SU(3) Gauge Symmetry: An Experimental Review of Diffractive Physics in e+p, p+p, p+A, and A+A Collision Systems
Abstract
1. Introduction

2. Soft versus Hard Scattering
3. Brief Comments on Regge Theory
4. Experiment Overview
5. Potential Sources of Background
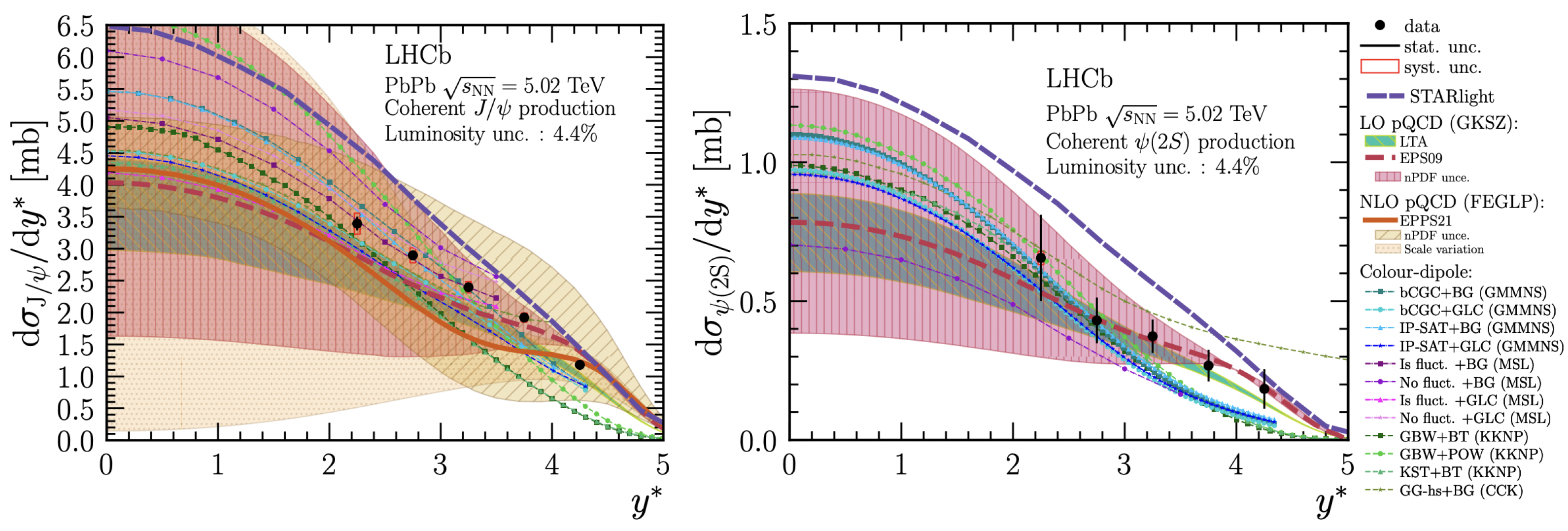
6. Single Pomeron Exchange
7. Double Pomeron Exchange
8. Scalar Glueball Predictions
9. Conclusions
10. Future Directions
Funding
Data Availability Statement
Acknowledgments
Conflicts of Interest
References
- Gross, D.J.; Wilczek, F. Asymptotically Free Gauge Theories—I. Phys. Rev. D 1973, 8, 3633–3652. [Google Scholar] [CrossRef]
- Georgi, H.; Quinn, H.R.; Weinberg, S. Hierarchy of Interactions in Unified Gauge Theories. Phys. Rev. Lett. 1974, 33, 451–454. [Google Scholar] [CrossRef]
- Gaillard, M.K.; Grannis, P.D.; Sciulli, F.J. The Standard model of particle physics. Rev. Mod. Phys. 1999, 71, S96–S111. [Google Scholar] [CrossRef]
- Gross, D.J.; Wilczek, F. Ultraviolet Behavior of Nonabelian Gauge Theories. Phys. Rev. Lett. 1973, 30, 1343–1346. [Google Scholar] [CrossRef]
- Hagedorn, R. Statistical thermodynamics of strong interactions at high-energies. Nuovo Cim. Suppl. 1965, 3, 147. [Google Scholar]
- Cabibbo, N.; Parisi, G. Exponential Hadronic Spectrum and Quark Liberation. Phys. Lett. B 1975, 59, 67–69. [Google Scholar] [CrossRef]
- Adcox, K.; Adler, S.S.; Afanasiev, S.; Aidala, C.; Ajitanand, N.N.; Akiba, Y.; Al-Jamel, A.; Alexander, J.; Amirikas, R.; Aoki, K.; et al. Formation of dense partonic matter in relativistic nucleus-nucleus collisions at RHIC: Experimental evaluation by the PHENIX collaboration. Nucl. Phys. 2005, A757, 184–283. [Google Scholar] [CrossRef]
- Arsene, I.; Bearden, I.G.; Beavis, D.; Besliu, C.; Budick, B.; Bøggild, H.; Chasman, C.; Christensen, C.H.; Christiansen, P.; Cibor, J.; et al. Quark gluon plasma and color glass condensate at RHIC? The Perspective from the BRAHMS experiment. Nucl. Phys. A 2005, 757, 1–27. [Google Scholar] [CrossRef]
- Back, B.B.; Baker, M.D.; Ballintijn, M.; Barton, D.S.; Becker, B.; Betts, R.R.; Bickley, A.A.; Bindel, R.; Budzanowski, A.; Busza, W.; et al. The PHOBOS perspective on discoveries at RHIC. Nucl. Phys. A 2005, 757, 28–101. [Google Scholar] [CrossRef]
- Adams, J.; Aggarwal, M.M.; Ahammed, Z.; Amonett, J.; Anderson, B.D.; Arkhipkin, D.; Averichev, G.S.; Badyal, S.K.; Bai, Y.; Balewski, J.; et al. Experimental and theoretical challenges in the search for the quark gluon plasma: The STAR Collaboration’s critical assessment of the evidence from RHIC collisions. Nucl. Phys. A 2005, 757, 102–183. [Google Scholar] [CrossRef]
- Iancu, E. QCD in heavy ion collisions. In Proceedings of the Based on lectures presented at the 2011 European School of High-Energy Physics, Cheile Gradistei, Romania, 7–20 September 2011; pp. 197–266, 73p. [Google Scholar] [CrossRef]
- Bethke, S. Experimental tests of asymptotic freedom. Prog. Part. Nucl. Phys. 2007, 58, 351–386. [Google Scholar] [CrossRef]
- Zyla, P.A.; Barnett, R.M.; Beringer, J.; Dahl, O.; Dwyer, D.A.; Groom, D.E.; Lin, C.J.; Lugovsky, K.S.; Pianori, E.; Robinson, D.J.; et al. Review of Particle Physics. Prog. Theor. Exp. Phys. 2020, 2020, 083C01. [Google Scholar] [CrossRef]
- Dirac, P.A.M. The quantum theory of the electron. Proc. Roy. Soc. Lond. A 1928, 117, 610–624. [Google Scholar] [CrossRef]
- Weyl, H. Quantum mechanics and group theory. Z. Phys. 1927, 46, 1. [Google Scholar] [CrossRef]
- Newton, I. Philosophiæ Naturalis Principia Mathematica; G. Brookman: London, UK, 1687. [Google Scholar]
- Leibniz, G.W. Nova Methodus pro Maximis et Minimis. Acta Erud. 1684, 3, 467–473. [Google Scholar]
- Regge, T. Introduction to complex orbital momenta. Nuovo Cim. 1959, 14, 951. [Google Scholar] [CrossRef]
- Collins, P.D.B. An Introduction to Regge Theory and High Energy Physics; Cambridge Monographs on Mathematical Physics, Cambridge University Press: Cambridge, UK, 2023. [Google Scholar] [CrossRef]
- Nielsen, H.B.; Susskind, L.; Kraemmer, A.B. A parton theory based on the dual resonance model. Nucl. Phys. B 1971, 28, 34–50, Erratum in Nucl. Phys. B 1971, 31, 602. [Google Scholar] [CrossRef]
- Aschenauer, E.C.; Fazio, S.; Lee, J.H.; Mantysaari, H.; Page, B.S.; Schenke, B.; Ullrich, T.; Venugopalan, R.; Zurita, P. The electron–ion collider: Assessing the energy dependence of key measurements. Rept. Prog. Phys. 2019, 82, 024301. [Google Scholar] [CrossRef]
- Esposito, A.; Manzari, C.A.; Pilloni, A.; Polosa, A.D. Hunting for tetraquarks in ultraperipheral heavy ion collisions. Phys. Rev. D 2021, 104, 114029. [Google Scholar] [CrossRef]
- Collaboration, ALICE. Letter of Intent: A Forward Calorimeter (FoCal) in the ALICE experiment. In CERN-LHCC-2020-009; CERN: Geneva, Switzerland, 2020. [Google Scholar]
- Arslandok, M.; Hong, B.; Ramasubramanian, N.V.; David, G.; Praszalowicz, M.; Steinberg, P.; Chiu, M.; Kuo, C.M.; Yee, H.U.; Putschke, J.; et al. Hot QCD White Paper. arXiv 2023, arXiv:2303.17254. [Google Scholar]
- Akiba, K.C.; Alessio, F.; Bondar, N.; Byczynski, W.; Coco, V.; Collins, P.; Dumps, R.; Dzhelyadin, R.; Gandini, P.; Cazon, B.G.; et al. The HeRSCheL detector: High-rapidity shower counters for LHCb. J. Instrum. 2018, 13, P04017. [Google Scholar] [CrossRef]
- Bashan, Y.; Citron, Z.; Cole, B.; Grosse Perdekamp, M.; Hase, A.; Koeth, T.; Lantz, C.; Lascio, S.; Longo, R.; MacLean, D.; et al. A Run 4 Zero Degree Calorimeter for CMS. In CERN-LHCC-2021-025; CERN: Geneva, Switzerland, 2021. [Google Scholar]
- Collaboration, CMS. Snowmass White Paper Contribution: Physics with the Phase-2 ATLAS and CMS Detectors. In CMS-PAS-FTR-22-001; CERN: Geneva, Switzerland, 2022. [Google Scholar]
- Collaboration, ATLAS. A Radiation-Hard Zero Degree Calorimeter for ATLAS in the HL-LHC era. In CERN-LHCC-2021-018; CERN: Geneva, Switzerland, 2021. [Google Scholar]
- Khalek, R.A.; Accardi, A.; Adam, J.; Adamiak, D.; Akers, W.; Albaladejo, M.; Al-Bataineh, A.; Alexeev, M.G.; Ameli, F.; Antonioli, P.; et al. Science Requirements and Detector Concepts for the Electron-Ion Collider: EIC Yellow Report. Nucl. Phys. A 2022, 1026, 122447. [Google Scholar] [CrossRef]
- Landshoff, P.V. DIFFRACTIVE PROCESSES. Nucl. Phys. B Proc. Suppl. 1990, 12, 397–412. [Google Scholar] [CrossRef]
- Abramowicz, H.; Levin, E.M.; Levy, A.; Maor, U. A Parametrization of sigma-T (gamma* p) above the resonance region Q**2 >= 0. Phys. Lett. B 1991, 269, 465–476. [Google Scholar] [CrossRef]
- Kaidalov, A.B. Diffractive Production Mechanisms. Phys. Rept. 1979, 50, 157–226. [Google Scholar] [CrossRef]
- Frankfurt, L.; Strikman, M. Diffractive phenomena in high energy processes. In 100 Years of Subatomic Physics; Henley, E.M., Ellis, S.D., Eds.; World Scientific: Singapore, 2013; pp. 363–423. [Google Scholar] [CrossRef]
- Baltz, A.J. The Physics of Ultraperipheral Collisions at the LHC. Phys. Rept. 2008, 458, 1–171. [Google Scholar] [CrossRef]
- Gribov, L.V.; Levin, E.M.; Ryskin, M.G. Semihard Processes in QCD. Phys. Rept. 1983, 100, 1–150. [Google Scholar] [CrossRef]
- Albrow, M.G.; Coughlin, T.D.; Forshaw, J.R. Central Exclusive Particle Production at High Energy Hadron Colliders. Prog. Part. Nucl. Phys. 2010, 65, 149–184. [Google Scholar] [CrossRef]
- Abazov, V.M.; Abbott, B.; Acharya, B.S.; Adams, M.; Adams, T.; Agnew, J.P.; Alexeev, G.D.; Alkhazov, G.; Alton, A.; Alves, G.A.; et al. Odderon Exchange from Elastic Scattering Differences between pp and pp¯ Data at 1.96 TeV and from pp Forward Scattering Measurements. Phys. Rev. Lett. 2021, 127, 062003. [Google Scholar] [CrossRef] [PubMed]
- Accardi, A.; Albacete, J.L.; Anselmino, M.; Armesto, N.; Aschenauer, E.C.; Bacchetta, A.; Boer, D.; Brooks, W.K.; Burton, T.; Chang, N.B.; et al. Electron Ion Collider: The Next QCD Frontier: Understanding the glue that binds us all. Eur. Phys. J. A 2016, 52, 268. [Google Scholar] [CrossRef]
- Iancu, E.; Venugopalan, R. The Color glass condensate and high-energy scattering in QCD. In Quark-Gluon Plasma 4; Hwa, R.C., Wang, X.N., Eds.; World Scientific: Singapore, 2003; pp. 249–3363. [Google Scholar] [CrossRef]
- Adare, A.; Afanasiev, S.; Aidala, C.; Ajitanand, N.N.; Akiba, Y.; Al-Bataineh, H.; Alexander, J.; Aoki, K.; Aphecetche, L.; Armendariz, R.; et al. Identified charged hadron production in p+p collisions at s=200 and 62.4 GeV. Phys. Rev. C 2011, 83, 064903. [Google Scholar] [CrossRef]
- Adare, A.; Afanasiev, S.; Aidala, C.; Ajitanand, N.N.; Akiba, Y.; Al-Bataineh, H.; Alexander, J.; Aoki, K.; Aphecetche, L.; Armendariz, R.; et al. Inclusive cross-section and double helicity asymmetry for π0 production in p+p collisions at s= 200 GeV: Implications for the polarized gluon distribution in the proton. Phys. Rev. D 2007, 76, 051106. [Google Scholar] [CrossRef]
- Adare, A.; Afanasiev, S.; Aidala, C.; Ajitanand, N.N.; Akiba, Y.; Al-Bataineh, H.; Alexander, J.; Aoki, K.; Aphecetche, L.; Asai, J.; et al. Inclusive cross section and double helicity asymmetry for pi0 production in p+p collisions at s=62.4 GeV. Phys. Rev. D 2009, 79, 012003. [Google Scholar] [CrossRef]
- Abelev, B.; Abrahantes Quintana, A.; Adamova, D.; Adare, A.M.; Aggarwal, M.M.; Aglieri Rinella, G.; Agocs, A.G.; Agostinelli, A.; Aguilar Salazar, S.; Ahammed, Z.; et al. Neutral pion and η meson production in proton-proton collisions at s=0.9 TeV and s=7 TeV. Phys. Lett. B 2012, 717, 162–172. [Google Scholar] [CrossRef]
- Klein-Boesing, C. Production of Neutral Pions and Direct Photons in Ultra-Relativistic Au + Au collisions. Ph.D. Thesis, University of Münster, Münster, Germany, 2004. [Google Scholar]
- Bjorken, J.D.; Paschos, E.A. Inelastic Electron Proton and gamma Proton Scattering, and the Structure of the Nucleon. Phys. Rev. 1969, 185, 1975–1982. [Google Scholar] [CrossRef]
- Peskin, M.E.; Schroeder, D.V. An Introduction to Quantum Field Theory; Addison-Wesley: Reading, PA, USA, 1995. [Google Scholar]
- Aktas, A.; Andreev, V.; Anthonis, T.; Antunovic, B.; Aplin, S.; Asmone, A.; Astvatsatourov, A.; Babaev, A.; Backovic, S.; Bahr, J.; et al. Elastic J/psi production at HERA. Eur. Phys. J. C 2006, 46, 585–603. [Google Scholar] [CrossRef]
- Chekanov, S.; Krakauer, D.; Magill, S.; Musgrave, B.; Pellegrino, A.; Repond, J.; Yoshida, R.; Mattingly, M.C.K.; Antonioli, P.; Bari, G.; et al. Exclusive photoproduction of J/psi mesons at HERA. Eur. Phys. J. C 2002, 24, 345–360. [Google Scholar] [CrossRef]
- Merkel, P. Diffractive Photoproduction of Heavy Vector Mesons at HERA. Ph.D. Thesis, University of Münster, Münster, Germany, 1999. [Google Scholar]
- Donnachie, A.; Landshoff, P.V. Total cross-sections. Phys. Lett. B 1992, 296, 227–232. [Google Scholar] [CrossRef]
- Kharzeev, D.; Levin, E. Scale anomaly and ’soft’ pomeron in QCD. Nucl. Phys. B 2000, 578, 351–363. [Google Scholar] [CrossRef][Green Version]
- Donnachie, A.; Landshoff, P.V. Small x: Two pomerons! Phys. Lett. B 1998, 437, 408–416. [Google Scholar] [CrossRef]
- Veneziano, G. Construction of a crossing - symmetric, Regge behaved amplitude for linearly rising trajectories. Nuovo Cim. A 1968, 57, 190–197. [Google Scholar] [CrossRef]
- Meyer, H.B.; Teper, M.J. Glueball Regge trajectories and the pomeron: A Lattice study. Phys. Lett. B 2005, 605, 344–354. [Google Scholar] [CrossRef]
- Schwarz, J.H.; Seiberg, N. String theory, supersymmetry, unification, and all that. Rev. Mod. Phys. 1999, 71, S112–S120. [Google Scholar] [CrossRef]
- Tong, D. Lectures on Gauge Theory; University of Cambridge: Cambridge, UK, 2018. [Google Scholar]
- Ebert, D.; Faustov, R.N.; Galkin, V.O. Mass spectra and Regge trajectories of light mesons in the relativistic quark model. Phys. Rev. D 2009, 79, 114029. [Google Scholar] [CrossRef]
- Chew, G.F.; Frautschi, S.C. Principle of Equivalence for All Strongly Interacting Particles Within the S Matrix Framework. Phys. Rev. Lett. 1961, 7, 394–397. [Google Scholar] [CrossRef]
- Berestetsky, V.B.; Pomeranchuk, I.Y. On the asymptotic behaviour of cross sections at high energies. Nucl. Phys. 1961, 22, 629–639. [Google Scholar] [CrossRef]
- Gribov, V.N.; Pomeranchuk, I.Y. Properties of the elastic scattering amplitude at high energies. Zh. Eksp. Teor. Fiz. 1962, 43, 308. [Google Scholar] [CrossRef]
- Fadin, V.S.; Kuraev, E.A.; Lipatov, L.N. On the Pomeranchuk Singularity in Asymptotically Free Theories. Phys. Lett. B 1975, 60, 50–52. [Google Scholar] [CrossRef]
- Kuraev, E.A.; Lipatov, L.N.; Fadin, V.S. The Pomeranchuk Singularity in Nonabelian Gauge Theories. Sov. Phys. JETP 1977, 45, 199–204. [Google Scholar]
- Hu, Z.H.; Zhou, L.J.; Ma, W.X. Reggeon, pomeron and glueball, odderon-hadron-hadron interaction at high energies: From Regge theory to quantum chromodynamics. Commun. Theor. Phys. 2008, 49, 729–738. [Google Scholar] [CrossRef]
- Fiore, R.; Jenkovszky, L.; Schicker, R. Resonance production in Pomeron–Pomeron collisions at the LHC. Eur. Phys. J. C 2016, 76, 38. [Google Scholar] [CrossRef][Green Version]
- Frautschi, S.; Gell-Mann, M.; Zachariasen, F. Experimental Consequences of the Hypothesis of Regge Poles. Phys. Rev. 1962, 126, 2204–2218. [Google Scholar] [CrossRef]
- Kaidalov, A.B.; Ter-Martirosian, K.A. Pomeron as Quark-Gluon Strings and Multiple Hadron Production at SPS Collider Energies. Phys. Lett. B 1982, 117, 247–251. [Google Scholar] [CrossRef]
- Kaidalov, A.B. Soft interactions of hadrons in QCD. Surv. High Energ. Phys. 1999, 13, 265–330. [Google Scholar] [CrossRef]
- Aamodt, K.; Abrahantes Quintana, A.; Achenbach, R.; Acounis, S.; Adamová, D.; Adler, C.; Aggarwal, M.; Agnese, F.; Aglieri Rinella, G.; Ahammed, Z.; et al. The ALICE experiment at the CERN LHC. J. Instrum. 2008, 3, S08002. [Google Scholar] [CrossRef]
- Aad, G.; Abat, E.; Abdallah, J.; Abdelalim, A.A.; Abdesselam, A.; Abdinov, O.; Abi, B.A.; Abolins, M.; Abramowicz, H.; Acerbi, E.; et al. The ATLAS Experiment at the CERN Large Hadron Collider. J. Instrum. 2008, 3, S08003. [Google Scholar] [CrossRef]
- Chatrchyan, S.; Hmayakyan, G.; Khachatryan, V.; Sirunyan, A.M.; Adam, W.; Bauer, T.; Bergauer, T.; Bergauer, H.; Dragicevic, M.; Ero¨, J.; et al. The CMS Experiment at the CERN LHC. J. Instrum. 2008, 3, S08004. [Google Scholar] [CrossRef]
- Alves, A.A., Jr.; Andrade, L.M.; Barbosa, A.F.; Bediaga, I.; Cernicchiaro, G.; Guerrer, G.; Lima, H.P.; Machado, A.A.; Magnin, J.; Marujo, F.; et al. The LHCb Detector at the LHC. J. Instrum. 2008, 3, S08005. [Google Scholar] [CrossRef]
- Anelli, G.; Antchev, G.; Aspell, P.; Avati, V.; Bagliesi, M.G.; Berardi, V.; Berretti, M.; Boccone, V.; Bottigli, U.; Bozzo, M.; et al. The TOTEM experiment at the CERN Large Hadron Collider. J. Instrum. 2008, 3, S08007. [Google Scholar] [CrossRef]
- Ackermann, K.H.; Adams, N.; Adler, C.; Ahammed, Z.; Ahmad, S.; Allgower, C.; Amonett, J.; Amsbaugh, J.; Anderson, B.D.; Anderson, M.; et al. STAR detector overview. Nucl. Instrum. Meth. A 2003, 499, 624–632. [Google Scholar] [CrossRef]
- Abt, I.; Ahmed, T.; Aid, S.; Andreev, V.; Andrieu, B.; Appuhn, R.D.; Arnault, C.; Arpagaus, M.; Babaev, A.; Bärwolff, H.; et al. The H1 detector at HERA. Nucl. Instrum. Meth. A 1997, 386, 310–347. [Google Scholar] [CrossRef]
- Andresen, A.; Bamberger, A.; Bargende, A.; Barreiro, F.; Behrens, U.; Bentvelsen, S.; Brkic, M.; Burow, B.; Caldwell, A.; Cases, G.; et al. Construction and beam test of the ZEUS forward and rear calorimeter. Nucl. Instrum. Meth. A 1991, 309, 101–142. [Google Scholar] [CrossRef]
- Adhikari, S.; Akondi, C.S.; Al Ghoul, H.; Ali, A.; Amaryan, M.; Anassontzis, E.G.; Austregesilo, A.; Barbosa, F.; Barlow, J.; Barnes, A.; et al. The GLUEX beamline and detector. Nucl. Instrum. Meth. A 2021, 987, 164807. [Google Scholar] [CrossRef]
- Peigneux, J.P.; Poulet, M.; Vassiliadis, G.; Bayes, A.; Carney, J.N.; Clewer, S.; Davies, J.P.; Evans, D.; Kinson, J.B.; Norman, K.; et al. A Search for centrally produced non q anti-q mesons in proton proton interactions at 450-GeV/c using the CERN Omega spectrometer and GAMS-4000: Proposal (Extension of the WA91 and NA12/2 experiments). In CERN-SPSLC-94-22; CERN: Geneva, Switzerland, 1994. [Google Scholar]
- Abbon, P.; Albrecht, E.; Alexakhin, V.Y.; Alexandrov, Y.; Alexeev, G.D.; Alekseev, M.G.; Amoroso, A.; Angerer, H.; Anosov, V.A.; Badełek, B.; et al. The COMPASS experiment at CERN. Nucl. Instrum. Meth. A 2007, 577, 455–518. [Google Scholar] [CrossRef]
- Aaij, R.; Abellan Beteta, C.; Adametz, A.; Adeva, B.; Adinolfi, M.; Adrover, C.; Affolder, A.; Ajaltouni, Z.; Albrecht, J.; Alessio, F.; et al. Exclusive J/ψ and ψ(2S) production in pp collisions at s=7 TeV. J. Phys. G 2013, 40, 045001. [Google Scholar] [CrossRef]
- Aad, G.; Abbott, B.; Abbott, D.C.; Abud, A.A.; Abeling, K.; Abhayasinghe, D.K.; Abidi, S.H.; Abouzeid, O.; Abraham, N.; Abramowicz, H.; et al. Observation of photon-induced W+W− production in pp collisions at s=13 TeV using the ATLAS detector. Phys. Lett. B 2021, 816, 136190. [Google Scholar] [CrossRef]
- Aad, G.; Capua, M.; Mastroberardino, A.; Meoni, E.; Schioppa, M.; Tassi, E.; Collaboration, A. Exclusive dielectron production in ultraperipheral Pb+Pb collisions at sNN = 5.02 TeV with ATLAS. J. High Energy Phys. 2023, 2306, 182. [Google Scholar] [CrossRef]
- Acharya, S.; Adamová, D.; Aglieri Rinella, G.; Agnello, M.; Agrawal, N.; Ahammed, Z.; Ahmad, S.; Ahn, S.U.; Ahuja, I.; Akindinov, A.; et al. Photoproduction of K+K− pairs in ultra-peripheral collisions. Phys. Rev. Lett. 2023, 132, 222303. [Google Scholar] [CrossRef] [PubMed]
- Lebiedowicz, P.; Nachtmann, O.; Szczurek, A. Towards a complete study of central exclusive production of K+K− pairs in proton-proton collisions within the tensor Pomeron approach. Phys. Rev. D 2018, 98, 014001. [Google Scholar] [CrossRef]
- Baldenegro, C.; Biagi, G.; Legras, G.; Royon, C. Central exclusive production of W boson pairs in pp collisions at the LHC in hadronic and semi-leptonic final states. J. High Energy Phys. 2020, 12, 165. [Google Scholar] [CrossRef]
- Aaij, R.; Adeva, B.; Adinolfi, M.; Aidala, C.A.; Ajaltouni, Z.; Akar, S.; Albicocco, P.; Albrecht, J.; Alessio, F.; Alexander, M.; et al. Central exclusive production of J/ψ and ψ(2S) mesons in pp collisions at s=13TeV. J. High Energy Phys. 2018, 10, 167. [Google Scholar] [CrossRef]
- Sirunyan, A.M.; Tumasyan, A.; Adam, W.; Ambrogi, F.; Asilar, E.; Bergauer, T.; Brandstetter, J.; Dragicevic, M.; Erö, J.; Del Valle, A.E.; et al. Measurement of exclusive ρ(770)0 photoproduction in ultraperipheral pPb collisions at sNN= 5.02 TeV. Eur. Phys. J. C 2019, 79, 702. [Google Scholar] [CrossRef]
- Aaij, R.; Abdelmotteleb, A.S.W.; Abellan Beteta, C.; Abudinén, F.; Ackernley, T.; Adeva, B.; Adinolfi, M.; Afsharnia, H.; Agapopoulou, C.; Aidala, C.A.; et al. Study of exclusive photoproduction of charmonium in ultra-peripheral lead-lead collisions. J. High Energy Phys. 2023, 6, 146. [Google Scholar] [CrossRef]
- Albrow, M. Double Pomeron Exchange: From the ISR to the LHC. AIP Conf. Proc. 2011, 1350, 119–123. [Google Scholar] [CrossRef]
- Ganguli, S.N.; Roy, D.P. Regge phenomenology and inclusive reactions. Phys. Rept. 1980, 67, 201–395. [Google Scholar] [CrossRef]
- Barberis, D.; Binon, F.G.; Close, F.E.; Danielsen, K.M.; Donskov, S.V.; Earl, B.C.; Evans, D.; French, B.R.; Hino, T.; Inaba, S.; et al. A Coupled channel analysis of the centrally produced K+ K- and pi+ pi- final states in p p interactions at 450-GeV/c. Phys. Lett. B 1999, 462, 462–470. [Google Scholar] [CrossRef][Green Version]
- Abelev, B.; Adam, J.; Adamova, D.; Adare, A.M.; Aggarwal, M.M.; Aglieri Rinella, G.; Agocs, A.G.; Agostinelli, A.; Aguilar Salazar, S.; Ahammed, Z.; et al. Measurement of inelastic, single- and double-diffraction cross sections in proton–proton collisions at the LHC with ALICE. Eur. Phys. J. C 2013, 73, 2456. [Google Scholar] [CrossRef]
- Werner, K. The hadronic interaction model EPOS. Nucl. Phys. B Proc. Suppl. 2008, 175-176, 81–87. [Google Scholar] [CrossRef]
- Zhao, J.; Aichelin, J.; Gossiaux, P.B.; Werner, K. Heavy flavor as a probe of hot QCD matter produced in proton-proton collisions. Phys. Rev. D 2024, 109, 054011. [Google Scholar] [CrossRef]
- Werner, K. Revealing a deep connection between factorization and saturation: New insight into modeling high-energy proton-proton and nucleus-nucleus scattering in the EPOS4 framework. Phys. Rev. C 2023, 108, 064903. [Google Scholar] [CrossRef]
- Shuryak, E.V. Quantum Chromodynamics and the Theory of Superdense Matter. Phys. Rept. 1980, 61, 71–158. [Google Scholar] [CrossRef]
- Barberis, D.; Beusch, W.; Binon, F.G.; Carney, J.N.; Close, F.E.; Danielsen, K.M.; Dolgopolov, A.V.; Donskov, S.V.; Earl, B.C.; Evans, D.; et al. A Kinematical selection of glueball candidates in central production. Phys. Lett. B 1997, 397, 339–344, Erratum in Phys. Lett. B 1997, 410, 353. [Google Scholar] [CrossRef][Green Version]
- Warnasooriya, N. The Search for the X(1750) in Ultra Peripheral Collisions at STAR. Master’s Thesis, Creighton University, Omaha, NE, USA, 2003. [Google Scholar]
- Vento, V. Glueball-Meson Mixing. Eur. Phys. J. A 2016, 52, 1. [Google Scholar] [CrossRef]
- Sarantsev, A.V.; Denisenko, I.; Thoma, U.; Klempt, E. Scalar isoscalar mesons and the scalar glueball from radiative J/ψ decays. Phys. Lett. B 2021, 816, 136227. [Google Scholar] [CrossRef]
- Sexton, J.; Vaccarino, A.; Weingarten, D. Numerical evidence for the observation of a scalar glueball. Phys. Rev. Lett. 1995, 75, 4563–4566. [Google Scholar] [CrossRef]
- Amsler, C.; Close, F.E. Is f0 (1500) a scalar glueball? Phys. Rev. D 1996, 53, 295–311. [Google Scholar] [CrossRef]
- Crede, V.; Meyer, C.A. The Experimental Status of Glueballs. Prog. Part. Nucl. Phys. 2009, 63, 74–116. [Google Scholar] [CrossRef]
- Schramm, A.J. Glueball production in peripheral heavy ion collisions. J. Phys. G 1999, 25, 1965–1978. [Google Scholar] [CrossRef]
- Tanabashi, M.; Grp, P.D.; Hagiwara, K.; Hikasa, K.; Nakamura, K.; Sumino, Y.; Takahashi, F.; Tanaka, J.; Agashe, K.; Aielli, G.; et al. Review of Particle Physics. Phys. Rev. D 2018, 98, 030001. [Google Scholar] [CrossRef]
- Ablikim, M.; Achasov, M.N.; Adlarson, P.A.; Ai, X.C.; Aliberti, R.; Amoroso, A.; An, M.R.; An, Q.; Bai, Y.; Bakina, O.; et al. Determination of Spin-Parity Quantum Numbers of X(2370) as 0−+ from J/ψ→γKS0KS0η’. Phys. Rev. Lett. 2024, 132, 181901. [Google Scholar] [CrossRef]
- Altmetric. Overview of Attention for Article Published in Physical Review Letters, May 2024. Available online: https://aps.altmetric.com/details/157404008 (accessed on 7 May 2012).
















Disclaimer/Publisher’s Note: The statements, opinions and data contained in all publications are solely those of the individual author(s) and contributor(s) and not of MDPI and/or the editor(s). MDPI and/or the editor(s) disclaim responsibility for any injury to people or property resulting from any ideas, methods, instructions or products referred to in the content. |
© 2024 by the author. Licensee MDPI, Basel, Switzerland. This article is an open access article distributed under the terms and conditions of the Creative Commons Attribution (CC BY) license (https://creativecommons.org/licenses/by/4.0/).
Share and Cite
Smith, K.L. SU(3) Gauge Symmetry: An Experimental Review of Diffractive Physics in e+p, p+p, p+A, and A+A Collision Systems. Symmetry 2024, 16, 898. https://doi.org/10.3390/sym16070898
Smith KL. SU(3) Gauge Symmetry: An Experimental Review of Diffractive Physics in e+p, p+p, p+A, and A+A Collision Systems. Symmetry. 2024; 16(7):898. https://doi.org/10.3390/sym16070898
Chicago/Turabian StyleSmith, Krista L. 2024. "SU(3) Gauge Symmetry: An Experimental Review of Diffractive Physics in e+p, p+p, p+A, and A+A Collision Systems" Symmetry 16, no. 7: 898. https://doi.org/10.3390/sym16070898
APA StyleSmith, K. L. (2024). SU(3) Gauge Symmetry: An Experimental Review of Diffractive Physics in e+p, p+p, p+A, and A+A Collision Systems. Symmetry, 16(7), 898. https://doi.org/10.3390/sym16070898

