Abstract
This paper studies the Bondi–Metzner–Sachs group in homogeneous projective coordinates because it is then possible to write all transformations of such a group in a manifestly linear way. The 2-sphere metric, the Bondi–Metzner–Sachs metric, asymptotic Killing vectors, generators of supertranslations as well as boosts and rotations of Minkowski spacetime are all re-expressed in homogeneous projective coordinates. Lastly, the integral curves of vector fields which generate supertranslations are evaluated in detail. This work paves the way for more advanced applications of the geometry of asymptotically flat spacetime in projective coordinates by virtue of the tools provided from complex analysis in several variables and projective geometry.
1. Introduction
The Bondi–Metzner–Sachs [,,] asymptotic symmetry group of asymptotically flat spacetime has received much attention over the last decade by virtue of its relevance to black-hole physics [,,], the group-theoretical structure of general relativity [,,,,,,,,,,,,,] and the infrared structure of fundamental interactions [,,,,]. Moreover, since asymptotic symmetries can provide key constraints on the celestial dual to quantum gravity in flat spacetime, much work has been devoted to the celestial holography program and related issues [,,,,,,].
The appropriate geometric framework can be summarized as follows. In spacetime models for which null infinity can be defined, the cuts of null infinity are spacelike two-dimensional surfaces orthogonal to the generators of null infinity []. Using the familiar stereographic coordinate
the first half of Bondi–Metzner–Sachs transformations read as
where the matrix has unit determinant and belongs therefore to the group . The resulting projective version of the special linear group can be defined as the space of pairs
i.e., the group of fractional linear maps according to Equation (2) with the associated matrix . Since
one can write that is the quotient space , where is the homeomorphism defined by
The fractional linear maps (2) can be defined for all values of upon requiring that
Moreover, using fractional linear maps, lengths along the generators of null infinity scale according to
where the conformal factor is given by [,]
By integration, Equation (7) yields the second half of Bondi–Metzner–Sachs transformations:
As was pointed out in Ref. [], the complex homogeneous coordinates associated with the Bondi–Metzner–Sachs transformation (2) have modulus , which is the equation of a unit circle, and are
In other words, given that
Equation (2) is equivalent to the linear transformation law
The next step of the program initiated in Ref. [] consists of realizing that, much in the same way as the affine transformations in the Euclidean plane
can be re-expressed with the help of a matrix in the form
one can further re-express Equation (12) with the help of a matrix in the form
with the understanding that Equation (12) is the restriction to the unit circle of the map (15), upon defining
Within this extended framework, one can consider two complex projective planes []. Let P be a point of the first plane with coordinates , and let be a point of the second plane, with coordinates . One can now consider the nine products between a complex coordinate of P and a complex coordinate of , i.e.,
This equation provides the coordinate description of the Segre manifold [,], which is the projective image of the product of projective spaces. It is a natural tool for accommodating the transformations that reduce to the BMS transformations upon restriction to the unit circle . It contains a complex double infinity of planes, two arrays of planes and a complex fourfold infinity of quadrics [,], but its differential geometry is still largely unexplored, as far as we know.
Unlike Ref. [], we have a more concrete task: since the Bondi–Metzner–Sachs transformation (2) becomes linear when expressed in terms of and , we are aiming to develop the Bondi–Metzner–Sachs formalism with the associated Killing vector fields by using the pair of variables instead of . For this purpose, the homogeneous projective coordinates for the 2-sphere are studied in Section 2, while the Bondi–Sachs metric in homogeneous coordinates is considered in Section 3. Asymptotic Killing fields for supertranslations are evaluated in Section 4, while their flow is investigated in Section 5. Concluding remarks and open problems are presented in Section 6, while technical details are provided in the Appendix A and Appendix B.
2. Homogeneous Coordinates on the 2-Sphere
It is useful to developing the BMS formalism as an instrument in homogeneous coordinates to re-write the 2-sphere metric in the desired coordinates. By using the definition (10), we obtain
while for , we obtain
By virtue of the identity
we obtain for the more convenient expression
In order to re-express the 2-sphere metric, let us evaluate
while
Eventually, we obtain the metric for the 2-sphere in homogeneous coordinates
At this stage, upon defining the real-valued function
we can write the matrix of metric components in the form
with non-vanishing determinant and inverse matrix
We can see from (18) that the terms
are real-valued, whereas
are complex.
3. Bondi–Sachs Metric in Homogeneous Coordinates
We can now write the Bondi–Sachs (hereafter BS) metric in homogeneous coordinates with the help of the previous formulae. For this purpose, let us first write the general BS metric in the form
On passing from to coordinates, we find the metric components of (27) expressed as follows (the material from our Equation (28) to our Equation (43) can be obtained from Equations (4.33), (4.35) and (4.37) in Ref. [], which relies in turn upon the work in Ref. []):
The Bondi gauge implies that , where is given in Equation (26). With our coordinates, this relation reads as
We no longer have the simple result for the mixed component as in the stereographic coordinates because in homogeneous coordinates we obtain
which implies that
The angular components of the metric are
where, of course, is given in Equation (25). These formulae, jointly with the falloff conditions
help to rewrite
Upon assuming that , we obtain
while for and , we find
and
where use has been made of (34). Eventually, we obtain the matrix of Bondi metric components
The gauge condition , instead of giving a solution for such as in stereographic coordinates, gives us a condition for
In order to determine the various coefficients in the falloff conditions, we require that the Bondi metric should satisfy the Einstein equations
Upon restricting to the vacuum case , in the limit as r approaches ∞ in the Einstein tensor, first looking at , and neglecting the terms of order , we obtain
Upon looking at and , respectively, we obtain lengthy relations for and , compared to the stereographic coordinates case, which depend on other coefficients. However, we still manage to solve directly for and . On studying , we find
and
where we recall that is given in Equation (34). By virtue of Equations (38) and (39) we eventually find the metric in the form
For the discussion of Bondi’s news tensor, mass and angular momentum aspects we refer again to the work in Refs. [,]. Now, we are ready to evaluate the BMS generators in homogeneous coordinates in order to determine the supertranslations.
4. Asymptotic Killing Fields
After finding the most general Bondi metric in homogeneous coordinates satisfying the asymptotically flat spacetime falloffs, our aim is to find the most general vector fields satisfying the Bondi gauge condition and the asymptotically flat spacetime falloffs. As is well known, the Killing vectors solve by definition the equations
Moreover, the preservation of the Bondi gauge condition yields
From these relations, one can calculate the four components of . At this stage, we can compute the asymptotic Killing fields in homogeneous coordinates by using the familiar transformation law of vector fields. In other words, the work in Ref. [] has defined the stereographic variable (we write rather than z used in Ref. [], in order to avoid confusion with our in Equation (1))
and has found, in Bondi coordinates , the asymptotic Killing fields where the components depend on a function f and on the Bondi coordinates. On denoting as usual by the spherical harmonics on the 2-sphere, one finds
Now, by virtue of the basic identities
and upon exploiting the formulae (A7)–(A10) in the Appendix A, we find
Now, we denote by the vector fields (46), (52), (53) and (54), respectively. Nontrivial Lie brackets among them involve only. With our notation, we can re-write Equations (52)–(54) in the form
where the values taken by the functions can be read off from (52)–(54). At this stage, a patient evaluation proves that such vector fields have vanishing Lie brackets:
The result is simple, but the actual proof requires several details, for which we refer the reader to Appendix B.
5. Flow of Supertranslation Vector Fields
The analysis in this section does not have a direct impact on unsolved problems but (as far as we can see) can help the general reader. More precisely, in order to appreciate that the familiar geometric constructions are also feasible in projective coordinates, we now consider the flow of supertranslation vector fields (52)–(54). For example, by virtue of (24), and defining , the task of finding the flow of the supertranslation vector fields (52), (53) and (54) consists of solving a system of nonlinear and coupled differential equations. For this purpose, we denote by , respectively, the appropriate flow, and define
where , respectively, with components . Hence, we study the following coupled systems of nonlinear differential equations:
with the initial conditions
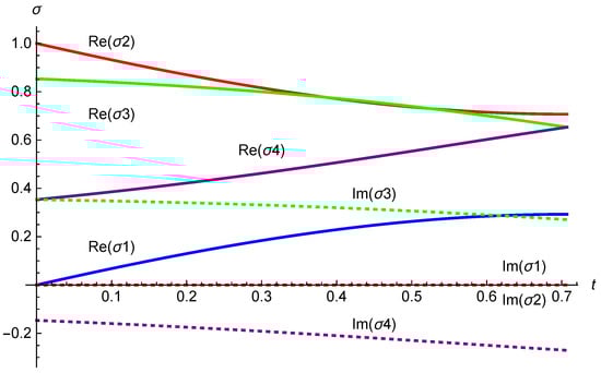
The resulting equations can only be solved numerically to the best of our knowledge, and such solutions are displayed in Figure 1, Figure 2, Figure 3, Figure 4, Figure 5, Figure 6, Figure 7, Figure 8 and Figure 9. Since the desired solutions are complex-valued, we display both real and imaginary parts, with three choices of initial conditions.

Figure 1.
Numerical evaluation of the integral curve for the supertranslation vector field (52). The initial conditions (72) are taken to be .

Figure 2.
Numerical evaluation of the integral curve for the supertranslation vector field (53). The initial conditions (72) are taken to be .

Figure 3.
Numerical evaluation of the integral curve for the supertranslation vector field (54). The initial conditions (72) are taken to be .

Figure 4.
Numerical evaluation of the integral curve for the supertranslation vector field (52). The initial conditions (72) are taken to be .

Figure 5.
Numerical evaluation of the integral curve for the supertranslation vector field (53). The initial conditions (72) are taken to be .

Figure 6.
Numerical evaluation of the integral curve for the supertranslation vector field (54). The initial conditions (72) are taken to be .

Figure 7.
Numerical evaluation of the integral curve for the supertranslation vector field (52). The initial conditions (72) are taken to be . In this particular case, the real parts meet at a single point.

Figure 8.
Numerical evaluation of the integral curve for the supertranslation vector field (53). The initial conditions (72) are taken to be .

Figure 9.
Numerical evaluation of the integral curve for the supertranslation vector field (54). The initial conditions (72) are taken to be .
6. Concluding Remarks and Open Problems
As far as we can see, the interest of our investigation lies in having shown that homogeneous projective coordinates lead to a fully computational scheme for all applications of the BMS group. This might yield success when more advanced properties are studied. In particular, we have in mind the concept of super-rotations [,] on the one hand and the physical applications of the Segre manifold advocated in our Introduction and in Ref. []. In other words, since our Equation (15) contains Equation (12), which in turn is just a re-expression of the BMS transformation (2), one might aim at embedding the study of BMS symmetries into the richer mathematical framework of complex analysis in several variables [] and algebraic geometry. The exploitation of the complex analysis approach to algebraic geometry appears promising because the singular points of functions of several complex variables form a continuum (see definitions and theorems in Refs. [,]). The potentialities of this framework for studying, e.g., super-rotations were unforeseen and deserve careful consideration in our opinion. Our paper has tried to pave the way for such a synthesis through manageable calculations.
Moreover, we would like to mention that the research in Refs. [,,] has exploited the fact that one can actually work with a completely arbitrary metric on the asymptotic 2-sphere. By doing so, one can write the on-shell expression of and in our Section 3 in terms of this arbitrary 2-sphere metric. This might therefore provide a way to recover our results when taking the particular case in which the 2-sphere metric is expressed in homogeneous projective coordinates. We are grateful to M. Geiller for this remark and also for having brought to our attention the work in Ref. [], where the authors have written the solution space and the asymptotic Killing vectors and their action in the case of an even more general gauge than Bondi–Sachs.
Author Contributions
The authors have equally contributed to conceptual and technical parts of the paper. Conceptualization, G.E.; Methodology, G.F.V.; Formal analysis, G.E. and G.F.V.; Investigation, G.E. and G.F.V. All authors have read and agreed to the published version of the manuscript.
Funding
This research received no external funding.
Data Availability Statement
No new data were created or analyzed in this study. Data sharing is not applicable to this article.
Acknowledgments
The authors are grateful to Patrizia Vitale for encouraging their collaboration. G. Esposito is grateful to INDAM for membership.
Conflicts of Interest
The authors declare no conflicts of interest.
Appendix A. The Use of Homogeneous Coordinates
By virtue of Equations (10) and (24), we find
and hence the variable in Equation (45) can be re-expressed in the form
while
Moreover, we need the identities
which, jointly with the definitions (10), lead to
At this stage, we can evaluate the partial derivatives occurring in Equations (50) and (51) by patient application of Equations (A2), (A3) and (A6), i.e.,
and we eventually find the asymptotic Killing fields in the form (52)–(54). Our homogeneous projective coordinates and have also been considered in Ref. [], but in that case, upon writing
one finds that the coordinates for the embedding of the 2-sphere in three-dimensional Euclidean space are given by
The global spacetime translations of Minkowski spacetime can be first re-expressed in coordinates, and read eventually, in terms of the asymptotic Killing fields (52)–(54),
Explicitly, we find
The boost () and rotation () vector fields for Lorentz transformations in Minkowski spacetime can be written in coordinates as is shown, for example, in Ref. []. At that stage, by using again Equations (50), (51) and (A7)–(A10) we find
Appendix B. Lie Brackets of Asymptotic Killing Fields
Given the vector fields (55) and (56), the evaluation of their Lie bracket shows that
where, upon defining the functions
we find that
In the course of performing the calculation, the definition (24) leads to the useful identity
An analogous procedure shows that
with the help of two additional sets of 14 nonvanishing functions, one set for each Lie bracket in (A44). For example, in the Lie bracket among and , the coefficient of is the function
References
- Bondi, H.; van der Burg, M.G.J.; Metzner, A.W.K. Gravitational waves in general relativity. VII. Waves from axi-symmetric isolated systems. Proc. R. Soc. Lond. A 1962, 269, 21. [Google Scholar]
- Sachs, R.K. Gravitational waves in general relativity. VIII. Waves in asymptotically flat space-time. Proc. R. Soc. Lond. A 1962, 270, 103. [Google Scholar]
- Sachs, R.K. Asymptotic symmetries in gravitational theory. Phys. Rev. 1962, 128, 2851. [Google Scholar] [CrossRef]
- Hawking, S.W.; Perry, M.A.; Strominger, A. Soft hair on black holes. Phys. Rev. Lett. 2016, 116, 231301. [Google Scholar] [CrossRef] [PubMed]
- Hawking, S.W.; Perry, M.A.; Strominger, A. Superrotation charge and supertranslation hair on black holes. J. High Energy Phys. 2017, 2017, 161. [Google Scholar] [CrossRef]
- Haco, S.; Hawking, S.W.; Perry, M.A.; Strominger, A. Black hole entropy and soft hair. J. High Energy Phys. 2018, 2018, 98. [Google Scholar] [CrossRef]
- McCarthy, P.J. Representations of the Bondi-Metzner-Sachs group I. Determination of the representations. Proc. R. Soc. Lond. A 1972, 330, 517. [Google Scholar]
- McCarthy, P.J. Structure of the Bondi-Metzner-Sachs group. J. Math. Phys. 1972, 13, 1837. [Google Scholar] [CrossRef]
- McCarthy, P.J. Representations of the Bondi-Metzner-Sachs group II. Properties and classification of representations. Proc. R. Soc. Lond. A 1973, 333, 317. [Google Scholar]
- McCarthy, P.J.; Crampin, M. Representations of the Bondi-Metzner-Sachs group III. Poincaré spin multiplicities and irreducibility. Proc. R. Soc. Lond. A 1973, 335, 321. [Google Scholar]
- McCarthy, P.J.; Crampin, M. Representations of the Bondi-Metzner-Sachs group IV. Cantoni representations are induced. Proc. R. Soc. Lond. A 1976, 351, 55. [Google Scholar]
- Barnich, G.; Troessaert, C. Finite BMS transformations. J. High Energy Phys. 2016, 2016, 167. [Google Scholar] [CrossRef]
- Alessio, F.; Esposito, G. On the structure and applications of the Bondi-Metzner-Sachs group. Int. J. Geom. Methods Mod. Phys. 2018, 15, 1830002. [Google Scholar] [CrossRef]
- Henneaux, M.; Troessaert, C. BMS group at spatial infinity. The Hamiltonian (ADM) approach. J. High Energy Phys. 2018, 2018, 147. [Google Scholar] [CrossRef]
- Barnich, G.; Nguyen, K.; Ruzziconi, R. Geometric action of extended Bondi-Metzner-Sachs group in four dimensions. J. High Energy Phys. 2022, 2022, 154. [Google Scholar] [CrossRef]
- Chowdhury, C.; Anupam, A.; Kundu, A. Generalized BMS algebra in higher even dimensions. Phys. Rev. D 2022, 106, 126025. [Google Scholar] [CrossRef]
- Fuentealba, O.; Henneaux, M.; Matulich, J.; Troessaert, C. Bondi-Metzner-Sachs group in five spacetime dimensions. Phys. Rev. Lett. 2022, 128, 051103. [Google Scholar] [CrossRef] [PubMed]
- Prinz, D.; Schmeding, A. Lie theory for asymptotic symmetries in general relativity: The BMS group. Class. Quantum Grav. 2022, 39, 065004. [Google Scholar] [CrossRef]
- Mirzaiyan, Z.; Esposito, G. On the nature of Bondi-Metzner-Sachs transformations. Symmetry 2023, 15, 947. [Google Scholar] [CrossRef]
- Weiss, D.A. A microscopic analogue of the BMS group. J. High Energy Phys. 2023, 2023, 136. [Google Scholar] [CrossRef]
- He, T.; Lysov, V.; Mitra, P.; Strominger, A. BMS supertranslations and Weinberg’s soft graviton theorem. J. High Energy Phys. 2015, 2015, 151. [Google Scholar] [CrossRef]
- Strominger, A. Lectures on the Infrared Structure of Gravity and Gauge Theory; Princeton University Press: Princeton, NJ, USA, 2018. [Google Scholar]
- Pasterski, S. Implications of superrotations. Phys. Rep. 2019, 829, 1. [Google Scholar] [CrossRef]
- Himwich, E.; Mirzaiyan, Z.; Pasterski, S. A note on the subleading soft graviton. J. High Energy Phys. 2021, 2021, 172. [Google Scholar] [CrossRef]
- Compère, G.; Gralla, S.E. An asymptotic framework for gravitational scattering. Class. Quantum Grav. 2023, 40, 205018. [Google Scholar] [CrossRef]
- Fotopoulos, A.; Stieberger, S.; Taylor, T.R.; Zhu, B. Extended super BMS algebra of celestial CFT. J. High Energy Phys. 2020, 2020, 198. [Google Scholar] [CrossRef]
- Donnay, L.; Ruzziconi, R. BMS flux algebra in celestial holography. J. High Energy Phys. 2021, 2021, 40. [Google Scholar] [CrossRef]
- Donnay, L.; Fiorucci, A.; Herfray, Y.; Ruzziconi, R. Carrollian perspective on celestial holography. Phys. Rev. Lett. 2022, 129, 071602. [Google Scholar] [CrossRef]
- Donnay, L.; Fiorucci, A.; Herfray, Y.; Ruzziconi, R. Bridging Carrollian and celestial holography. Phys. Rev. D 2023, 107, 126027. [Google Scholar] [CrossRef]
- Bagchi, A.; Divakar, P.; Dutta, S. Holography in flat spacetimes: The case for Carroll. arXiv 2023, arXiv:2311.11246. [Google Scholar]
- Chen, B.; Hu, Z. Bulk reconstruction in flat holography. J. High Energy Phys. 2024, 2024, 064. [Google Scholar] [CrossRef]
- Hao, Z.; Taylor, M. Flat holography and celestial shockwaves. J. High Energy Phys. 2024, 2024, 090. [Google Scholar] [CrossRef]
- Stewart, J.M. Advanced General Relativity; Cambridge University Press: Cambridge, UK, 1990. [Google Scholar]
- Caccioppoli, R. Teoria delle Funzioni di Più Variabili Complesse; Carbone, L., Esposito, G., Dell’Aglio, L., Tomassini, G., Eds.; Memorie dell’Accademia di Scienze Fisiche e Matematiche: Napoli, Italy, 2022; Volume 10. [Google Scholar]
- Beltrametti, M.C.; Carletti, E.; Gallarati, D.; Bragadin, G.M. Letture su Curve, Superfici e Varietà Proiettive Speciali. Introduzione alla Geometria Algebrica; Bollati Boringhieri: Torino, Italy, 2003. [Google Scholar]
- Barnich, G.; Troessaert, C. Aspects of the BMS/CFT correspondence. J. High Energy Phys. 2010, 2010, 062. [Google Scholar] [CrossRef]
- Tamburino, L.A.; Winicour, J.H. Gravitational fields in finite and conformal Bondi frames. Phys. Rev. 1966, 150, 1039. [Google Scholar] [CrossRef]
- Della Sala, G.; Saracco, A.; Simioniuc, A.; Tomassini, G. Lectures on Complex Analysis and Analytic Geometry; Scuola Normale Superiore: Pisa, Italy, 2006. [Google Scholar]
- Barnich, G.; Troessaert, C. BMS charge algebra. J. High Energy Phys. 2011, 2011, 105. [Google Scholar] [CrossRef]
- Freidel, L.; Oliveri, R.; Pranzetti, D.; Speziale, S. The Weyl BMS group and Einstein’s equations. J. High Energy Phys. 2021, 2021, 170. [Google Scholar] [CrossRef]
- Geiller, M.; Zwikel, C. The partial Bondi gauge: Further enlarging the asymptotic structure of gravity. arXiv 2022, arXiv:2205.11401. [Google Scholar] [CrossRef]
- Penrose, R.; Rindler, W. Spinors and Space-Time. 1: Two-Spinor Calculus and Relativistic Fields; Cambridge University Press: Cambridge, UK, 1984. [Google Scholar]
Disclaimer/Publisher’s Note: The statements, opinions and data contained in all publications are solely those of the individual author(s) and contributor(s) and not of MDPI and/or the editor(s). MDPI and/or the editor(s) disclaim responsibility for any injury to people or property resulting from any ideas, methods, instructions or products referred to in the content. |
© 2024 by the authors. Licensee MDPI, Basel, Switzerland. This article is an open access article distributed under the terms and conditions of the Creative Commons Attribution (CC BY) license (https://creativecommons.org/licenses/by/4.0/).