An Enhanced Tunicate Swarm Algorithm with Symmetric Cooperative Swarms for Training Feedforward Neural Networks
Abstract
1. Introduction
2. Conceptual Description of Feedforward Neural Networks
3. Tunicate Swarm Algorithm
3.1. Avoiding Searching for Individual Conflicts
3.2. Movement toward the Direction of the Best Neighbor
3.3. Convergence toward the Best Individual
3.4. Swarm Behavior
| Algorithm 1: TSA |
| Input: Tunicate population |
| Output: The most satisfactory solution |
| Procedure: TSA |
| Initializing the parameters , , , , and |
| Set , , and |
| while do |
| for to 2 do /Estimating swarm scavenging behavior via looping/ |
| /Estimating the fitness value/ |
| /Jet motorization behavior/ |
| / symbolizes a random variable in [0, 1]/ |
| , , |
| , |
| /Swarm scavenging behavior/ |
| if then |
| else |
| end if |
| end for |
| Amending the parameters , , and |
| end while |
| return |
| end procedure |
| procedure |
| for to do / symbolizes the dimension/ |
| /Estimating the fitness value of predator/ |
| end for |
| /Estimating the best fitness value via Best function/ |
| return |
| end procedure |
| procedure |
| for to do |
| if then |
| end if |
| end for |
| return /Return the best fitness value/ |
| end procedure |
4. Enhanced Tunicate Swarm Algorithm
| Algorithm 2: Differential sequencing alteration operator of “DE/rand/1” |
| Sorting population, estimating fitness value, and furnishing screening probability |
| Arbitrarily extracting {base vector index} |
| while |
| Arbitrarily extracting |
| end |
| Arbitrarily extracting {terminal vector index} |
| while |
| Arbitrarily extracting |
| end |
| Arbitrarily extracting {commencing vector index} |
| while |
| Arbitrarily extracting |
| end |
5. Enhanced Tunicate Swarm Algorithm-Based Feedforward Neural Networks
| Algorithm 3: ETSA-based FNNs |
| Input: Tunicate population |
| Output: The most satisfactory solution |
| Procedure: TSA |
| Initializing the parameters , , , , and and the structure of FNNs, each tunicate symbolizes the connection weight and deviation threshold |
| Set , , and |
| Estimating the tunicate’s fitness value via Equation (17) |
| Identify the best tunicate |
| while do |
| Sorting population, estimating fitness value, and furnishing screening probability |
| /differential sequencing alteration operator stage/ |
| Arbitrarily extracting {base vector index} |
| while |
| Arbitrarily extracting |
| end |
| Arbitrarily extracting {terminal vector index} |
| while |
| Arbitrarily extracting |
| end |
| Arbitrarily extracting {commencing vector index} |
| while |
| Arbitrarily extracting |
| end /end of differential sequencing alteration operator stage/ |
| for to 2 do /Estimating swarm scavenging behavior via looping/ |
| /Estimating the fitness value/ |
| /Jet motorization behavior/ |
| / symbolizes a random variable in [0, 1]/ |
| , , |
| , |
| /Swarm scavenging behavior/ |
| if then |
| else |
| end if |
| end for |
| Amending the parameters , , and |
| Estimating the tunicate’s fitness value via Equation (17) |
| end while |
| return |
| end procedure |
| procedure |
| for to do / symbolizes the dimension/ |
| /Estimating the fitness of predator/ |
| end for |
| /Estimating the best fitness value via Best function/ |
| return |
| end procedure |
| procedure |
| for to do |
| if then |
| end if |
| end for |
| return /Return the best fitness value/ |
| end procedure |
Computational Complexity
6. Experimental Results and Analysis
6.1. Experimental Setup
6.2. Test Samples
6.3. Parameter Configuration
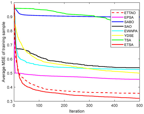
6.4. Results and Analysis
7. Conclusions and Future Research
Author Contributions
Funding
Data Availability Statement
Acknowledgments
Conflicts of Interest
References
- Zhao, S.; Zhang, T.; Cai, L.; Yang, R. Triangulation Topology Aggregation Optimizer: A Novel Mathematics-Based Meta-Heuristic Algorithm for Continuous Optimization and Engineering Applications. Expert Syst. Appl. 2024, 238, 121744. [Google Scholar] [CrossRef]
- Qais, M.H.; Hasanien, H.M.; Alghuwainem, S.; Loo, K.H. Propagation Search Algorithm: A Physics-Based Optimizer for Engineering Applications. Mathematics 2023, 11, 4224. [Google Scholar] [CrossRef]
- Trojovskỳ, P.; Dehghani, M. Subtraction-Average-Based Optimizer: A New Swarm-Inspired Metaheuristic Algorithm for Solving Optimization Problems. Biomimetics 2023, 8, 149. [Google Scholar] [CrossRef] [PubMed]
- Deng, L.; Liu, S. Snow Ablation Optimizer: A Novel Metaheuristic Technique for Numerical Optimization and Engineering Design. Expert Syst. Appl. 2023, 225, 120069. [Google Scholar] [CrossRef]
- Abdelhamid, A.A.; Towfek, S.; Khodadadi, N.; Alhussan, A.A.; Khafaga, D.S.; Eid, M.M.; Ibrahim, A. Waterwheel Plant Algorithm: A Novel Metaheuristic Optimization Method. Processes 2023, 11, 1502. [Google Scholar] [CrossRef]
- Abdel-Basset, M.; El-Shahat, D.; Jameel, M.; Abouhawwash, M. Young’s Double-Slit Experiment Optimizer: A Novel Metaheuristic Optimization Algorithm for Global and Constraint Optimization Problems. Comput. Methods Appl. Mech. Eng. 2023, 403, 115652. [Google Scholar] [CrossRef]
- Gölcük, İ.; Ozsoydan, F.B.; Durmaz, E.D. An Improved Arithmetic Optimization Algorithm for Training Feedforward Neural Networks under Dynamic Environments. Knowl.-Based Syst. 2023, 263, 110274. [Google Scholar] [CrossRef]
- Bilski, J.; Smoląg, J.; Kowalczyk, B.; Grzanek, K.; Izonin, I. Fast Computational Approach to the Levenberg-Marquardt Algorithm for Training Feedforward Neural Networks. J. Artif. Intell. Soft Comput. Res. 2023, 13, 45–61. [Google Scholar] [CrossRef]
- Weber, P.; Wagner, W.; Freitag, S. Physically Enhanced Training for Modeling Rate-Independent Plasticity with Feedforward Neural Networks. Comput. Mech. 2023, 72, 827–857. [Google Scholar] [CrossRef]
- Konar, D.; Sarma, A.D.; Bhandary, S.; Bhattacharyya, S.; Cangi, A.; Aggarwal, V. A Shallow Hybrid Classical–Quantum Spiking Feedforward Neural Network for Noise-Robust Image Classification. Appl. Soft Comput. 2023, 136, 110099. [Google Scholar] [CrossRef]
- Elansari, T.; Ouanan, M.; Bourray, H. Mixed Radial Basis Function Neural Network Training Using Genetic Algorithm. Neural Process. Lett. 2023, 55, 10569–10587. [Google Scholar] [CrossRef]
- Chai, J.; Bi, M.; Teng, X.; Yang, G.; Hu, M. A Mixed Mutation Strategy Genetic Algorithm for the Effective Training and Design of Optical Neural Networks. Opt. Fiber Technol. 2024, 82, 103600. [Google Scholar] [CrossRef]
- Pan, S.; Gupta, T.K.; Raza, K. BatTS: A Hybrid Method for Optimizing Deep Feedforward Neural Network. PeerJ Comput. Sci. 2023, 9, e1194. [Google Scholar] [CrossRef] [PubMed]
- Lai, W.Y.; Kuok, K.K.; Gato-Trinidad, S.; Rahman, M.R.; Bakri, M.K. Metaheuristic Algorithms to Enhance the Performance of a Feedforward Neural Network in Addressing Missing Hourly Precipitation. Int. J. Integr. Eng. 2023, 15, 273–285. [Google Scholar] [CrossRef]
- Bemporad, A. Training Recurrent Neural Networks by Sequential Least Squares and the Alternating Direction Method of Multipliers. Automatica 2023, 156, 111183. [Google Scholar] [CrossRef]
- Wang, L.; Ye, W.; Zhu, Y.; Yang, F.; Zhou, Y. Optimal Parameters Selection of Back Propagation Algorithm in the Feedforward Neural Network. Eng. Anal. Bound. Elem. 2023, 151, 575–596. [Google Scholar] [CrossRef]
- Bülbül, M.A. Optimization of Artificial Neural Network Structure and Hyperparameters in Hybrid Model by Genetic Algorithm: IOS–Android Application for Breast Cancer Diagnosis/Prediction. J. Supercomput. 2024, 80, 4533–4553. [Google Scholar] [CrossRef]
- Javanshir, A.; Nguyen, T.T.; Mahmud, M.P.; Kouzani, A.Z. Training Spiking Neural Networks with Metaheuristic Algorithms. Appl. Sci. 2023, 13, 4809. [Google Scholar] [CrossRef]
- Schreuder, A.; Bosman, A.; Engelbrecht, A.; Cleghorn, C. Training Feedforward Neural Networks with Bayesian Hyper-Heuristics. arXiv 2023, arXiv:2303.16912. [Google Scholar]
- Özden, A.; İşeri, İ. COOT Optimization Algorithm on Training Artificial Neural Networks. Knowl. Inf. Syst. 2023, 65, 3353–3383. [Google Scholar] [CrossRef]
- Maddaiah, P.N.; Narayanan, P.P. An Improved Cuckoo Search Algorithm for Optimization of Artificial Neural Network Training. Neural Process. Lett. 2023, 55, 12093–12120. [Google Scholar] [CrossRef]
- Arthur, B.J.; Kim, C.M.; Chen, S.; Preibisch, S.; Darshan, R. A Scalable Implementation of the Recursive Least-Squares Algorithm for Training Spiking Neural Networks. Front. Neuroinformatics 2023, 17, 1099510. [Google Scholar] [CrossRef] [PubMed]
- Liu, Y.; Li, D. AdaXod: A New Adaptive and Momental Bound Algorithm for Training Deep Neural Networks. J. Supercomput. 2023, 79, 17691–17715. [Google Scholar] [CrossRef]
- Atta, E.A.; Ali, A.F.; Elshamy, A.A. A Modified Weighted Chimp Optimization Algorithm for Training Feed-Forward Neural Network. PLoS ONE 2023, 18, e0282514. [Google Scholar] [CrossRef]
- Baştemur Kaya, C. On Performance of Marine Predators Algorithm in Training of Feed-Forward Neural Network for Identification of Nonlinear Systems. Symmetry 2023, 15, 1610. [Google Scholar] [CrossRef]
- Li, H.; Bai, L.; Gao, W.; Xie, J.; Huang, L. Many-Objective Coevolutionary Learning Algorithm with Extreme Learning Machine Auto-Encoder for Ensemble Classifier of Feedforward Neural Networks. Expert Syst. Appl. 2024, 246, 123186. [Google Scholar] [CrossRef]
- Yang, B.; Liang, B.; Qian, Y.; Zheng, R.; Su, S.; Guo, Z.; Jiang, L. Parameter Identification of PEMFC via Feedforward Neural Network-Pelican Optimization Algorithm. Appl. Energy 2024, 361, 122857. [Google Scholar] [CrossRef]
- Zhang, R.; Ma, X.; Zhang, C.; Ding, W.; Zhan, J. GA-FCFNN: A New Forecasting Method Combining Feature Selection Methods and Feedforward Neural Networks Using Genetic Algorithms. Inf. Sci. 2024, 669, 120566. [Google Scholar] [CrossRef]
- Wang, Z.; Duan, Q.; Xu, Y.; Zhang, L. An Efficient Bandwidth-Adaptive Gradient Compression Algorithm for Distributed Training of Deep Neural Networks. J. Syst. Archit. 2024, 150, 103116. [Google Scholar] [CrossRef]
- Kaur, S.; Awasthi, L.K.; Sangal, A.L.; Dhiman, G. Tunicate Swarm Algorithm: A New Bio-Inspired Based Metaheuristic Paradigm for Global Optimization. Eng. Appl. Artif. Intell. 2020, 90, 103541. [Google Scholar] [CrossRef]
- Yan, Z.; Zhang, J.; Zeng, J.; Tang, J. Nature-Inspired Approach: An Enhanced Whale Optimization Algorithm for Global Optimization. Math. Comput. Simul. 2021, 185, 17–46. [Google Scholar] [CrossRef]
- Yan, Z.; Zhang, J.; Tang, J. Path Planning for Autonomous Underwater Vehicle Based on an Enhanced Water Wave Optimization Algorithm. Math. Comput. Simul. 2021, 181, 192–241. [Google Scholar] [CrossRef]
- Dao, P.B. On Wilcoxon Rank Sum Test for Condition Monitoring and Fault Detection of Wind Turbines. Appl. Energy 2022, 318, 119209. [Google Scholar] [CrossRef]





































| Samples | Attribute | Class | Training | Testing | Input | Hidden | Output |
|---|---|---|---|---|---|---|---|
| Blood | 4 | 2 | 493 | 255 | 4 | 9 | 2 |
| Scale | 4 | 3 | 412 | 213 | 4 | 9 | 3 |
| Survival | 3 | 2 | 202 | 104 | 3 | 7 | 2 |
| Liver | 6 | 2 | 227 | 118 | 6 | 13 | 2 |
| Seeds | 7 | 3 | 139 | 71 | 7 | 15 | 3 |
| Wine | 13 | 3 | 117 | 61 | 13 | 27 | 3 |
| Iris | 4 | 3 | 99 | 51 | 4 | 9 | 3 |
| Statlog | 13 | 2 | 178 | 92 | 13 | 27 | 2 |
| XOR | 3 | 2 | 4 | 4 | 3 | 7 | 2 |
| Balloon | 4 | 2 | 10 | 10 | 4 | 9 | 2 |
| Cancer | 9 | 2 | 599 | 100 | 9 | 19 | 2 |
| Diabetes | 8 | 2 | 507 | 261 | 8 | 17 | 2 |
| Gene | 57 | 2 | 70 | 36 | 57 | 115 | 2 |
| Parkinson | 22 | 2 | 129 | 66 | 22 | 45 | 2 |
| Splice | 60 | 2 | 660 | 340 | 60 | 121 | 2 |
| WDBC | 30 | 2 | 394 | 165 | 30 | 61 | 2 |
| Zoo | 16 | 7 | 67 | 34 | 16 | 33 | 7 |
| Technique | Configured Parameter | Value |
|---|---|---|
| ETTAO | Random variable | [0, 1] |
| Random variable | ||
| Random variable | [0, 1] | |
| Random variable | [0, 1] | |
| Random variable | [0, 1] | |
| Random variable | [0, 1] | |
| Scaling factor | 0.7 | |
| EPSA | Random variable | [0, 1] |
| Random variable | [0, 1] | |
| Reflectivity | 1 | |
| Expansion coefficient | 1.5 | |
| Compression coefficient | 0.5 | |
| SABO | Random variable | [0, 1] |
| SAO | Degree-day factor | [0.35, 0.6] |
| Random variable | [−1, 1] | |
| EWWPA | Random variable | [0, 2] |
| Random variable | [0, 1] | |
| Random variable | [0, 2] | |
| Exponential number | [0, 1] | |
| Random variable | [−5, 5] | |
| Random variable | [−5, 5] | |
| YDSE | Random variable | [−1, 1] |
| Random variable | [−1, 1] | |
| Constant equal | 0.38 | |
| Random variable | [0, 1] | |
| Random variable | [0, 1] | |
| Random variable | [0, 1] | |
| Random variable | [−1, 1] | |
| Random variable | [−1, 1] | |
| Constant value | ||
| TSA | Random variable | [0, 1] |
| Random variable | [0, 1] | |
| Random variable | [0, 1] | |
| Initial speed | 1 | |
| Subordinate velocity | 4 | |
| Random variable | [0, 1] | |
| ETSA | Random variable | [0, 1] |
| Random variable | [0, 1] | |
| Random variable | [0, 1] | |
| Initial speed | 1 | |
| Subordinate velocity | 4 | |
| Random variable | [0, 1] | |
| Scaling factor | 0.7 |
| Datasets | Result | ETTAO | EPSA | SABO | SAO | EWWPA | YDSE | TSA | ETSA |
|---|---|---|---|---|---|---|---|---|---|
| Blood | Best | 0.316889 | 0.317249 | 0.310636 | 0.336686 | 0.320688 | 0.323835 | 0.319381 | 0.310442 |
| Worst | 0.347076 | 0.3498 | 0.340483 | 0.360053 | 0.36186 | 0.363015 | 0.418541 | 0.340643 | |
| Mean | 0.329963 | 0.327813 | 0.324835 | 0.348525 | 0.338287 | 0.342114 | 0.359617 | 0.323607 | |
| Std | 0.008784 | 0.007876 | 0.007238 | 0.006777 | 0.013991 | 0.011051 | 0.039013 | 0.009500 | |
| Accuracy | 77.65 | 75.82 | 75.59 | 75.12 | 75.39 | 75.51 | 75.10 | 78.82 | |
| Rank | 2 | 3 | 4 | 7 | 6 | 5 | 8 | 1 | |
| Scale | Best | 0.182407 | 0.189806 | 0.172261 | 0.192530 | 0.245989 | 0.179612 | 0.173735 | 0.171205 |
| Worst | 0.35483 | 0.447578 | 0.310832 | 0.430892 | 0.526096 | 0.449029 | 0.632089 | 0.282578 | |
| Mean | 0.252972 | 0.292112 | 0.239007 | 0.308002 | 0.34715 | 0.262735 | 0.427023 | 0.214141 | |
| Std | 0.045064 | 0.060025 | 0.042564 | 0.065262 | 0.06342 | 0.077169 | 0.120217 | 0.031758 | |
| Accuracy | 77.91 | 75.42 | 80.12 | 74.55 | 63.99 | 83.26 | 44.84 | 87.79 | |
| Rank | 4 | 5 | 3 | 6 | 7 | 2 | 8 | 1 | |
| Survival | Best | 0.367473 | 0.357848 | 0.368378 | 0.389332 | 0.37657 | 0.371807 | 0.397835 | 0.355298 |
| Worst | 0.394822 | 0.395185 | 0.425968 | 0.419753 | 0.4137 | 0.458642 | 0.459638 | 0.404498 | |
| Mean | 0.383053 | 0.376636 | 0.395945 | 0.405153 | 0.401543 | 0.400975 | 0.408877 | 0.382667 | |
| Std | 0.007578 | 0.010251 | 0.015060 | 0.009175 | 0.009251 | 0.020896 | 0.019368 | 0.011602 | |
| Accuracy | 78.08 | 78.13 | 77.55 | 78.17 | 79.43 | 76.44 | 75.00 | 80.77 | |
| Rank | 5 | 4 | 6 | 3 | 2 | 7 | 8 | 1 | |
| Liver | Best | 0.428964 | 0.415928 | 0.412947 | 0.465486 | 0.455195 | 0.451656 | 0.436205 | 0.424381 |
| Worst | 0.469874 | 0.475434 | 0.478378 | 0.485210 | 0.483358 | 0.485116 | 0.483295 | 0.462536 | |
| Mean | 0.455258 | 0.446192 | 0.452827 | 0.476293 | 0.473401 | 0.472646 | 0.459743 | 0.445463 | |
| Std | 0.012054 | 0.015585 | 0.014434 | 0.004854 | 0.008757 | 0.009367 | 0.012871 | 0.010707 | |
| Accuracy | 49.87 | 52.33 | 50.17 | 46.65 | 52.12 | 46.39 | 47.88 | 61.02 | |
| Rank | 5 | 2 | 4 | 7 | 3 | 8 | 6 | 1 | |
| Seeds | Best | 0.085245 | 0.166826 | 0.058547 | 0.100719 | 0.123138 | 0.071942 | 0.071920 | 0.069260 |
| Worst | 0.177658 | 0.599621 | 0.359525 | 0.244604 | 0.467159 | 0.187050 | 0.558932 | 0.218142 | |
| Mean | 0.123783 | 0.335809 | 0.110513 | 0.183878 | 0.285071 | 0.128777 | 0.312577 | 0.106494 | |
| Std | 0.020289 | 0.122721 | 0.075121 | 0.038772 | 0.09158 | 0.029973 | 0.127991 | 0.034834 | |
| Accuracy | 79.37 | 60.07 | 81.34 | 75.35 | 60.70 | 79.79 | 32.25 | 91.55 | |
| Rank | 4 | 7 | 2 | 5 | 6 | 3 | 8 | 1 | |
| Wine | Best | 0.068164 | 0.190324 | 0.031128 | 0.170940 | 0.319797 | 0.094017 | 0.026969 | 0.044282 |
| Worst | 0.34188 | 0.384862 | 0.236198 | 0.478632 | 0.64613 | 0.299145 | 0.475471 | 0.143103 | |
| Mean | 0.155598 | 0.291944 | 0.089794 | 0.286180 | 0.462896 | 0.172222 | 0.231765 | 0.072509 | |
| Std | 0.065642 | 0.059593 | 0.050365 | 0.073876 | 0.084683 | 0.047326 | 0.118520 | 0.025277 | |
| Accuracy | 80.66 | 68.19 | 84.02 | 71.23 | 68.85 | 78.69 | 46.97 | 93.44 | |
| Rank | 3 | 7 | 2 | 5 | 6 | 4 | 8 | 1 | |
| Iris | Best | 0.058682 | 0.060606 | 0.038514 | 0.090909 | 0.05618 | 0.040404 | 0.245448 | 0.040404 |
| Worst | 0.269259 | 0.413874 | 0.283007 | 0.461786 | 0.487202 | 0.474747 | 0.589213 | 0.268810 | |
| Mean | 0.128795 | 0.20602 | 0.106206 | 0.228221 | 0.328889 | 0.117677 | 0.357722 | 0.112052 | |
| Std | 0.060784 | 0.096333 | 0.056131 | 0.105334 | 0.108598 | 0.096122 | 0.116241 | 0.069511 | |
| Accuracy | 82.84 | 60.29 | 72.06 | 70.00 | 57.98 | 78.73 | 55.33 | 98.04 | |
| Rank | 2 | 6 | 4 | 5 | 7 | 3 | 8 | 1 | |
| Statlog | Best | 0.234784 | 0.249537 | 0.180338 | 0.286014 | 0.286166 | 0.264045 | 0.211078 | 0.216368 |
| Worst | 0.288495 | 0.301754 | 0.275562 | 0.421348 | 0.394453 | 0.376404 | 0.350271 | 0.273629 | |
| Mean | 0.265886 | 0.281697 | 0.212137 | 0.359834 | 0.327289 | 0.330609 | 0.294522 | 0.235184 | |
| Std | 0.014557 | 0.015801 | 0.022756 | 0.033623 | 0.031451 | 0.033907 | 0.048660 | 0.016115 | |
| Accuracy | 76.25 | 73.48 | 79.13 | 64.89 | 77.17 | 74.02 | 67.63 | 84.78 | |
| Rank | 4 | 6 | 2 | 8 | 3 | 5 | 7 | 1 | |
| XOR | Best | 0 | 0 | 0 | 0 | 0 | 0 | 0 | |
| Worst | 0.5 | 0.5 | 0.500000 | 0.333463 | 0.424648 | 0.250000 | 0.416680 | 0.500000 | |
| Mean | 0.196727 | 0.2 | 0.171365 | 0.112394 | 0.168183 | 0.087376 | 0.174735 | 0.030541 | |
| Std | 0.237589 | 0.191943 | 0.231167 | 0.125022 | 0.140049 | 0.122168 | 0.156624 | 0.113236 | |
| Accuracy | 31.25 | 50.00 | 26.25 | 31.25 | 50.00 | 26.25 | 25.52 | 75 | |
| Rank | 4 | 3 | 5 | 4 | 2 | 5 | 6 | 1 | |
| Balloon | Best | 0 | 0 | 0 | 0 | 0 | 0 | 0 | 0 |
| Worst | 0.2 | 0.287952 | 0.100000 | 0 | 0.261272 | 0 | 0.240000 | 0 | |
| Mean | 0.01 | 0.044607 | 0.005000 | 0 | 0.100872 | 0 | 0.058667 | 0 | |
| Std | 0.044721 | 0.086795 | 0.022361 | 0 | 0.084157 | 0 | 0.089798 | 0 | |
| Accuracy | 56.00 | 49.50 | 70 | 100 | 54.00 | 100 | 82.00 | 100 | |
| Rank | 4 | 5 | 3 | 1 | 1 | 2 | 1 | ||
| Cancer | Best | 0.052101 | 0.085435 | 0.046745 | 0.055092 | 0.057527 | 0.051753 | 0.048368 | 0.043406 |
| Worst | 0.268777 | 0.265122 | 0.258809 | 0.117259 | 0.265255 | 0.080134 | 0.384836 | 0.061780 | |
| Mean | 0.076507 | 0.153148 | 0.095172 | 0.087726 | 0.135837 | 0.065609 | 0.178133 | 0.052799 | |
| Std | 0.04648 | 0.054871 | 0.059243 | 0.015037 | 0.07758 | 0.008885 | 0.101541 | 0.004563 | |
| Accuracy | 90.35 | 69.05 | 84.25 | 86.80 | 60.00 | 90.65 | 79.35 | 99 | |
| Rank | 3 | 7 | 5 | 4 | 8 | 2 | 6 | 1 | |
| Diabetes | Best | 0.328746 | 0.335416 | 0.327375 | 0.383635 | 0.351005 | 0.400417 | 0.331844 | 0.331600 |
| Worst | 0.368271 | 0.398871 | 0.382611 | 0.463778 | 0.441733 | 0.491124 | 0.470493 | 0.368422 | |
| Mean | 0.349953 | 0.36666 | 0.351470 | 0.424394 | 0.398097 | 0.459869 | 0.400600 | 0.346061 | |
| Std | 0.011186 | 0.01839 | 0.016199 | 0.020728 | 0.027286 | 0.024276 | 0.029280 | 0.010700 | |
| Accuracy | 74.46 | 75.09 | 73.60 | 61.59 | 63.64 | 70.50 | 60.92 | 79.69 | |
| Rank | 3 | 2 | 4 | 7 | 6 | 5 | 8 | 1 | |
| Gene | Best | 0.158431 | 0.228571 | 0.526805 | 0.285714 | 0.335118 | 0.242857 | 0.270041 | 0.053199 |
| Worst | 0.357143 | 0.362285 | 0.830130 | 0.400000 | 0.865535 | 0.357143 | 0.376766 | 0.300327 | |
| Mean | 0.259137 | 0.297735 | 0.779026 | 0.351833 | 0.386544 | 0.310714 | 0.318861 | 0.157217 | |
| Std | 0.065732 | 0.037348 | 0.066641 | 0.031232 | 0.114128 | 0.027761 | 0.032738 | 0.057520 | |
| Accuracy | 13.89 | 13.89 | 0 | 4.02 | 8.33 | 3.33 | 5.56 | 22.22 | |
| Rank | 2 | 2 | 7 | 5 | 3 | 6 | 4 | 1 | |
| Parkinson | Best | 0.081809 | 0.155039 | 0.114286 | 0.124031 | 0.15024 | 0.085271 | 0.076804 | 0.048982 |
| Worst | 0.358967 | 0.27907 | 0.330902 | 0.232558 | 0.329904 | 0.224806 | 0.313069 | 0.128458 | |
| Mean | 0.158529 | 0.225688 | 0.247639 | 0.173051 | 0.204651 | 0.131432 | 0.146357 | 0.091221 | |
| Std | 0.070283 | 0.034611 | 0.089362 | 0.030517 | 0.040259 | 0.030430 | 0.063948 | 0.021407 | |
| Accuracy | 64.32 | 60.30 | 56.82 | 63.94 | 62.95 | 63.94 | 59.92 | 75.76 | |
| Rank | 2 | 5 | 7 | 3 | 4 | 3 | 6 | 1 | |
| Splice | Best | 0.305403 | 0.421545 | 0.878960 | 0.451515 | 0.4688 | 0.398485 | 0.371956 | 0.253672 |
| Worst | 0.389753 | 0.49544 | 0.909569 | 0.650000 | 0.817532 | 0.601515 | 0.946633 | 0.356823 | |
| Mean | 0.356072 | 0.455426 | 0.896545 | 0.538283 | 0.525668 | 0.499394 | 0.728602 | 0.321266 | |
| Std | 0.026076 | 0.016927 | 0.007243 | 0.052382 | 0.096066 | 0.047601 | 0.182258 | 0.027700 | |
| Accuracy | 62.50 | 50.59 | 9.89 | 61.06 | 37.94 | 62.99 | 41.47 | 75 | |
| Rank | 3 | 5 | 8 | 4 | 7 | 2 | 6 | 1 | |
| WDBC | Best | 0.060753 | 0.113178 | 0.068487 | 0.114213 | 0.104215 | 0.083756 | 0.036240 | 0.042878 |
| Worst | 0.187882 | 0.303816 | 0.501979 | 0.294786 | 0.301424 | 0.177665 | 0.399487 | 0.083286 | |
| Mean | 0.09893 | 0.220109 | 0.154498 | 0.172528 | 0.212006 | 0.117390 | 0.144009 | 0.064770 | |
| Std | 0.02861 | 0.045492 | 0.121842 | 0.038787 | 0.054668 | 0.023614 | 0.121344 | 0.010727 | |
| Accuracy | 89.36 | 83.94 | 89.67 | 86.64 | 80.79 | 87.70 | 79.18 | 95.15 | |
| Rank | 3 | 6 | 2 | 5 | 7 | 4 | 8 | 1 | |
| Zoo | Best | 0.164179 | 0.358209 | 0.108685 | 0.238806 | 0.471358 | 0.179104 | 0.082274 | 0.029851 |
| Worst | 0.492537 | 0.722198 | 0.388060 | 0.506355 | 0.701371 | 0.432836 | 1.216725 | 0.194411 | |
| Mean | 0.287703 | 0.535868 | 0.195615 | 0.382816 | 0.58655 | 0.300746 | 0.572167 | 0.098595 | |
| Std | 0.081806 | 0.077119 | 0.075681 | 0.087923 | 0.062165 | 0.071543 | 0.318021 | 0.047253 | |
| Accuracy | 54.12 | 41.18 | 63.68 | 52.35 | 41.18 | 56.03 | 57.95 | 82.35 | |
| Rank | 5 | 7 | 2 | 6 | 7 | 4 | 3 | 1 |
| Datasets | ETTAO | EPSA | SABO | SAO | EWWPA | YDSE | TSA |
|---|---|---|---|---|---|---|---|
| Blood | |||||||
| Scale | |||||||
| Survival | |||||||
| Liver | |||||||
| Seeds | |||||||
| Wine | |||||||
| Iris | |||||||
| Statlog | |||||||
| XOR | |||||||
| Balloon | |||||||
| Cancer | |||||||
| Diabetes | |||||||
| Gene | |||||||
| Parkinson | |||||||
| Splice | |||||||
| WDBC | |||||||
| Zoo |
Disclaimer/Publisher’s Note: The statements, opinions and data contained in all publications are solely those of the individual author(s) and contributor(s) and not of MDPI and/or the editor(s). MDPI and/or the editor(s) disclaim responsibility for any injury to people or property resulting from any ideas, methods, instructions or products referred to in the content. |
© 2024 by the authors. Licensee MDPI, Basel, Switzerland. This article is an open access article distributed under the terms and conditions of the Creative Commons Attribution (CC BY) license (https://creativecommons.org/licenses/by/4.0/).
Share and Cite
Du, C.; Zhang, J. An Enhanced Tunicate Swarm Algorithm with Symmetric Cooperative Swarms for Training Feedforward Neural Networks. Symmetry 2024, 16, 866. https://doi.org/10.3390/sym16070866
Du C, Zhang J. An Enhanced Tunicate Swarm Algorithm with Symmetric Cooperative Swarms for Training Feedforward Neural Networks. Symmetry. 2024; 16(7):866. https://doi.org/10.3390/sym16070866
Chicago/Turabian StyleDu, Chengtao, and Jinzhong Zhang. 2024. "An Enhanced Tunicate Swarm Algorithm with Symmetric Cooperative Swarms for Training Feedforward Neural Networks" Symmetry 16, no. 7: 866. https://doi.org/10.3390/sym16070866
APA StyleDu, C., & Zhang, J. (2024). An Enhanced Tunicate Swarm Algorithm with Symmetric Cooperative Swarms for Training Feedforward Neural Networks. Symmetry, 16(7), 866. https://doi.org/10.3390/sym16070866
