Symmetry-Enhanced Fuzzy Logic Analysis in Parallel and Cross-Road Scenarios: Optimizing Direction and Distance Weights for Map Matching
Abstract
1. Introduction
- (1)
- Parallel road segments: we analyze the impact of distance and connectivity information weights on the matching accuracy and derive an empirical formula for setting segmentation points for distance information membership functions to optimize the matching accuracy.
- (2)
- Intersection road segments: we summarize the impact of distance, direction, and connectivity information weights on the matching accuracy and identify a method for setting the direction information membership function.
2. Preliminaries
2.1. Summary of the Input Data
- Trajectory: the trajectory of a moving item is a series of GPS points that document its movement over a given time interval [X, Y].
- Digital road network: Topological and geometric data are present in all road networks. The primary classifications of a road network include intersections, squares, urban, rural, and highway routes. A road network created in a computer environment that resembles a real network map is called a digital road network.
2.2. Map-Matching Process
2.3. Fuzzy Logic System
3. Fuzzy Logic-Based Map-Matching Algorithm
3.1. Determination of Membership Function
3.2. Setting of Information Weight
3.3. Algorithm
| Algorithm 1: Enhanced fuzzy logic map-matching algorithm |
| Input: The algorithm takes as input a GPS trajectory represented by ‘trajectory = {p1, p2, …, pm}’ and a digital road network described by ‘roadnetwork = {(e1, (v1, v2), l1), (e2, (v2, v3), l2),…, (en, (vn, vp), lr)}’. Output: It generates a map-matched trajectory denoted as ‘matchedtrajectory = {(p1, e1), …, (pm, em)}’. 1: Convert the GPS trajectory ‘trajectory’ into a Spatial Object. |
| 2: Construct the digital road network ‘roads’ based on the information provided in ‘roadnetwork’. 3: Initialize the map-matching process with the ‘trajectory’ and; ‘roads’, storing the results in ‘list’. 4: Set ‘editedtrajectory’ to ‘list.trajectory’ and ’point-index’ to ‘list.index’. 5: Set ‘current-link’ to ‘list.currentlink’. 6: For each point index ‘j’ in ‘point-index’ do 7: Predict the matching value using Subsequent Map Matching-1 with parameters (‘editedtrajectory’, ‘roads’, ‘current-link’, ‘j’) and store the result in ‘predicted-value’. 8: If the ‘predicted-value’ is greater than or equal to 60 then 9: Assign the edge ID of the previous point to the current point: ‘editedtrajectory.EdgeID[j] = editedtrajectory.EdgeID[j − 1]’. 10: Else 11: Update ‘current-link’ using Subsequent Map Matching-2 with parameters (‘editedtrajectory’, ‘roads’, ‘current-link’, ‘j’). 12: Set the edge ID of the current link to the current point: ‘editedtrajectory.EdgeID = current-link.EdgeID’. 13: End if 14: End for 15: Convert the edited trajectory ‘editedtrajectory’ into a Spatial Point DataFrame, resulting in ‘matchedtrajectory’. 16: Return the map-matched trajectory ‘matchedtrajectory’. |
4. Analysis of the Influence of Parameter Setting on the Performance of Fuzzy Logic Algorithm
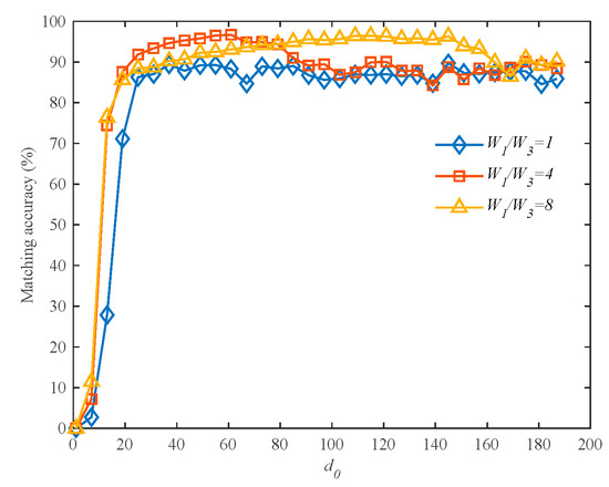
4.1. Parallel Road Scene
4.2. Cross-Section Scene
4.3. Ablation Study
5. Conclusions
Author Contributions
Funding
Data Availability Statement
Conflicts of Interest
References
- Holmberg, K. Map Matching by Optimization. Inst. Technol. 2015. Available online: https://urn.kb.se/resolve?urn=urn:nbn:se:liu:diva-113944 (accessed on 19 April 2024).
- Lou, Y.; Zhang, C.; Zheng, Y.; Xie, X.; Wang, W.H.; Huang, Y. Map-matching for Low-sampling-rate GPS Trajectories. In Proceedings of the ACM Sigspatial International Symposium on Advances in Geographic Information Systems, Acm-Gis 2009, Seattle, DC, USA, 4–6 November 2009; pp. 352–361. [Google Scholar]
- Hu, G.; Shao, J.; Liu, F.; Wang, Y.; Shen, H.T. IF-Matching: Towards Accurate Map-Matching with Information Fusion. IEEE Trans. Knowl. Data Eng. 2016, 29, 9–10. [Google Scholar]
- Wang, H.; Li, J.; Hou, Z.; Fang, R.; Mei, W.; Huang, J. Research on Parallelized Real-time Map Matching Algorithm for Massive GPS Data. Clust. Comput. 2017, 20, 1123–1134. [Google Scholar] [CrossRef]
- Huang, J.; Qie, J.; Liu, C.; Li, S.; Weng, J.; Lv, W. Cloud Computing-based Map-matching for Transportation Data Center. Electron. Commer. Res. Appl. 2015, 14, 431–443. [Google Scholar] [CrossRef]
- Miwa, T.; Kiuchi, D.; Yamamoto, T.; Morikawa, T. Development of Map Matching Algorithm for Low Frequency Probe Data. Transp. Res. Part C 2012, 22, 132–145. [Google Scholar] [CrossRef]
- Chao, P.; Xu, Y.; Hua, W.; Zhou, X. A survey on map-matching algorithms. In Proceedings of the Databases Theory and Applications: 31st Australasian Database Conference (ADC 2020), Melbourne, Australia, 3–7 February 2020. [Google Scholar]
- Chen, B.Y.; Yuan, H.; Li, Q.; Lam, W.H.; Shaw, S.-L.; Yan, K. Map-matching Algorithm for Large-scale Low-frequency Floating Car Data. Int. J. Geogr. Inf. Sci. 2014, 28, 22–38. [Google Scholar] [CrossRef]
- Hashemi, M.; Karimi, H.A. A Critical Review of Real-time Map-matching Algorithms: Current Issues and Future Directions. Comput. Environ. Urban Syst. 2014, 48, 153–165. [Google Scholar] [CrossRef]
- Wong, K.K.L. Cybernetical Intelligence: Engineering Cybernetics with Machine Intelligence, 1st ed.; The Institute of Electrical and Electronics Engineers, Inc.: Piscataway, NJ, USA; John Wiley & Sons, Inc.: London, UK, 2024; ISBN 9781394217489. [Google Scholar]
- Shi, W. A Probability-based Multi-measure Feature Matching Method in Map Conflation. Int. J. Remote Sens. 2009, 30, 5453–5472. [Google Scholar]
- Li, Z.; Li, X.; Shen, Z. A Map Matching Algorithm Based on Correlation Analysis. J. Hohai Univ. Nat. Sci. 2008, 43, 263–266. [Google Scholar]
- Zhao, X.; Cheng, X.; Zhou, J.; Xu, Z.; Dey, N.; Ashour, A.S.; Satapathy, S.C. Advanced Topological Map Matching Algorithm Based on D–S Theory. Arab. J. Sci. Eng. 2017, 43, 3863–3874. [Google Scholar] [CrossRef]
- Lin, H.U.; Zheng-Qi, G.U.; Yi, Y.; Jing, H. Map Matching in Vehicle Navigation Based on Weighted D-S Evidence Theory. China J. Highw. Transp. 2008, 21, 116–120. [Google Scholar]
- Zadeh, L.A. Fuzzy logic = computing with words. IEEE Trans. Fuzzy Syst. 1996, 4, 103–111. [Google Scholar] [CrossRef]
- Ren, M. A Fuzzy Logic Map Matching for Wheelchair Navigation. GPS Solut. 2012, 16, 273–282. [Google Scholar] [CrossRef]
- Kim, S.; Kim, J.H. Adaptive fuzzy-network-based C-measure map-matching algorithm for car navigation system. IEEE Trans. Ind. Electron. 2001, 48, 432–441. [Google Scholar]
- Yang, L.; Li, P.; Qian, S.; Quan, H.; Miao, J.; Liu, M.; Hu, Y.; Memetimin, E. Path Planning Technique for Mobile Robots: A Review. Machines 2023, 11, 980. [Google Scholar] [CrossRef]
- Quddus, M.A.; Noland, R.B.; Ochieng, W.Y. A High Accuracy Fuzzy Logic Based Map Matching Algorithm for Road Transport. J. Intell. Transp. Syst. 2006, 10, 103–115. [Google Scholar] [CrossRef]
- Wu, Q.; Gu, X.; Luo, J.; Zhang, P.; Fang, X. A Vehicle Map-matching Algorithm Based on Measure Fuzzy Sorting. J. Comput. 2014, 9, 1058–1065. [Google Scholar] [CrossRef]
- Dehghani, A.; Chehreghan, A.; Abbaspour, R.A. Matching of urban pathways in a multi-scale database using fuzzy reasoning. Geod. Cartogr. 2017, 43, 92–104. [Google Scholar] [CrossRef]
- Sun, D.; Wang, C. Map matching algorithm based on fuzzy pattern recognition for vehicle location. Comput. Eng. Appl. 2007, 42, 227–230. [Google Scholar]
- Wong, K.K.L. A geometrical perspective for the bargaining problem. PLoS ONE 2010, 5, e10331. [Google Scholar] [CrossRef]
- Zhang, T.; Yang, D.; Li, K.; Li, X. Fuzzy map-matching algorithm with confidence feedback for vehicle navigation. J. Tsinghua Univ. Sci. Technol. 2009, 49, 277–280. [Google Scholar]
- White, C.E.; Bernstein, D.; Kornhauser, A.L. Some map matching algorithms for personal navigation assistants. Transp. Res. Part C Emerg. Technol. 2000, 8, 91–108. [Google Scholar] [CrossRef]
- Quddus, M.A.; Ochieng, W.Y.; Noland, R.B. Current mapmatching algorithms for transport applications: State-of-the art and future research directions. Transp. Res. Part C Emerg. Technol. 2007, 15, 312–328. [Google Scholar] [CrossRef]
- Gorte, N.; Pebesma, E.; Stasch, C. Implementation of a Fuzzy Logic Based Map Matching Algorithm in R. In Proceedings of the 2004 National Technical Meeting of The Institute of Navigation, San Diego, CA, USA, 26–28 January 2004. [Google Scholar]
- Liu, M.; Lv, J.; Du, S.; Deng, Y.; Shen, X.; Zhou, Y. Multi-resource constrained flexible job shop scheduling problem with fixture-pallet combinatorial optimization. Comput. Ind. Eng. 2024, 188, 109903. [Google Scholar] [CrossRef]
- Zhou, Y.; Du, S.; Liu, M.; Shen, X. Machine-fixture-pallet resources constrained flexible job shop scheduling considering loading and unloading times under pallet automation system. J. Manuf. Syst. 2024, 73, 143–158. [Google Scholar] [CrossRef]
- Hewawasam, H.; Ibrahim, Y.; Kahandawa, G. A Novel Optimistic Local Path Planner: Agoraphilic Navigation Algorithm in Dynamic Environment. Machines 2022, 10, 1085. [Google Scholar] [CrossRef]
- Hewawasam, H.; Kahandawa, G.; Ibrahim, Y. Machine Learning-Based Agoraphilic Navigation Algorithm for Use in Dynamic Environments with a Moving Goal. Machines 2023, 11, 513. [Google Scholar] [CrossRef]
- Koohathongsumrit, N.; Chankham, W. Route Selection in Multimodal Supply Chains: A Fuzzy Risk Assessment Model-BWM-MARCOS Framework. Appl. Soft Comput. 2023, 137, 110167. [Google Scholar] [CrossRef]
- Phochanikorn, P.; Tan, C.; Chen, W. Barriers analysis for reverse logistics in Thailand’s palm oil industry using fuzzy multi-criteria decision-making method for prioritizing the solutions. Granul. Comput. 2020, 5, 419–436. [Google Scholar] [CrossRef]










| Road Spacing D (m) | Vehicle Speed V (m/s) | GPS Accuracy S (m) | Sampling Interval t (s) | Segmentation Point l0 |
|---|---|---|---|---|
| 20 | 10 | 20 | 5 | 5 |
| The Maximum Value Corresponds to the Direction Information Segmentation Point, d0 | Maximum Correct Rate (%) | |
|---|---|---|
| 2 | 31.5 | 95.5956 |
| 3 | 43.2 | 96.3759 |
| 4 | 57.1 | 96.6736 |
| 5 | 76.4 | 96.9583 |
| 6 | 86.2 | 96.2712 |
| 7 | 99.2 | 96.2721 |
| 8 | 112.4 | 96.1414 |
| 9 | 126.5 | 96.1355 |
| Road Angle α (°) | Vehicle Speed V (m/s) | GPS Accuracy S (m) | Sampling Interval t (s) | Segmentation Point l0 |
|---|---|---|---|---|
| 45 | 2 | 20 | 5 | 5 |
| The value of c | 0.2 | 0.5 | 1.0 | 1.5 | 2 | 3 |
| Average accuracy (%) | 85.11 | 88.16 | 90.15 | 91.78 | 92.63 | 93.21 |
| The value of c | 4 | 5 | 6 | 7 | 8 | 9 |
| Average accuracy (%) | 93.33 | 93.32 | 93.30 | 93.29 | 93.25 | 93.19 |
| Parameter | Parallel Road Scene Analysis | Cross-Section Scene Analysis |
|---|---|---|
| Segmentation Point (l0) |
|
|
| Weight (W1/W3) |
|
|
| Weight (W2) |
|
|
| Matching Accuracy |
|
|
|
| |
|
| |
|
|
Disclaimer/Publisher’s Note: The statements, opinions and data contained in all publications are solely those of the individual author(s) and contributor(s) and not of MDPI and/or the editor(s). MDPI and/or the editor(s) disclaim responsibility for any injury to people or property resulting from any ideas, methods, instructions or products referred to in the content. |
© 2024 by the authors. Licensee MDPI, Basel, Switzerland. This article is an open access article distributed under the terms and conditions of the Creative Commons Attribution (CC BY) license (https://creativecommons.org/licenses/by/4.0/).
Share and Cite
Zhou, W.; Ge, H.; Ashraf, M.A. Symmetry-Enhanced Fuzzy Logic Analysis in Parallel and Cross-Road Scenarios: Optimizing Direction and Distance Weights for Map Matching. Symmetry 2024, 16, 683. https://doi.org/10.3390/sym16060683
Zhou W, Ge H, Ashraf MA. Symmetry-Enhanced Fuzzy Logic Analysis in Parallel and Cross-Road Scenarios: Optimizing Direction and Distance Weights for Map Matching. Symmetry. 2024; 16(6):683. https://doi.org/10.3390/sym16060683
Chicago/Turabian StyleZhou, Weicheng, Huilin Ge, and Muhammad Awais Ashraf. 2024. "Symmetry-Enhanced Fuzzy Logic Analysis in Parallel and Cross-Road Scenarios: Optimizing Direction and Distance Weights for Map Matching" Symmetry 16, no. 6: 683. https://doi.org/10.3390/sym16060683
APA StyleZhou, W., Ge, H., & Ashraf, M. A. (2024). Symmetry-Enhanced Fuzzy Logic Analysis in Parallel and Cross-Road Scenarios: Optimizing Direction and Distance Weights for Map Matching. Symmetry, 16(6), 683. https://doi.org/10.3390/sym16060683

