diabetes, Basel, Switzerland). Blood was taken from the caudal vein. The baseline blood glucose concentration was assessed before oral glucose administration.
Samples were considered to have antiglycemic potential if there was a statistically significant (p < 0.05) decrease in glucose levels compared to the control group at least one time point.
2.8. Mouse Model of Influenza Infection
2.8.1. Animals and Experimental Groups
Influenza virus infection was induced in female BALB/c mice (n = 100) aged 7–9 weeks (SMK Stesar, Vladimir, Russia). All procedures were approved by the Ethics Committee of the I.I. Mechnikov Scientific Research Institute of Vaccines and Serums (Protocol No.11, 28/07/2023). Mice were housed in groups of 5–10 in plastic cages (350 × 200 × 150 mm) with sterilized small wood shavings as bedding. The following conditions were maintained in the animal facility: ambient temperature 20–24 °C, relative humidity 45–65%, and 12/12 h light–dark illumination cycle with lights on at 08:00 and off at 20:00. The animals were fed with complete universal extruded diet for rodents (JSC Melkombinat, Tver, Russia). Animals were given unlimited access to food and distilled water.
Animals were randomized into four groups by body weight (deviation no more than 10%, n = 30 in each). Mice in the first group were administered Tamiflu (Hoffmann-La Roche, Milan, Italy) orally (via gavage) 4 h before infection and subsequently for 4 days (20 mg/kg/day divided into 2 doses); mice treated with test samples (lactose powder dissolved in purified water, saturated with ‘Active’ or ‘Native’ fractions of aqueous iterations of solution of antibodies to IFNγ) were administered 20 mL/kg/day intragastrically 3 days before infection and within 6 days after infection; and mice treated with distilled water had same dosage regimen as used for the test samples.
The antiviral activity of the samples was determined by the presence of a statistically significant (p < 0.05) increase in survival and/or decrease in virus titer compared to the placebo group.
2.8.2. Influenza Infection
Mice were infected intranasally with mouse-adapted influenza virus A/California/04/2009 (H1N1pdm2009) under ester anesthesia (the virus was provided by the WHO National Influenza Center at the Smorodintsev Research Institute of Influenza, Russian Ministry of Health, Saint Petersburg). For this experiment, LD80 infectious dose of the virus (25 μL in each nostril—104 TCID50/0.1 mL) was used. The animals were examined daily and body weight was measured in the morning on the day of infection (day 0) and on days 2, 4, 6, 8, 10, 12, and 14 after infection (Table S8). On day 4 after infection, 20 mice from each group were euthanized by cervical dislocation and the lungs were isolated for virus titer assessment by the Reed–Muench method (expressed in log10 TCID50/0.1 mL). The remaining animals (n = 10 in the group) were observed until day 14 to assess survival (the main efficacy criterion).
The abundance of tests and methods used is explained by the objectives of the study, which are not just to demonstrate the phenomenon of post-vibration interactions, but to establish a possible dependency between certain combinations of physical properties of interaction products (iterations) and their chemical and biological activity.
2.9. Statistical Analysis
Raw data processing, analyzing and plotting were made by means of R software 4.3.1 (R Foundation for Statistical Computing, Vienna, Austria). Mean +/− SD measures represented data values. Both data distribution and variance were evaluated by Shapiro–Wilk test and Bartlett test, respectively. Hypotheses testing harnessed two-sided approach across all comparisons while p-value threshold was established at 0.05.
For electrical conductivity, radiometry, terahertz spectroscopy, ELISA, dynamic light scattering and glucose consumption by CHO-S cells: data were tested in pairwise way through either Mann–Whitney U test or Student’s/Welch’s test concerning input data features.
Sodium thiosulfate decomposition reaction curves were approximated with sigmoid function and the maximum of the first derivative was calculated, which is equal to the sodium thiosulfate decomposition reaction rate of the inflection point. The groups were compared by first derivative maximum value.
Mouse model of influenza infection, oral glucose tolerance test, and sodium thiosulfate decomposition reaction derivatives: Kruskal–Wallis test was used for multiple comparisons (more than two groups) followed by Dunn’s post hoc, whilst ANOVA supplemented with t-test were deployed depending on both data distribution and variance. Survival functions were calculated by Kaplan–Meier method followed by log-rank test to compare curves. p-values adjustment was harmonized across all multiple comparisons by Holm’s method.
3. Results
3.1. Experiment 1: Using the Crossing Procedure, Artificial Products (Iterations) Can Be Obtained
In a preliminary experiment, we found that a solution of antibodies to IFNγ after vortexing without a partner has a very weak effect on the target molecule (antigen solution) which was not subjected to vibration (see Appendix C, Figure A1, Table S21 with original dataset) and has no effect on the neutral carrier (see Appendix D, Table S22). To test the possibility of enhancing ME, we studied the joint vortexing of an effector (antibodies to IFNγ) and a target (water). It was found that this caused a statistically significant effect on the target molecule.
In this and subsequent experiments, crossing was carried out in accordance with the standard procedure described above (Figure 1b). If an interaction has occurred, the iterations differ in their physical properties. Therefore, the results simply indicate the ratio (distribution) of these properties.
In this experiment, antibodies to IFNγ and water were used at the first stage. As a result, aqueous iterations of the solution of antibodies to IFNγ were obtained and then their physico-chemical properties and ME were studied.
To confirm that ME is indicated by the THz+ of the target and not the effector, an additional experiment was performed (see Appendix E, Table A1, Table S23 with original dataset).
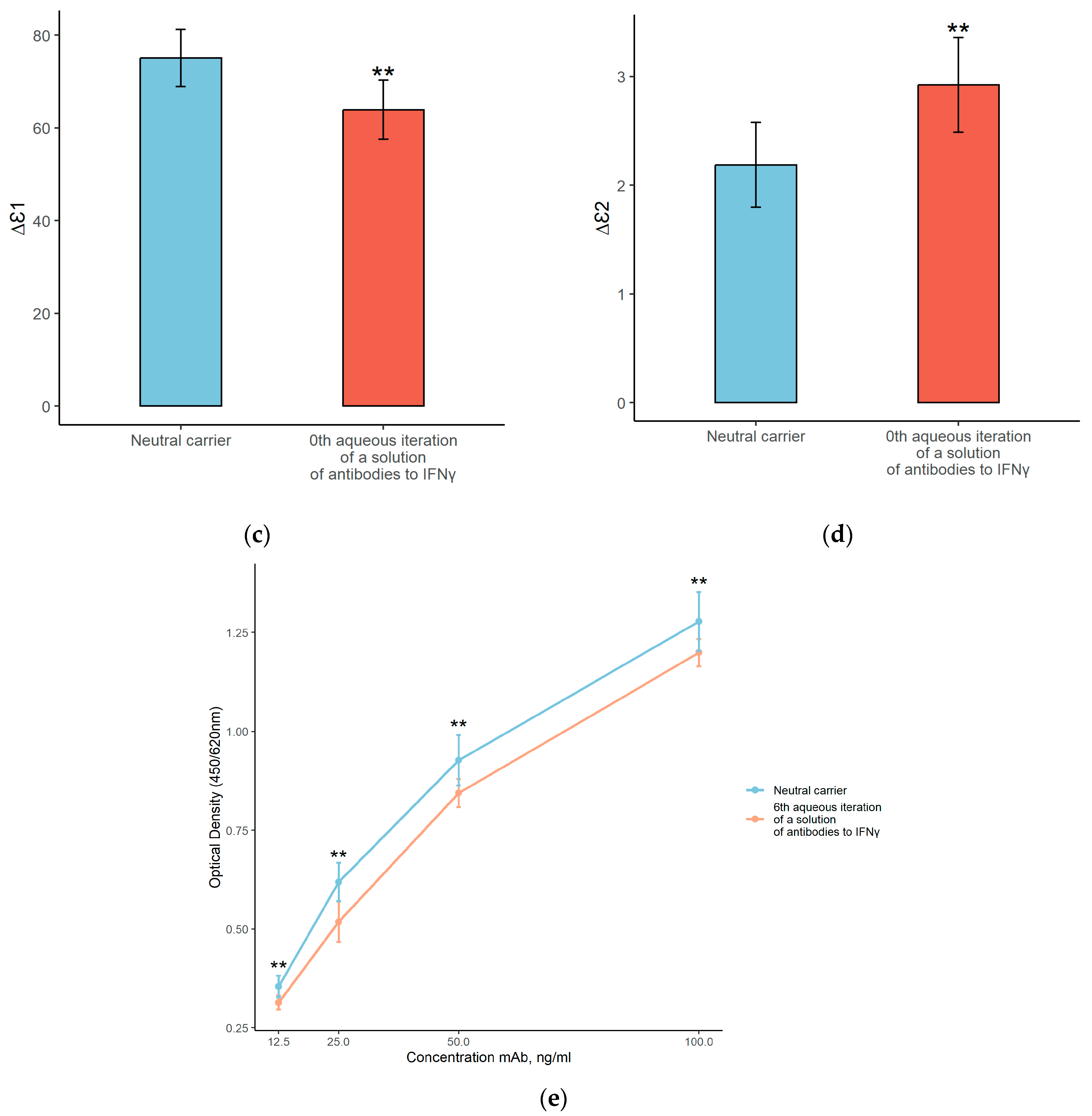
Figure 2 shows examples of the results of several iterations (based on results in Figure 3a) whose physico-chemical properties are statistically significantly different from the neutral carrier (water): conductometry 29% (p < 0.00001) (Figure 2a, Table S1), radiometry 52.54% (p = 0.00008) (Figure 2b, Table S1), terahertz spectroscopy 16.12% (p = 0.00113) for ∆ε1 (Figure 2c, Table S1) and 35.55% (p = 0.00058) for ∆ε2 (Figure 2d, Table S1) and ELISA 11.48% (p = 0.00466) for the concentration of monoclonal antibody of 12.5 ng/mL, 16.27% (p = 0.0109) for a 25 ng/mL concentration, 8.95% (p = 0.00466) for a 50 ng/mL concentration and 6.15% (p = 0.01476) for a 100 ng/mL concentration (Figure 2e, Table S1).

Figure 2.
Aqueous iterations of solution of antibodies to IFNγ, which differ from a neutral carrier in physical properties. (a) Conductometry: SEC values for samples of the 5th aqueous iteration of solution of antibodies to IFNγ and a neutral carrier (water); (b) Radiometry: the values of the electromagnetic radiation flux density for samples of the 3rd aqueous iteration of solution of antibodies to IFNγ and a neutral carrier (water); (c,d) Terahertz spectroscopy: values of ∆ε1 and ∆ε2 for IFNγ samples after exposure to iteration 0 or a neutral carrier (water); (e) ELISA: curves of optical density dependence on concentration during the interaction of monoclonal antibody to IFNγ and IFNγ (1 µg/mL) in the presence of the 6th aqueous iteration of solution of antibodies to IFNγ. **—differences from a neutral carrier (water) (p < 0.05).

Figure 3.
Distribution by groups (fractions) of aqueous iterations of solution of antibodies to IFNγ. (a) Samples obtained after vibration treatment during all stages of crossing, i.e., standard crossing; (b) Samples not subjected to vibration treatment (delicate preparation), i.e., ‘pseudo-crossing’; (c) Samples obtained after vibration treatment of only the first effector (solution of antibodies to IFNγ), i.e., ‘semi-crossing’; Rows are independent repeats of preparation; I0, I1, I2, I3, I4, I5 and I6 are aqueous iterations of solution of antibodies to IFNγ; N—‘Native’ fraction, S-N—‘Semi-Native’ fraction, S-A—‘Semi-Active’ fraction, A—‘Active’ fraction.
Seven independent repeats of the crossing procedure were performed, obtaining in each six aqueous iterations of the solution of antibodies to IFNγ, which, according to their physical characteristics, could be classified into four groups (fractions) (Table 1 and Figure 3a):
Table 1.
Characteristics of 4 iteration groups.
- Native—iterations which, according to the results of conductometry and radiometry, do not have significant changes in physico-chemical properties compared with an intact neutral carrier (water) and, according to the results of terahertz spectroscopy (the effect on IFNγ solution) and ELISA, do not have ME with respect to the target molecule, i.e., C−, GHz−, THz−, ELISA−.
- Semi-Native—iterations in which statistically significant changes in physico-chemical properties were found compared with an intact neutral carrier (water), but which, like ‘Native’ iterations, do not possess ME in relation to the target molecule, i.e., C+ and/or GHz+, THz−, ELISA−.
- Semi-Active—iterations that do not have significant changes in physico-chemical properties compared to an intact neutral carrier (water), but at the same time, unlike ‘Native’ iterations, have ME, i.e., C−, GHz−, THz+ and/or ELISA+.
- Active—iterations in which statistically significant differences in physico-chemical properties were revealed compared with an intact neutral carrier (water) and which have ME in relation to the target molecule, i.e., C+ and/or GHz+, THz+ and/or ELISA+.
Additionally, two controls were prepared and studied:
- 5.
- Two independent rows of samples that underwent ‘pseudo-crossing’ without vibration at all stages and their properties were evaluated similarly to iterations (Figure 3b). To obtain samples at each stage, the target vial and the effector vial were incubated for 1 min at room temperature in close contact, without vibration for 10 s. It should be considered that even when preparing iterations ‘gently’ (without specially conducted vibration treatment), it is impossible to eliminate the minimum vibration effect on aqueous solutions completely; therefore, minor changes in physico-chemical properties may appear in them (Figure 3b).
- 6.
- A conditional ‘semi-crossing’ was also carried out at all stages, of which vibration treatment was used only once: the initial substance was subjected for vibration treatment before it was incubated with a static neutral carrier. One row of samples was prepared, when there was only a solution of antibodies to IFNγ subjected to vibration treatment for 10 s (Figure 3c). All subsequent steps were carried out without exposure to the vibration of both the effector and the target; the vials with the effector and the target were only incubated for 1 min at room temperature in close contact.
As can be seen, a change in some of the physico-chemical properties in iterations, such as C+ and/or GHz+, is not dependent on changes in ME—THz+ and/or ELISA+ markers, which suggests that these two processes are most likely independent of each other.
When using standard crossing, with the simultaneous vibration treatment of the effector and target at each stage (Figure 3a, Table S2), there is a tendency to increase the number of ‘Active’ fractions compared to ‘semi-crossing’, when only the effector is subjected to vibration at the first stage (Figure 3c, Table S2). In the case of using technology without a vibration influence (‘pseudo-crossing’), there are no fractions with ME (‘Active’ and ‘Semi-Active’) (Figure 3b, Table S2). Thus, for crossing, there is a tendency to increase the number of iterations capable of providing ME.
Experiments 2.1–2.7 were conducted to prove the universal nature of vibration—various substances and their combinations can be subjected to vibration at the first stage.
3.2. Experiment 2.1: Distribution of Fractions of Aqueous Iterations of a Low-Molecular-Weight Compound (Sodium Sulfate) Solution
Previously, most studies of post-vibration activity (primarily non-contact interaction) were conducted by using dilutions of high-molecular weight compounds (antibodies) [36,38,39]. This experiment was conducted to confirm that a substance with any molecular weight can be used in crossing. The properties of aqueous iterations of sodium sulfate solution were prepared and investigated (Table 2). It is important to note that in this experiment, only one method (THz spectroscopy) was used to evaluate ME, since the ELISA method is not applicable in this case due to the lack of antibodies to sodium sulfate. Therefore, the ability to detect iterations with ME is obviously lower than when using two methods.
Table 2.
Distribution 1 by fractions of aqueous iterations of sodium sulfate solution.
3.3. Experiment 2.2: Distribution by Fractions of Iterations Obtained without the Use of Water
This experiment was conducted to study the possibility of obtaining iterations without the presence of water as a neutral carrier or solvent at any stage (for a solution of the initial substance) to show that post-vibration activity is not associated with such concepts as the ‘plasticity’ or ‘memory’ of water.
Lactose iterations of sodium sulfate powder were obtained using standard crossing technology (lactose powder played the role of a neutral carrier at all stages). The distribution by fractions is shown in Table 3.
Table 3.
Distribution 1 by fractions of lactose iterations of sodium sulfate powder.
In the following two experiments, the possibility of obtaining iterations of the duo of the initial substance is shown using two test vials containing the same substance (a solution of antibodies to IFNγ or glucose powder) at the first stage, as well as after the joint vibration of the target with two effectors simultaneously at the first stage to obtain complex iterations.
3.4. Experiment 2.3: Distribution by Fractions of Aqueous Iterations of Duo Solution of Antibodies to IFNγ
To assess the possibility of increasing the proportion of iteration fractions with ME (‘Semi-Active’, ‘Active’), crossing using two vials at the first stage, each of which contained solutions of antibodies to IFNγ, was performed. The distribution by fractions is shown in Table 4.
Table 4.
Distribution 1 by fractions of aqueous iterations of duo solution of antibodies to IFNγ.
3.5. Experiment 2.4: Distribution by Fractions of Lactose Iterations of Duo Glucose Powder
After joint vibration treatment at the first stage of the same substance (glucose powder) in two vials, a traditional pharmaceutical neutral carrier (lactose monohydrate powder) was used to prepare the subsequent iterations. The distribution by fractions is shown in Table 5.
Table 5.
Distribution 1 by fractions of lactose iterations of duo glucose powder.
3.6. Experiment 2.5: Distribution by Fractions of Complex Aqueous Iterations—Solution of Antibodies to IFNγ and Sodium Sulfate Solution
The purpose of this experiment was to establish the fact of an ‘exchange’ of ME between partners (two effectors and a target). At the first stage, two separate vials with two effectors (a solution of antibodies to IFNγ and a sodium sulfate solution) and a single vial with a neutral carrier (water), from which iterations were subsequently obtained, were subjected to joint vortexing.
The analysis showed that all the iterations obtained can be attributed to the ‘Active’ fraction (Table 6). At the same time, all six samples exerted ME on the IFNγ solution and only one sample exerted ‘double’ ME—both on IFNγ solution and on sodium sulfate solution, which indirectly indicates the dependence of the magnitude of ME on the type of the initial substance used to prepare the iterations (possibly from its molecular weight).
Table 6.
Distribution 1 by fractions of iteration obtained after joint vortexing of a neutral carrier (target) with two effectors (solution of antibodies to IFNγ and sodium sulfate solution) at the first stage of crossing.
It was previously found that the higher the molecular weight of a highly diluted preparation, the higher its ability to exert non-contact effects [39], which was generally confirmed in this experiment.
The results show the presence of the sensitivity of the neutral carrier in vibration conditions to two effectors at once.
As noted above, post-vibrational interactions were first identified and studied using high dilutions of the initial substance, for which it is known that they reproduce the effects of the initial substance in a reduced form (see Section 1). Therefore, by analogy, it was decided to find out whether iterations cause the effects similar to the effects of the initial substance and to establish a connection between the physical-chemical properties and biological activity of the iterations evaluated during this study (see below). For these purposes, iterations of the duo of high dilutions or triturations of the initial substance were specially obtained, since they are closest to high dilutions (at the first stage of crossing, there was the same preparation in both vials: either high dilutions or triturations).
3.7. Experiment 2.6: Distribution by Fractions of Aqueous Iterations of Duo of High Dilutions of Antibodies to IFNγ
Iterations obtained after joint vibration treatment at the first stage of two vials containing high dilutions of antibodies to IFNγ were studied. The results are presented in Table 7.
Table 7.
Distribution 1 by fractions of aqueous iterations of duo of high dilutions of antibodies to IFNγ.
3.8. Experiment 2.7: Distribution by Fractions of Lactose Iterations of Duo Triturations of Glucose
As in Experiment 2.6, two series of lactose iterations of duo triturations of glucose were obtained. The results are presented in Table 8.
Table 8.
Distribution 1 by fractions of lactose iterations of duo triturations of glucose.
When analyzing the results of the above experiments, it was found that in some cases, depending on which substances were introduced in the crossing, there was a noticeable increase in fractions possessing ME. So, in Experiment 2.2 (a preparation of lactose iterations of sodium sulfate powder), a threefold increase in the fraction with ME was observed when crossing without water as a neutral carrier (Table 3) compared with iterations obtained using water (Table 2). Further research is needed to clarify the reasons for the difference in the number of fractions with ME.
To determine other conditions affecting the increase in the number of fractions with ME, a series of experiments (Experiments 3.1–3.3) was conducted.
3.9. Experiment 3.1: The Proportion of Iterations with a Modifying Effect Increases at the End of the Series of Iterations
A number of aqueous iterations (I1–I30) of solution of antibodies to IFNγ were obtained in order to study the properties of the ‘high-numbered’ iterations: the last eight iterations (i.e., I23–I30) in the series were studied. The results are presented in Table 9.
Table 9.
Distribution 1 by fractions of aqueous iterations I23–I30 of a solution of antibodies to IFNγ.
3.10. Experiment 3.2: If an ‘Active’ Fraction Is Present in the Mixture of Iterations, Then the Whole Mixture Has a Distinctive Feature of the ‘Active’ Fraction—A Modifying Effect
Four fractions were obtained by the standard crossing technology (‘Native’, ‘Semi-Native’, ‘Semi-Active’ and ‘Active’). Then, three mixtures were prepared: ‘Active-Native’ (A-N), ‘Active-Semi-Native’ (A-SN), and ‘Active-Semi-Active’ (A-SA). Next, the properties of all mixtures were reanalyzed. The results are presented in Table 10.
Table 10.
Distribution 1 by fractions of aqueous iterations of solution of antibodies to IFNγ before and after mixing with each other in equal proportions.
Based on the results, it can be assumed that the appearance of ME in iterations is the conclusion of their structural adjustment process and not an intermediate stage.
It has been previously found that high dilutions prepared in either the same or sequentially replaced vials can have ME, usually starting from the third dilution [20,43]. Therefore, high dilutions can be considered a mixture of iterations with properties of the ‘Active’ fraction (having ME).
3.11. Experiment 3.3: When Storing Iteration Fractions, a Tendency of Fractions to ‘Shift’ towards ‘Active’ Was Found
The properties of the aqueous iterations of sodium sulfate solution stored at room temperature in a place protected from light at a distance of at least 5 cm from each other were analyzed twice, immediately after preparation and after one month of storage.
It was found that the properties of the ‘Active’ fractions were preserved, while the ‘Semi-Native’ fraction acquired the properties of the ‘Active’ fraction (Table 11).
Table 11.
Distribution 1 by fractions of aqueous iterations of sodium sulfate solution immediately after preparation and after 1 month of storage.
These results, along with the data from Experiment 3.2, once more emphasize that the ‘Active’ fraction is the final stage in the post-vibration ‘transformation’ of physico-chemical properties in iterations. In addition, it indirectly indicates the constant presence of factors regulating the transformation process.
Within the framework of one study, it is impossible to investigate even the basic aspects of such a fundamental phenomenon as a post-vibration interaction. For example, we have not studied the role of distance in partner incubation. However, in order to understand whether the joint vibration treatment of the effector and the target is the fundamental cause of post-vibration activity, Experiment 4 was conducted, as well as ‘pseudo-crossing’ experiments (Figure 3b).
3.12. Experiment 4: Iterations Can Be Obtained by Separately Vortexing Partners with Different Frequencies
The partners, placed 50 cm apart from each other, were subjected to vortexing for 10 s at the first stage of crossing: the effector at 1000 rpm and the target at 3000 rpm. Then a standard crossing procedure was performed to obtain an iteration (Table 12).
Table 12.
Properties 1 of aqueous iterations of solution of antibodies to IFNγ obtained by separate vortexing at the first stage of crossing.
As can be seen, iterations can also be obtained using partners separately subjected to vibration treatment with different frequencies.
In Experiments 5.1–5.4, the effects of iterations on chemical and biological models were studied in order to answer several questions: Do iterations have some of the effects similar to the effects of the initial substance? Do these properties differ between different iteration fractions? Which preparations, dilutions of the initial substance or iterations obtained using the same initial substance, have more pronounced activity?
The results are presented both for iterations that demonstrated effects on chemical or biological models, and for those without activity. Original dataset of classification of iterations into fractions see in Tables S4–S7.
3.13. Experiment 5.1: ‘Native’ Fraction of an Aqueous Iteration of Sodium Thiosulfate Solution and ‘Native’ Fraction of a Lactose Iteration of Sodium Sulfate Powder Increase the Decomposition Rate of Sodium Thiosulfate
Solutions of Na2S2O3 and H2SO4 were two-fold diluted with the studied samples (aqueous iterations of sodium thiosulfate solution or 1% solutions which were pre-prepared from lactose iterations of substance powder). Then, the obtained solutions were combined in a quartz cuvette and mixed by inverting three times. Then the cuvette was immediately put in a spectrophotometer and the time dependence of the optical density of the solution at the wavelength of 740 nm was measured.
It was shown that the ‘Native’ fraction of an aqueous iteration of sodium thiosulfate solution significantly increased the decomposition rate of sodium thiosulfate: Na2S2O3 + H2SO4 = Na2SO4 + S↓ + SO2 + H2O compared with the control (a neutral carrier (water)), as well as compared with the ‘Active’ fraction of an aqueous iteration of sodium thiosulfate solution (Figure 4a, Table S3). The ‘Active’ fraction of an aqueous iteration of sodium thiosulfate solution did not affect the reaction rate.
Figure 4.
Effects of iterations in chemical and biological models. (a) The decomposition rate of sodium thiosulfate when ‘Native’ and ‘Active’ fractions of aqueous iterations of sodium thiosulfate solution were used as a diluent for the components of this reaction (diluents for Na2S2O3 and H2SO4). ‘Active’ fraction (sodium tiosulfate solution) means ‘Active’ fraction of aqueous iterations of sodium thiosulfate solution; ‘Native’ fraction (sodium tiosulfate solution) means ‘Native’ fraction of aqueous iterations of sodium thiosulfate solution; *—p < 0.05 compared with the control (a neutral carrier—water); #—p < 0.05 compared with the ‘Active’ fraction of an aqueous iteration of sodium thiosulfate solution; (b) The decomposition rate of sodium thiosulfate when ‘Native’ and ‘Active’ fractions of a lactose iteration of sodium sulfate powder in the form of 1% solutions were used as a diluent for the components of this reaction (diluents for Na2S2O3 and H2SO4). ‘Active’ fraction (sodium sulfate powder) means ‘Active’ fractions of a lactose iteration of sodium sulfate powder; ‘Native’ fraction (sodium sulfate powder) means ‘Native’ fractions of a lactose iteration of sodium sulfate powder; *—p < 0.05 compared to the control (a neutral carrier (lactose)); (c) The effect of ‘Active’ and ‘Native’ fractions of lactose iterations of duo glucose powder on the amount of glucose consumed, depending on the concentration of insulin, normalized by the number of CHO cells. ‘Active’ fraction (duo glucose powder)means ‘Active’ fractions of lactose iterations of duo glucose powder; ‘Native’ fraction (duo glucose powder) means ‘Native’ fractions of lactose iterations of duo glucose powder; *—p < 0.05 compared to the “Neutral carrier” group and “Intact cells” group for ‘Active’ and ‘Native’ fractions of lactose iterations of duo of glucose powder; (d) Oral glucose tolerance test. Blood glucose level (mmol/l) 15 min after oral glucose load in mice. ‘Active’ fraction (duo triturations of glucose powder) means ‘Active’ fraction of lactose iterations of duo triturations of glucose powder; ‘Native’ fraction (duo triturations of glucose powder) means ‘Native’ fraction of lactose iterations of duo triturations of glucose powder; *—p < 0.05 compared to the intact group. #—p < 0.05 compared to the control groups and ‘Active’ fraction of a lactose iteration of duo triturations of glucose powder; (e) The titers of influenza A virus in the lungs and (f) the survival rate of mice in an influenza infection model after administering experimental samples in the form of lactose powder dissolved in water. ‘Active’ fraction (solution of Abs to IFNγ) means ‘Active’ fraction of aqueous iteration of solution of antibodies to IFNγ; ‘Native’ fraction (solution of Abs to IFNγ) means ‘Native’ fraction of aqueous iteration of solution of antibodies to IFNγ. *—p < 0.05 compared with the “Neutral carrier” group; #—p < 0.05 compared with the ‘Native’ fraction of aqueous iteration of solution of antibodies to IFNγ.
It was shown that the ‘Native’ fraction of a lactose iteration of sodium sulfate powder statistically significantly increased the decomposition rate of sodium thiosulfate compared with a neutral carrier (lactose) (Figure 4b, Table S3). The ‘Active’ fraction of a lactose iteration of sodium sulfate powder did not affect the reaction rate.
3.14. Experiment 5.2: ‘Active’ and ‘Native’ Fractions of Lactose Iterations of Duo Glucose Powder Increase Glucose Consumption by CHO Cells
The effect of ‘Active’ and ‘Native’ fractions of lactose iterations of duo glucose powder on glucose consumption by CHO cells was investigated. To do this, the ‘Active’ and ‘Native’ fractions of lactose iterations of the duo of glucose powder (see Experiment 2.4) were diluted with water (see Section 2) and added to a cell culture, to which insulin was then added at different concentrations, and the cells were incubated for 3 days. After that, the amount of glucose consumption, depending on the concentration of insulin and normalized by the number of cells, was analyzed (Figure 4c).
Experimentally, it was found that ‘Active’ and ‘Native’ fractions of lactose iterations of duo glucose powder statistically significantly increased the amount of glucose consumed by CHO cells (depending on the concentration of insulin in the medium). Other types of iterations were not tested.
3.15. Experiment 5.3: ‘Native’ Fraction of Lactose Iterations of Duo Triturations of Glucose Powder Prevents an Increase in Glucose Levels in the Oral Glucose Tolerance Test
The biological effect of the ‘Active’ and ‘Native’ fractions of lactose iterations of duo of glucose powder and the ‘Active’ and ‘Native’ fractions of lactose iterations of duo triturations of glucose powder were evaluated in Balb/c mice in an oral glucose tolerance test, using the dynamics of blood glucose levels as an indicator of efficacy.
The most noticeable intergroup differences in blood glucose levels (glucose tolerance test) were observed 15 min after the administration of ‘Native’ fraction of lactose iterations of duo triturations of glucose powder (Figure 4d). The oral glucose load caused a significant increase in blood glucose levels in all study groups compared with intact animals. However, the administration of only the ‘Native’ fraction of a lactose iteration of the duo triturations of glucose powder resulted in a significant decrease in blood glucose levels by 24.6% compared with the control group (p = 0.0035). Other iterations were not active in this model.
3.16. Experiment 5.4: Effects of Aqueous Iterations of Solution of Antibodies to IFNγ in a Murine Influenza Infection Model
The antiviral effect of ‘Active’ and ‘Native’ fractions of aqueous iterations of a solution of antibodies to IFNγ was studied. It was shown that in the control group treated with a neutral carrier (purified water) (Figure 4e,f), experimental influenza A virus infection led to high mortality in mice. The use of the standard antiviral drug Tamiflu was accompanied by a significant increase in survival (p = 0.015 compared with the neutral carrier group). A similar effect was demonstrated for the group receiving the ‘Active’ fraction of an aqueous iteration of solution of antibodies to IFNγ, with an increase in survival to 90% (p = 0.008 compared with the neutral carrier group).
Data on the titer of the influenza virus in the lungs agree with the results of survival: the number of viral particles decreased under the influence of Tamiflu (p < 0.0001 compared with the neutral carrier); a strong decrease in the titer was found in the group receiving the ‘Active’ fraction of an aqueous iteration of solution of antibodies to IFNγ (p < 0.0001 compared with the neutral carrier). These results show a difference in the magnitude of biological activity between the ‘Active’ and ‘Native’ fractions of aqueous iterations of a solution of antibodies to IFNγ.
The magnitude of the antiviral activity of the ‘Active’ fraction of an aqueous iteration of solution of antibodies to IFNγ is comparable to that of the high dilutions of antibodies to IFNγ shown previously [44].
The results of Experiments 5.1–5.4 indicate that under the conditions of each of these experiments, fractions that differ in physical properties may differ from each other in biological and chemical properties.
It is important to note that drawing conclusions about the type of the activity (biological or chemical) of the iterations belonging to the ‘Active’ or ‘Native’ fractions is too early at this stage and requires more research. Also, the dependence of activity on the aggregate state of the partners (solutions, powders and triturations) has not been established. Iterations and high dilutions, which are a mixture of iterations with a property of ‘Active’ fractions, probably have similar activity. Therefore, the ‘positive’ properties of iterations for practical use must be determined empirically in each case.
3.17. Experiment 6: In Iterations, Nanostructures Less than 1 nm Were Found, Which Were Absent in the Freshly Prepared Neutral Carrier (Water)
Dynamic light scattering was used to study optical inhomogeneities (with a hydrodynamic diameter in the range from 0.3 nm to 10 μm) in iterations. In most cases, both aqueous iterations of substance solutions (aqueous iterations of solution of antibodies to IFNγ and aqueous iterations of sodium sulfate solution) as well as aqueous solutions of lactose iterations of sodium sulfate powder contain nanostructures with sizes in the entire measured range: <1 nm, 1–20 nm, 20–50 nm, 50–1000 nm, and >1000 nm. However, some iterations might not have nanostructures in one of the specified ranges.
The freshly prepared water (neutral carrier) also contained nanostructures in the indicated ranges, except for the nanostructures with a size of less than 1 nm. It is known that after a long time, the size distribution of nanostructures in water changes [45], and therefore, over time, it can also form nanostructures with a size of less than 1 nm.
The joint vortexing of a vial from the previous iteration and a vial with fresh water leads to the appearance of nanostructures less than 1 nm in size in the post-vibration water (the next iteration). From this, we can conclude that the presence in the preceding iteration of nanostructures with a size of less than 1 nm induces the emergence of similar nanostructures in water when they are vortexed together. It is interesting that when iteration influences static, non-vibrated water, nanostructures less than 1 nm in size also appear in the latter (Table 13).
Table 13.
The appearance of nanostructures with a diameter of less than 1 nm in freshly prepared water after interaction with iterations 1.
Thus, based on the obtained results, we can cautiously assume that the basis of the phenomenon of post-vibration activity is the restoration of the symmetry of the effector structure in the target.
4. Discussion
The main goal of this work was achieved using ‘classical’ solutions and solids to reliably demonstrate the phenomenon of post-vibration activity and its universal character, manifested in the fact that various substances can enter into post-vibration interactions and not only high dilutions, in the study of which this phenomenon was actually discovered.
The authors hope that the first theoretical substantiations of the phenomenon of the activity of preparations subjected to vibration treatment [46,47,48], which have already appeared, will make it possible to determine its place in the physical picture of the world. However, taking into account previous experience, obtained mainly when studying the biological effects of high dilutions, general approaches to the issue of post-vibration interactions can be proposed.
When a neutral carrier (lactose or water) is subjected to vibration treatment, its properties change both quantitatively, in the form of a change in the manifestation of the initial physico-chemical properties, and qualitatively, in the form of the appearance of ME. ME is not always pronounced, but it increases significantly with the joint vibration treatment of the effector and target, which actually makes it possible to develop a new technology — crossing. Perhaps the reason for the appearance of pronounced ME during the joint vortexing of partners is an increase in the sensitivity of the conditional target to ME (as we see from Experiment 1, with the joint vortexing of the conditional effector and the conditional target, the sensitivity of the conditional target to the influence of the conditioned effector increases). A similar effect, an increase in the sensitivity of the biological target (neuron membrane), had been previously shown for high dilutions of antibodies to S-100B protein [49,50].
New properties of iterations acquired during crossing are obviously due to structural changes in the substance used for the preparation of iterations (water or lactose), symmetrical to the structure of the effector, as evidenced by changes in the characteristics of the nanostructures present in the iterations.
Iterations essentially reveal the dualism of properties:
Firstly, iterations have (but not always!) activity. In order to identify the activity of iterations, conditions of each experiment should be selected. ‘Active’ and ‘Native’ fractions may have different activities, but they are similar to the activity of the initial substance: the effects of iterations are directed at the same processes (tropic to the same targets) as the initial substance. The commonality of properties indicates the similarity or likeness (symmetry) of a structure.
It follows from this that in the process of successive vibration effects during the preparation of an iteration, information about the structure of the initial substance is at least partially transferred to the iteration. Since this information is transferred without contact and can be stored for a long time, it is probably due to new (additional) stable intermolecular interactions of the ‘base substance’ (neutral carrier). Perhaps these properties are associated with the emergence of new nanostructures. At the same time, the neutral carrier retains its previous properties.
Secondly, some iterations are capable of exerting ME on the target molecule, the markers of which in our experiments are THz+ and ELISA+, as well as modifying the chemical reactions of the initial substance (previously, for high dilutions with post-vibration activity, the ability to modify the biological effects of the initial substance was shown). During the current study, two phenomena were discovered: (1) the appearance of ME was not associated with changes in the physical properties of iterations studied by us in the current work; (2) structural changes that determine ME of iterations are ‘localized’ (appear) in their targets. These facts allow us to extremely cautiously assume that ME is based on changes not in intermolecular, but in supra-systemic (supramolecular) interactions, in which iterations are involved.
Supramolecular chemistry considers supramolecular assemblies consisting of complementary fragments. In the experiments carried out, under conditions of vibration treatment any partners, including formally non-complementary, can enter into supposedly ‘supramolecular’ interactions, which obviously allows each partner to maintain their inherent symmetry.
Certain assumptions can also be made when analyzing the internal dynamics of the distribution of the phases of iterations. The increase in the proportion of the ‘Active’ fractions in the rows of iterations and during storage indicates that they are the final stage of the proposed structural restructuring of the iteration. The uniformity of the stages of the transformation of the physical properties of iterations of various substances may also indirectly indicate the pre-preparedness of this process at the supramolecular level. In this vein, vibration itself can be considered a component of some supra-systemic (supramolecular) regulations.
Similar processes may also take place in the case of the preparation of classical solutions: in one vial, a transition from a nonequilibrium state at the beginning of the process to a homogeneous equilibrium state at the end through intermediate inhomogeneous nonequilibrium states is simultaneously observed [51,52].
Using the example of high dilutions, it has been previously shown that in biological terms, post-vibration activity is inherently adaptive. It is manifested in the return of the increased or decreased biochemical parameters of the ‘target’ to normal values [53]. Thus, post-vibration effects are aimed at achieving predetermined, possibly at the supra-system level, properties of the ‘target’, and the ‘target’ itself achieves a structurally stable (symmetrical) state.
It is also possible to obtain iterations when two different vials containing the same substance are used as partners at the first stage of crossing. This result demonstrates that, from a supramolecular position, samples containing the same substance, but subjected to treatment with various vibration modes, are different material objects. A similar point is known for high dilutions: each high dilution, depending on the degree of dilution and, in fact, on the number of series of vibration treatments, has its own combination (conjugation) of the values of its inherent properties: pH, electrical conductivity, surface tension, etc., [31,33]. It is also known that solutions, including high dilutions, may be distinguished by the pattern of fluctuations (self-oscillations, relaxations) of physico-chemical properties [54,55,56,57,58].
In this regard, another assumption was made: the post-vibration activity in iterations is based not just on stable interactions on molecular and supramolecular levels, but on a long-lasting symmetrical coupling of fluctuations (i.e., periodic deviation) of any properties of iterations.
It is possible that the conjugation of fluctuations is a consequence of the vibrational impacts that generate them being themselves a conjugation of several impacts. When studying high dilutions, we found that vibration alone is not enough to obtain high dilutions with activity: vibration treatment of samples under hypomagnetic conditions does not lead to the appearance of post-vibration activity in high dilutions [59]. This fact allows us to make a cautious assumption that vibration can be considered as a symmetrical coupling of at least two rhythmic factors—mechanical and electromagnetic.
The calculations show that vibration treatment requires extremely low energy (see Appendix F, Figure A2 and Figure A3), but it is quite sufficient for iterations to acquire new properties. This observation also requires a theoretical justification.
Due to its novelty, our study actually has no prototypes. It rather provides an explanation of the results of the most famous works in the field of highly diluted solutions [60,61], during the preparation of which the external vibration effect was masked by a multiple repeated dilution process.
This work has not only a worldwide impact, but also practical significance, since it actually proposes the technology of the vibration treatment of substances. Earlier, the possibility of using a specific case of this technology (i.e., high dilutions during the preparation of which solutions are subjected to repeated shaking) in medicine and technology was demonstrated [26,27,28]. High dilutions have ME and, as a result, are essentially a mixture of iterations with properties of ‘Active’ fractions. According to preliminary estimates, dilutions and iterations have approximately equal magnitudes of post-vibration activity. However, crossing technology makes it possible to separately obtain both ‘Active’ and ‘Native’ fractions, which most often have different chemical and biological activities. This expands the possibilities of a more targeted application of post-vibration activity. The most important advantage of iterations over dilutions is the ability to obtain iterations first of all from biological objects without prior preparation, for example, homogenization.
5. Conclusions
- As can be seen from the results of this study, the vibration treatment of various substances (powder or aqueous solution) changes their properties and allows them with the ability to undergo post-vibration interactions or crossing.
- Post-vibration interactions may be based on the tendency towards maintaining the structural symmetry of substances subjected to vibration treatment.
- Crossing products, or ‘iterations’, have different physical, chemical, and biological properties. Some iterations have similar properties to those of the initial substance; some are capable of exerting a modifying effect on it, which allows them to be used in chemistry, medicine, and technology.
Supplementary Materials
The following supporting information can be downloaded at: https://www.mdpi.com/article/10.3390/sym16080958/s1, Table S1: original dataset for Figure 2; Table S2: original dataset for Figure 3; Table S3: original dataset for Figure 4; Table S4: original dataset of the preliminary testing of iteration used for Figure 4a (results of classification into fractions); Table S5: original dataset of the preliminary testing of iteration used for Figure 4b (results of classification into fractions); Table S6: original dataset of the preliminary testing of iteration used for Figure 4c,d (results of classification into fractions); Table S7: original dataset of the preliminary testing of iteration used for Figure 4e,f (results of classification into fractions); Table S8: original dataset for mouse body weight (influenza model); Table S9: original dataset for Table 2; Table S10: original dataset for Table 3; Table S11: original dataset for Table 4; Table S12: original dataset for Table 5; Table S13: original dataset for Table 6; Table S14: original dataset for Table 7; Table S15: original dataset for Table 8; Table S16: original dataset for Table 9; Table S17: original dataset for Table 10; Table S18: original dataset for Table 11; Table S19: original dataset for Table 12; Table S20: original dataset for Table 13; Table S21: original dataset for Figure A1 (Appendix C); Table S22: original dataset for Appendix D; Table S23: original dataset for Table A1 (Appendix E).
Author Contributions
Conceptualization, O.E.; methodology, A.P. (Anastasia Petrova), S.T., O.F., E.Z., N.P., E.K. and K.G.; formal analysis, A.P. (Anna Ponomareva); investigation, I.M., V.B., A.Z., A.S., S.Z., S.Y., G.S., N.R., O.F. and E.Z.; resources: I.M. and A.Z.; writing—original draft, A.P. (Anastasia Petrova), S.T., E.G. and O.E.; writing—review and editing, A.K. and O.E.; supervision, S.T. and O.E.; project administration, A.P. (Anastasia Petrova) and S.T.; funding acquisition, O.E. All authors have read and agreed to the published version of the manuscript.
Funding
OOO “NPF “MATERIA MEDICA HOLDING” sponsored the study, performed statistical analysis, made a decision to publish the work, covered the current APC and took part in the design of the experiments and the manuscript writing.
Data Availability Statement
The original contributions presented in the study are included in the Supplementary Material; further inquiries can be directed to the corresponding author.
Acknowledgments
The authors would like to thank Nechaeva E.S., Gizitdinova O.M., Samsonova L.E., Himich E.O., Zaharova S.A., Kuhninova A.A., Guk E.M., Alinkina E.S., Moroshkina E.S., Kessel D.E., Radchenko L.N., Fedorova D.R., Sokerina E.N., Emelyanova A.G., Don E.S., Garkusha M.V., Novikov V.V. and Penkov N.V. for conducting some experiments and/or analyzing the results.
Conflicts of Interest
The authors declared the following potential conflicts of interest with respect to the research, authorship and/or publication of this article: authors are employees of OOO “NPF “MATERIA MEDICA HOLDING” (fully or partly). Oleg Epstein is a founder of OOO “NPF “MATERIA MEDICA HOLDING”. OOO “NPF “MATERIA MEDICA HOLDING” sponsored the study, performed statistical analysis, made a decision to publish the work, covered the current APC and took part in the design of the experiments and the manuscript writing. Different modifications of technologically processed Abs to IFNγ (high dilutions) are the substances (single or one among other components) for commercial drugs produced by OOO “NPF “MATERIA MEDICA HOLDING”. Patents on these drugs belong to O. Epstein or OOO “NPF “MATERIA MEDICA HOLDING”.
Appendix A
Blinding and randomization
To avoid the influence of systematic and random errors on the results of the study, as well as to minimize conscious and unconscious biases, samples were coded by unique numeric or alphanumeric code using simple randomization and blinding. For that, a complete list of the names of all the samples was compiled and then sequences of random numbers (based on the total number of samples) and letters (based on the number of study groups) were generated by online generators of random numbers (http://castlots.org/generator-sluchajnyh-chisel/; Accessed on 1 March 2023) and letters (https://ohmyluck.com/ru/random-letter/; Accessed on 1 March 2023).
In this study, different operators were responsible for coding and decoding, randomization, conducting the experiment, recording and evaluating the results and statistical analysis. A copy of the samples’ coding was also sent to a backup person (the head of the laboratory). The blinding codes were stored in a safe place without access by third parties.
Appendix B
ELISA
Scheme A1.
The scheme of adding samples of iterations into the plate. I_Abs—aqueous iteration of solution of antibodies to IFNγ; NC—neutral Carrier that was used to prepare the iterations; PW—plate wells filled with purified water.
Scheme A2.
The scheme of adding of the primary antibody into the plate. SD4—standard dilution of the primary antibody with a concentration of 12.5 ng/mL; SD3—standard dilution of the primary antibody with a concentration of 25 ng/mL; SD2—standard dilution of the primary antibody with a concentration of 50 ng/mL; SD1—standard dilution of the primary antibody with a concentration of 100 ng/mL; C0—control solution with a concentration of the primary antibody of 25 ng/mL; *—antibody diluent.
Scheme A3.
Diagram showing 96-well plate layout for hexokinase method samples. Here, 50 μL of the samples and 50 μL of a mixture of enzymes and coenzymes were added to each well of a 96-well plate. They were then incubated for 1 h at 37%. Next, 200 μL of Tris buffer was added, and absorption was measured at the wavelengths of 340 nm and 450 nm. Lact—neutral carrier (lactose); Int—intact cells; I1—‘Native’ fraction of lactose iterations of duo glucose powder; I6—‘Active’ fraction of lactose iterations of duo glucose powder.
Scheme A4.
Layout of samples for WST analysis. (a) Plate 1; (b) Plate 2; 100 µL of samples and 8 µL of WST-1 reagent were added to each well of a 96-well plate. Plate was incubated for 3 h at 37 °C and absorbance was measured at 440 nm and 650 nm wavelengths. Lact—neutral carrier (lactose); Int—intact cells; I1—‘Native’ fraction of lactose iterations of duo glucose powder; I6—‘Active’ fraction of lactose iterations of duo glucose powder.
Appendix C
Vibration-treated solution of antibodies has a very weak modifying effect on the target (antigen).
The effect of solution of antibodies to IFNγ (20 µ/mL) subjected to vortexing on a static (not subjected to vibration) target molecule (IFNγ antigen, 20 µg/mL) was studied. For this purpose, antibodies to IFNγ were vortexed at a speed of 3000 rpm for 10 s and then added to the antigen solution at a ratio of 1:99 with an automatic dispenser. Figure A1 shows the values of the calculated THz characteristics Δε1 and Δε2 of IFNγ solution after the addition of vibration-treated solution of antibodies to IFNγ, as well as an intact (not vibration-treated) solution of antibodies to IFNγ, a vibration-treated neutral carrier (vortexed water) and an intact neutral carrier (water) as controls. After adding a vibration-treated solution of antibodies to IFNγ to IFNγ solution, the Δε1 parameter changed by -4.33% compared with an intact solution of antibodies to IFNγ, by −2.78% compared with a neutral carrier, by −2.74% compared with a vibration-treated neutral carrier (see Figure A1a) and the Δε2 parameter by 5.90%, 6.67%, and 4.78% (see Figure A1b), respectively.
Thus, a vibration-treated solution of antibodies to IFNγ has weak ME (at the trend level), which is manifested in statistically insignificant changes in the THz characteristics of the target (antigen) from the controls.
Figure A1.
The effect of vibration treatment of solutions on their ability to change the terahertz properties of an intact IFNγ solution. The values ∆ε1 (a) and ∆ε2 (b) were calculated for IFNγ solution (20 µg/mL), to which the test samples were added (neutral carrier (water), solution of antibodies to IFNγ, vibration-treated neutral carrier, and vibration-treated solution of antibodies to IFNγ) at a ratio of 99:1.
Appendix D
Vibration-treated solution of antibodies does not change the spectral characteristics of a neutral carrier (water).
A vibration-treated solution of antibodies to IFNγ (20 µg/mL) was obtained by separate (from the target) vortexing for 10 s at a speed of 3000 rpm. A neutral carrier (water) was subjected to vibration and used as a control. Then each of the preparations was incubated for 1 min at room temperature together with a static neutral carrier (water), which was then added to IFNγ solution (20 μg/mL) in a 1:99 volume ratio. As an additional control, a neutral carrier (water) was added to IFNγ solution (20 μg/mL) in the same volume ratio. The resulting IFNγ solutions were studied by THz spectroscopy. There were no statistically significant differences between all three groups.
Thus, in this experiment, the effect of a vibration-treated solution of antibodies to IFNγ on a neutral carrier was not detected.
Appendix E
The modifying effect is caused by a change in the structure of the target.
Previously, in the study of high dilutions, as well as in other experiments of this work using the THz spectroscopy method, we evaluated the presence of ME in a test sample after its addition to the static target molecule (IFNγ) solution. In this experiment, we analyzed the iteration samples themselves (i.e., effector in this case) for the first time: we added the sample into a cuvette and recorded the transmission spectra (arbitrary units) and refractive index (arbitrary units) in the range of 0.1–275 cm−1. These results are presented in Table A1.
Table A1.
Intrinsic terahertz characteristics of aqueous iterations of sodium sulfate solution, lactose iterations of sodium sulfate powder, and aqueous iterations of solution of antibodies to IFNγ.
Table A1.
Intrinsic terahertz characteristics of aqueous iterations of sodium sulfate solution, lactose iterations of sodium sulfate powder, and aqueous iterations of solution of antibodies to IFNγ.
| Iterations | Differences 1 between Iterations and Respective Neutral Carrier | ||||||
|---|---|---|---|---|---|---|---|
| Iteration 0 | Iteration 1 | Iteration 2 | Iteration 3 | Iteration 4 | Iteration 5 | Iteration 6 | |
| Aqueous iterations of sodium sulfate solution | - | - | - | - | - | - | + |
| Lactose iterations of sodium sulfate powder | - | - | - | - | - | - | - |
| Aqueous iterations of solution of antibodies to IFNγ | Iteration 24 | Iteration 25 | Iteration 26 | Iteration 27 | Iteration 28 | Iteration 29 | Iteration 30 |
| - | - | - | - | - | - | - | |
1 (+)—p < 0.05 vs. Neutral carrier; (-)—p > 0.05 vs. Neutral carrier.
It follows from the results that the ‘Active’ and ‘Semi-Active’ fractions of aqueous iterations of solution of antibodies to IFNγ, aqueous iterations of sodium sulfate solution and lactose iterations of sodium sulfate powder initiate the appearance of ME in IFNγ solution and sodium sulfate solution, respectively, but it is ‘localised’ in the target and not in the effector. Previously, using high dilutions of antibodies to IFNγ using NMR, computer modeling, and ELISA, it was shown that ME is based on changes in the conformation of IFNγ and its hydrate shell [19,20,22].
Appendix F
Energy consumption during the vibration.
Objects of study:
- A 20 mL glass vial (screw cap, flat bottom).
- IKA MS 3 basic shaker (orbital movement with 4.5 mm orbit and rotating speed of 3000 rpm).
Description of mathematical models:
A mathematical model of liquid mixing (vibration) on a shaker was developed based on the solution of the spatial nonstationary Navier–Stokes equations using the proven Large Eddy Simulation (LES) method with the wall-adapting local eddy–viscosity (WALE) model for turbulence modeling. The volume of fluid (VOF) method was used to track the liquid–air interface. To calculate the distribution of the substance concentration in water, the liquid phase was considered two-component and, correspondingly, the component-transfer equations were solved.
Task definition:
Computational domain and computational grids.
Based on a solid-state geometric model of a 20 mL vial, the geometry of the computational domain corresponding to the internal volume of the vial was created. Unstructured hybrid polyhedron-hexagonal computational grids with local thickening in the rounding area and with prismatic layers near the walls were generated for the computational domain. During the calculations, two grids with different details were considered: 0.6 million and 1.8 million calculated cells, respectively.
Boundary and initial conditions.
The IKA MS 3 basic shaker performs oscillatory movements of the table in a circular orbit of 4.5 mm at a frequency of 3000 rpm. In real conditions, the vial is held by the upper part with the hand of the operator; in the model, it was assumed that the vial stands flat on the rotary table and moves along the orbit together with it at frequency ω. A boundary condition of adhesion is set on all the walls of the vial. The actual initial distribution of the substance concentration throughout the water is unknown, so a number of assumptions were used for calculations. At the beginning of the simulation, the lower part of the vial was filled with 10,000 µL of water with a substance concentration of 0% and the rest of the vial was filled with air. Next, the initialization of the substance with a concentration of 10% was performed in the upper part of the water layer with a volume of 1000 µL. Initially, we considered initializing a substance with a volume of 100 µL and a concentration of 100%, but the layer in this case would have been very thin and, therefore, problems would have arisen with the grid resolution of this area.
Assessment of mesh convergence.
Calculations were performed for two types of mesh: coarse (0.6 million cells) and detailed (1.8 million cells). The detailed mesh had a thinner phase interface and smaller structures were also resolved, but in general, the patterns were very similar both for the isosurface of the phase interface and for the concentration distribution at different time points. Graphs of the concentration distribution by the height of the vial for two grids for 0.1, 0.25, and 5 s time points (Figure A2 and Figure A3) also showed quite close values. It could be concluded that there was no need to further increase the detail of the mesh; all subsequent calculations were performed on a detailed mesh containing 1.8 million calculation cells. During the calculations, a variable time step was used, which was selected automatically at each repeat in such a way that the Courant condition was met. The total number of time steps for the physical process lasting 15 s was about 125,000. The calculation of one option using a high-performance 60-core cluster took about a week in real time.
Figure A2.
Isosurface of the water/air interface at various time points.
Figure A3.
Concentration field at various time points of the process.
Figure A2 and Figure A3 show isosurfaces of the air–water interface (the color shows the velocity magnitude in m/s) and the concentration fields in the longitudinal section at various time points of the process. The numerical simulation shows that the entire process can be divided into three stages:
- From the beginning of rotation to approximately the 0.25 s time point, there is a rather chaotic movement of the liquid in a vial, as well as numerous individual water droplets in the air and air bubbles in the liquid.
- From approximately 0.25 s until rotation cessation (10 s), a steady periodic flow is formed. An air core is formed in the center of the vial, and the liquid generates a circular flow along the walls throughout the entire height of the vial. Images of the concentration fields show that the concentration gradient in the vial decreases over time. By 5 s, the concentration of the substance in the liquid is equalized over the entire height of the vial.
- After the rotation of the vial is stopped (the time of the process is 10–13 s), a gradual deceleration of the flow of the liquid occurs and the air whirlpool gradually collapses.
- Analysis of turbulence dissipation shows that the characteristic energy value during the process is 0.24 W. This leads to the water being heated in the vial (excluding the heat exchange with the external environment) by 0.057 °C.
References
- Lyakhov, G.A.; Shcherbakov, I.A. Approaches to the Physical Mechanisms and Theories of Low-Concentration Effects in Aqueous Solutions. Phys. Wave Phenom. 2019, 27, 79–86. [Google Scholar] [CrossRef]
- Shcherbakov, I.A. Specific Features of the Concentration Dependences of Impurities in Condensed Media. Phys. Wave Phenom. 2020, 28, 83–87. [Google Scholar] [CrossRef]
- Gudkov, S.V.; Penkov, N.V.; Baimler, I.V.; Lyakhov, G.A.; Pustovoy, V.I.; Simakin, A.V.; Sarimov, R.M.; Scherbakov, I.A. Effect of Mechanical Shaking on the Physicochemical Properties of Aqueous Solutions. Int. J. Mol. Sci. 2020, 21, 8033. [Google Scholar] [CrossRef] [PubMed]
- Astashev, M.E.; Serov, D.A.; Sarimov, R.M.; Gudkov, S.V. Influence of the Vibration Impact Mode on the Spontaneous Chemiluminescence of Aqueous Protein Solutions. Phys. Wave Phenom. 2023, 31, 189–199. [Google Scholar] [CrossRef]
- Epstein, O. The Supramolecular Matrix Concept. Symmetry 2023, 15, 1914. [Google Scholar] [CrossRef]
- van Mansvelt, J.D.; Amons, F. Inquiry into the Limits of Biological Effects of Chemical Compounds in Tissue Culture, I. Low Dose Effects of Mercuric Chloride. Z. Naturforsch. C 1975, 30, 643–649. [Google Scholar] [CrossRef] [PubMed]
- Prasad, S.; Chandrasekhar, K. Effect of Pulsatilla 30 and 200 Potencies (a Homoeopathic Drug) on the Ovaries, the Uteri and the Thyroids of Female Albino Rats. Proc. Indian Acad. Sci. 1976, 85, 100–106. [Google Scholar] [CrossRef]
- Bastide, M.; Doucet-Jaboeuf, M.; Daurat, V. Activity and Chronopharmacology of Very Low Doses of Physiological Immune Inducers. Immunol. Today 1985, 6, 234–235. [Google Scholar] [CrossRef]
- Sukul, N.C.; Bala, S.K.; Bhattacharyya, B. Prolonged Cataleptogenic Effects of Potentized Homoeopathic Drugs. Psychopharmacology 1986, 89, 338–339. [Google Scholar] [CrossRef]
- Cazin, J.C.; Cazin, M.; Gaborit, J.L.; Chaoui, A.; Boiron, J.; Belon, P.; Cherruault, Y.; Papapanayotou, C. A Study of the Effect of Decimal and Centesimal Dilutions of Arsenic on the Retention and Mobilization of Arsenic in the Rat. Hum. Toxicol. 1987, 6, 315–320. [Google Scholar] [CrossRef]
- Burlakova, E.B.; Konradov, A.A.; Maltseva, E.L. Ultralow Doses Action of Biologically Active Substances and Low-Intensity Physical Factors. Chem. Phys. 2003, 22, 21–40. [Google Scholar]
- Molochkina, E.M.; Ozerova, I.B.; Burlakova, E.B. Phenazepam in Therapeutic and Ultralow Doses in Vitro Modulates the Content of Lipid Peroxidation Products and Acetylcholinesterase Activity in Membrane Fraction from Mouse Brain. Bull. Exp. Biol. Med. 2003, 135, 42–44. [Google Scholar] [CrossRef] [PubMed]
- Epstein, O.I. Regulatory Activity of Ultralow Doses. Bull. Exp. Biol. Med. 2003, 135 (Suppl. S7), 8–13. [Google Scholar] [CrossRef] [PubMed]
- Don, E.; Farafonova, O.; Pokhil, S.; Barykina, D.; Nikiforova, M.; Shulga, D.; Borshcheva, A.; Tarasov, S.; Ermolaeva, T.; Epstein, O. Use of Piezoelectric Immunosensors for Detection of Interferon-Gamma Interaction with Specific Antibodies in the Presence of Released-Active Forms of Antibodies to Interferon-Gamma. Sensors 2016, 16, 96. [Google Scholar] [CrossRef]
- Epstein, O.I. The phenomenon of release activity and the hypothesis of “spatial” homeostasis. Usp. Fiziol. Nauk 2013, 44, 54–76. [Google Scholar] [PubMed]
- Epstein, O. The Spatial Homeostasis Hypothesis. Symmetry 2018, 10, 103. [Google Scholar] [CrossRef]
- Penkov, N.; Penkova, N. Analysis of Emission Infrared Spectra of Protein Solutions in Low Concentrations. Front. Phys. 2020, 8, 624779. [Google Scholar] [CrossRef]
- Tarasov, S.A.; Gorbunov, E.A.; Don, E.S.; Emelyanova, A.G.; Kovalchuk, A.L.; Yanamala, N.; Schleker, A.S.S.; Klein-Seetharaman, J.; Groenestein, R.; Tafani, J.-P.; et al. Insights into the Mechanism of Action of Highly Diluted Biologics. J. Immunol. 2020, 205, 1345–1354. [Google Scholar] [CrossRef] [PubMed]
- Woods, K. Modeling of Protein Hydration Dynamics Is Supported by THz Spectroscopy of Highly Diluted Solutions. Front. Chem. 2023, 11, 1131935. [Google Scholar] [CrossRef] [PubMed]
- Epstein, O.I.; Sherstoboev, E.Y.; Martyushev-Poklad, A.V.; Dugina, Y.L.; Sergeeva, S.A.; Dygai, A.M. Dose-Dependent Effects and Specificity of Action of Antibodies to Endogenous Regulators in Ultralow Doses. Bull. Exp. Biol. Med. 2004, 137, 460–462. [Google Scholar] [CrossRef]
- Don, E.S.; Bobrovnik, S.A.; Sherriff, G.; Myslivets, A.A.; Tarasov, S.A.; Epstein, O.I. Advanced Approach to Activity Evaluation for Released-Active Forms of Antibodies to Interferon-Gamma by Enzyme-Linked Immunoassay. J. Immunoass. Immunochem. 2019, 40, 250–268. [Google Scholar] [CrossRef] [PubMed]
- Belov, V.V.; Belyaeva, I.A.; Shmatov, G.P.; Zubareva, G.M.; Palmina, N.P. IR Spectroscopy of Thin Water Layers and the Mechanism of Action α-Tocopherol in Ultra Low Concentrations. Dokl. Phys. Chem. 2011, 439, 123–126. [Google Scholar] [CrossRef]
- Mondal, P.; Sukul, N.C.; Dey, A.; Bhattacharjee, A.; Sohel, M.A.; Sengupta, A.; Sukul, A. High Dilutions of Two Drugs Induce Changes in Crystal Water Structure of Lactose as Revealed by Thermogravimetry and Differential Scanning Calorimetry. Indian J. Biochem. Biophys. IJBB 2020, 57, 467–470. [Google Scholar] [CrossRef]
- Baranova, A.; Lykina, A.; Antonova, D.; Smolyanskaya, O. Optical Properties of Crystalline Lactose Fluidized with Dilutions of Various Substances in the Terahertz Frequency Range. Pharmaceutics 2022, 14, 32. [Google Scholar] [CrossRef] [PubMed]
- Stepanov, G.O.; Rodionova, N.N.; Konstantinov, R.R.; Subbotin, K.A. Effect of Adding Technologically Processed Antibodies to Interferon-Gamma into a Parent Solution on the Structural Features of Triglycine Sulfate Crystals Grown from This Solution. Fine Chem. Technol. 2024, 18, 517–533. [Google Scholar] [CrossRef]
- Spitsin, A.I.; Bush, A.A.; Kamentsev, K.E. Piezoelectric and Dielectric Properties of Bi3TiNbO9 Prepared by Hot Pressing from Powders Activated Using the Serial Dilution Method. Sci. Rep. 2020, 10, 22198. [Google Scholar] [CrossRef] [PubMed]
- Kamentsev, K.E.; Bush, A.A. The Superconducting Properties of YBa2Cu3Oy Ceramics Fabricated Using Ultrahigh Dilution Technology. Ceram. Int. 2022, 48, 32196–32204. [Google Scholar] [CrossRef]
- Subbotin, K.A.; Didenko, Y.S.; Titov, A.I.; Lis, D.A.; Pavlov, S.K.; Volkov, P.I.; Runina, K.I.; Voronov, V.V.; Chernova, E.V.; Lis, O.N.; et al. Influence of Ultrahigh Dilution Treatment of the Charge on the Growth and Spectroscopic Properties of Nd:MgMoO4 Potential Laser Crystal. Crystals 2024, 14, 100. [Google Scholar] [CrossRef]
- Knyzkova, A.I.; Snegerev, M.S.; Votintsev, A.P.; Nikolaev, V.V.; Vrazhnov, D.A.; Kistenev, Y.V. Quantitative Assessment of the Hydrate Shell Thickness of Lactose Monohydrate Molecules in Aqueous Solutions. Russ. J. Phys. Chem. A 2024. [Google Scholar] [CrossRef]
- Demangeat, J.L. NMR Water Proton Relaxation in Unheated and Heated Ultrahigh Aqueous Dilutions of Histamine: Evidence for an Air-Dependent Supramolecular Organization of Water. J. Mol. Liq. 2009, 144, 32–39. [Google Scholar] [CrossRef]
- Konovalov, A.; Ryzhkina, I. Formation of Nanoassociates as a Key to Understanding of Physicochemical and Biological Properties of Highly Dilute Aqueous Solutions. Russ. Chem. Bull. 2014, 63, 1–14. [Google Scholar] [CrossRef]
- Bunkin, N.F.; Shkirin, A.V.; Ninham, B.W.; Chirikov, S.N.; Chaikov, L.L.; Penkov, N.V.; Kozlov, V.A.; Gudkov, S.V. Shaking-Induced Aggregation and Flotation in Immunoglobulin Dispersions: Differences between Water and Water–Ethanol Mixtures. ACS Omega 2020, 5, 14689–14701. [Google Scholar] [CrossRef] [PubMed]
- Ryzhkina, I.S.; Murtazina, L.I.; Kiseleva, Y.V.; Konovalov, A.I. Self-Organization and Physicochemical Properties of Aqueous Solutions of the Antibodies to Interferon Gamma at Ultrahigh Dilution | Semantic Scholar. Dokl. Phys. Chem. 2015, 462, 110–114. [Google Scholar] [CrossRef]
- Ryzhkina, I.; Murtazina, L.; Gainutdinov, K.; Konovalov, A. Diluted Aqueous Dispersed Systems of 4-Aminopyridine: The Relationship of Self-Organization, Physicochemical Properties, and Influence on the Electrical Characteristics of Neurons. Front. Chem. 2021, 9, 623860. [Google Scholar] [CrossRef] [PubMed]
- Ryzhkina, I.; Murtazina, L.; Kostina, L.; Dokuchaeva, I.; Sergeeva, S.; Meleshenko, K.; Shevelev, M.; Petrov, A. Doxorubicin Aqueous Systems at Low Concentrations: Interconnection between Self-Organization, Fluorescent and Physicochemical Properties, and Action on Hydrobionts. Front. Chem. 2022, 10, 1063278. [Google Scholar] [CrossRef] [PubMed]
- Penkov, N. Antibodies Processed Using High Dilution Technology Distantly Change Structural Properties of IFNγ Aqueous Solution. Pharmaceutics 2021, 13, 1864. [Google Scholar] [CrossRef] [PubMed]
- Stepanov, G.O.; Boriskin, V.S.; Rodionova, N.N.; Fedorova, M.M.; Petrova, A.O.; Novikov, V.V.; Yablokova, E.V.; Chernikov, D.Y.; Minakov, A.V.; Tarasov, S.A. The Effect of Aqueous Solutions Processed Using Gradual Technology on the Emission of a Carbohydrate (Lactose) in the RF Range. Phys. Wave Phenom. 2024, 32, 43–47. [Google Scholar] [CrossRef]
- Novikov, V.V.; Yablokova, E.V. Interaction between Highly Diluted Samples, Protein Solutions and Water in a Controlled Magnetic Field. Appl. Sci. 2022, 12, 5185. [Google Scholar] [CrossRef]
- Alinkina, E.S.; Molodtsova, I.V.; Petrova, A.O.; Stepanov, G.O.; Don, E.S. Modifying Distant Effect of High Dilutions of Inorganic and Biological Substances. Bull. Exp. Biol. Med. 2023, 175, 331–334. [Google Scholar] [CrossRef]
- Syroeshkin, A.V.; Petrov, G.V.; Taranov, V.V.; Pleteneva, T.V.; Koldina, A.M.; Gaydashev, I.A.; Kolyabina, E.S.; Galkina, D.A.; Sorokina, E.V.; Uspenskaya, E.V.; et al. Radiothermal Emission of Nanoparticles with a Complex Shape as a Tool for the Quality Control of Pharmaceuticals Containing Biologically Active Nanoparticles. Pharmaceutics 2023, 15, 966. [Google Scholar] [CrossRef]
- Jerman, I.; Ogrizek, L.; Krapež, V.P.; Jan, L. Molecular Signal Transfer of Highly Diluted Antibodies to Interferon-Gamma Regarding Kind, Time, and Distance of Exposition. Int. J. Mol. Sci. 2024, 25, 656. [Google Scholar] [CrossRef] [PubMed]
- Robert C Weast, P.D. CRC Handbook of Chemistry and Physics; CRC Press: Cleveland, OH, USA, 1978. [Google Scholar]
- Molodtsova, I.V.; Khimich, E.O.; Sosnenko, E.S.; Petrova, A.O.; Stepanov, G.O.; Don, E.S. Study of the Effects of Highly Diluted Sodium Sulfate and Interferon-Gamma. Bull. Exp. Biol. Med. 2023, 175, 327–330. [Google Scholar] [CrossRef]
- Don, E.S.; Emelyanova, A.G.; Yakovleva, N.N.; Petrova, N.V.; Nikiforova, M.V.; Gorbunov, E.A.; Tarasov, S.A.; Morozov, S.G.; Epstein, O.I. Dose-Dependent Antiviral Activity of Released-Active Form of Antibodies to Interferon-Gamma against Influenza A/California/07/09(H1N1) in Murine Model. J. Med. Virol. 2017, 89, 759–766. [Google Scholar] [CrossRef] [PubMed]
- Penkov, N.V. Temporal Dynamics of the Scattering Properties of Deionized Water. Phys. Wave Phenom. 2020, 28, 135–139. [Google Scholar] [CrossRef]
- Odintsov, S.D.; Oikonomou, V.K. Towards Modelling Mechanical Shaking Using Potential Energy Surfaces: A Toy Model Analysis. Symmetry 2024, 16, 572. [Google Scholar] [CrossRef]
- Khurshudyan, M. On a State Transfer Mediated by a Central Spin Model. Russ. Phys. J. 2024, 67, 330–336. [Google Scholar] [CrossRef]
- Khurshudyan, M. Controlled State Transfer in Central Spin Models. Symmetry 2024, 16, 489. [Google Scholar] [CrossRef]
- Andrianov, V.V.; Gainutdinov, K.L.; Gainutdinova, T.K.; Mukhamedshina, D.I.; Shtark, M.B.; Epstein, O.I. Membranotropic Effects of Antibodies to S100 Protein in Ultralow Doses. Bull. Exp. Biol. Med. 2003, 135 (Suppl. S7), 114–116. [Google Scholar] [CrossRef] [PubMed]
- Epshteĭn, O.I.; Beregovoĭ, N.A.; Sorokina, N.S.; Starostina, M.V.; Shtark, M.B. Effect of various dilutions of the potentiated antibodies to the brain-specific protein S-100 on the post-titanic potentiation in surviving hippocampal slices. Biull. Eksp. Biol. Med. 1999, 127, 317–320. [Google Scholar]
- Lagodzinskaya, G.V.; Kazakov, A.I.; Laptinskaya, T.V. Supramolecular Structuring of Aqueous Solutions of Strong Acids: Manifestations in Light Scattering, NMR, and Oxidation Kinetics. Does Liquid Have a Drop-like Nature? 1. Nitric Acid. Russ. Chem. Bull. 2018, 67, 1838–1850. [Google Scholar] [CrossRef]
- Lagodzinskaya, G.V.; Kazakov, A.I.; Laptinskaya, T.V. Supramolecular Structuring of Aqueous Solutions of Strong Acids: Manifestations in Light Scattering, NMR, and Oxidation Kinetics. Does Liquid Have a Drop-like Nature?: 2. Perchloric Acid. Russ. Chem. Bull. 2018, 67, 2212–2223. [Google Scholar] [CrossRef]
- Epstein, O.I.; Shtark, M.B.; Dygai, A.M.; Sergeeva, S.A.; Goldberg, E.D.; Petrov, V.I.; Voronina, T.A.; Starostina, M.V. Farmakologiya Sverhmalyh Doz Antitel k Endogennym Regulyatoram Funkcij; RAMN: Moscow, Russia, 2005; ISBN 5-7901-0070-8. [Google Scholar]
- Belovolova, L.V.; Glushkov, M.V. Okislitel’no-vosstanovitel’nyj potencial, elektroprovodnost’ i dinamika releevskogo svetorasseyaniya sil’norazbavlennyh vodnyh rastvorov. Zhurnal Fiz. Khimii 2019, 93, 1259–1267. [Google Scholar] [CrossRef]
- Belovolova, L.V.; Belovolov, M.M.; Glushkov, M.V. Role of Reactive Oxygen Species in the Manifestation of Rhythmic Processes in Strongly Diluted Water Systems. Russ. J. Biol. Phys. Chem. 2021, 6, 35–41. [Google Scholar]
- Lobyshev, V.I. Water as a Sensor of Weak Impacts on Biological Systems. Biophys. Rev. 2023, 15, 819–832. [Google Scholar] [CrossRef]
- Belovolova, L.V.; Glushkov, M.V.; Vinogradov, E.A.; Babintsev, V.A.; Golovanov, V.I. Ultraviolet Fluorescence of Water and Highly Diluted Aqueous Media. Phys. Wave Phenom. 2009, 17, 21–31. [Google Scholar] [CrossRef]
- Belovolova, L.V.; Glushkov, M.V. Oscillations of the Redox State of the Nicotinamide Adenine Dinucleotide Coenzime in an Aqueous Medium and in Microemulsions upon Interaction with an Endogenous Source of Nitrogen Oxide: S-Nitrosoglutathione. Phys. Wave Phenom. 2017, 25, 196–206. [Google Scholar] [CrossRef]
- Fesenko, E.E.; Yablokova, E.V.; Novikov, V.V. Weak Magnetic Fields Regulate the Ability of High Dilutions of Water to Enhance ROS Production by Neutrophils. Appl. Sci. 2024, 14, 3290. [Google Scholar] [CrossRef]
- Davenas, E.; Beauvais, F.; Amara, J.; Oberbaum, M.; Robinzon, B.; Miadonna, A.; Tedeschi, A.; Pomeranz, B.; Fortner, P.; Belon, P. Human Basophil Degranulation Triggered by Very Dilute Antiserum against IgE. Nature 1988, 333, 816–818. [Google Scholar] [CrossRef]
- Montagnier, L.; Del Giudice, E.; Aïssa, J.; Lavallee, C.; Motschwiller, S.; Capolupo, A.; Polcari, A.; Romano, P.; Tedeschi, A.; Vitiello, G. Transduction of DNA Information through Water and Electromagnetic Waves. Electromagn. Biol. Med. 2015, 34, 106–112. [Google Scholar] [CrossRef]
Disclaimer/Publisher’s Note: The statements, opinions and data contained in all publications are solely those of the individual author(s) and contributor(s) and not of MDPI and/or the editor(s). MDPI and/or the editor(s) disclaim responsibility for any injury to people or property resulting from any ideas, methods, instructions or products referred to in the content. |
© 2024 by the authors. Licensee MDPI, Basel, Switzerland. This article is an open access article distributed under the terms and conditions of the Creative Commons Attribution (CC BY) license (https://creativecommons.org/licenses/by/4.0/).