Abstract
Like batteries, fuel cells provide an inherently clean source of energy with no adverse environmental impact during operation. The utilization of methanol as a fuel is advantageous: it has an energy density of about 6 kWh/kg, which is, much higher than that of other commercialized batteries. This review is focused on the core of a DMFC, i.e., the symmetric membrane, in particular on the block copolymers used for its preparation as an alternative to well-known Nafion. The synthesis of block copolymer ionomers based on different building block types, with special emphasis on the critical issue of methanol permeability and proton/methanol selectivity, as well as the effect of block length and crosslinking are described and discussed.
1. Introduction: Setting the Scene
In many countries of the world, the transition to renewable energy is occurring with many great investments in the field of clean energy. Both fuel cells and batteries play a crucial role in this scenario, providing renewable energy for a wide variety of applications such as powering automotive sectors and even entire homes. Fuel cells, like batteries, are electrochemical energy conversion systems that convert chemical energy into electricity. Indeed, fuel cells, like batteries, have an anode where the oxidation reaction of the fuel occurs, releasing electrons, which circulate in the external circuit, producing a flow of electricity, and a cathode, where the reduction reaction occurs thanks to the electron coming from the external circuit. Different from batteries, fuel cells do not need to be recharged, since they can work as the fuel is externally supplied at that anode and do not consume any part of the cell. Considering the supporting infrastructure in the automotive field, battery electric passenger vehicles are supported by a relatively widespread network of charging points [1]. However, low charging power combined with larger battery packs imply that “electric cars are no longer the head turners they were just a few years ago” [2]: prohibitively long charging times, issues of weight and torque, and a lack of coasting mean that tires on EVs are subject to more stress than the ones on gasoline-powered vehicles and wear out sooner [2,3]. To offset this, energy storage solutions other than batteries are required. Water electrolysis for hydrogen production from excess renewable electricity is a viable solution (Figure 1) [4,5].
Figure 1.
Pathways for renewable electricity use in batteries and fuel cells.
Hydrogen, as an energy vector, can be used for long-term energy storage and as a transportation fuel in fuel cells or for industrial applications. On 2 July 2021, Europe’s largest polymer electrolyte membrane water electrolyzer started to produce full green hydrogen (i.e., using renewable energies as the electricity source for the electrolysis) as part of the REFHYNE (clean refinery hydrogen for Europe) European consortium. It is the first plant to use this technology on such a large scale in a refinery [6].
Moreover, hydrogen can be converted into electrofuels, i.e., fuels that store renewable electrical energy in chemical bonds.
Methanol (CH3OH) is a carbon-neutral electro-fuel if produced from hydrogen (H2) via electrolysis and CO2 from the atmosphere, biomass, or the exhaust of industrial processes [7,8,9,10] (Figure 1). In the essay “Beyond Oil and Gas: The Methanol Economy” [11], the Nobel laureate George Olah proposed relevant strategies for the application of methanol as a transportation fuel, energy storage medium, and raw material for the products derived primarily from oil. Olah [12] envisioned that from atmosphere itself, we can obtain the CO2 and water enough to produce CH3OH thanks to solar energy, as follows [13,14]:
CO2 + 2H2O ⟶ CH3OH + 3/2 O2
Currently, thanks to China’s policy to use CH3OH as a transportation fuel [15,16], its use in the energy sector has rapidly increased to 40% of total methanol production.
Indeed, even though H2 has an energy content of 142 MJ/kg [17], which is higher than that of methanol (22.9 MJ/kg) [18], the latter has some advantages. Methanol, being liquid at room temperature, is easier to handle, requiring relatively small-sized equipment and keeping the infrastructure of today’s petroleum-based economy for renewable energy systems where fuel cells and electrolyzers play a crucial role. The direct physical storage of H2 fuel in gaseous form is much more expensive, requiring high-pressure vessels up to 350–700 bars to ensure safety and limit the equipment’s footprint (Table 1). Alternatively, H2 can be stored as methanol. Indeed, methanol, having many applications in energy fields and being converted back to H2 via the reforming process, can serve as a storage medium and carrier for clean renewable energy [19].
Table 1.
Comparison of direct physical storage of methanol and hydrogen [20,21].
Like batteries, fuel cells provide an inherently clean source of energy with no adverse environmental impact during operation. Fuel cells can be classified on the basis of their operational temperature. Proton electrolyte membrane fuel cells (PEMFCs), anode membrane fuel cells (AMFCs), and direct methanol fuel cells (DMFCs) are low-temperature fuel cells; molten carbonate fuel cells (MCFCs), phosphoric acid fuel cells (PACFCs), and solid oxide fuel cells (SOFCs) are high-temperature fuel cells.
DMFCs not only have the advantage of working at low temperatures, but the fuel, being a liquid, i.e., methanol, can be handled easily, and moreover, aqueous methanol-based DMFCs do not require a humidification system or particular thermal management. Liquid methanol can be supplied in small cartridges based on demand [22]. Above all, methanol offers a great advance compared to commercialized batteries: its low energy density of ~6 kWh/kg [23].
These advantages allow for the fabrication of a simpler design that can potentially have low-volume and lightweight packaging compared to that of other fuel cells, explaining the market sectors of DMFCs (Figure 2), i.e., mobility, leisure, and security [24]. This is facilitated by the use of DMFCs because they are eco-friendly, highly efficient, and eliminate requirements for fuel reforming and/or large onboard hydrogen storage tanks that are essential for the operation of PEMFC systems [25].
Figure 2.
Main applications of DMFCs. Reproduced from [25] under CCBY 4.0.
In the year 2023, the industry size of DMFCs was USD 3 billion, and it is envisioned that the DMFC market size could reach USD 9 billion by the end of 2036, growing at a compound annual growth rate (CAGR) of 15% [26].
Recently, Junoh et al. [27] reviewed the common membrane structures developed at laboratory scale, with particular emphasis on the effect of morphological structure on DMFC performance. In this review, after a section on the theoretical background of DMFCs, a particular class of polymer materials, i.e., block copolymers, is investigated for its application in symmetric polymer electrolyte membranes as a valuable alternative to the expensive Nafion.
2. Theoretical Background
2.1. How DMFCs Work
Polymer electrolyte membrane fuel cells have attracted considerable attention for vehicular transportation (hydrogen fuel cells) and portable electronics (methanol fuel cells) as alternative power sources due to their low greenhouse gas emission and high energy conversion efficiency [28,29]. Direct methanol alkaline fuel cells (DMAFCs) use anion exchange membranes (AEMs) as polymer electrolyte membranes.
Proton exchange membranes (PEMs), key components of PEMFCs and (acidic) DMFCs (investigated in this review), support proton transfer, and their study is of great interest. As shown in Figure 3, they have a symmetric structure.
Figure 3.
Schematic of DMFC.
Over the past decades, extensive work has been devoted to the development of DMFCs as electrical energy sources. In Figure 3, a typical DMFC is schematized. The DMFC comprises an anode/cathode gas diffusion layer (GDL), anode/cathode catalyst layers (CL), PEM (electrolyte), and bipolar plates (BPPs) on either side. The CL and GDL integrated with the PEM as a single unit are referred to as the membrane electrode assembly (MEA), similar to a PEMFC stack.
Methanol oxidates at the anode (CL) (Figure 3, left) provide protons, electrons, and CO2, as reported in Equation (2):
CH3OH + H2O ⟶ CO2 + 6H+ + e−
Protons diffuse through the symmetric PEM to the cathode (Figure 3, right). Here, the electrons, which move through an external circuit, producing electrical energy, are recombined with protons and molecular oxygen, producing water and carbon dioxide, as shown in Equation (3):
3/2 O2 + 6H+ + 6e− ⟶ 3H2O
The overall reaction is
CH3OH + 3/2 O2 ⟶ CO2 + 2H2O
In DMFCs, the PEM exhibits three functions: as a proton conductor, as a fuel (methanol) barrier, and as a mechanical separator between the two electrodes (Figure 3). A good grade of stability is a vital requirement, and therefore, the understanding of DMFC degradation mechanisms, which are summarized below, are crucial [30].
2.2. Degradation Mechanisms in DMFCs
DMFC degradation, like that in hydrogen-based PEMFCs, concerns mainly two of the three parts of the MEA, i.e., the PEM and CL. Indeed, GDL degradation is highly limited by factors such as cell potential, porosity, and the effect of temperature. Regarding the degradation of the PEM, methanol crossover, as well as CO poisoning, membrane thickness, methanol concentration, methanol impurities, and membrane assembly defects cause instable performance. Methanol crossover (MCO) is the main phenomenon that leads to the degradation of the PEM. MCO is the diffusion of methanol through the membrane from the anode to the cathode. This phenomenon is triggered by the hydrophilic character of the membrane and methane’s solubility in water. Therefore, even though at the anode, methanol oxidation occurs (Equation (2)), some fuel diffuses through the membrane to the cathode, resulting in MCO [31]. At the cathode, the MCO is oxidized to CO2 and H2O, lowering the fuel efficiency by 35% and leading to cathode depolarization [32]. In many studies, a linear dependency of current density on temperature and methanol concentration was reported [33,34,35]. Cell current density versus methanol crossover current density as a function of temperature and methanol concentration, separately, is shown in Figure 4 [36].
Figure 4.
Cell current density versus methanol crossover current density as function of temperature and methanol concentration. Reproduced from [36] under CCBY 4.0.
Regarding the degradation of CL, it is accelerated mainly by catalyst poisoning, as well as surface oxide formation and membrane dissolution. Methanol oxidation has slow kinetics and produces intermediate species such as CO with a strong poisoning effect.
CO molecules are adsorbed onto the electrocatalyst surface and hinder the electro-oxidation kinetics [37] (Figure 5).
Figure 5.
CO formation on surface of Pt catalyst. Reproduced from [37] under CCBY 4.0.
The use of alloys based on ruthenium is promising to circumvent CO poisoning [38]. Moreover, an increased operational temperature of the DMFC affecting the methanol oxidation kinetics could reduce the production of intermediate species such as CO. However, an increase in the operating temperature enhances MCO, as mentioned above and discussed below.
2.3. DMFC Challenges
The membranes commonly used in DMFCs were originally developed for PEMFCs, the so-called hydrogen fuel cells. NafionTM, a perfluorinated membrane manufactured by Dupont, has been the most frequently used PEM for PEMFCs and DMFCs due to its superior chemical/mechanical stability and high proton conductivity [39]. Proton conduction occurs through the interconnected hydrophilic clusters (ionic channels) (Figure 6) formed by nanophase separation between the hydrophilic proton exchange sites and the hydrophobic domain, as observed in perfluorosulfonic acid (NafionTM) [40].
Figure 6.
Cluster-network morphology of hydrated Nafion. Reproduced from [40] with permission from ACS.
Nafion® membranes dehydrate rapidly at high temperatures, resulting in a loss of proton conductivity [41]. Even though Nafion from Dupont is the most used membrane, other commercial available membranes for DMFCs are Aciplex (Asahi Kasei Chemicals, Tokyo, Japan) [42], Flemion (Asahi Glass, Chiba, Japan) [43], Gore-select (W. L. Gore & Associates, Newark, DE, USA) [44], and the perfluoro sulfonic acid (PFSA)-based Fumapen F-1850 and E-730 (Fumatech Bietigheim-Bissingen, Germany) [45]. Figure 7 shows a comparison of methanol crossover rates for Fumapem F-1850, Fumapen E-730, and Nafion® 115. Nafion membranes have a high methanol crossover rate (>10−6 mol cm−2 s−1 at 30 °C), corresponding to a performance loss of current density of 50–100 mA cm−2 and leading to lower cell efficiency and cell performance due to the mixed electrode potential.
Figure 7.
Methanol crossover rate of different membranes under different operating conditions (temperature and methanol concentration). Reproduced from [46] under CC-BY 4.0.
2.4. Beyond Nafion Membranes
Over the past decades, many studies have addressed the development of new, less methanol permeable, and high-temperature-resistant PEMs in order to improve DMFC efficiencies. Among the various approaches, there is the strategy of mixed matrix membranes (MMMs) (hybrid membranes), i.e., the modification of the polymer matrix of Nafion or other polymers by adding fillers to tune the transport properties [47]. In the specific case of DMFCs, MMM reduces methanol crossover by making its path more tortuous and thus improves DMFC membrane performance. In this context, homogeneous matrices due to good compatibility of the fillers with the hosting polymer matrix and their optimal distribution are crucial, as they affect the transport not only of methanol, which could be hindered, but also of protons. The phase separation of MMMs can be identified as incompatible, intercalated, and exfoliated (Figure 8).
Figure 8.
Phase separation in MMMs: (a) incompatible, (b) intercalated, and (c) exfoliated. Reproduced from [27] under CC-BY 4.0.
Incompatible phase separation occurs in the case of absence of adhesion between the hosting polymer matrix and inorganic fillers, leading to agglomeration regions and a decrease in proton conductivity and methanol barrier properties. In intercalated phase separation, the inorganic fillers are dispersed in the polymer matrix without agglomeration thanks to good compatibility between the polymer and filler. Individual sheets of filler are dispersed into the polymer matrix in the case of exfoliated phase separation, leading to tortuous paths for methanol and enhancing selectivity, as in the gas of transport [47]. The discussion of a strategy based on MMMs for PEMs in DMFCs is beyond the scope of this review, and the readers are suggested to further read the existing literature on the topic [48,49,50,51,52].
The design and development of PEMs based on new ionomers, i.e., polymers containing ionic groups, is generally accepted to be another important strategy. In this respect, two approaches can be recognized from the existing and growing literature on the topic.
The first approach is to utilize the sulfonated form of chemically and thermally stable homopolymers such as polystyrene (PS), crosslinked phosphazenes, polyphenylene oxide (PPO), polyethersulfone, polyetheretherketone, and polyimide. Most sulfonated aromatic PEMs are made of random or statistical copolymers unable to form defined hydrophilic domains (ionic clusters), as the rigid aromatic backbone prevents the formation of continuous conducting channels and ionic clustering as in Nafion. In order to overcome this drawback, several approaches have been proposed. Einsla et al. [53] used sulfonated aromatic PEMs (alternating, random, and multiblock polymers) with similar water uptake, ion exchange capacity (IEC), and acid groups. The fuel cell equipped with the multiblock copolymer featuring the phase connectivity of hydrophilic domains showed better performance than that observed with alternating and random polymers, where the lack of phase continuity is due to the randomness of the sulfonic acid groups. So, the second effective approach, discussed in this review, concerns the use of block copolymers: the hydrophilic phase supplies channels for proton conduction, and the hydrophobic phase maintains membrane integrity and avoids swelling.
The crucial role of the interconnection of ionic clusters evaluated by comparing random and multiblock aromatic sulfonated polymers was previously reported by Won et al. [54] for SBS and SBR (polystyrene-r-butadiene) random copolymers and by Zhao et al. [55], who studied both random and block sulfonated poly(arylene ether ketone) (SPAEK) copolymers (Figure 9).
Figure 9.
Schematic representation of morphology and proton transport mechanisms for block and random SPAEK membranes. Reproduced from [55] with permission from Wiley and Sons.
Several self-assembled block copolymer morphologies have been observed and investigated, such as spheres arranged on a cubic lattice, hexagonally packed cylinders, interpenetrating gyroid morphologies, and alternating lamellae (Figure 10).
Figure 10.
Diblock copolymer morphology for highly immiscible blocks. Reproduced from [56] with permission from ACS.
A number of recent studies have demonstrated significant enhancements in proton conductivity in sulfonated random copolymer counterparts. Several papers report that by controlling block copolymer microphase separation (microphase morphology), different ion conductivities along different directions (through-plane vs. in-plane) of the block copolymer orientation have been measured.
The motivation for studying block copolymers is to exert independent control over the electrical (via the ionic moiety) and mechanical (via the nonionic block) properties of the electrolyte.
In the present review, the synthesis of block copolymer ionomers based on different building block types is described and discussed, with special emphasis on the critical issues of methanol permeability and proton/methanol selectivity as well as the effect of block length and crosslinking.
3. Block Copolymer Electrolytes
3.1. Synthesis
The synthetic procedures for popular block copolymer-based membranes have been reviewed extensively [56,57,58,59,60,61,62,63,64]. Diverse block copolymer electrolyte membranes for performance improvements in various fuel cells have also been designed and realized by numerous researchers. Table 2 summarizes representative block copolymer electrolytes.
Table 2.
Summary of typical block copolymer-based electrolytes.
3.1.1. Postsulfonation of Commercial Block Copolymers
The primitive type of block copolymer electrolytes were obtained by the postsulfonation of commercially available block copolymers [95,96,97]. Acosta and co-workers described two nonfluorinated polymers: one consisting of a hydrogenated styrene–butadiene rubber block copolymer and the other consisting of a block copolymer blend with isobutylene isoprene rubber. The obtained films were sulfonated [95]. A series of partially sulfonated polystyrene-b-poly(ethylene-ran-butylene)-b-polystyrene copolymers was synthesized, and the sulfonation was characterized extensively [96]. A triblock copolymer ionomer, sulfonated poly(styrene-b-isobutylene-b-styrene), was investigated for its applications in DMFCs.
3.1.2. Synthesis of Electrolytes from Poly(arylene Ether)-Based Building Blocks
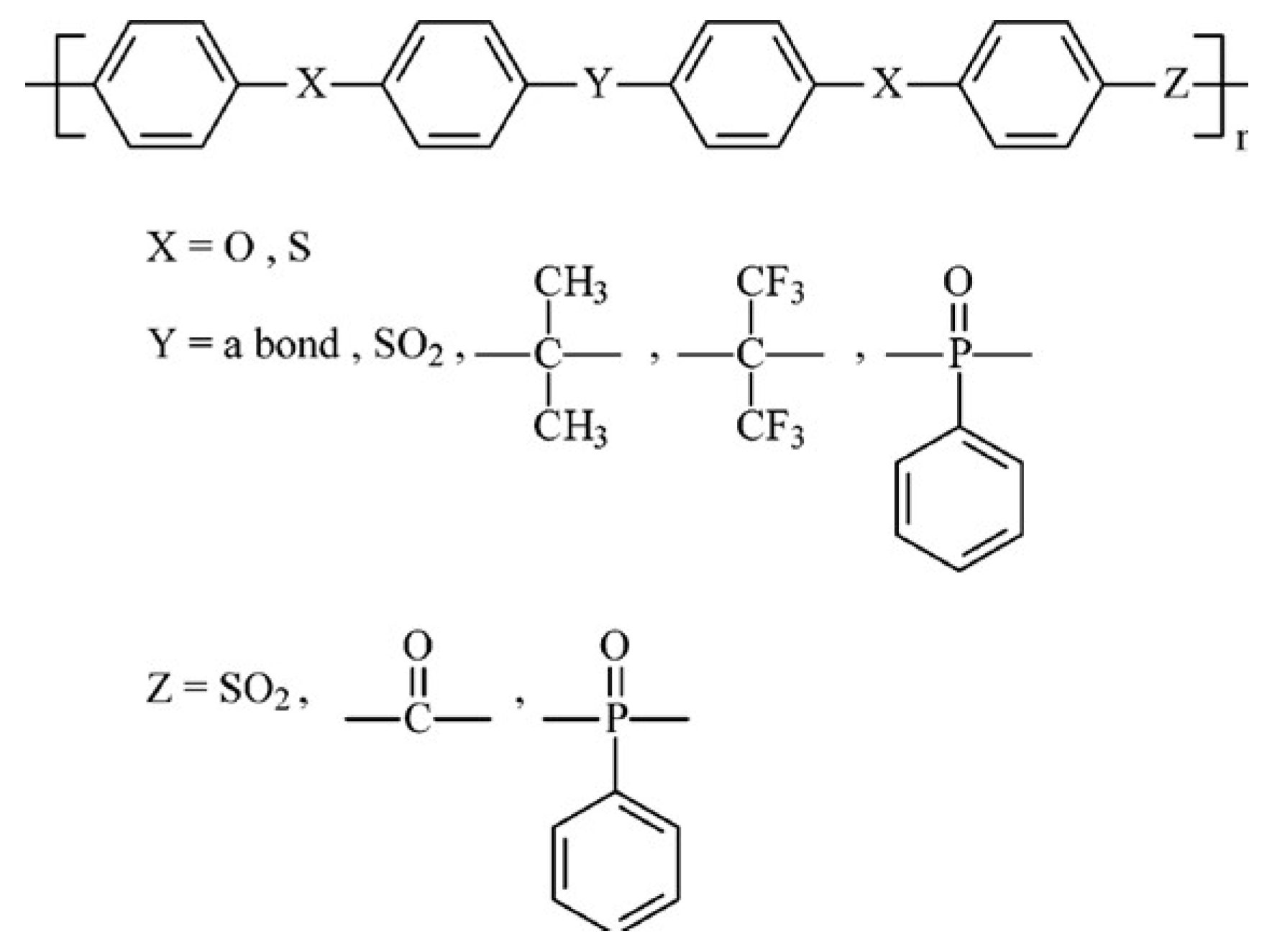
Wholly aromatic polymers have been considered promising materials for polymer electrolyte membranes because of their availability, processability, wide variety of chemical compositions, and stability in the fuel cell environment. Remarkably, poly(arylene ether) materials such as poly(arylene ether ether ketone), poly(arylene ether sulfone), and their derivatives are attractive thanks to the oxidative and hydrolytic stability of their different chemical structures (Figure 11) [57]. Random precursors are usually synthesized by condensation reactions to obtain oligomeric blocks. Then, those oligomeric blocks are coupled to obtain polyelectrolytes.
Figure 11.
Possible poly(arylene ether) chemical structures. Reproduced from [57] with permission from ACS.
The introduction of proton exchange sites to poly(arylene ether)s has been accomplished by both a polymer postmodification approach and the direct copolymerization of sulfonated monomers.
3.1.3. Poly(arylene Ether Sulfone)-Based Copolymers
The most important class of poly(arylene ether)s is poly(arylene ether sulfone). Most block copolymer electrolytes based on poly(arylene ether sulfone) are synthesized by oligomeric coupling reactions between hydrophilic and hydrophobic moieties [65,66,67,68,69,70,71]. Researchers at Nissan Motor Company employed two hydrophobic oligomers to enhance the reactivity of the coupling reaction, which can be expected to provide more mutual miscibility than hydrophilic–hydrophobic oligomers, as well as highly reactive fluorine-extermination moieties [65]. Watanabe and colleagues [67] synthesized a series of sulfonated poly(arylene ether sulfone) block copolymers containing fluorenyl groups. The longer hydrophilic and hydrophobic blocks resulted in higher water uptake and higher proton conductivity [67]. In addition, many functional groups have been introduced into a poly(arylene ether sulfone) backbone and characterized to improve the performance of electrolytes [68,69,70]. On the other hand, multiblock copoly(arylene ether sulfone)s with different block lengths and ionic contents were tailored by Jannasch and co-workers for durable electrolyte membranes [71].
3.1.4. Poly(ether Sulfone)-Based Copolymers
Similar synthetic strategies can be applied to the production of poly(ether sulfone)-based block copolymer electrolytes. Multiblock copolymers were synthesized by the nucleophilic aromatic substitution of hydroxyl-terminated oligomers in the presence of highly reactive decafluorobiphenyl (DFB) as a chain extender. The ion exchange capacity values could be easily controlled by changing the sulfonated block ratios in the copolymers [72]. The first example of a dendritic multiblock copolymer based on poly(ether sulfone) was proposed by Hay’s group [73].
3.1.5. Other Systems
There have been many poly(arylene ether) derivative electrolytes for fuel cells. Bai et al. [74] synthesized multiblock sulfonated poly(arylenethioethersulfone) (SPTES) to balance the distribution of hydrophobicity and hydrophilicity along the polymer backbone [74].
Bae et al. [75,76] synthesized advanced novel sulfonated poly(arylene ether sulfone ketone) multiblock membranes by nucleophilic aromatic substitution reaction. With a sulfone–ketone structure for the hydrophobic block, 100% sulfonation of the hydrophilic block was achieved. Postsulfonation yielded the targeted structure without detectable sulfonation of the hydrophobic block. Also, the degree of polymerization was finely controlled [76].
Rikukawa and co-workers [77] reported the first synthesis of hydrophilic−hydrophobic polyphenylene-based block copolymer ionomers with well-defined block lengths and distributions. They used the catalyst-transfer polycondensation of a dibromo phenylene derivative having a neopentyl ester-protected sulfonic acid group, followed by the polycondensation of hydrophobic dibromo hexyloxybenzene [77].
Mader and Benicewicz [78] synthesized a series of novel segmented block copolymers of sulfonated polybenzimidazole (PBI) with various polymer ratios. A two-step synthesis of oligomeric species followed by combination and further polymerization was performed via the polyphosphoric acid (PPA) process.
Polyimide (PI)-based block copolymer membranes were prepared by Watanabe and Okamoto’s group. They reported a novel series of block PI copolymers having aliphatic and aromatic segments [79] and novel poly(2-(3-sulfo)benzoyl-1,4-phenylene)-b-polynaphthalimide (PSP-b-PI) copolymers synthesized by the Ni(0)-catalyzed copolymerization of 2,5-dichloro-3′-sulfobenzophenone and dichloro-terminated naphthalimide oligomer [80], respectively.
3.1.6. Synthesis of Electrolytes from Poly(arylene Ether) and Other Similar Building Blocks
Poly(arylene ether sulfone) has been accompanied by diverse hydrophobic or hydrophilic building blocks for improved performance in fuel cells. First, numerous copolymers consisting of poly(arylene ether sulfone) and other building blocks have been prepared by McGrath and colleagues [81,82,83]. Hydrophilic sulfonated poly(arylene ether sulfone) groups were coupled with semi-crystalline poly(ether ether ketone). Multiblock copolymers of telechelic phenoxide-terminated hydrophilic fully disulfonated poly(arylene ether sulfone) and decafluorobiphenyl-terminated hydrophobic poly(arylene ether ketimine) were synthesized from hydrophilic and ketimine-protected amorphous hydrophobic telechelic oligomers by nucleophilic coupling reactions [81].
The synthesis and coupling of partly fluorinated hydrophobic poly(arylene ether ketone) oligomers and disulfonated hydrophilic poly(arylene ether sulfone) telechelic oligomers produced alternating poly(arylene ether ketone sulfone) multiblock copolymers [81]. The coupling reaction could be conducted at relatively low temperatures (105 °C) by utilizing highly reactive hexafluorobenzene (HFB) as a linkage group [82].
Multiblock copolymers synthesized from 100% disulfonated poly(arylene ether sulfone) and naphthalene polyimide (PI) oligomers may form an alternative membrane for high-temperature fuel cells [85]. PI blocks can be introduced through imidization reactions. Amine-terminated sulfonated poly(arylene ether sulfone) hydrophilic oligomers and anhydride-terminated naphthalene-based polyimide hydrophobic oligomers were synthesized via step-growth polymerization including high-temperature one-pot imidization [86].
Multiblock copolymers based on poly(arylene ether sulfone) and polybenzimidazole (PBI) were synthesized by coupling carboxyl functional aromatic poly(arylene ethers) with ortho-diamino functional PBI oligomers [88]. First, the oligomerization of bis(4-fluorophenyl)sulfone and 9,9-bis-(4-hydroxyphenyl)fluorene was carried out under nucleophilic aromatic substitution conditions. Second, postsulfonation using chlorosulfonic acid yielded a sulfonated oligomer. Lastly, the end-capping reaction with 4-hydroxybenzoic acid in the presence of potassium tert-butoxide led to the targeted sulfonated carboxylic-terminated telechelic oligomer 1 [88].
Wang et al. [90] reported the copolymerization of hydrophobic telechelic oligomers with phenoxide-terminated poly(arylene ether sulfone)s by nucleophilic, aromatic substitution to form hydrophilic–hydrophobic multiblock copolymers [90]. A similar structure having polybenzophenone/poly(arylene ether) blocks was designed and synthesized via Ni-mediated coupling polymerization [69].
Jannasch and co-workers [92] demonstrated multiblock copolymers consisting of hydrophilic poly(arylene sulfone) (SPAS) blocks combined with hydrophobic poly(arylene ether sulfone) blocks. Thiol-terminated precursor blocks of sulfonated poly(arylene thioether sulfone) (SPATS) were prepared through polycondensation, followed by coupling with pentafluorophenyl end-capped poly(arylene ether sulfone) precursor blocks. The thioether bridges were then selectively oxidized to obtain SPAS–poly(arylene ether sulfone) copolymers with hydrophilic blocks containing exclusively sulfone bridges [92].
Meyer and co-workers [93] produced multiblock copolymers of hydrophilic poly(phenylene sulfone) and hydrophobic poly(phenylene ether sulfone) segments. The phase separation was due to polysulfone blocks, in which each phenyl ring is monosulfonated (hydrophilic part) (Figure 12a,b), and arylethersulfone blocks (hydrophobic part) (Figure 12c,d). The selected blocks are stabilized against desulfonation thanks to electron-withdrawing SO2 groups in the ortho position to the sulfonic acid groups [93].
Figure 12.
Chemical structure of repeat units of hydrophilic (a,b) and hydrophobic (c,d) blocks. Reproduced from [93] with permission from Wiley and Sons.
On the other hand, poly(ether ether ketone) blocks have been connected with poly(ether sulfone) or polybutadiene. Guo et al. [94] employed poly(ether sulfone) blocks, and Zhao and Yin [95] used polybutadiene for postsulfonation.
3.1.7. Synthesis of Electrolytes from Poly(styrene) and Other Building Blocks
Polystyrene has been utilized for polymer electrolyte membranes for a long time owing to their abundance, easy synthesis and modification, physical and chemical stability, and well-known properties. Recently, elegant block copolymers containing polystyrene blocks have been popular for high-performance fuel cells.
Jo and colleagues [99,100] synthesized a new class of block copolymers using polystyrene-co-polyacrylonitrile with poly(arylene ether)s. The fluorinated amphiphilic triblock copolymers composed of fluorinated poly(arylene ether) (FPAE) and sulfonated poly(styrene-co-acrylonitrile) (SSAN) were synthesized through condensation polymerization followed by controlled radical polymerization.
Spontak and colleagues [101] innovatively turned their attention to the midblock sulfonation of a long-chain poly(p-tert-butylstyrene-b-styrene-b-p-tert-butylstyrene) triblock copolymer to overcome the drawbacks associated with short midblock sulfonation. The triblock copolymer was synthesized via living anionic polymerization with sec-butyllithium as the initiator. They also chose to use acetyl sulfate to sulfonate the midblock of a long-chain triblock copolymer. Anionic polymerization also produced polystyrene-b-hydroxypolystyrene block copolymers in Chao’s group [102]. Goswami et al. [103] reported a new class of charged block copolymers with 75 vol% fluorinated polyisoprene (FPI)—25 vol% sulfonated polystyrene (PSS) with 50% sulfonation. This study is a creative research work dealing with conventional polystyrene-b-polyisoprene copolymers fabricated via anionic polymerization.
Jannasch’s group [104] synthesized poly(styrene-b-vinylphosphonic acid) diblock copolymers via sequential anionic polymerization and evaluated them as nanostructured polymer electrolytes. The polymerization of styrene started by using n-butyllithium. 1,1-Diphenylethylene was then added to the living polystyryl anions before charging diethyl vinylphosphonate to polymerize the second block, which was then hydrolyzed, yielding the poly(vinylphosphonic acid) block [104].
A sulfonated fluorous block copolymer, sulfonated poly([vinylidene difluoride-co-hexafluoropropylene]-b-styrene) [P(VDF-co-HFP)-b-SPS], incorporating a nonionic fluorous block and a sulfonated ionic block was synthesized by Holdcroft and co-workers [105,106] via atom transfer radical polymerization. The presence of the fluorinated block was reported to improve phase separation and thereby enhance proton conductivity compared to that of random copolymers. Wang’s group [107] demonstrated the synthesis of polystyrene-b-poly(vinylidene fluoride)-b-polystyrene. Radical polymerization produced block copolymers of poly(pentafluorostyrene) and polystyrene. Jankova and Hvilsted [108] used atom transfer radical polymerization, while Matsuoka et al. [109] employed a living radical polymerization method. Recently, Park and Balsara [110] synthesized and extensively studied a polystyrene-b-polymethylbutylene block copolymer, and Hillmyer and co-workers [111] synthesized poly([norbornenylene ethylstyrene-r-styrene]-b-styrenesulfonic acid). Müllen and co-workers [112] synthesized block copolymers containing phosphonic acid moieties by atom transfer radical polymerization. Polymer electrolytes based on polystyrene and polymethacrylate were also synthesized [113,114]. The methacrylate-b-styrene-b-methacrylate triblock copolymers were grown from the center of the polymer chain by atom transfer radical polymerization using a difunctional initiator. It was found that the degree of sulfonation had a systematic effect on the block copolymer domain [112].
A polystyrene-poly(arylene ether sulfone)-polystyrene (PS-PAES-PS) coil–semirod–coil triblock copolymer was synthesized by Lee and co-workers [115] by means of condensation between PS-COCl and H2N-PAES-NH2 telechelic polymers. Following a known reaction protocol, it was possible to selectively sulfonate the PS block of the triblock copolymer that led to the sulfonated copolymer sPS-PAES-sPS.
3.1.8. Synthesis of Electrolytes from Building Blocks Other Than Polystyrene and Poly(arylene Ether)s
Holdcroft and co-workers [116] reported the synthesis of a poly(sulfone)-b-poly(vinylidene fluoride) copolymer by polycondensation. Persson and Jannasch [117] prepared block copolymers of polybenzimidazole and poly(ethylene oxide) by anionic ring-opening polymerization. In particular, they used a thiol-ene coupling reaction. As mentioned earlier, Müllen and co-workers [118] recently synthesized another block copolymer containing a phosphonic acid group with poly(phenylene oxide).
3.1.9. Copolymers with Special Shapes
Copolymers other than block forms can be incorporated as polymer electrolytes for fuel cells. Graft copolymers constitute a class of copolymer electrolytes. Chung and colleagues [119] reported the synthesis of well-defined graft structures involving three reaction steps: (i) the preparation of PVDF copolymers containing chlorotrifluoroethylene (CTFE) units, (ii) an ATRP reaction to incorporate several polystyrene side chains, and (iii) a sulfonation reaction on the PS side chains. The produced PVDF-g-sPS graft copolymer featured a combination of a high PVDF backbone molecular weight (Mn > 300,000 g/mol), very low SPS graft density (0.3 mol%), and high graft length (SPS content > 30 mol%) [119]. Balog et al. [120] revealed the relation between structure and performance for a divinylbenzene crosslinked graft copolymer. Ameduri and co-workers [121] reported the synthesis and characterization of new PEMs made of fluorinated copolymers based on vinylidene fluoride (VDF) and hexafluoropropylene (HFP) and grafted by aryl sulfonic acids.
Turner’s group [122] reported interesting linear-dendritic ABA copolymers, where A and B are hyperbranched and linear polymers, respectively. These polymers were synthesized by growing hyperbranched poly(ether ketone)s onto the ends of fluoro-terminated poly(ether sulfone)s. A Friedel–Crafts reaction of a trifunctional core with AB monomers, followed by sulfonation, was used to synthesize the star-shaped block copolymers [123]. Choi et al. [124] addressed hybrid organic/inorganic composite polymer electrolyte membranes consisting of a triblock copolymer and varying concentrations of heteropolyacid (HPA).
4. Block Copolymer Membranes for DMFCs
4.1. Some Considerations for Transport Mechanisms
Methanol fuel cells have energy densities double those of current lithium-ion rechargeable batteries at an overall efficiency of only 20–25%. However, the methanol crossover in currently employed ion-containing polymer membranes occurs on the basis of a mixed potential and a loss of fuel.
Regarding newly developed PEMs for methanol fuel cells, the key characterizations involve the measurements of proton conductivity (σp) and methanol permeability (Pm) to determine the selectivity α, as shown in Equation (5):
α = σp/Pm
Pm in Equation (5) is the product of the methanol diffusion coefficient (Dm) and the methanol partition coefficient (Km). Most investigations report that proton and methanol transport increase or decrease simultaneously in sulfonated polymers. A conductivity/permeability trade-off has been observed in many PEMs, including block and random copolymers [56] (Figure 13). The interesting region is in the upper left; any membranes falling above this line are potentially superior to Nafion.
Figure 13.
Conductivity/permeability trade-off for Nafion (blue diamond), sulfonated poly(styrene-b-isobutylene-b-styrene) (green circle), and sulfonated poly(styrene) (orange square). Reproduced from [62] with permission from ACS.
However, many materials fall near the line, representing the selectivity of Nafion. The explanation lies in the same transport mechanism as Nafion. In Nafion, two transport mechanisms for protons are believed to exist. In the first one, protons are transported by a mechanism similar to water transport (Grotthus or “jump” mechanism) and in the second one by a mechanism similar to methanol transport (“vehicle” mechanism) [125].
The Grotthus or “jump” mechanism can be idealized as a proton being passed down a chain of water molecules. This occurs by having a proton added to one side of a water molecule, causing a different proton to jump off of the other side to another water molecule, and so on.
In the “vehicle” mechanism, a proton combines with solvent molecules, yielding a complex like H3O+ or CH3OH2+, which diffuses intact. The contemporary increase or decrease in the transport of protons and methanol (i.e., coupled transport) observed in most sulfonated polymers and in Nafion implies that the vehicle mechanism is most likely.
In addition, larger complexes such as H5O2+, H7O3+, and H9O4+, which may have sizes and partition coefficients similar to those of methanol, contribute to proton conductivity. This mechanism of proton conductivity occurring by the transport of larger complexes is supported by electro-osmotic drag experiments, which measure the number of water molecules transported with each proton. The number of water molecules conducted across the membrane for every proton is termed the electro-osmotic drag coefficient and expressed as the number of water molecules per proton (n H2O/H+).
The electro-osmotic drag coefficient of Nafion varies from 0.9 to 3.3, depending primarily on the water equilibrated conditions. Other factors such as membrane pretreatment, temperature, and modeling parameters may also impact the electro-osmotic drag coefficient [126].
Pivovar et al. [127] proposed evaluating the selectivity of membranes for DMFCs on the basis of the electro-osmotic drag coefficient: membranes that are methanol impermeable and conduct protons without electro-osmotic drag are well worth investigating for fuel cells. The authors support this criteria, proposing the example of PBI, which has an electro-osmotic drag coefficient near zero [128] and a selectivity 15 times better than that of Nafion.
In fact, some membranes are much better methanol barriers than Nafion, but they are not better when both methanol transport and proton transport are considered; their selectivity is often about equal to that for Nafion. Pivovar et al. [127] affirmed that this is a consequence of proton transport occurring as species like CH3OH2+ or H5O2+ (electro-osmotic drag measurements support the transport of these complex species), which have a permeability like that of methanol. The relation of electro-osmotic drag with methanol permeability was discussed by Hickner [129] in a broader context, which relates to transport properties (electro-osmotic drag, proton conductivity, methanol permeability) and membrane morphology. He classified membrane materials into two main groups: materials with well-pronounced phase separation between the ionic sites and the polymeric matrix, responsible for free and loosely bound water, and materials with a lower extent of phase separation and more tightly bound water. The state of water in a proton exchange membrane may account for its transport properties, including electro-osmotic drag. The measure of water self-diffusion (as determined by 1H pulsed field gradient NMR) provides an overall average of the distribution of the states of water: more loosely bound water yields a higher self-diffusion coefficient, while more tightly bound water yields a lower self-diffusion coefficient. Integrating 1H pulsed field gradient NMR with DSC and 1H NMR T2 relaxations is possible to separate the different states of water into tightly bound, loosely bound, and free water. All the transport properties (electro-osmotic drag, proton conductivity, methanol permeability) of materials characterized by loosely bounded water are stronger than those of materials characterized by more tightly bound water. Hickner [129] proposed Nafion and poly(arylene ether sulfone) copolymers (BPSH) as examples for each of two materials classes. BPSH has electro-osmotic drag, proton conductivity, and methanol permeability values lower than those of Nafion; nevertheless, the domain ionic size (25 nm for BPSH; 3.5–5.5 nm for Nafion) and quantity of water adsorbed by BPSH are higher than those for Nafion. Care must be taken in differentiating between pores that contribute to species transport and ionic domains. In BPSH, the extent of phase separation (or ionic clustering) is lower than that in Nafion, and the interface between hydrophilic and hydrophobic domains is less distinct, causing the absorbed water to become more tightly bound and leading to reduction in transport properties such as electro-osmotic drag. In other words, the more diffused hydrophilic domains promote a closer association between the copolymer and the water molecules.
Hallinan and Elabd [130] aimed to study methanol flux in a sulfonated polymer using time-resolved Fourier transform infrared-attenuated total reflectance spectroscopy and showed that the primary contributing factor to the increase in methanol flux is methanol sorption in the polymer, not methanol diffusion. The authors suggest that viable strategies to reduce methanol crossover should focus on developing ionomer polymers that absorb less methanol.
4.2. Role of Block Length
Similar to most sulfonated polymers, the proton conductivity of sulfonated block copolymers increases with IEC and, interestingly, strongly depends on the block length.
Multiblock aromatic copolymers composed of sulfonated hydrophilic and nonsulfonated hydrophobic blocks have been studied to produce thermally and hydrolytically stable films with low methanol permeability and high proton conductivity.
Ghassemi et al. [131] synthesized multiblock copolymers containing perfluorinated poly(arylene ether) as the hydrophobic segment and highly sulfonated poly(arylene ether sulfone) as the hydrophilic segment. Several multiblock copolymers were synthesized by varying the size of sulfonated and fluorinated segments. MB-150 having hydrophilic/hydrophobic block lengths of about 8/8 and an IEC of 1.5 meq g−1 showed a perfect phase-separated surface morphology and very high in-plane conductivity.
Fan et al. [132] studied the gas transport and physical properties of sulfonated poly(arylene ether sulfone) as a function of sulfonated and unsulfonated block length. Longer block copolymers showed pronounced phase separation, which was observed as two Tg values and a decrease in the SAXS scattering peak breadth. SAXS revealed that inter-domain spacing increased with block length, but WAXS had a significant correlation with chain spacing.
Chen [133] prepared a series of alternating poly(arylene ether ketone sulfone) multiblock copolymers varying in block length and ion exchange capacity (IEC). They synthesized and coupled partly fluorinated hydrophobic poly(arylene ether ketone)oligomers and disulfonated hydrophilic poly(arylene ether sulfone) telechelic oligomers. Enhancements in the connectivity of both hydrophilic and hydrophobic domains were found in the longer-block-length multiblock system showing a clear lamellar morphology. The presence of well-connected hydrophilic proton transporting channels developed in the annealed membranes confirmed the morphological role in proton conductivity.
In another study, Wang et al. [134] synthesized a series of poly(ether ether ketone)s with long hydrophobic groups, which can tune the mechanical properties and the swelling of the membranes, and hydrophilic groups, which serve as proton-conductive channels. In particular, PEMs based on two block copolymers (block-6a and block-6c) with different hydrophobic block lengths of 4 and 14, respectively, were compared: the membranes from long blocks had good mechanical, oxidative, and dimensional stabilities with conductivities of 0.93 × 10−2 S cm−1 at 30 °C and 2.09 × 10−2 S cm−1 at 80 °C, which are higher than those of the short blocks (block-6a), i.e., 0.45 × 10−2 S cm−1 at 30 °C and 1.20 × 10−2 S cm−1 at 80 °C, respectively [134].
Sung et al. [135] confirmed these results by exploring the degree of hydrophobicity in proton conduction and cell performance. The difference in hydrophobicity between the two hydrophobic oligomers was tuned to influence phase separation in multiblock copolymer membranes.
Two different multiblock copolymer membranes were prepared using two oligomers (hydrophobic-U and hydrophobic-I) that have different hydrophobicities (Figure 14).
Figure 14.
Molecular structure of (a) block-U and (b) block-I. Reproduced from [135] with permission from Elsevier.
The difference in hydrophobicity between hydrophobic-U (Figure 14a) and hydrophobic-I (Figure 14b) results from the difference in the molecular structure. It is well known that while urethane readily forms hydrogen bonds with water, aromatic imide rings have relatively low wettability with polar solvents, including water, due to their low dielectric constant [136]. Therefore, it is reasonable to assume that hydrophobic-I has a more hydrophobic character compared to hydrophobic-U.
Nakabayashi et al. [137] synthesized two series of sulfonated multiblock copoly(ether sulfone)s (4a–c and 5a–c, Figure 15) with different lengths (Table 3) in the presence of highly reactive decafluorobiphenyl (DFB) as a chain extender to investigate the influence of each length on the membranes’ properties, such as water uptake, proton conductivity, and morphology.
Figure 15.
Synthesis of sulfonated multiblock copoly(ether sulfone)s 4 and 5. Reproduced from [137] with permission from John Wiley and Sons.
Table 3.
Synthesis of sulfonated multiblock copoly(ether sulfone)s 4 and 5a. Adapted from [137] with permission from John Wiley and Sons.
The effect of the oligomer lengths on proton conductivity was clearly observed under low relative humidity (50% RH). Membranes 4a and 5a (Table 3) showed the highest proton conductivity at 50% RH thanks to their long oligomer lengths, in agreement with the water uptake behavior: the membranes with the longest oligomer lengths showed the highest water uptake at 50% RH [137].
Additionally, all multiblock copolymer membranes 4a–c and 5a–c exhibited higher proton conductivity than the random copolymer BPSH-40 membrane, suggesting that the multiblock structure is a promising polymer architecture to achieve good proton conductivity.
Sulfonated polynaphthalimides (SPIs) have more rigid backbones than sulfonated poly(arylene ether)s. Membranes composed of a vitreous polymer backbone should not present significant structural evolution depending on external conditions due to the lack of polymer chain mobility necessary to permit structural rearrangements upon swelling.
Some studies related to SPIs for PEMs are briefly reviewed below. Cornet et al. [138] synthesized naphthalenic SPI membranes with different ionic contents and block lengths (Figure 16). They found for these membranes that the swollen state was not sensitive to external conditions; the water uptake per sulfonic group was constant when varying the ionic content; and the swelling is strongly anisotropic, concentrated along the thickness, and not accompanied by structural modification in the in-plane directions. This last aspect is of crucial importance for PEM applications: the through-plane proton conductivity (namely the conductivity in the thickness direction of the membrane), strictly related to swelling, is much more important than the in-plane conductivity.
Figure 16.
Chemical formula of SPIs of the naphthalenic type investigated by Cornet et al. [138]. Reproduced from [138] with permission from Elsevier.
The most striking feature is the fact that the conductivity decreases as the ionic sequence length increases, while the water uptake increases (Figure 17). The ionic conductivity can be considered a combination of the conductivity inside the ionic domains, which is expected to be very large, and that in the intercluster connections, which should represent high potential barriers. Therefore, Piner and co-authors [139] interpreted the obtained results in terms of the intercluster distance: increasing the size of both the ionic and hydrophobic domains will increase the intercluster distance and consequently its electrical resistance.
Figure 17.
Ionic conductivity depending on length of blocks at constant equivalent weight (EW = 793 g/eq). Reproduced from [138] with permission from Elsevier.
Nakano et al. [140] synthesized wholly aromatic sulfonated block copolyimides (Figure 18) with various diamine compositions and block chain lengths. BDSA (4,40-Diamino-biphenyl 2,20-disulfonic acid) with hydrophilic properties and 6FAP (2,20-Bis(4-aminophenoxy)hexafluoropropane) with hydrophobic properties were selected as the diamine monomers to facilitate phase separation.
Figure 18.
Synthesis of sulfonated block copolyimides. Reproduced from [140] with permission from John Wiley and Sons, Ltd.
Nakano et al. [140] reported that block copolymers are more proton conductive than random copolymers. The proton conductivities of sulfonated block copolyimide membranes increased with an increase in the lengths: NTDABDSA-6FAP (112/48) > NTDA-BDSA-b-6FAP (70/30) > NTDA-BDSA-b-6FAP (49/21). As mentioned above, the general rule is that in polymer electrolyte membranes, the proton conductivities are strongly related to the water content of the membrane [141,142,143,144]. However, Nakano et al. [140] found that the water uptake amounts did not depend on the block chain lengths and were almost constant, and this result is not in agreement with the general rule. The authors proposed the effect of phase separation as an explanation for the block chain length-dependent proton conductivity: the length influenced the phase separation between the hydrophilic proton transport sites and the hydrophobic domain so that length-dependent ionic channels might be formed. The domain sizes formed on the top surface of the sulfonated block copolyimide membranes observed using atomic force microscopy (AFM) increased with the increasing block chain length.
Asano et al. [79] synthesized a series of block SPI copolymers having aliphatic and aromatic segments (Figure 19) to produce ordered microphase separation for improving the proton conductivity under low-humidity conditions.
Figure 19.
Block SPI synthesized by Asano et al. [144]. Reproduced from [144] under CCBY 4.0.
Asano et al. [144] found that the SPI block copolymer with long block segments (150 units) showed very high proton conductivity comparable to that of Nafion at low humidity. In particular, the block/block copolymer SPI-B150/150 showed a higher proton conductivity than the block/random copolymers (SPI-Bx/R), although the water uptake was at the same level (Figure 20).
Figure 20.
Humidity dependence of proton conductivity and water uptake of SPI-R and SPI-B membranes at 80 °C. Reproduced from [144] under CCBY 4.0.
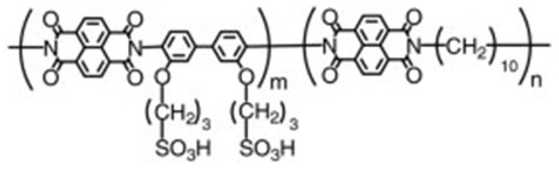
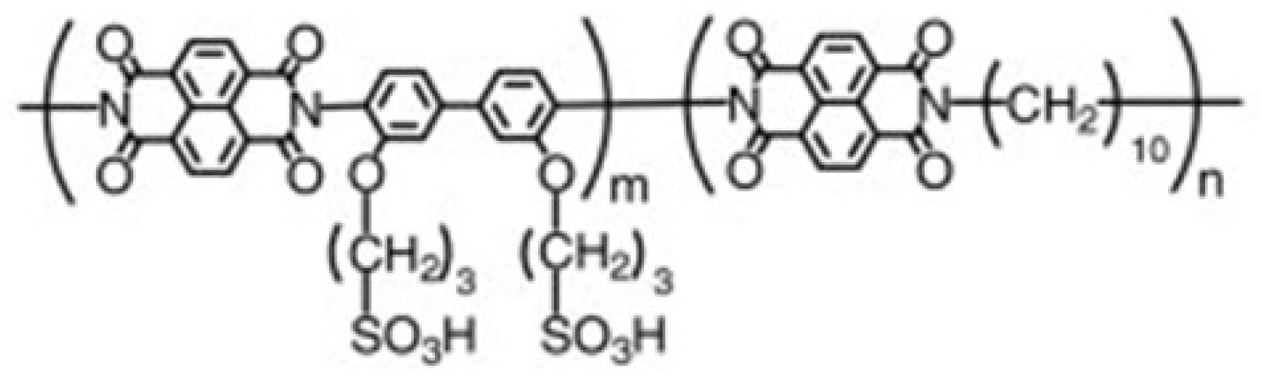
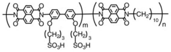
Hu et al. [145] synthesized sulfonated multiblock copolynaphthalimides (co-SPIs) (Figure 21) with block lengths of 5–20.
Figure 21.
Synthesis of NTDA-based multiblock co-SPIs. Reproduced from [145] with permission from Elsevier.
All the membranes based on co-SPI prepared by Hu et al. [145] showed anisotropic membrane swelling with larger through-plane dimensional changes. The hydrophilic and hydrophobic domains, oriented in the plane direction, formed a layer-like structure.
Recently, Liu et al. [146] prepared and characterized semi-crystalline sulfonated poly(ether ketone) (PEK-SPx) membranes composed of semi-crystalline poly(ether ketone) with hexaphenyl pendant (PEK-HPx) copolymers (Figure 22).
Figure 22.
Synthesis of semi-crystalline sulfonated PEK-SPx copolymers and structure of amorphous PAES-SP18 copolymer. Reproduced with permission from Elsevier [146].
All the sulfonated aromatic copolymers showed lower methanol permeability than Nafion 117 (Table 4). For the PEK-SP20 membrane, which exhibited comparable proton conductivity to that of Nafion 117, its methanol permeability (36 × 10−8 cm2 s−1) was an order of magnitude lower than that of Nafion 117 (294 × 10−8 cm2 s−1). Most importantly, the methanol permeability of the semi-crystalline PEK-SP15 membrane (22 × 10−8 cm2 s−1) was significantly lower than that of the amorphous PAES-SP18 membrane (34 × 10−8 cm2 s−1) chosen for comparison.
Table 4.
Proton conductivities and methanol permeability of PEK-SPx, PAES-SP18, and Nafion 117. Adapted from [146] with permission from Elsevier.
The TEM characterization shows bright regions corresponding to tightly packed crystalline regions, which can effectively act as methanol barriers (Figure 23), and dark regions, which are the hydrophilic regions corresponding to the dense sulfonated side chains. The membrane exhibits a well-defined microscopic phase separation structure composed of relatively uniform spherical ion clusters.
Figure 23.
TEM image of PEK-SP20 membrane. Reproduced from [146] with permission from Elsevier.
4.3. Role of Crosslinking
Crosslinking is widely proposed as an efficient strategy to deal with the challenges of sulfonated nonfluorinated polymers, such as excessive swelling in water, poor mechanical strength, and low dimensional stability, especially for a high sulfonation degree [147].
Several methods have been developed to form strong and stable crosslinking bonds in covalently crosslinked membranes [147,148,149,150,151,152,153], ionically crosslinked acid/base blend membranes [154,155,156], and layer–layer membranes [157,158,159,160,161,162,163].
Won et al. [54] reported that UV-sulfonated crosslinked poly(styrene-b-butadiene-b-styrene) membranes (scSBS) exhibited both low methanol permeability (8.1 × 10−8 cm2/s) and high conductivity (2.3 × 10−2 S/cm), while the sulfonated crosslinked random copolymer (scSBR) had significantly reduced proton conductivity, suggesting a clear advantage of block copolymers compared to a random copolymer. In particular, the proton conductivity of the crosslinked SBS membranes (2.3 × 10−2 S/cm) was three orders of magnitude higher than that of the crosslinked SBR membranes (1.5 × 10−5 S/cm). The membranes had similar degrees of swelling; however, in the case of scSBR, the formed ionic clusters were isolated sites, not interconnected, whereas in the case of crosslinked SBS membranes, ionic clusters are interconnected, creating ionic channels for high proton conductivity. The authors also investigated the effect of the size of ionic channels size on methanol transport by non-crosslinkable block copolymer membranes based on sulfonated poly(styrene-b-(ethylene-r-butylene)-b-styrene) (sSEBS) copolymers (Scheme 1a) and scSBS (Scheme 1b). The intercylinder distance and cylinder diameter for the dried sSEBS were 430 Å and 230 Å, respectively, and these values were comparable to those of the dried scSBS. After swelling, the cylindrical structure was maintained, but the inter-domain spacing increased by approximately 680 Å (Scheme 1a). The UV crosslinking of the reactive double bonds of SBS, which were subsequently sulfonated to various extents, fixed the structure (Scheme 1b), prevented complete disentanglement, and reduced its swellability. The methanol permeability of sSEBS membrane (1.7 × 10−6 cm2/s) was two orders of magnitude higher than that of scSBS.
Scheme 1.
(a) SEBS was sulfonated on its styrene units. The mechanical strength of the sSEBS membranes is closely associated with the extent of physical crosslinkage between the ethylene/butylene domains, but this physically crosslinked structure becomes disentangled in methanol, resulting in considerable swelling; (b) the membrane morphology has been fixed by crosslinking the polymeric chains of the hydrophobic matrix by UV irradiation. The 20–22 SBS triblock contains reactive double bonds readily crosslinkable by UV irradiation, which can then be subsequently sulfonated to various extents. Reproduced from [54] with permission from ACS.
A reactive block polymer strategy to prepare crosslinked PEMs from poly(norbornenylethylstyrene-s-stryrene-poly(n-propyl-p-styrenesulfonate (PNS-PSSP) block polymers and reactive cyclic olefins was proposed by Hillmver and co-workers [111]. The approach requires the synthesis of a reactive block polymer containing a norbornene-functional polystyrene block (PNS) for ultimate metathesis crosslinking and a polystyrenesulfonate ester block as the precursor to a proton-conducting phase (PSSP).
PNS-PSSP block polymers were prepared by sequential atom transfer radical polymerization (ATRP) reactions. Dicyclopentadiene (DCPD) and/or cyclooctene (COE) were used as the metathesis reactive comonomers to produce nanophase-separated bi-continuous morphologies (Figure 24).
Figure 24.
Preparation of crosslinked PEM from PNS−PSSP and COE/DCPD by ring-opening metathesis polymerization-induced phase separation. Reproduced from [111] with permission from ACS.
Five crosslinked precursor films were prepared containing roughly 42 wt% PSSP. The resultant films (PEM1–5) were transparent and slightly yellow (Figure 24). The color was due to the low levels of metathesis catalyst that remained in the films. The PSSP block in these precursor films was hydrolyzed by treatment with a concentrated NaOH solution. IR characterization confirmed that the PSSP component in all precursor films was fully converted into the acid form (Figure 24). The films featured by a bi-continuous morphology with continuous PSSA domains showing high thermal and mechanical stabilities. The PSSA domain size was tuned by the copolymer molecular weight. PEMs with such high IEC values (double that of Nafion) (Table 5) typically result in much higher λ values (typically, λ ≈ 100 at IEC ≈ 2 mmol/g).
Table 5.
Summary of PEMs investigated by by Hillmver and co-workers [111]. Adapted from [163] with permission from ACS.
The crosslinked nature of the PEM1–5a membranes, where “a” indicates that these membranes contain a sulfonyl group in acid form, is likely responsible for this behavior. Interestingly, the proton conductivity in PEM1–5a samples (Figure 25) was independent of water content, contrary to typical sulfonated polymers, where conductivity has been shown to be strongly dependent on water content.
Figure 25.
Two-electrode (through-plane) proton conductivity of Nafion (black), PEM1a (red), PEM2a (green), PEM3a (blue), PEM4a (cyan), and PEM5a (magenta) as function of water content. All measurements were collected at room temperature from samples equilibrated in liquid water. Reproduced from [111] with permission from ACS.
The methanol permeability decreases with increasing domain size. Notably, the methanol permeability for PEM5a was four-fold lower than that for Nafion 117 at a similar proton conductivity (1–3 × 10−2 S/cm) (Figure 26).
Figure 26.
Two-electrode (through-plane) proton conductivity and methanol permeabilities of PEM1a (red), PEM2a (green), PEM3a (blue), PEM4a (cyan), PEM5a (magenta), and Nafion (black). Reproduced from [111] with permission from ACS.
The incorporation of DCPD led to an increased crosslinked density, thereby lowering the methanol flux while maintaining high proton conductivity. At a comparable proton conductivity, the selectivity, i.e., proton conductivity (in mS/cm)/methanol permeability (in 10−6 cm2/s), was greater than 30 for PEM5a, whereas that for Nafion was ca. 15.
Thankamony et al. [164,165] developed terminally crosslinked sulfonated poly(ether sulfone) block copolymers (SPES-b) for use as PEMs in DMFC applications. Unlike most crosslinked polymer systems, the sulfonated ionomers were crosslinked only at the terminus of the polymer chain. In the first step of the synthesis, a sulfonated poly(fluorenyl ether sulfone) block copolymer with a terminal crosslinkable group was synthesized, and azide-assisted crosslinking occurred due to the use of 2,6-bis(4-azidobenzylidene)-4-methyl-cyclohexanone in a vacuum oven at 180 °C [165] (Figure 27).
Figure 27.
Synthesis of terminally crosslinked ionomeric block SPES-b. Reproduced from [165] with permission from Elsevier.
The crosslinked membrane (SPES-b) and the azide-free film (SPES-bn) membranes yielded proton conductivities of 0.09 and 0.11 S cm−1 at 20 °C, respectively (Table 6), and a low methanol permeability of 5.3 × 10−8 cm2s−1 at 20 °C, with excellent dimensional, mechanical, hydrolytic, and oxidative stabilities [165].
Table 6.
IEC, conductivity, and λ values for membranes prepared and characterized in [165].
The selectivity of the terminally crosslinked membrane (SPES-b) (Table 5) was more than 59 times higher than the selectivity of Nafion 117 and 8 times higher than the selectivity of the non-crosslinked membrane (SPES-bn) at 20 °C. The difference in selectivity became more distinct at 60 °C (66 times higher than that of Nafion 117 and 10 times higher than that of SPES-bn). Furthermore, the membrane morphologies and conductivities were investigated as functions of temperature (Figure 28).
Figure 28.
Hot-stage AFM tapping-phase images of crosslinked block SPES-b (a) and its non-crosslinked counterpart SPES-bn (b) at 20 °C (a,b) and at 100 °C (a’,b’). Reproduced from [165] with permission from Elsevier.
At low temperatures, i.e., 20 °C, the AFM tapping-phase analysis showed well-defined phase separation between the hydrophilic and hydrophobic blocks for both crosslinked and uncrosslinked membranes (Figure 28a,b) [165]. As expected, the crosslinked membrane showed a smaller hydrophilic channel size (6 nm) than the non-crosslinked membrane (10 nm) due to the densely packed crosslinked network.
Roh et al. [166] reported crosslinked PEMs based on an SBS triblock copolymer and a sulfonated monomer, 2-sulfoethyl methacrylate (SEMA). The SBS membranes were thermally crosslinked with SEMA in the presence of a thermal-initiator, 4,40-azobis(4-cyanovaleric acid) (ACVA) (Figure 29).
Figure 29.
Preparation procedure of crosslinked SBS/SEMA membranes. Reproduced from [166] with permission from John Wiley and Sons.
The IEC values and water uptake of the SBS/SEMA membranes increased in proportion with the SEMA content in the membranes [166]. The TEM characterization of membranes showed a microphase-separated morphology, retained even after the introduction of SEMA and crosslinking (Figure 30).
Figure 30.
TEM images of (a) pristine SBS and crosslinked SBS/SEMA membranes with (b) 20 wt% and (c) 50 wt% SEMA. Reproduced from [166] with permission from John Wiley and Sons.
The neat SBS block copolymer film exhibited a hexagonally packed cylinder morphology, which was partially disrupted by SEMA and the crosslinking of membranes, even though the microphase-separated morphology was maintained (Figure 30).
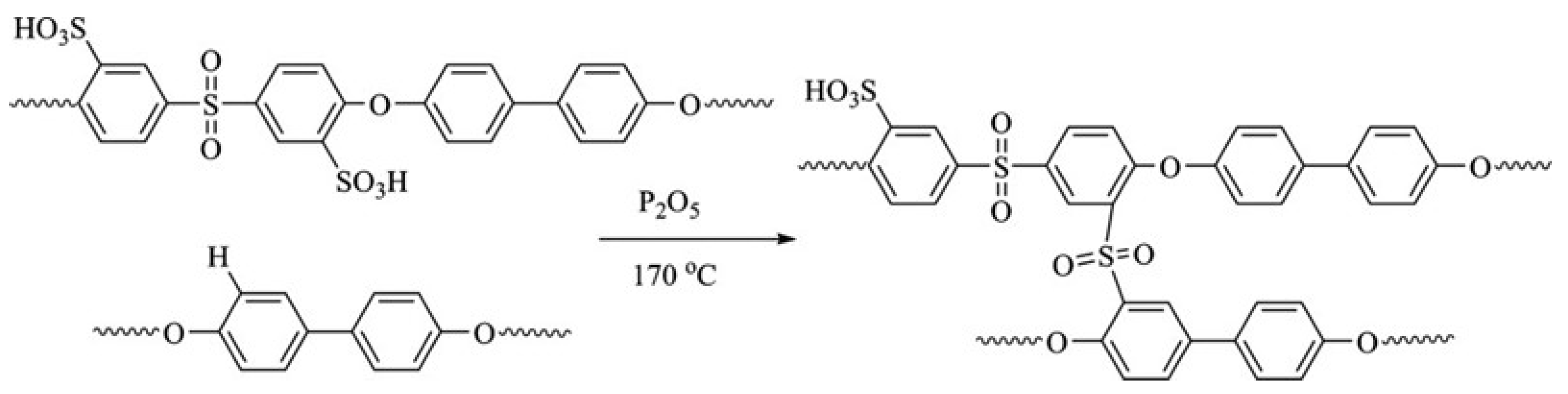
Zhang et al. [167] synthesized a series of crosslinked multiblock sulfonated poly(arylene ether sulfone)s (SPAESs) (block length 10) through a dehydration reaction by the addition of P2O5, which converted sulfonic acid groups into stable sulfonyl linkages (Figure 31).
Figure 31.
Crosslinking reaction of SPAESs in presence of P2O5. Reproduced from [167] with permission of John Wiley and Sons.
The crosslinked multiblock membranes (B5-B40, where B and the number refer multiblock SPAESs of BP–SDFDPS/DFDPS(10/10) and crosslinking ratio, respectively) exhibited high dimensional stability in both water and methanol, as well as oxidative stability.
The influence of crosslinking on the methanol affinity was studied by the evaluation of the membrane solvent uptake (SU) and swelling degree upon immersion in methanol solutions and water. B-5 showed high SUs of 119, 195, and 250, which decreased to 75, 100, and 115 for B-20 in 30, 50, and 70% methanol solutions at 30 °C, respectively (Figure 32).
Figure 32.
SU of membranes at different mass fractions of MeOH solution and temperatures (closed and open symbols refer to membranes at 30 and 60 °C, respectively). Reproduced from [167] with permission of John Wiley and Sons.
The SU values were much lower than those for the uncrosslinked samples. B-40 exhibited an SU of 97 in the 70% methanol solution at 60 °C, which was almost half that of Nafion 112.
Figure 33 shows the dimensional changes in the membranes in water. A swelling reduction was observed owing to the formation of sulfonyl linkages between the hydrophilic and hydrophobic segments of the polymer backbones (Figure 33).
Figure 33.
Dimensional changes in membranes in water as function of temperature. Reproduced from [167] with permission of John Wiley and Sons.
All of the membranes exhibited comparable or even higher proton conductivities than Nafion 112 in water at 60 °C; however, they showed a larger RH dependence than Nafion 112.
In another study, Kim et al. [168] crosslinked the butadiene groups of partially sulfonated poly(styrene-b-butadiene-b-styrene) (sSBS) with divinylbenzene (DVB) upon exposure to UV light. In Table 6, a summary of the crosslinked PEMs is provided.
The water uptake and proton conductivity of sSBS-58% decreased as the crosslinker content increased, with a decrease in methanol permeability. The selectivity of 2.7 for the sample crosslinked with 2% DVB (Table 7) is slightly higher than that for Nafion 115. All the crosslinked samples had better mechanical resistance than the uncrosslinked PEM. The crosslinking of sSBS also resulted in an increased intercylinder spacing, possibly due to the sequestration of DVB within PS domains, according to findings reported in the literature: it is well known that the blending of a low-molecular-weight species that is miscible with one or both blocks in a block copolymer results in an increase in inter-domain spacings [168].
Table 7.
Summary of membrane properties of crosslinked sSBS-58% ionomers used in [168].
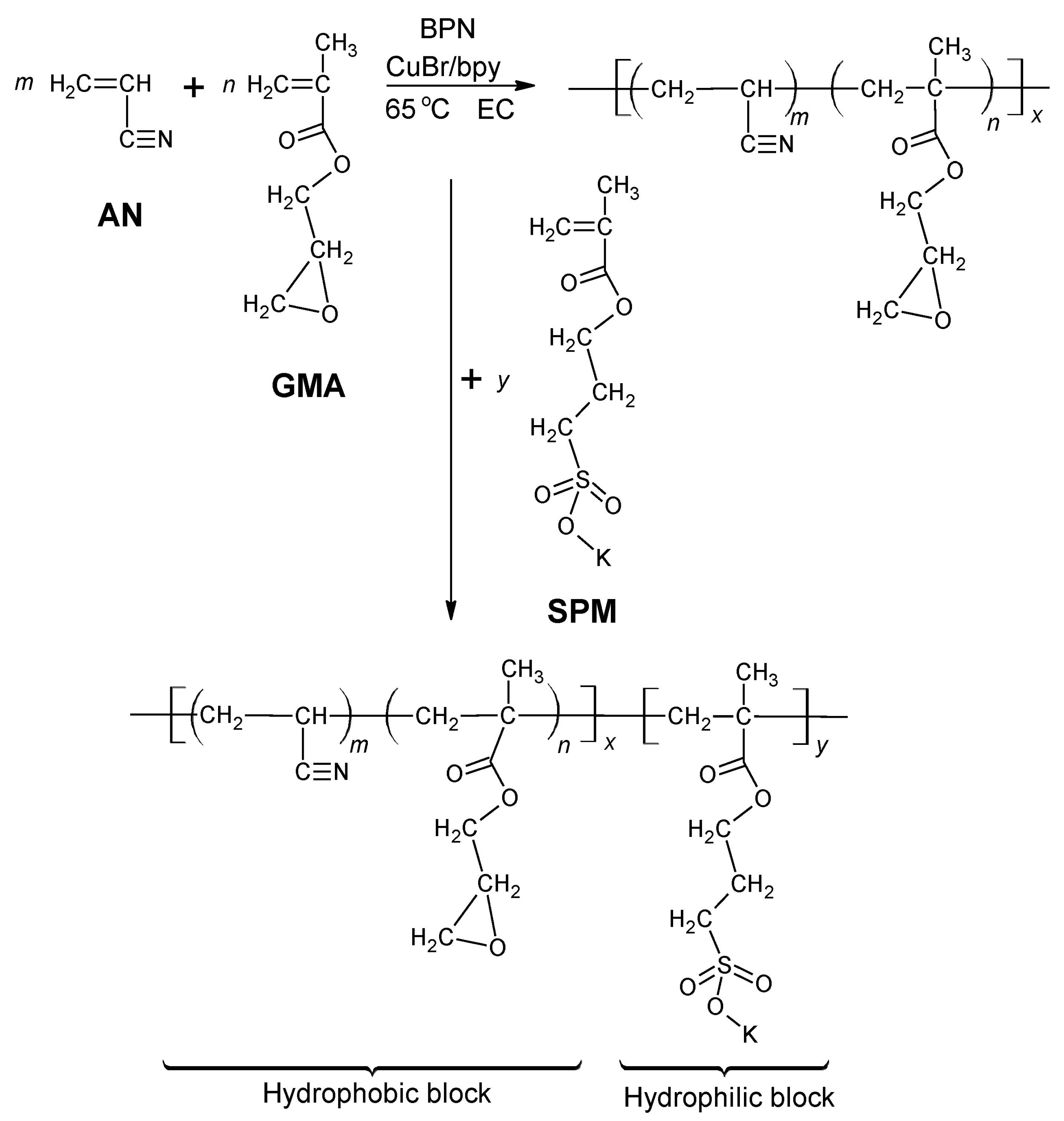
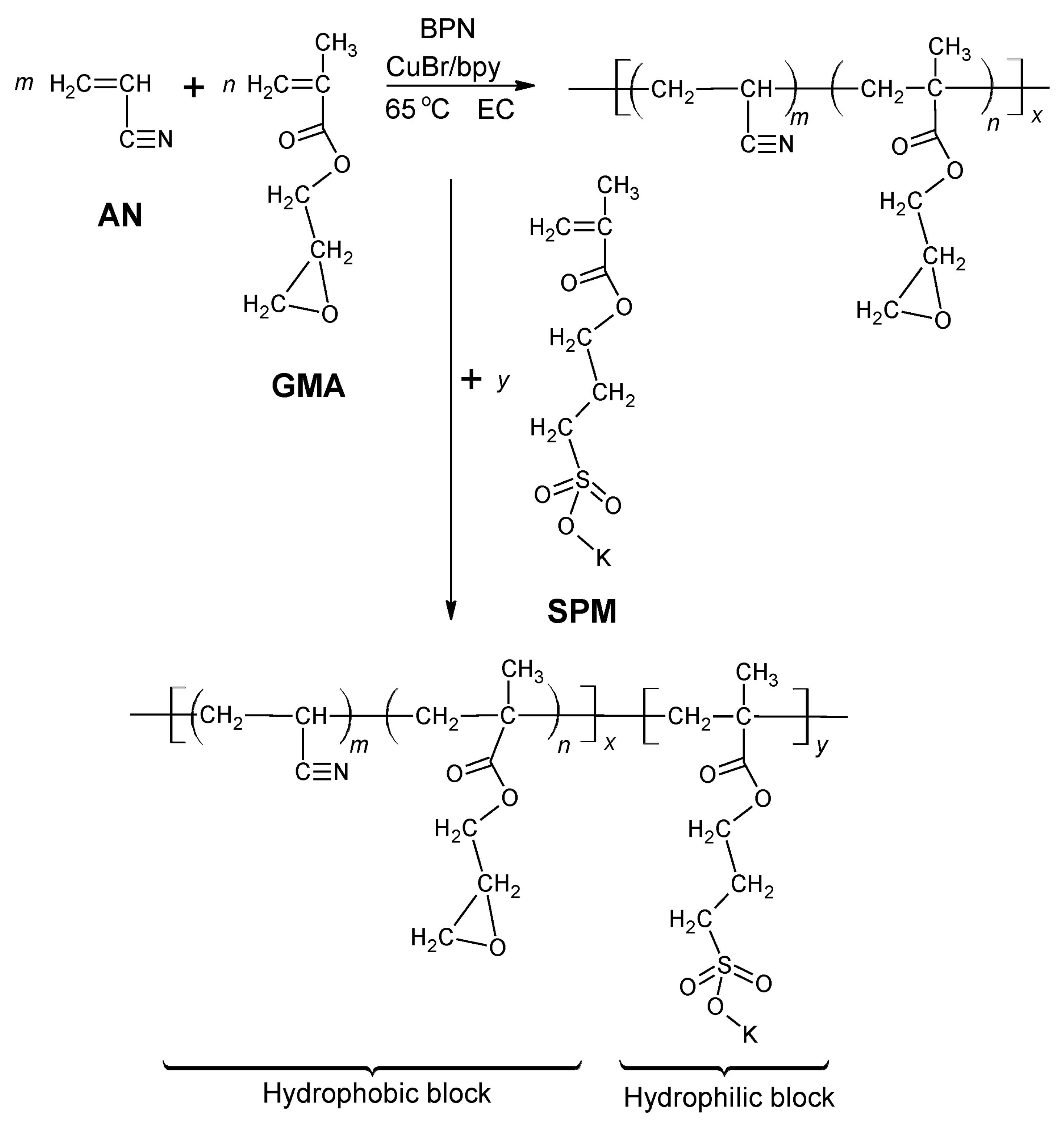
Julius et al. [169] used ethylene diamine (EDA) to crosslink a diblock copolymer chain synthesized by ATRP (Figure 34), featuring hydrophobic glycidyl methacrylate (GMA) units and hydrophilic poly(acrylonitrile) (PAN) segments.
Figure 34.
Synthesis of P[(AN-co-GMA)-b-SPM] diblock ionomer by atom transfer radical polymerization (ATRP) technique. Reproduced under CC-BY 4.0 from [169].
The PEM based on this system possesses dual continuous phases, in which the GMA hydrophobic domains are either agglomerated or bridged by the EDA-derived crosslinks, whereas the PAN hydrophilic domains are the primary proton-conducting channels. Both improved proton conductivity and reduced methanol permeability compared to those of Nafion 117 have been observed (Table 8).
Table 8.
Comparison of PEM properties between crosslinked diblock ionomer membranes and Nafion 117 membrane. Modified from [169] under CC-BY 4.0.
The performance of the crosslinked diblock membrane represented by the A100G4S-10 membrane (Table 8) was evaluated in a single-stack DMFC at 30 °C with a feed of 4 M aqueous methanol solution and compared with that of Nafion 117 at the same conditions (Figure 35).
Figure 35.
Performance of the A100G4S-10 crosslinked diblock ionomer membrane and Nafion 117 tested in DMFC running at 30 °C with 4.0 M methanol feed (flow rate: 5 cc/min for MeOH and 50 cc/min for dry oxygen). Reproduced from [169] under CC-BY 4.0.
It was found that both MEAs exhibited rather similar activation losses and ohmic resistance in the overall cell reaction. However, the A100G4S-10-based MEA showed a slightly higher maximum power density, which could be attributed to the lower methanol permeability of the A100G4S-10 membrane (Table 8).
The last case study discussed in this review emphasizes the crucial role of phase separation on the performance of DMFCs. Han et al. [170,171] reported carboxyl-terminated benzimidazole-assisted crosslinked sulfonated poly(ether ether ketone) (SPEEK) membranes (Figure 36) with the formation of a well-defined phase separation with a segregated morphology of an ion-rich and lamellar structure.
Figure 36.
Crosslinking reaction of c-SPEEK-Xs membranes investigated in [148]. Reproduced from [171] with permission from Elsevier.
The authors [171] synthesized a benzimidazole trimer with an alkyl compound based on the monomer 3,3′-diaminobenzidine and succinic acid and compared the effect of this trimer with that of another one, a rigid, fully aromatic benzimidazole trimer investigated in a previous study [170], on the proton conductivity, mechanical properties, and methanol permeability of crosslinked membranes (Figure 37).
Figure 37.
(a) Structure of rigid-BI trimer and (b) synthesis of alkyl-BI trimer. Reproduced from [171] with permission from Elsevier.
Han et al. [171] measured the methanol permeabilities of the uncrosslinked and crosslinked membranes using a 10% methanol concentration at room temperature. The methanol permeabilities of the crosslinked membranes with different loadings of aliphatic crosslinker (c-SPEEK-Xs) were 4.92 × 10−8–9.37 × 10−8 cm2 s−1, which were lower than that (1.67 × 10−7 cm2 s−1) of the membrane crosslinked with aromatic crosslinker (c-SPEEK-BI7). Both the types of crosslinked membranes were less methanol permeable than Nafion 117 (1.55 × 10−6 cm2 s−1). Notably, the proton conductivity of c-SPEEK-BI7 (0.217 S cm−1) was higher than that of the crosslinked membranes at different loadings (3–13.5%) with the alkyl benzimidazole trimer c-SPEEK-Xs (0.169–0.209 S cm−1). The membrane crosslinked with the alkyl benzimidazole trimer showed a two-phase separation morphology, where dark (hydrophilic domains) and bright areas (hydrophobic domains) are commixed without a particular order (Figure 38a). Instead, c-SPEEK-BI7 possessed a well-segregated morphology of ion-rich and lamellar structures, which provide ionic channels for good connectivity (Figure 38b).
Figure 38.
TEM micrographs of (a) c-SPEEK-6.5% and (b) c-SPEEK-BI7 membranes. Reproduced from [171] with permission from Elsevier.
5. Conclusions and Outlook
DMFCs are very interesting in consumer electronics applications, where their energy density, power output, and lifetime make them ideally suited to address weight and power limitations. However, even though there are few commercially available membranes for DMFCs, i.e., Aciplex (Asahi Kasei Chemicals, Tokyo, Japan) [42], Flemion (Asahi Glass, Chiba, Japan) [43], Gore-select (W. L. Gore & Associates, Newark, DE, USA) [44], and the perfluoro sulfonic acid (PFSA)-based Fumapen F-1850 and E-730 (Fumatech Bietigheim-Bissingen, Germany) [45], Nafion from Dupont is still prevalent. How can we explain a such scenario? The answer lies in the drastic reduction in fuel efficiency caused by membranes with high methanol permeability. Block copolymer membranes represent a valuable approach to overcome the current drawbacks because the design of the blocks offers the possibility of finely tuning the membrane properties, which, in the case of DMFCs, concerns primary methanol crossover reduction by maintaining high proton conductivity. Multiblock copolymers show higher selectivity (i.e., proton conductivity/methanol permeation) than random copolymers. Block length is a fundamental parameter. Many characterization data show that there is a strong relation between proton conductivity and oligomer lengths. The membranes with the longest oligomer lengths show the highest proton conductivity, consistent with high water uptake behavior. On the other hand, the design of specific crosslinkers can lead to a well-segregated morphology of ion-rich and lamellar structures, which provide ionic channels for improved connectivity with reduced methanol crossover.
Author Contributions
M.G.B. conceived the original concept and designed the work and made substantial contributions to reference acquisition and the critical analysis/interpretation of data for the work and to the writing. J.B. made substantial contributions to reference acquisition and writing for the block copolymers section. The manuscript was written through contribution of all authors. All authors have read and agreed to the published version of the manuscript.
Funding
This research received no external funding.
Data Availability Statement
Not applicable.
Acknowledgments
No financial support received for this project.
Conflicts of Interest
The authors declare no conflicts of interest.
References
- Mastoi, M.S.; Zhuang, S.; Munir, H.; Haris, M.; Hassan, M.; Usamn, M.; Bukhari, S.S.H.; Ro, J.-S. An in-depth analysis of electric vehicle charging station infrastructure. Energy Rep. 2022, 8, 11504–11529. [Google Scholar] [CrossRef]
- Tullo, A.H. Tire makers strive to fix their electric car problem. Chem. Eng. News 2024, 102, 18–20. [Google Scholar]
- Graya, N.; O’Shea, R.; Wall, D.; Smythc, B.; Lens, P.N.L.; Murphy, J.D. Batteries, fuel cells, or engines? A probabilistic economic and environmental assessment of electricity and electrofuels for heavy goods vehicles. Adv. Appl. Energy 2022, 8, 100110. [Google Scholar] [CrossRef]
- Kumar, S.S.; Lim, K. An overview of water electrolysis technologies for green hydrogen production. Energy Rep. 2022, 8, 13793–13813. [Google Scholar] [CrossRef]
- Franco, A.; Giovannini, C. Recent and Future Advances in Water Electrolysis for Green Hydrogen Generation: Critical Analysis and Perspectives. Sustainability 2023, 15, 16917. [Google Scholar] [CrossRef]
- Available online: https://www.sintef.no/en/latest-news/2021/europes-largest-pem-electrolyser-for-hydrogen-production-in-operation-now-sintef-will-lead-project-where-capacity-is-tenfold/ (accessed on 28 April 2024).
- Hobson, C.; Márquez, C. Renewable Methanol Report; Technical Report; ATA Markets Intelligence S.L. on behalf of the Methanol Institute: Madrid, Spain, 2018. [Google Scholar]
- Goeppert, A.; Czaun, M.; Surya Prakash, G.K.; Olah, G.A. Air as the renewable carbon source of the future: An overview of CO2 capture from the atmosphere. Energy Environ. Sci. 2012, 5, 7833–7853. [Google Scholar] [CrossRef]
- Brown, A.; Le Feuvre, P. Technology Roadmap: Delivering Sustainable Bioenergy; International Energy Agency (IEA): Paris, France, 2017; p. 94. [Google Scholar]
- Cui, X.; Kær, S.K. Thermodynamic analyses of a moderate-temperature carbon dioxide hydrogenation to methanol via reverse water gas shift process with in situ water removal. Ind. Eng. Chem. Res. 2019, 58, 10559–10569. [Google Scholar] [CrossRef]
- Olah, G.A. Beyond Oil and Gas: The Methanol Economy. Angew. Chem. Int. Ed. 2005, 44, 2636–2639. [Google Scholar] [CrossRef]
- Olah, G.A. Towards Oil Independence Through Renewable Methanol Chemistry. Angew. Chem. Int. Ed. 2013, 52, 104–107. [Google Scholar] [CrossRef] [PubMed]
- Olah, G.A.; Goeppert, A.; Prakash, G.K.S. Chemical recycling of carbon dioxide to methanol and dimethyl ether: From greenhouse gas to renewable, environmentally carbon neutral fuels and synthetic hydrocarbons. J. Org. Chem. 2009, 74, 487–498. [Google Scholar] [CrossRef]
- Olah, G.A.; Prakash, G.K.S.; Goeppert, A. Anthropogenic Chemical Carbon Cycle for a Sustainable Future. J. Am. Chem. Soc. 2011, 133, 12881–12898. [Google Scholar] [CrossRef] [PubMed]
- Methanol Institute. Methanol|Methanol Institute. Available online: https://www.methanol.org (accessed on 28 April 2024).
- Zhao, K. A Brief Review of China’s Methanol Vehicle Pilot and Policy; Technical Report; Methanol Institute: Alexandria, VA, USA, 2019. [Google Scholar]
- Shamsul, N.S.; Kamarudin, S.K.; Rahman, N.A.; Kofli, N.T. An overview on the production of bio-methanol as potential renewable energy. Renew. Sustain. Energy Rev. 2014, 33, 578–588. [Google Scholar] [CrossRef]
- Dias, V.; Pochet, M.; Contino, F.; Jeanmart, H. Energy and Economic Costs of Chemical Storage. Front. Mech. Eng. 2020, 6, 00021. [Google Scholar] [CrossRef]
- Dalena, F.; Senatore, A.; Marino, A.; Gordano, A.; Basile, M.; Basile, A. Chapter 1—Methanol Production and Applications: An Overview. In Methanol; Basile, A., Dalena, F., Eds.; Elsevier: Amsterdam, The Netherlands, 2018; pp. 3–28. [Google Scholar]
- U.S. Department of Energy. Hydrogen Storage. Available online: https://www.energy.gov/eere/fuelcells/hydrogen-storage (accessed on 28 April 2024).
- Andersson, J.; Grönkvist, S. Large-scale storage of hydrogen. Int. J. Hydrogen Energy 2019, 44, 11901–11919. [Google Scholar] [CrossRef]
- Patil, A.S.; Dubois, T.G.; Sifer, N.; Bostic, E.; Gardner, K.; Quah, M.; Bolton, C. Portable fuel cell systems for America’s army: Technology transition to the field. J. Power Sources 2004, 136, 220–225. [Google Scholar] [CrossRef]
- Hamada, A.T.; Orhan, M.F. An overview of regenerative braking systems. J. Energy Storage 2022, 52, 105033. [Google Scholar] [CrossRef]
- Cowey, K.; Green, K.J.; Mepsted, G.O.; Reeve, R. Portable and military fuel cells. Curr. Opin. Solid State Mater. Sci. 2004, 8, 367–371. [Google Scholar] [CrossRef]
- Ahmed, A.A.; Labadidi, M.A.; Hamada, A.T.; Orhan, M.T. Design and Utilization of a Direct Methanol Fuel Cell. Membranes 2022, 12, 1266. [Google Scholar] [CrossRef] [PubMed]
- Available online: https://www.researchnester.com/reports/direct-methanol-fuel-cell-market/5681 (accessed on 10 August 2024).
- Junoh, H.; Jaafar, J.; Nordin, N.A.H.M.; Ismail, A.F.; Othman, M.H.D.; Rahman, M.A.; Aziz, F.; Yusof, N. Performance of Polymer Electrolyte Membrane for Direct Methanol Fuel Cell Application: Perspective on Morphological Structure. Membranes 2020, 10, 34. [Google Scholar] [CrossRef] [PubMed]
- Sharaf, O.Z.; Orhan, M.F. An overview of fuel cell technology: Fundamentals and applications. Renew. Sustain. Energy Rev. 2014, 32, 810–853. [Google Scholar] [CrossRef]
- Mekhilef, S.; Saidur, R.; Safari, A. Comparative study of different fuel cell technologies. Renew. Sustain. Energy Rev. 2012, 16, 981–989. [Google Scholar] [CrossRef]
- Jayakumar, A.; Madheswaran, D.K.; Kumar, N.M.A. Critical Assessment on Functional Attributes and Degradation Mechanism of Membrane Electrode Assembly Components in Direct Methanol Fuel Cells. Sustainability 2021, 13, 13938. [Google Scholar] [CrossRef]
- Wan, N. High Performance Direct Methanol Fuel Cell with Thin Electrolyte Membrane. J. Power Sources 2017, 354, 167–171. [Google Scholar] [CrossRef]
- Iannaci, A.; Mecheri, B.; D’Epifanio, A.; Licoccia, S. Sulfated Zirconium Oxide as Electrode and Electrolyte Additive for Direct Methanol Fuel Cell Applications. Int. J. Hydrogen Energy 2014, 39, 11241–11249. [Google Scholar] [CrossRef]
- Bogolowski, N.; Drillet, J.-F. Appropriate Balance between Methanol Yield and Power Density in Portable Direct Methanol Fuel Cell. Chem. Eng. J. 2015, 270, 91–100. [Google Scholar] [CrossRef]
- Ji, F.; Yang, L.; Sun, H.; Wang, S.; Li, H.; Jiang, L.; Sun, G. A Novel Method for Analysis and Prediction of Methanol Mass Transfer in Direct Methanol Fuel Cell. Energy Convers. Manag. 2017, 154, 482–490. [Google Scholar] [CrossRef]
- Ramesh, V.; Krishnamurthy, B. Modeling the Transient Temperature Distribution in a Direct Methanol Fuel Cell. J. Electroanal. Chem. 2018, 809, 1–7. [Google Scholar] [CrossRef]
- Tsen, W.-C. Composite Proton Exchange Membranes Based on Chitosan and Phosphotungstic Acid Immobilized One-Dimensional Attapulgite for Direct Methanol Fuel Cells. Nanomaterials 2020, 10, 1641. [Google Scholar] [CrossRef]
- Zhang, X.; Zhang, M.; Deng, Y.; Xu, M.; Artiglia, L.; Wen, W.; Gao, R.; Chen, B.; Yao, S.; Zhang, X.; et al. A Stable Low-Temperature H2-Production Catalyst by Crowding Pt on MoC. Nature 2021, 589, 396–401. [Google Scholar] [CrossRef]
- Sahin, O.; Kivrak, H. A Comparative Study of Electrochemical Methods on Pt–Ru DMFC Anode Catalysts: The Effect of Ru Addition. Int. J. Hydrogen Energy 2013, 38, 901–909. [Google Scholar] [CrossRef]
- Ahmad, S.; Nawaz, T.; Ali, A.; Orhan, M.F.; Samreen, A.; Kannan, A.M. An overview of proton exchange membranes for fuel cells: Materials and manufacturing. Int. J. Hydrogen Energy 2022, 47, 19086–19131. [Google Scholar] [CrossRef]
- Mauritz, K.A.; Moore, R.B. State of understanding of nafion. Chem. Rev. 2004, 104, 4535–4585. [Google Scholar] [CrossRef] [PubMed]
- Ercelik, M.; Ozden, A.; Devrim, Y.; Colpan, C.O. Investigation of Nafion Based Composite Membranes on the Performance of DMFCs. Int. J. Hydrogen Energy 2017, 42, 2658–2668. [Google Scholar] [CrossRef]
- Dutta, K.; Das, S.; Kundu, P.P. Synthesis, Preparation, and Performance of Blends and Composites of -Conjugated Polymers and Their Copolymers in DMFCs. Polym. Rev. 2015, 55, 630–677. [Google Scholar] [CrossRef]
- Kludský, M.; Vopička, O.; Matějka, P.; Hovorka, Š.; Friess, K. Nafion® Modified with Primary Amines: Chemical Structure, Sorption Properties and Pervaporative Separation of Methanol-Dimethyl Carbonate Mixtures. Eur. Polym. J. 2018, 99, 268–276. [Google Scholar] [CrossRef]
- Klose, C.; Breitwieser, M.; Vierrath, S.; Klingele, M.; Cho, H.; Büchler, A.; Kerres, J.; Thiele, S. Electrospun Sulfonated Poly(EtherKetone) Nanofibers as Proton Conductive Reinforcement for Durable Nafion Composite Membranes. J. Power Sources 2017, 361, 237–242. [Google Scholar] [CrossRef]
- Pérez, L.C.; Brandão, L.; Sousa, J.M.; Mendes, A. Segmented Polymer Electrolyte Membrane Fuel Cells—A Review. Renew. Sustain. Energy Rev. 2011, 15, 169–185. [Google Scholar] [CrossRef]
- Aricò, A.S.; Sebastian, D.; Schuster, M.; Bauer, B.; D’Urso, C.; Lufrano, F.; Baglio, V. Selectivity of Direct Methanol Fuel Cell Membranes. Membranes 2015, 5, 793–809. [Google Scholar] [CrossRef]
- Buonomenna, M.G. Mixed matrix membranes for gas separation. In Nano-Enhanced and Nanostructured Polymer-Based Membranes for Energy Applications; Woodhead Publishing Series; Elsevier: Amsterdam, The Netherlands, 2022; pp. 203–254. [Google Scholar]
- Pourzare, K.; Zargar, M.; Farhadi, S.; Hassani Sadrabadi, M.M.; Mansourpanah, Y. Aminosilica-Functionalized Co3O4 Nanostructures in Proton Exchange Mixed Matrix Membranes for Enhanced Separation Efficiency of Direct Methanol Fuel Cells. ACS Appl. Nano Mater. 2023, 6, 296–304. [Google Scholar] [CrossRef]
- Pourzare, K.; Mansourpanah, Y.; Farhadi, S. Advanced nanocomposite membranes for fuel cell applications: A comprehensive review. Biofuel Res. J. 2016, 3, 496–513. [Google Scholar] [CrossRef]
- Simari, C.; Baglio, V.; Lo Vecchio, C.; Aricò, A.S.; Agostino, R.G.; Coppola, L.; Oliviero Rossi, C.; Nicotera, I. Reduced methanol crossover and enhanced proton transport in nanocomposite membranes based on clay—CNTs hybrid materials for direct methanol fuel cells. Ionics 2017, 23, 2113–2123. [Google Scholar] [CrossRef]
- Hasanabadi, N.; Ghaffarian, S.R.; Hasani-Sadrabadi, M.M. Nafion-based magnetically aligned nanocomposite proton exchange membranes for direct methanol fuel cells. Solid State Ion. 2013, 232, 58–67. [Google Scholar] [CrossRef]
- Cozzi, D.; de Bonis, C.; D’Epifanio, A.; Mecheri, B.; Tavares, A.C.; Licoccia, S. Organically functionalized titanium oxide/Nafion composite proton exchange membranes for fuel cells applications. J. Power Sources 2014, 248, 1127–1132. [Google Scholar] [CrossRef]
- Einsla, M.L.; Kim, Y.S.; Hawley, M.; Lee, H.-S.; McGrath, J.E.; Liu, B.; Guiver, M.D.; Pivovar, B.S. Toward improved conductivity of sulfonated aromatic proton exchange membranes at low relative humidity. Chem. Mater. 2008, 20, 5636–5642. [Google Scholar] [CrossRef]
- Won, J.; Park, H.H.; Kim, Y.J.; Choi, S.W.; Ha, H.Y.; Oh, I.H.; Kim, H.S.; Kang, Y.S.; Ihn, K.J. Fixation of Nanosized Proton Transport Channels in Membranes. Macromolecules 2003, 36, 3228–3234. [Google Scholar] [CrossRef]
- Zhao, C.; Lin, H.; Li, X.; Na, H. Morphological investigations of block sulfonated poly(arylene ether ketone) copolymers as potential proton exchange membranes. Polym. Adv. Technol. 2011, 22, 2173–2181. [Google Scholar] [CrossRef]
- Nunes, S.P.; Car, A. From Charge-Mosaic to Micelle Self-Assembly: Block Copolymer Membranes in the Last 40 Years. Ind. Eng. Chem. Res. 2012, 52, 993–1003. [Google Scholar] [CrossRef]
- Hickner, M.A.; Ghassemi, H.; Kim, Y.S.; Einsla, B.R.; McGrath, J.E. Alternative polymer systems for proton exchange membranes (PEMs). Chem. Rev. 2004, 104, 4587–4612. [Google Scholar] [CrossRef]
- Yang, Y.; Holdcroft, S. Synthetic Strategies for Controlling the Morphology of Proton Conducting Polymer Membranes. Fuel Cells 2005, 5, 171–186. [Google Scholar] [CrossRef]
- Abetz, V.; Brinkmann, T.; Dijkstra, M.; Ebert, K.; Fritsch, D.; Ohlrogge, K.; Paul, D.; Peinemann, K.V.; Nunes, S.P.; Scharnagl, N.; et al. Developments in Membrane Research: From Material via Process Design to Industrial Application. Adv. Eng. Mater. 2006, 8, 328–358. [Google Scholar] [CrossRef]
- Deluca, N.W.; Elabd, Y.A. Polymer electrolyte membranes for the direct methanol fuel cell: A review. J. Polym. Sci. Part B Polym. Phys. 2006, 44, 2201–2225. [Google Scholar] [CrossRef]
- Zhang, H.; Zhou, Z. Polymer electrolyte membranes for fuel cells. Prog. Chem. 2008, 20, 602–619. [Google Scholar]
- Elabd, Y.A.; Hickner, M.A. Block copolymers for fuel cells. Macromolecules 2011, 44, 1–11. [Google Scholar] [CrossRef]
- Sutisna, B.; Polymeropoulos, G.; Musteat, V.; Peinemann, K.V.; Avgeropoulos, A.; Smilgies, D.F.; Hadjichristidis, N.; Nunes, S.P. Design of block copolymer membranes using segregation strength trend lines. Mol. Syst. Des. Eng. 2016, 1, 278–289. [Google Scholar] [CrossRef]
- Chandan, A.; Hattenberger, M.; El-kharouf, A.; Du, S.; Dhir, A.; Self, V.; Pollet, B.G.; Ingram, A.; Bujalski, W. High temperature (HT) polymer electrolyte membrane fuel cells (PEMFC)—A review. J. Power Sources 2013, 231, 264–278. [Google Scholar] [CrossRef]
- Takamuku, S.; Akizuki, K.; Abe, M.; Kanesaka, H. Synthesis and characterization of postsulfonated poly(arylene ether sulfone) diblock copolymers for proton exchange membranes. J. Polym. Sci. Part A Polym. Chem. 2009, 47, 700–712. [Google Scholar] [CrossRef]
- Lee, H.S.; Roy, A.; Lane, O.; Dunn, S.; McGrath, J.E. Hydrophilic–hydrophobic multiblock copolymers based on poly(arylene ether sulfone) via low-temperature coupling reactions for proton exchange membrane fuel cells. Polymer 2008, 49, 715–723. [Google Scholar] [CrossRef]
- Bae, B.; Miyatake, K.; Watanabe, M. Synthesis and properties of sulfonated block copolymers having fluorenyl groups for fuel-cell applications. ACS Appl. Mater. Interface 2009, 1, 1279–1286. [Google Scholar] [CrossRef]
- Hou, J.; Li, J.; Madson, L.A. Anisotropy and Transport in Poly(arylene ether sulfone) Hydrophilic–Hydrophobic Block Copolymers. Macromolecules 2010, 43, 347–353. [Google Scholar] [CrossRef]
- Lee, H.S.; Lane, O.; McGrath, J.E. Development of multiblock copolymers with novel hydroquinone-based hydrophilic blocks for proton exchange membrane (PEM) applications. J. Power Sources 2010, 195, 1772–1778. [Google Scholar] [CrossRef]
- Li, H.; Kirk, N.J.; Mauritz, K.A.; Storey, R.F. Poly(arylene Ether Sulfone) Multi-Block Copolymers Bearing Perfluoroalkylsulfonic Acid Groups. Polymer 2011, 52, 3550–3559. [Google Scholar] [CrossRef]
- Takamuku, S.; Jannasch, P. Multiblock Copolymers with Highly Sulfonated Blocks Containing Di- and Tetrasulfonated Arylene Sulfone Segments for Proton Exchange Membrane Fuel Cell Applications. Adv. Energy Mater. 2012, 2, 129–140. [Google Scholar] [CrossRef]
- Nakabayashi, K.; Matsumoto, K.; Ueda, M. Synthesis and properties of sulfonated multiblock copoly(ether sulfone)s by a chain extender. J. Polym. Sci. Part A Polym. Chem. 2008, 46, 3947–3957. [Google Scholar] [CrossRef]
- Matsumura, S.; Hlil, A.R.; Al-Souz, M.A.K.; Gaudet, J.; Guay, D.; Hay, A.S. Ionomers for proton exchange membrane fuel cells by sulfonation of novel dendritic multiblock copoly(ether-sulfone)s. J. Polym. Sci. Part A Polym. Chem. 2009, 47, 5461–5473. [Google Scholar] [CrossRef]
- Bai, Z.; Yoonessi, M.; Drummy, L.F.; Durstock, M.F.; Dang, T.D. Synthesis and Characterization of Multiblock Sulfonated Poly(arylenethioethersulfone) Copolymers for Proton Exchange Membranes. Macromolecules 2008, 41, 9483–9486. [Google Scholar] [CrossRef]
- Bae, B.; Yoda, T.; Miyatake, K.; Uchida, H.; Watanabe, M. Proton-Conductive Aromatic Ionomers Containing Highly Sulfonated Blocks for High-Temperature-Operable Fuel Cells. Angew. Chem. Int. Ed. 2010, 49, 317–320. [Google Scholar] [CrossRef] [PubMed]
- Bae, B.; Miyatake, K.; Watanabe, M. Sulfonated Poly(arylene ether sulfone ketone) Multiblock Copolymers with Highly Sulfonated Block. Synthesis and Properties. Macromolecules 2010, 43, 2684–2691. [Google Scholar] [CrossRef]
- Umezawa, K.; Oshima, T.; Yoshizawa-Fujita, M.; Takeoka, Y.; Rikukawa, M. Synthesis of hydrophilic-hydrophobic block copolymer ionomers based on polyphenylenes. ACS Macro Lett. 2012, 1, 969–972. [Google Scholar] [CrossRef] [PubMed]
- Mader, J.A.; Benicewicz, B.C. Synthesis and Properties of Segmented Block Copolymers of Functionalised Polybenzimidazoles for High-Temperature PEM Fuel Cells. Fuel Cells 2011, 11, 222–237. [Google Scholar] [CrossRef]
- Asano, N.; Miyatake, K.; Watanabe, M. Sulfonated block polyimide copolymeres as proton-conductive membrane. J. Polym. Sci. Part A Polym. Chem. 2006, 44, 2744–2748. [Google Scholar] [CrossRef]
- Bi, H.; Chen, S.; Chen, X.; Chen, K.; Endo, N.; Higa, M.; Okamoto, K.; Wang, L. Poly(sulfonated phenylene)-block-Polyimide Copolymers for Fuel Cell Applications. Macromol. Rapid Commun. 2009, 30, 1852–1856. [Google Scholar] [CrossRef]
- Chen, Y.; Lee, C.H.; Rowlett, J.R.; McGrath, J.E. Synthesis and characterization of multiblock semi-crystalline hydrophobic poly(ether ether ketone)–hydrophilic disulfonated poly(arylene ether sulfone) copolymers for proton exchange membranes. Polymer 2012, 53, 3143–3153. [Google Scholar] [CrossRef]
- Chen, Y.; Guo, R.; Lee, C.H.; Lee, M.; McGrath, J.E. Partly fluorinated poly(arylene ether ketone sulfone) hydrophilic–hydrophobic multiblock copolymers for fuel cell membranes. Int. J. Hydrogen Energy 2012, 37, 6132–6139. [Google Scholar] [CrossRef]
- Lee, H.S.; Roy, A.; Lane, O.; Lee, M.; McGrath, J.E. Synthesis and characterization of multiblock copolymers based on hydrophilic disulfonated poly(arylene ether sulfone) and hydrophobic partially fluorinated poly(arylene ether ketone) for fuel cell applications. J. Polym. Sci. Part A Polym. Chem. 2010, 48, 214–222. [Google Scholar] [CrossRef]
- Wang, S.; McGrath, J.E. Synthesis of Poly(Arylene Ether)s: Synthetic Methods in Step-Growth Polymers; Wiley: New York, NY, USA, 2003. [Google Scholar]
- Mikami, T.; Miyatake, K.; Watanabe, M. Synthesis and properties of multiblock copoly(arylene ether)s containing superacid groups for fuel cell membranes. J. Polym. Sci. Part A Polym. Chem. 2011, 49, 452–464. [Google Scholar] [CrossRef]
- Badami, A.S.; Roy, A.; Lee, H.S.; Li, Y.; McGrath, J.E. Morphological investigations of disulfonated poly(arylene ether sulfone)-b-naphthalene dianhydride-based polyimide multiblock copolymers as potential high temperature proton exchange membranes. J. Membr. Sci. 2009, 328, 156–164. [Google Scholar] [CrossRef]
- Lee, H.S.; Badami, A.S.; Roy, A.; McGrath, J.E. Segmented Sulfonated Poly(arylene ether sulfone)-b-polyimide Copolymers for Proton Exchange Membrane Fuel Cells. I. Copolymer Synthesis and Fundamental Properties. J. Polym. Sci. Part A Polym. Chem. 2007, 45, 4879–4890. [Google Scholar] [CrossRef]
- Lee, H.S.; Roy, A.; Lane, O.; McGrath, J.E. Synthesis and Characterization of Poly(arylene ether sulfone)-b-polybenzimidazole Copolymers for High Temperature Low Humidity Proton Exchange Membrane Fuel Cells. Polymer 2008, 49, 5387–5396. [Google Scholar] [CrossRef]
- Ng, F.; Bae, B.; Miyatake, K.; Watanabe, M. Polybenzimidazole block sulfonated poly(arylene ether sulfone) ionomers. Chem. Commun. 2011, 47, 8895–8897. [Google Scholar] [CrossRef]
- Wang, H.; Badami, A.S.; Roy, A.; McGrath, J.E. Multiblock copolymers of poly(2,5-benzophenone) and disulfonated poly(arylene ether sulfone) for proton-exchange membranes. I. Synthesis and characterization. J. Polym. Sci. Part A Polym. Chem. 2007, 45, 284–294. [Google Scholar] [CrossRef]
- Matsuno, S.; Watanabe, M.; Miyatake, K. Sulfonated polybenzophenone/poly(arylene ether) block copolymer membranes for fuel cell applications. ACS Appl. Mater. Interfaces 2012, 4, 2881–2884. [Google Scholar]
- Takamuku, S.; Jannasch, P. Multiblock Copolymers Containing Highly Sulfonated Poly(arylene sulfone) Blocks for Proton Conducting Electrolyte Membranes. Macromolecules 2012, 45, 6538–6546. [Google Scholar] [CrossRef]
- Titvinidze, G.; Kreuer, K.D.; Schuster, M.; de Araujo, C.C.; Melchior, J.P.; Meyer, W.H. Proton Conducting Phase-Separated Multiblock Copolymers with Sulfonated Poly(phenylene sulfone) Blocks for Electrochemical Applications: Preparation, Morphology, Hydration Behavior, and Transport. Adv. Funct. Mater. 2012, 22, 4456–4470. [Google Scholar] [CrossRef]
- Guo, M.; Li, X.; Li, L.; Yu, Y.; Song, Y.; Liu, B.; Jiang, Z. Novel postsulfonated poly(ether ether ketone)-block-poly(ether sulfone)s as proton exchange membranes for fuel cells: Design, preparation and properties. J. Membr. Sci. 2011, 380, 171–180. [Google Scholar] [CrossRef]
- Zhao, Y.; Yin, J. Synthesis and properties of poly(ether ether ketone)-block-sulfonated polybutadiene copolymers for PEM applications. Eur. Polym. J. 2010, 46, 592–601. [Google Scholar] [CrossRef]
- Nacher, A.; Escribano, P.; Del Rio, C.; Rodriguez, A.; Acosta, J.L. Polymer proton-conduction systems based on commercial polymers. I. Synthesis and characterization of hydrogenated styrene–butadiene block copolymer and isobutylene isoprene rubber systems. J. Polym. Sci. Part A Polym. Chem. 2003, 41, 2809–2815. [Google Scholar] [CrossRef]
- Kim, J.; Kim, B.; Jung, B. Proton conductivities and methanol permeabilities of membranes made from partially sulfonated polystyrene-block-poly(ethylene-ran-butylene)-block-polystyrene copolymers. J. Membr. Sci. 2002, 207, 129–137. [Google Scholar] [CrossRef]
- Elabd, Y.A.; Napadensky, E.; Sloan, J.M.; Crawford, D.M.; Walker, C.W. Triblock copolymer ionomer membranes: Part I. Methanol and proton transport. J. Membr. Sci. 2003, 217, 227–242. [Google Scholar] [CrossRef]
- Oh, D.Y.; Lee, J.U.; Jo, W.H. Synthesis of fluorinated amphiphilic triblock copolymer and its application in high temperature PEMfuel cells. J. Mater. Chem. 2012, 22, 7187–7193. [Google Scholar] [CrossRef]
- Kim, W.; Jo, H. Synthesis of Nonfluorinated Amphiphilic Rod–Coil Block Copolymer and Its Application to Proton Exchange Membrane. Chem. Mater. 2010, 22, 3646–3652. [Google Scholar] [CrossRef]
- Vargantwar, P.H.; Brannock, M.C.; Smith, S.D.; Spontak, R.J. Midblock sulfonation of a model long-chain poly(p-tert-butylstyrene-b-styrene-b-p-tert-butylstyrene) triblock copolymer. J. Mater. Chem. 2012, 22, 25262–25271. [Google Scholar] [CrossRef]
- Lee, H.C.; Lim, H.; Su, W.F.; Chao, C.Y. Novel Sulfonated Block Copolymer Containing Pendant Alkylsulfonic Acids: Syntheses, Unique Morphologies, and Applications in Proton Exchange Membrane. J. Polym. Sci. Part A Polym. Chem. 2011, 49, 2325–2338. [Google Scholar] [CrossRef]
- Goswami, M.; Sumpter, B.G.; Huang, T.; Messman, J.M.; Gido, S.P.; Isaacs-Sodeye, A.I.; Mays, J.W. Tunable morphologies from charged block copolymers. Soft Matter 2010, 6, 6146–6154. [Google Scholar] [CrossRef]
- Perrin, R.; Elomaa, M.; Jannasch, P. Nanostructured Proton Conducting Polystyrene–Poly(vinylphosphonic acid) Block Copolymers Prepared via Sequential Anionic Polymerizations. Macromolecules 2009, 42, 5146–5154. [Google Scholar] [CrossRef]
- Shi, Z.Q.; Holdcroft, S. Synthesis and Proton Conductivity of Partially Sulfonated Poly([vinylidene difluoride-co-hexafluoropropylene]-b-styrene) Block Copolymers. Macromolecules 2005, 38, 4193–4201. [Google Scholar] [CrossRef]
- Tsang, E.M.W.; Shi, Z.; Holdcroft, S. Ionic Purity and Connectivity of Proton-Conducting Channels in Fluorous-Ionic Diblock Copolymers. Macromolecules 2011, 44, 8845–8857. [Google Scholar] [CrossRef]
- Xu, K.; Li, K.; Khanchaitit, P.; Wang, Q. Synthesis and Characterization of Self-Assembled Sulfonated Poly(styrene-b-vinylidene fluoride-b-styrene) Triblock Copolymers for Proton Conductive Membranes. Chem. Mater. 2007, 19, 5937–5945. [Google Scholar] [CrossRef]
- Jankova, K.; Hvilsted, S. Novel fluorinated block copolymer architectures fuelled by atom transfer radical polymerization. J. Fluor. Chem. 2005, 126, 241–250. [Google Scholar] [CrossRef]
- Matsumoto, K.; Ozaki, F.; Matsuoka, H. Synthesis of proton-conducting block copolymer membranes composed of a fluorinated segment and a sulfonic acid segment. J. Polym. Sci. Part A Polym. Chem. 2008, 46, 4479–4485. [Google Scholar] [CrossRef]
- Park, M.J.; Balsara, N.P. Phase Behavior of Symmetric Sulfonated Block Copolymers. Macromolecules 2008, 41, 3678–3687. [Google Scholar] [CrossRef]
- Chen, L.; Hallinan, D.T.; Elabd, Y.A.; Hillmyer, M.A. Highly selective polymer electrolyte membranes from reactive block polymers. Macromolecules 2009, 42, 6075–6085. [Google Scholar] [CrossRef]
- Markova, D.; Kumar, A.; Klapper, M.; Müllen, K. Phosphonic acid-containing homo-, AB and BAB block copolymers via ATRP designed for fuel cell applications. Polymer 2009, 50, 3411–3421. [Google Scholar] [CrossRef]
- Moore, H.D.; Saito, T.; Hickner, M.A. Morphology and transport properties of midblock-sulfonated triblock copolymers. J. Mater. Chem. 2010, 20, 6316–6321. [Google Scholar] [CrossRef]
- Rubatat, L.; Li, C.; Dietsch, H.; Nykaenen, A.; Ruokolainen, J.; Mezzenga, R. Structure-Properties Relationship in Proton Conductive Sulfonated Polystyrene-Polymethyl Methacrylate Block Copolymers (sPS-PMMA). Macromolecules 2008, 41, 8130–8137. [Google Scholar] [CrossRef]
- Yang, J.E.; Hong, Y.T.; Lee, J. Synthesis and Characterization of Polystyrene-Poly(arylene ether sulfone)-Polystyrene Triblock Copolymer for Proton Exchange Membrane Applications. Nanosci. Nanotechnol. 2006, 6, 3594–3598. [Google Scholar]
- Yang, Y.S.; Shi, Z.Q.; Holdcroft, S. Synthesis of Sulfonated Polysulfone-block-PVDF Copolymers: Enhancement of Proton Conductivity in Low Ion Exchange Capacity Membranes. Macromolecules 2004, 37, 1678–1681. [Google Scholar] [CrossRef]
- Persson, J.C.; Jannasch, P. Block Copolymers Containing Intrinsically Proton-Conducting Blocks Tethered with Benzimidazole Units. Chem. Mater. 2006, 18, 3096–3102. [Google Scholar] [CrossRef]
- Kumar, A.; Pisula, W.; Markova, D.; Klapper, M.; Müllen, K. Proton-Conducting Poly(phenylene oxide)–Poly(vinyl benzyl phosphonic acid) Block Copolymers via Atom Transfer Radical Polymerization. Macromol. Chem. Phys. 2012, 213, 489–499. [Google Scholar] [CrossRef]
- Zhang, Z.; Chalkova, E.; Fedkin, M.; Wang, C.; Lvov, S.N.; Komarneni, S.; Chung, M.T.C. Synthesis and Characterization of Poly(vinylidene fluoride)-g-sulfonated Polystyrene Graft Copolymers for Proton Exchange Membrane. Macromolecules 2008, 41, 9130–9139. [Google Scholar] [CrossRef]
- Balog, S.; Gasser, U.; Mortensen, K.; Ben Youcef, H.; Gubler, L.; Scherer, G.G. Structure of the ion-rich phase in DVB cross-linked graft-copolymer proton-exchange membranes. Polymer 2012, 53, 175–182. [Google Scholar] [CrossRef]
- Souzy, R.; Boutevin, B.; Ameduri, B. Synthesis and Characterizations of Novel Proton-Conducting Fluoropolymer Electrolyte Membranes Based on Poly(vinylidene fluoride-ter-hexafluoropropylene-ter-α-trifluoromethacrylic acid) Terpolymers Grafted by Aryl Sulfonic Acids. Macromolecules 2012, 45, 3145–3160. [Google Scholar] [CrossRef]
- Osano, K.; Force, L.; Turner, S.R. Synthesis and Properties of Linear Poly(ether sulfone)s with Hyperbranched Terminal Groups. Ind. Eng. Chem. Res. 2010, 49, 12098–12103. [Google Scholar] [CrossRef]
- Matsumoto, K.; Hagashihara, T.; Ueda, M. Star-Shaped Sulfonated Block Copoly(ether ketone)s as Proton Exchange Membranes. Macromolecules 2008, 41, 7560–7565. [Google Scholar] [CrossRef]
- Choi, J.K.; Lee, D.K.; Kim, Y.W.; Min, B.R.; Kim, J.H. Composite polymer electrolyte membranes comprising triblock copolymer and heteropolyacid for fuel cell applications. J. Polym. Sci. Part A Polym. Chem. 2008, 46, 691–701. [Google Scholar] [CrossRef]
- Eikerling, M.; Kornyshev, A.A.; Kuznetsov, A.M.; Ulstrup, J.; Walbran, S. Mechanisms of proton conductance in polymer electrolyte membranes. J. Phys. Chem. B 2001, 105, 3646–3662. [Google Scholar] [CrossRef]
- Kim, Y.S.; Lee, K.S. Fuel Cell Membrane Characterizations. Polym. Rev. 2015, 55, 330–370. [Google Scholar] [CrossRef]
- Pivovar, B.S.; Wang, Y.; Cussler, E.L. Pervaporation membranes in direct methanol fuel cells. J. Membr. Sci. 1999, 154, 155–162. [Google Scholar] [CrossRef]
- Weng, D.; Wainright, J.S.; Landau, U.; Savinell, R.F. Electroosmotic drag coefficient of water and methanol in polymer electrolytes at elevated temperatures. J. Electrochem. Soc. 1996, 143, 1260–1263. [Google Scholar] [CrossRef]
- Hickner, M.A. Transport and Structure in Fuel Cell Proton Exchange Membranes. Ph.D. Thesis, Virginia Polytechnic Institute and State University, Blacksburg, VA, USA, 2003. Available online: https://vtechworks.lib.vt.edu/server/api/core/bitstreams/0887c64b-e29c-458c-9d92-789de1a1b06c/content (accessed on 28 April 2024).
- Hallinan, D.T.; Elabd, Y.A. Diffusion and sorption of methanol and water in Nafion using time-resolved Fourier transform infrared-attenuated total reflectance spectroscopy. J. Phys. Chem. B 2007, 111, 13221–13230. [Google Scholar] [CrossRef] [PubMed]
- Gassemi, H.; McGrath, J.E.; Zawodzinski, T.A., Jr. Multiblock sulfonated–fluorinated poly(arylene ether)s for a proton exchange membrane fuel cell. Polymer 2006, 47, 4132–4139. [Google Scholar] [CrossRef]
- Fan, Y.; Cornelius, C.J.; Lee, H.S.; McGrath, J.E.; Zhang, M.; Moore, R.; Staiger, C.L. The effect of block length upon structure, physical properties, and transport within a series of sulfonated poly(arylene ether sulfone)s. J. Membr. Sci. 2013, 430, 106–112. [Google Scholar] [CrossRef]
- Chen, L. Synthesis and Characterization of Hydrophobic-Hydrophilic Multiblock Copolymers for Proton Exchange Membrane Applications. Ph.D. Thesis, Virginia Polytechnic Institute and State University, Blacksburg, VA, USA, 2011. Available online: https://vtechworks.lib.vt.edu/server/api/core/bitstreams/c7786bfc-c130-45a5-a3f8-89b33957d5d9/content (accessed on 28 April 2024).
- Wang, S.J.; Luo, J.J.; Xiao, M.; Han, D.M.; Shen, P.K.; Meng, Y.Z. Design, synthesis and properties of polyaromatics with hydrophobic and hydrophilic long blocks as proton exchange membrane for PEM fuel cell application. Int. J. Hydrogen Energy 2012, 37, 4545–4552. [Google Scholar] [CrossRef]
- Sung, K.A.; Kim, W.K.; Oh, K.H.; Choo, M.J.; Nam, K.W.; Park, J.K. Proton exchange membranes based on hydrophilic–hydrophobic multiblock copolymers using different hydrophobic oligomer. Int. J. Hydrogen Energy 2011, 36, 3956–3964. [Google Scholar] [CrossRef]
- St. Clair, T.L. Structure–Property Relationships in Linear Aromatic Polyimides; Wilson, D., Stenzenberger, H.D., Hergenrother, P.M., Eds.; Polyimides, Chapman and Hall Inc.: New York, NY, USA, 1990; pp. 58–78. [Google Scholar]
- Nakabayashi, K.; Matsumoto, K.; Higashihara, T.; Ueda, M. Influence of adjusted hydrophilic–hydrophobic lengths in sulfonated multiblock copoly(ether sulfone) membranes for fuel cell application. J. Polym. Sci. Part A Polym. Chem. 2008, 46, 7332–7341. [Google Scholar] [CrossRef]
- Cornet, N.; Beaudoing, G.; Gebel, G. Influence of the structure of sulfonated polyimide membranes on transport properties. Sep. Purif. Technol. 2001, 22–23, 681–687. [Google Scholar] [CrossRef]
- Cornet, N.; Diat, O.; Gebel, G.; Jousse, F.; Marsacq, D.; Mercier, R.; Piner, M. Sulfonated polyimide membranes: A new type of ion-conducting membrane for electrochemical applications. J. New Mat. Electrochem. Syst. 2000, 3, 33–42. [Google Scholar]
- Nakano, T.; Nagaoka, S.; Kawakami, H. Preparation of novel sulfonated block copolyimides for proton conductivity membranes. Polym. Adv. Technol. 2005, 16, 753–757. [Google Scholar] [CrossRef]
- Wang, H.; Holmberg, B.A.; Huang, L.; Wang, Z.; Mitra, A.; Norbeck, J.M.; Yan, Y. Nafion-bifunctional silica compositeproton conductive membranes. J. Mater. Chem. 2002, 12, 834–837. [Google Scholar] [CrossRef]
- Xing, P.; Robertson, G.P.; Guiver, M.D.; Mikhailenko, S.D.; Kaliaguine, S. Sulfonated poly(aryl ether ketone)s containing thehexafluoroisopropylidene diphenyl moiety prepared bydirect copolymerization, as proton exchange membranes for fuel fell. Macromolecules 2004, 37, 7960–7967. [Google Scholar] [CrossRef]
- Savett, S.C.; Atkins, J.R.; Sides, C.R.; Harris, J.L.; Thomas, B.H.; Creager, S.E.; Pennington, W.T.; DesMarteau, D.D. A comparison of bis perfluoroalkyl sulfonyl imide ionomers and perfluorosulfonic acid ionomers for applications in PEM fuel-cell technology. J. Electrochem. Soc. 2002, 149, 1527–1532. [Google Scholar] [CrossRef]
- Belkhiri, Z.; Zeroual, M.; Ben Moussa, H.; Zitouni, B. Effect of temperature and water content on the performance of PEM fuel cell. Rev. Energies Renouvelables 2011, 14, 121–130. [Google Scholar]
- Liu, D.; Dong, B.; Zhang, H.; Xie, J.; Pang, J.; Jiang, Z. High methanol resistant polyelectrolyte membrane based on semi-crystalline Poly(ether ketone) with densely sulfonated side chain for direct methanol fuel cell. J. Power Sources 2021, 482, 228982. [Google Scholar] [CrossRef]
- Hu, Z.; Yin, Y.; Yaguchi, K.; Endo, N.; Higa, M.; Okamoto, K. Synthesis and properties of sulfonated multiblock copolynaphthalimides. Polymer 2009, 50, 2933–2943. [Google Scholar] [CrossRef]
- Hou, H.; DiVona, M.; Knauth, P. Building bridges: Crosslinking of sulfonated aromatic polymers—A review. J. Membr. Sci. 2012, 423–424, 113–127. [Google Scholar] [CrossRef]
- Kerres, J.; Zhang, W.; Hearing, T. Covalently cross-linked ionomer (blend) membranes for fuel cells. J. New Mater. Electrochem. Syst. 2004, 7, 299–309. [Google Scholar]
- Fang, J.; Zhai, F.; Guo, X.; Xu, H.; Okamoto, K. A facile approach for the preparation of cross-linked sulfonated polyimide membranes for fuel cell application. J. Mater. Chem. 2007, 17, 1102–1108. [Google Scholar] [CrossRef]
- Mikhailenko, S.D.; Robertson, G.P.; Guiver, M.D.; Kaliaguine, S. Properties of PEMs based on cross-linked sulfonated poly(ether ether ketone). J. Membr. Sci. 2006, 285, 306–316. [Google Scholar] [CrossRef]
- Gu, S.; He, G.; Wu, X.; Guo, Y.; Liu, H.; Peng, L.; Xiao, G. Preparation and characteristics of crosslinked sulfonated poly(phthalazinone ether sulfone ketone) with poly(vinyl alcohol) for proton exchange membrane. J. Membr. Sci. 2008, 312, 48–58. [Google Scholar] [CrossRef]
- Zhong, S.; Cui, X.; Cai, H.; Fu, T.; Zhao, C.; Na, H. Crosslinked sulfonated poly(ether ether ketone) proton exchange membranes for direct methanol fuel cell applications. J. Power Sources 2007, 164, 65–72. [Google Scholar] [CrossRef]
- Ding, F.C.; Wang, S.J.; Xiao, M.; Li, X.H.; Meng, Y.Z. Fabrication and properties of cross-linked sulfonated fluorene-containing poly(arylene ether ketone) for proton exchange membrane. J. Power Sources 2007, 170, 20–27. [Google Scholar] [CrossRef]
- Feng, S.; Shang, Y.; Xie, X.; Wang, Y.; Xu, J. Synthesis and characterization of crosslinked sulfonated poly(arylene ether sulfone) membranes for DMFC applications. J. Membr. Sci. 2009, 335, 13–20. [Google Scholar] [CrossRef]
- Kerres, J.; Ullrich, A.; Haring, T.; Baldauf, M.; Gebhardt, U.; Preidel, W. Preparation, characterization and fuel cell application of new acid-base blend membranes. J. New Mater. Electrochem. Syst. 2000, 3, 229–239. [Google Scholar]
- Sen, U.; Bozkurt, A.; Ata, A. Nafion/poly(1-vinyl-1,2,4-triazole) blends as proton conducting membranes for polymer electrolyte membrane fuel cells. J. Power Sources 2010, 195, 7720–7726. [Google Scholar] [CrossRef]
- Li, H.; Zhang, G.; Ma, W.; Zhao, C.; Zhang, Y.; Han, M.; Zhu, J.; Liu, Z.; Wu, J.; Na, H. Composite membranes based on a novel benzimidazole grafted PEEK and SPEEK for fuel cells. Int. J. Hydrogen Energy 2010, 35, 11172–11179. [Google Scholar]
- Lin, H.D.; Zhao, C.J.; Ma, W.J.; Li, H.T.; Na, H. Layer-by-layer self-assembly of in situ polymerized polypyrrole on sulfonated poly(arylene ether ketone) membrane with extremely low methanol crossover. Int. J. Hydrogen Energy 2009, 34, 9795–9801. [Google Scholar] [CrossRef]
- Yang, M.; Lu, S.; Lu, J.; Jiang, S.P.; Xiang, Y. Layer-by-layer self-assembly of PDDA/PWA-Nafion composite membranes for direct methanol fuel cells. Chem. Commun. 2010, 46, 1434–1436. [Google Scholar] [CrossRef] [PubMed]
- Kharlampieva, E.; Kozlovskaya, V.; Sukhishvili, S.A. Layer-bylayer hydrogen-bonded polymer films: From fundamentals to applications. Adv. Mater. 2009, 21, 3053–3065. [Google Scholar] [CrossRef]
- Taylor, M.M.A.; Sekol, R.; Podsiadlo, P.; Ho, P.; Kotov, N.; Thompson, L. High-performance nanostructured membrane electrode assemblies for fuel cells made by layer-by-layer assembly of carbon nanocolloids. Adv. Mater. 2007, 19, 3859–3864. [Google Scholar]
- Available online: https://link.springer.com/referenceworkentry/10.1007/978-3-662-44324-8_1833 (accessed on 16 August 2024).
- Chu, Z.; Zhu, M.; Zhang, W.; Zhao, Y.; Gong, X.; Jiang, Y.; Wu, L.; Zhai, R.; Dai, X.; Fang, X. Layer-by-layer coating and chemical cross-linking of multilayer polysaccharides on silica for mixed-mode HPLC application. Chem. Commun. 2021, 57, 12956–12959. [Google Scholar] [CrossRef] [PubMed]
- Thankamony, R.L.; Won, M.; Kim, T.H. Terminally-crosslinked poly(ether sulfone) block copolymer, as a highly selective and stable polymer electrolyte membrane for DMFC applications. Int. J. Hydrogen Energy 2013, 38, 5084–5091. [Google Scholar] [CrossRef]
- Thankamony, R.L.; Hwang, J.M.; Kim, T.H. Azide-assisted terminal crosslinking of ionomeric blocks: Effects on morphology and proton conductivity. J. Membr. Sci. 2012, 392–393, 58–65. [Google Scholar] [CrossRef]
- Roh, D.K.; Koh, J.K.; Chi, W.S.; Shul, Y.G.; Kim, J.H. Proton conducting crosslinked polymer electrolyte membranes based on SBS block copolymer. JAPS 2011, 121, 3283–3291. [Google Scholar] [CrossRef]
- Zhang, X.; Hu, Z.; Zhang, S.; Chen, S.; Chen, S.; Liu, J.; Wang, L. Preparation and properties of crosslinked multiblock sulfonated poly(arylene ether sulfone) membranes for fuel cell applications. JAPS 2011, 121, 1707–1716. [Google Scholar] [CrossRef]
- Kim, S.; Lee, H.; Ahn, D.; Park, H.W.; Chang, T.; Lee, W. Direct sulfonation and photocrosslinking of unsaturated poly(styrene-b-butadiene-b-styrene) for proton exchange membrane of direct methanol fuel cell. J. Membr. Sci. 2013, 427, 85–91. [Google Scholar] [CrossRef]
- Julius, D.; Lee, Y.Y.; Hong, L. Hydrophilic Cross-Linked Aliphatic Hydrocarbon Diblock Copolymer as Proton Exchange Membrane for Fuel Cells. Materials 2021, 14, 1617. [Google Scholar] [CrossRef] [PubMed]
- Han, M.; Zhang, G.; Shao, K.; Li, H.; Zhang, Y.; Li, M.; Wang, S.; Na, H. Carboxyl-terminated benzimidazole-assisted cross-linked sulfonated poly(ether ether ketone)s for highly conductive PEM with low water uptake and methanol permeability. J. Mater. Chem. 2010, 20, 3246–3252. [Google Scholar] [CrossRef]
- Han, M.; Zhang, G.; Li, M.; Wang, S.; Zhang, Y.; Li, H.; Lew, C.M.; Na, H. Considerations of the morphology in the design of proton exchange membranes: Cross-linked sulfonated poly(ether ether ketone)s using a new carboxyl-terminated benzimidazole as the cross-linker for PEMFCs. Int. J. Hydrogen Energy 2011, 36, 2197–2206. [Google Scholar] [CrossRef]
Disclaimer/Publisher’s Note: The statements, opinions and data contained in all publications are solely those of the individual author(s) and contributor(s) and not of MDPI and/or the editor(s). MDPI and/or the editor(s) disclaim responsibility for any injury to people or property resulting from any ideas, methods, instructions or products referred to in the content. |
© 2024 by the authors. Licensee MDPI, Basel, Switzerland. This article is an open access article distributed under the terms and conditions of the Creative Commons Attribution (CC BY) license (https://creativecommons.org/licenses/by/4.0/).






































