Abstract
In this paper, we study a quantum difference coupled impulsive system with respect to another function. Some quantum derivative and integral asymmetric graphs with respect to another function are shown to illustrate the behavior of parameters. Existence and uniqueness results are established via Banach contraction mapping principle and Leray–Schauder alternative. Examples illustrating the obtained results are also included. Our results are new and significantly contribute to the literature to this new subject on quantum calculus on finite intervals with respect to another function.
Keywords:
quantum calculus; quantum derivative; quantum integral; coupled system; impulses; fixed point theorem; existence; uniqueness MSC:
34A08; 34B37
1. Introduction
The study of calculus without the notion of limits is known as quantum calculus or q-calculus. Historically, Euler (in the eighteenth century) obtained some basic formulae in q-calculus. However, what is now known as q-derivative and q-integral was defined by Jackson []. Quantum calculus has several applications in many areas, such as physics, quantum mechanics, analytic number theory, hypergeometric functions, theory of finite differences, gamma function theory, Bernoulli and Euler polynomials, combinatorics, multiple hypergeometric functions, Sobolev spaces, operator theory, geometric theory of analytic and harmonic univalent functions, Lie theory, particle physics, nonlinear electric circuit theory, mechanical engineering, theory of heat conduction, quantum mechanics, cosmology and statistics (see [,,,,,,]). q-derivatives and q-integrals were generalized in non-integer orders by Al-Salam [] and Agarwal []. For more details in quantum calculus, we refer to the monograph [], and for some recent results, we refer to the papers [,,,,,,,] and references cited therein. The notion of quantum calculus on finite intervals was introduced by Tariboon and Ntouyas in []. For some recent results of quantum calculus on finite intervals we refer to [].
Recently, in [], the definitions of the quantum derivative and quantum integral on finite intervals were introduced with respect to another function and their basic properties were studied. The new theory of quantum calculus was applied and a new Hermite–Hadamard inequality for a convex function was obtained in addition to an existence and uniqueness result for an impulsive boundary value problem involving the quantum derivative with respect to another function.
In this research, we advance one step further in the study of quantum calculus on finite intervals with respect to another function of [], by studying a quantum coupled impulsive system with respect to another function of the form
where
- are strictly increasing functions on
- are fixed points in
- are the nonlinear functions;
- , and are the sequences of real numbers;
- , and are the real constants.
We establish existence and uniqueness results by applying Banach fixed-point theorem and Leray–Schauder alternative. Our results are new and they enrich the literature to this new subject on quantum calculus on finite intervals with respect to another function. The used method is standard, but its configuration on quantum coupled impulsive systems with respect to another function is new.
This paper is organized as follows: In Section 2, we recall the new results on quantum calculus on finite intervals with respect to another function. A basic lemma concerning a linear valiant of the problem (1) is also proved. In Section 3, we study a quantum coupled impulsive system with respect to another function. The obtained results are well illustrated by numerical examples.
2. Preliminaries
Let a strictly increasing function and q be a quantum number with . Let us present the new definition of quantum derivative with respect to the function .
Definition 1
([]). Let be a continuous function. Then, the q-derivative of s with respect to ψ, on , is defined by
and .
Remark 1
([]). If , then
i.e., we obtain the Tariboon–Ntouyas quantum derivative defined in []. For , we obtain the Jackson’s quantum derivative []:
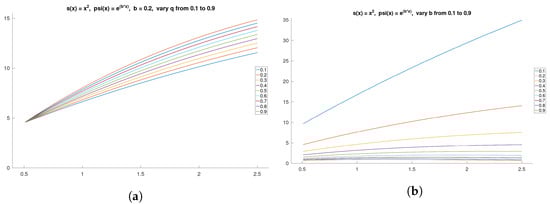
Example 1.
Let us consider an example for a computation of quantum derivative with respect to another function. Let , and , then
By varying the parameters q and b, we illustrate their influence on the quantum derivative to a given function . Figure 1a shows the impact of the quantum parameter q, varied from to , while we fixed parameter b to . Then, we fix the quantum number to and vary parameter b from to , with the results displayed in Figure 1b. And the considered domain of this example is chosen to be The graphs demonstrate that increasing the quantum number q makes the curve slightly steeper, whereas increasing the parameter b results in more significant changes to the graph, but in an opposite manner.

Figure 1.
Impact of quantum number q (a) and parameter b (b) on the quantum derivative of Example 1.
In the next lemma, we collect the basic properties of the quantum derivative with respect to another function.
Lemma 1
([]). We have the following:
- (i)
- (ii)
- (iii)
- where for all .
Now, we define the quantum integral with respect to another function.
Definition 2
([]). The definite quantum integral of with respect to function ψ and quantum number q, is defined by
which is well defined if the right-hand side exists. Moreover, for , the definite quantum integral can be written as
Remark 2
([]). If , then
i.e., we have the Tariboon–Ntouyas [] definite quantum integral; and if , we have the Jackson [] definite quantum integral:
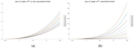
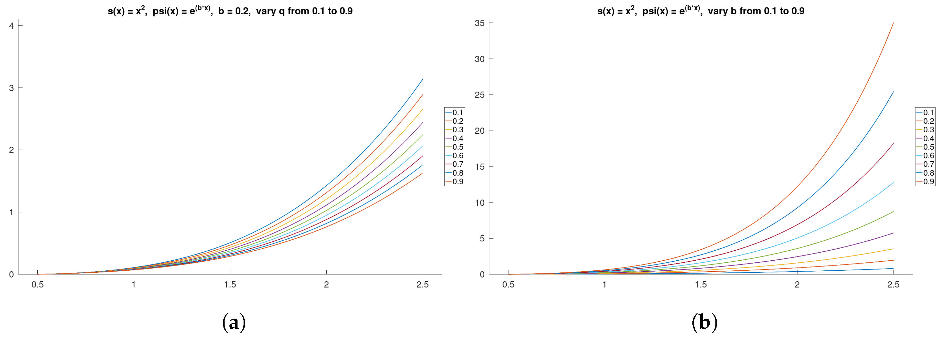
Example 2.
Let us consider an example for the computation of the definite quantum integral with respect to another function. Let , and , then
We investigate the impact of the quantum number q and parameter b on the definite quantum integral by varying these parameters. In Figure 2a, parameter b is set to while the quantum number q is adjusted from to . Conversely, in Figure 2b, the quantum number q is fixed at , and parameter b is varied from to . The selected domain remains . To visualize the result, we approximate the definite integral, which is expressed as an infinite sum, by setting . The results indicate that increasing parameter b significantly sharpens the curve, whereas increasing the quantum number q slightly reduces its steepness. The observed pattern exhibits an opposite trend compared to the quantum derivative example.

Figure 2.
Impact of quantum number q (a) and parameter b (b) on the definite quantum integral of Example 2.
The following lemma concerns a linear variant of the initial system (1) and is the basic tool to transform the nonlinear coupled impulsive quantum system (1) into a fixed-point problem.
Lemma 2.
Let and Then, satisfies the linear system
if and only if
and
where
Proof.
For , taking the operator to both sides in the first equation in (4), we have
For , taking the operator to both sides in the first equation in (4), we have
From conditions , we obtain
Once again, for , we obtain
Repeating the above process, for , we have
Indeed, (8) is true for by (7) using and , when . For , we have
which shows that (8) is satisfied for By mathematical induction, (8) holds for every .
In a similar way, we can obtain
In particular, for , we have
Substituting the values of and in the boundary conditions and and solving the resulting system, we find
and
Substituting and in Equations (8) and (9), we obtain the solutions (5) and (6). We can prove the converse by direct computation. □
3. Main Results
The space of piecewise continuous functions is defined as is continuous everywhere except for some such that and exist and for all . is a Banach space with norm The product space is a Banach space with norm
In view of Lemma 2, we define an operator by
where
and
For convenience, the following notations are used:
Theorem 1.
Assume the following:
- There exists positive constants such that for all and
Proof.
Define with satisfying
where and . Applying condition , we obtain
In the same way, we obtain
In the first step, we will show that For any , we have
Consequently, we have
Similarly, we obtain
Hence, we have
Therefore, . In the next step, we will show that the operator is a contraction. Let and Then, we have
Thus
Similarly, we obtain
It follows from (13) and (14) that
Since , is a contraction operator. Consequently, applying Banach’s fixed-point theorem, a unique fixed point of operator is obtained, which implies that the impulsive quantum coupled system (1) has a unique solution. The proof is completed. □
The next existence result is based on the Leray–Schauder alternative [].
Theorem 2.
Let be continuous functions satisfying
- There exists for and such that for any , we have
If and , where for are defined in (11), then the impulsive quantum coupled system (1) has at least one solution on .
Proof.
For the operator , it can be seen that is continuous from the fact that the functions are continuous. Next, consider a bounded subset of Note that for ,
We will show that is uniformly bounded. For , we obtain
which implies that
Similarly, we obtain
Consequently,
and thus, is uniformly bounded.
Next, the equicontinuous property of operator is proven. Let for some with Then, we have
Similarly, we have
Therefore, the operator is equicontinuous, and thus, the operator is completely continuous.
Lastly, we will show that the set
is bounded. Let , then . For any , we have
Then,
Thus, we have
Similarly, we have
Hence,
Consequently,
where which proves that the set is bounded. By the Leray–Schader alternative, the operator has at least one fixed point. Hence, the impulsive quantum coupled system (1) has at least one solution on and this completes the proof. □
4. Examples
Example 3.
Consider the following given coupled system of impulsive quantum difference equations with coupled boundary conditions:
where
From (15), we can set a function and constants , , , , , , , , , , , , , , , With these parameters, we found , , , , , , , , .
For all and , we can check the Lipschitz condition (condition in Theorem 1) of two given functions as
Choosing and leads us to compute that
which is the satisfied inequality in Theorem 1. Since all assumptions of Theorem 1 are fulfilled, we deduce that the boundary value problem of a coupled impulsive quantum system with respect to another function in (15) with , given by (18) and (19), respectively, has a unique solution on .
Example 4.
Consider the following coupled impulsive system via quantum difference with respect to another function with coupled boundary conditions:
where
From the given system, we can choose a function and constants , , , , , , , , , , , , , , , Then, via Maple computing, we obtain , , , , , , , , .
From the given functions (21) and (22), for each and , the bounds can be considered as
By setting , , , , , , we obtain and . Application Theorem 2 tells us that a coupled impulsive system via quantum difference with respect to another function with coupled boundary conditions (20) with , given by (21) and (22), respectively, has at least one solution on an interval .
Example 5.
Consider the following linear coupled impulsive system via quantum difference with respect to another function with coupled boundary conditions:
Now, we set a function , , and constants , , , , , , , , , , , , , , , Then, via Maple computing, we obtain , , . From Lemma 2, we can obtain the unique solution of system (25) as shown in the graphs.
We visualize the numerical example by plotting the solutions of Example 5 to provide the reader with a clearer understanding of this work. Figure 3 and Figure 4 depict the solution functions, s and r, respectively, of this example by varying parameter m from 1 to 2. The figures evidently demonstrate that functions s and r exhibit jump discontinuities as anticipated. Figure 3a and Figure 4a provide overviews of functions s and r across the entire considered domain, while Figure 3b–d and Figure 4b–d illustrate the values of functions s and r within each interval.

Figure 3.
Visualization of solution function s for Example 5: (a) provides an overview of the entire domain, while (b–d) demonstrate the values of the function within each interval.

Figure 4.
Visualization of solution function r for Example 5: (a) provides an overview of the entire domain, while (b–d) demonstrate the values of the function within each interval.
5. Conclusions
In this paper, we studied a quantum difference coupled impulsive system with respect to another function. First, we transformed the nonlinear coupled impulsive quantum system into a fixed-point problem by using a linear variant of the initial system. Then, we established the existence of a unique solution via Banach contraction mapping principle and the existence of a solution by using Leray–Schauder alternative. The main results are well illustrated by numerical examples.
Author Contributions
Conceptualization, S.K.N. and J.T.; methodology, N.K., C.K., S.K.N. and J.T.; validation, N.K., C.K., S.K.N. and J.T.; formal analysis, N.K., C.K., S.K.N. and J.T.; writing—original draft preparation, N.K., C.K., S.K.N. and J.T. All authors have read and agreed to the published version of the manuscript.
Funding
The first author was supported by King Mongkut’s University of Technology North Bangkok, contract no. KMUTNB-PHD-63-02. This research budget was allocated by the National Science, Research and Innovation Fund (NSRF) and King Mongkut’s University of Technology North Bangkok with contract no. KMUTNB-FF-67-B-02.
Data Availability Statement
Data are contained within the article.
Conflicts of Interest
The authors declare no conflicts of interest.
References
- Jackson, F.H. q-Difference equations. Am. J. Math. 1910, 32, 305–314. [Google Scholar] [CrossRef]
- Bangerezako, G. Variational calculus on q-nonuniform. J. Math. Anal. Appl. 2005, 306, 161–179. [Google Scholar] [CrossRef][Green Version]
- Exton, H. q-Hypergeometric Functions and Applications; Hastead Press: New York, NY, USA, 1983. [Google Scholar]
- Ernst, T. A History of q-Calculus and a New Method; UUDM Report; Uppsala University: Uppsala, Sweden, 2000. [Google Scholar]
- Aral, A.; Gupta, V.; Agarwal, R.P. Applications of q-Calculus in Operator Theory; Springer: New York, NY, USA, 2013. [Google Scholar]
- Williams, K.S. Applications of Quantum Mechanics, Laws of Classical Physics, and Differential Calculus to Evaluate Source Localization According to the Electroencephalogram. In Biosignal Processing; IntechOpen: Rijeka, Croatia, 2022. [Google Scholar]
- Ernst, T.A. A Comprehensive Treatment of q-Calculus; Birkhäuser: Basel, Switzerland, 2012. [Google Scholar]
- Kac, V.; Cheung, P. Quantum Calculus; Springer: New York, NY, USA, 2002. [Google Scholar]
- Al-Salam, W.A. Some fractional q-integrals and q-derivatives. Proc. Edinb. Math. Soc. 1966, 15, 135–140. [Google Scholar] [CrossRef]
- Agarwal, R.P. Certain fractional q-integrals and q-derivatives. Proc. Camb. Philos. Soc. 1969, 66, 365–370. [Google Scholar] [CrossRef]
- Annaby, M.H.; Mansour, Z.S. q-Fractional Calculus and Equations; Springer: Berlin/Heidelberg, Germany, 2012. [Google Scholar]
- Gasper, G.; Rahman, M. Basic Hypergeometric Series; Cambridge University Press: Cambridge, UK, 1990. [Google Scholar]
- Ma, J.; Yang, J. Existence of solutions for multi-point boundary value problem of fractional q-difference equation. Electron. J. Qual. Theory Differ. Equ. 2011, 92, 1–10. [Google Scholar] [CrossRef]
- Yang, C. Positive Solutions for a three-point boundary value problem of fractional q-difference equations. Symmetry 2018, 10, 358. [Google Scholar] [CrossRef]
- Guo, C.; Guo, J.; Kang, S.; Li, H. Existence and uniqueness of positive solutions for nonlinear q-difference equation with integral boundary conditions. J. Appl. Anal. Comput. 2020, 10, 153–164. [Google Scholar] [CrossRef] [PubMed]
- Ouncharoen, R.; Patanarapeelert, N.; Sitthiwirattham, T. Nonlocal q-symmetric integral boundary value problem for sequential q-symmetric integrodifference equations. Mathematics 2018, 6, 218. [Google Scholar] [CrossRef]
- Zhai, C.; Ren, J. Positive and negative solutions of a boundary value problem for a fractional q-difference equation. Adv. Differ. Equ. 2017, 2017, 82. [Google Scholar] [CrossRef]
- Ren, J.; Zhai, C. Nonlocal q-fractional boundary value problem with Stieltjes integral conditions. Nonlinear Anal. Model. 2019, 24, 582–602. [Google Scholar] [CrossRef]
- Ma, K.; Li, X.; Sun, S. Boundary value problems of fractional q-difference equations on the half-line. Bound. Value Probl. 2019, 2019, 46. [Google Scholar] [CrossRef]
- Tariboon, J.; Ntouyas, S.K. Quantum calculus on finite intervals and applications to impulsive difference equations. Adv. Differ. Equ. 2013, 2013, 282. [Google Scholar] [CrossRef]
- Ahmad, B.; Ntouyas, S.K.; Tariboon, J. Quantum Calculus: New Concepts, Impulsive IVPs and BVPs, Inequalities; World Scientific: Singapore, 2016. [Google Scholar]
- Kamsrisuk, N.; Passary, D.; Ntouyas, S.K.; Tariboon, J. Quantum calculus with respect to another function. AIMS Math. 2024, 9, 10446–10461. [Google Scholar] [CrossRef]
- Granas, A.; Dugundji, J. Fixed Point Theory; Springer: New York, NY, USA, 2005. [Google Scholar]
Disclaimer/Publisher’s Note: The statements, opinions and data contained in all publications are solely those of the individual author(s) and contributor(s) and not of MDPI and/or the editor(s). MDPI and/or the editor(s) disclaim responsibility for any injury to people or property resulting from any ideas, methods, instructions or products referred to in the content. |
© 2024 by the authors. Licensee MDPI, Basel, Switzerland. This article is an open access article distributed under the terms and conditions of the Creative Commons Attribution (CC BY) license (https://creativecommons.org/licenses/by/4.0/).