Next Article in Journal
Early Fault Diagnosis of Bearings Based on Symplectic Geometry Mode Decomposition Guided by Optimal Weight Spectrum Index
Next Article in Special Issue
Pseudo-Spin Symmetry and the Hints for Unstable and Superheavy Nuclei
Previous Article in Journal
Some New Fractional Inequalities Defined Using cr-Log-h-Convex Functions and Applications
 
 
Font Type:
Arial Georgia Verdana
Font Size:
Aa Aa Aa
Line Spacing:
Column Width:
Background:
Article

Quantum-Number Projected Generator Coordinate Method for 21Ne with a Chiral Two-Nucleon-Plus-Three-Nucleon Interaction

1
School of Physics and Astronomy, Sun Yat-sen University, Zhuhai 519082, China
2
Facility for Rare Isotope Beams, Michigan State University, East Lansing, MI 48824-1321, USA
3
Department of Physics & Astronomy, Michigan State University, East Lansing, MI 48824-1321, USA
*
Author to whom correspondence should be addressed.
Symmetry 2024, 16(4), 409; https://doi.org/10.3390/sym16040409
Submission received: 2 March 2024 / Revised: 25 March 2024 / Accepted: 27 March 2024 / Published: 1 April 2024
(This article belongs to the Special Issue Restoration of Broken Symmetries in the Nuclear Many-Body Problem)

Abstract

In this paper, we report a study of the low-lying states of deformed 21Ne within the framework of the quantum-number projected generator coordinate method (PGCM), starting from a chiral two-nucleon-plus-three-nucleon ( N N + 3 N ) interaction. The wave functions of states are constructed as a linear combination of a set of axially deformed Hartree–Fock–Bogliubov (HFB) wave functions with different quadrupole deformations. These HFB wave functions are projected onto different angular momenta and the correct neutron and proton numbers for 21Ne. The results of the calculations based on the effective Hamiltonians derived by normal-ordering the 3 N interaction with respect to three different reference states, including the quantum-number projected HFB wave functions for 20Ne, 22Ne, and an ensemble of them with equal weights, are compared. This study serves as a key step towards ab initio calculations of odd-mass deformed nuclei with the in-medium GCM.

1. Introduction

Studying nuclear low-lying states, including energy spectra and electroweak transition strengths, is crucial for advancing our understanding of nuclear physics [1,2]. It also plays a key role in exploring new physics at the high-precision frontier, such as nonzero electric dipole moments [3,4], single- β decay [5], and neutrinoless double- β decay [6]. Modeling the low-lying states of light to heavy atomic nuclei directly from the fundamental interactions between nucleons is of great interest for this purpose. Compared to even-even nuclei, the low-lying states of odd-mass nuclei contain richer nuclear structure information because of the interplay of single-particle and collective motions, presenting a considerable challenge for nuclear theory.
The generator coordinate method (GCM) provides an efficient and flexible framework to describe the wave function of a quantum many-body system, represented as a superposition of a set of nonorthogonal basis functions, such as Slater determinants, generated by continuously changing parameters called generator coordinates [7,8]. In nuclear physics, the quantum-number projected GCM (PGCM) has been extensively employed in studies of the energies and transition rates of low-lying states. See, for instance, refs. [9,10,11]. In the recent decade, the PGCM has been implemented into ab initio methods for atomic nuclei. This idea has given birth to a new generation of ab initio methods, including the no-core Monte Carlo shell model [12], the in-medium generator coordinate method (IM-GCM) [13,14] and perturbative PGCM with second-order perturbation theory, abbreviated as PGCM-PT(2) [15,16,17].
In this paper, we extend the PGCM for the low-lying states of an odd-mass deformed nucleus 21Ne, starting from a Hamiltonian composed of two-plus-three-nucleon ( N N + 3 N ) interaction derived from chiral effective field theory (EFT). The PGCM has been extended for odd-mass nuclei based on different energy density functionals (EDFs) [18,19,20,21,22,23,24,25,26]. It is known that EDF-based PGCM approaches may suffer from spurious divergences and discontinuities [26,27,28,29]. In this work, we examine that this Hamiltonian-based framework is free of those problems as the same interaction is applied to both the particle-hole and particle-particle channels when computing the energy overlaps of Hamiltonian kernels. Additionally, we compare the energy spectra of the low-lying states from the PGCM calculations using the effective Hamiltonian normal-ordered with respect to the following three different reference states: 20Ne, 22Ne, and an ensemble with equal weights.
The article is arranged as follows: in  Section 2, we present the main formulas of PGCM for an odd-mass nucleus, including the generation of an effective Hamiltonian in the normal-ordering two-body (NO2B) approximation, and the construction of nuclear wave functions in the PGCM. The results of calculations for 21Ne are presented in Section 3. A short summary and outlook are provided in Section 4.

2. The PGCM for an Odd-Mass Nucleus

2.1. Nuclear Hamiltonian

We employ an intrinsic nuclear A-body Hamiltonian containing both N N and 3 N interactions,
H ^ 0 = 1 1 A T [ 1 ] + 1 A T [ 2 ] + i < j V i j [ 2 ] + i < j < k W i j k [ 3 ] ,
where the kinetic term is composed of one- and two-body terms,
T [ 1 ] = i = 1 A p i 2 2 m N , T [ 2 ] = i < j p i · p j m N ,
with m N being the mass of nucleon and p i the momentum of the i-th nucleon.
The above Hamiltonian is normal-ordered with respect to a symmetry-conserving reference state | Ψ , and truncated up to NO2B terms. The resultant Hamiltonian H ^ 0 in the NO2B approximation can be written as
H ^ 0 = E 0 + p q f q p : A q p : + 1 4 p q r s Γ r s p q : A r s p q : ,
where the strings of creation and annihilation operators are defined as
A s t u p q r = a p a q a r a u a t a s .
The expectation values of the normal-ordered operators, indicated by : A q p : , with respect to the reference state are zero. The zero-body piece of the H 0 is just the energy of the reference state
E 0 Ψ | H ^ 0 | Ψ = p q t ¯ q p γ q p + 1 4 p q r s v ¯ r s p q γ r s p q + 1 36 p q r s t u w s t u p q r γ s t u p q r ,
where the matrix element of the normal-ordered one-body operator (NO1B) is given by
f q p = t ¯ q p + r s v ¯ r s p q γ s r + 1 4 r s t u w q t u p r s γ t u r s ,
and that of the NO2B operator,
Γ r s p q = v ¯ r s p q + t u w r s u p q t γ u t .
In the above equations, the symbols hatted with bars are introduced for the sake of brevity,
t ¯ 1 1 A T [ 1 ] , v ¯ 1 A T [ 2 ] + V [ 2 ] , w W [ 3 ] .
The last terms in (5)–(7) contributed by the 3 N interaction are depicted schematically in Figure 1a–c, respectively. Here, we have introduced the density matrices of the (symmetry-conserving) correlated reference state | Ψ ,
γ q p Ψ | A q p | Ψ ,
γ r s p q Ψ | A r s p q | Ψ ,
γ s t u p q r Ψ | A s t u p q r | Ψ .
Static correlations within the reference state are encoded in the corresponding irreducible density matrices
λ q p γ q p ,    
λ r s p q γ r s p q A ( λ r p λ s q ) = γ r s p q λ r p λ s q + λ s p λ r q ,
λ s t u p q r γ s t u p q r A ( λ s p λ t u q r + λ s p λ t q λ u r ) ,  
where the antisymmetrization operator A generates all possible permutations (each only once) of upper indices and lower indices. For a single-reference state, the two-body and three-body irreducible densities λ r s p q and λ s t u p q r vanish. The expressions for the one-, two-, and three-body irreducible density matrices of a particle-number projected spherical HFB wave function have been given in Ref. [30].
The Hamiltonian H ^ 0 is subsequently rewritten into the unnormal-ordered form as follows:
H ^ 0 = E 0 + p q F q p A q p + 1 4 p q r s V r s p q A r s p q ,
where the zero-body term is given by
E 0 = E 0 p q f q p r s Γ q s p r γ s r γ q p 1 4 p q r s Γ q s p r γ q s p r = 1 36 p q r s t u w s t u p q r γ s t u p q r + 36 γ s p γ t q γ u r 18 γ s t p q γ u r = 1 36 p q r s t u w s t u p q r 6 λ s p λ t q λ u r 9 λ s t p q λ u r + λ s t u p q r .
The matrix elements of one-body read
F q p = f q p r s Γ q s p r γ s r = t ¯ q p + 1 4 r s t u w q t u p r s λ t u r s 2 λ t r λ u s ,
and those of two-body terms
V r s p q = Γ r s p q = v ¯ r s p q + t u w r s t u p q t λ u t .
In this work, the reference state is chosen as a particle-number projected HFB state for 20Ne and 22Ne, which are labeled with magic-Ne20 and magic-Ne22, respectively. The obtained effective Hamiltonians H 0 are labeled as H0. For comparison, we also derive the Hamiltonian without the 3 N interaction term in (1), and this Hamiltonian is labeled as H0 (w/o 3N). The expressions for the one-, two-, and three-body density matrices of the particle-number projected HFB state have been given in Ref. [30]. Subsequently, these Hamiltonians are employed into the PGCM calculations.

2.2. Nuclear Wave Functions

The wave functions of low-lying states for an odd-mass nucleus are constructed with the PGCM as follows:
| Ψ α J π = c f c J α π | N Z J π ; c ,
where α distinguishes the states with the same angular momentum J, and the symbol c is a collective label for the indices ( K , κ , q ) . The basis function with correct quantum numbers ( N Z J π ) is given by
| N Z J π ; c = P ^ M K J P ^ N P ^ Z | Φ κ ( OA ) ( q ) ,
where P ^ M K J and P ^ N , Z are projection operators that select components with the angular momentum J, neutron number N, and proton number Z [2],
P ^ M K J = 2 J + 1 8 π 2 d Ω D M K J * ( Ω ) R ^ ( Ω ) ,
P ^ N τ = 1 2 π 0 2 π d φ τ e i φ τ ( N ^ τ N τ ) .
The operator P ^ M K J extracts the component of angular momentum along the intrinsic axis z defined by K. The Wigner D-function is defined as D M K J ( Ω ) J M | R ^ ( Ω ) | J K = J M | e i ϕ J ^ z e i θ J ^ y e i ψ J ^ z | J K , where Ω = ( ϕ , θ , ψ ) represents the three Euler angles. The  N ^ = k a k a k is particle-number operator. The mean-field configurations | Φ κ ( OA ) ( q ) for odd-mass nuclei can be constructed as one-quasiparticle excitations on even-even vacua [2],
| Φ κ ( OA ) ( q ) = α κ | Φ ( κ ) ( q ) , α κ | Φ ( κ ) ( q ) = 0 ,
where | Φ ( κ ) ( q ) is a HFB state with even-number parity labeled with the collective coordinate q . The quasiparticle operators ( α , α ) are connected to single-particle operators ( a , a ) via the Bogoliubov transformation [2],
α α = U V V T U T a a ,
where the U , V matrices are determined by the minimization of particle-number projected energy,
δ Φ κ ( OA ) ( q ) | H ^ P ^ N P ^ Z | Φ κ ( OA ) ( q ) Φ κ ( OA ) ( q ) | P ^ N P ^ Z | Φ κ ( OA ) ( q ) = 0 .
Different from the recent study based on a covariant EDF in Ref. [26], where three different schemes were employed to construct the configurations for odd-mass nuclei within the BCS ansatz, in this work we obtain the configurations of one-quasiparticle states with odd-number parity self-consistently by simply exchanging the k-column of the U and V matrices in the HFB wave function [2]:
( U p k , V p k ) ( V p k * , U p k * ) ,
where the index p = ( τ n j m ) p ( n p , ξ p ) is a label for the spherical harmonic oscillator basis, and k the label for a quasiparticle state. For simplicity, axial symmetry is assumed. In this case, quasiparticle states are labeled with quantum numbers K π , where K = | m p | with m p being the projection of angular momentum j p along z-axis, and parity π = ( 1 ) p . The collective coordinate q is replaced with the dimensionless quadrupole deformation β 2 ,
β 2 = 4 π 3 A R 2 Φ κ ( OA ) ( q ) | r 2 Y 20 | Φ κ ( OA ) ( q ) .
The U and V matrices are determined from the HFB calculation within the scheme of variation after particle-number projection (VAPNP), in which a gradient descent method is exploited to minimize the expectation value of the Hamiltonian with respect to the particle-number projected HFB state. For details, see, for instance, Refs. [2,31,32]. We note that the Kramers’ degeneracy is lifted due to the breaking of time-reversal invariance in the self-consistent HFB calculation.
The weight function f c J α π of the state (15) is determined by the variational principle, which leads to the following Hill–Wheeler–Griffin (HWG) Equation [2,7]:
c H c c N Z J π E α J N c c N Z J π f c J α π = 0 ,
where the Hamiltonian kernel and norm kernel are defined by
O c c N Z J π = N Z J π ; c | O ^ | N Z J π ; c = 2 J + 1 8 π 2 d Ω D K K J * ( Ω ) 0 2 π d φ n e i N φ n 2 π 0 2 π d φ p e i Z φ p 2 π × Φ κ ( OA ) ( q ) | O ^ R ^ ( Ω ) e i Z ^ φ p e i N ^ φ n | Φ κ ( OA ) ( q ) ,
with the operator O ^ representing H ^ and 1, respectively. The parity π is defined by the quasiparticle configurations | Φ κ ( OA ) ( q ) .
The HWG Equation (23) for a given set of quantum numbers ( N Z J ) is solved in the standard way as discussed in Refs. [2,33]. It is accomplished by diagonalizing the norm kernel N c c N Z J π first. A new set of basis is constructed using the eigenfunctions of the norm kernel with eigenvalue larger than a pre-chosen cutoff value to remove possible redundancy in the original basis. The Hamiltonian is diagonalized in this new basis. In this way, one is able to obtain the energies E α J and the mixing weights f c J α π of nuclear states | Ψ α J π . Since the basis functions | N Z J ; c are nonorthogonal to each other, one usually introduces the collective wave function g α J π ( K , q ) as below
g α J π ( K , q ) = c ( N 1 / 2 ) c , c N Z J π f c J α π ,
which fulfills the normalization condition. The distribution of g α J π ( K , q ) over K and q reflects the contribution of each basis function to the nuclear state | Ψ α J π .

2.3. Evaluation of Norm and Hamiltonian Overlaps

The energy overlap is defined as the ratio of Hamiltonian overlap to the norm overlap,
E ( κ q , κ q ; g ) Φ κ ( OA ) ( q ) | H ^ R ^ ( Ω ) e i Z ^ φ p e i N ^ φ n | Φ κ ( OA ) ( q ) Φ κ ( OA ) ( q ) | R ^ ( Ω ) e i Z ^ φ p e i N ^ φ n | Φ κ ( OA ) ( q ) = E + p q F q p ρ ˜ q p ( κ q , κ q ; g ) + 1 4 p q r s V r s p q ρ ˜ r s p q ( κ q , κ q ; g ) ,
where g stands for the set of parameters { Ω , φ n , φ p } . The matrix elements of the mixed one-body densities and pairing tensors, hatted with the symbol ∼, are defined as
ρ ˜ q p ( κ q , κ q ; g ) Φ κ ( OA ) ( q ) | a p a q R ^ ( Ω ) e i Z ^ φ p e i N ^ φ n | Φ κ ( OA ) ( q ) Φ κ ( OA ) ( q ) | R ^ ( Ω ) e i Z ^ φ p e i N ^ φ n | Φ κ ( OA ) ( q ) ,
κ ˜ p q ( κ q , κ q ; g ) Φ κ ( OA ) ( q ) | a p a q R ^ ( Ω ) e i Z ^ φ p e i N ^ φ n | Φ κ ( OA ) ( q ) Φ κ ( OA ) ( q ) | R ^ ( Ω ) e i Z ^ φ p e i N ^ φ n | Φ κ ( OA ) ( q ) ,
κ ˜ r s ( κ q , κ q ; g ) Φ κ ( OA ) ( q ) | a s a r R ^ ( Ω ) e i Z ^ φ p e i N ^ φ n | Φ κ ( OA ) ( q ) Φ κ ( OA ) ( q ) | R ^ ( Ω ) e i Z ^ φ p e i N ^ φ n | Φ κ ( OA ) ( q ) .
The matrix elements of the mixed two-body density are determined by the generalized Wick theorem [34],
ρ ˜ r s p q ( κ q , κ q ; g ) Φ κ ( OA ) ( q ) | a p a q a s a r R ^ ( Ω ) e i Z ^ φ p e i N ^ φ n | Φ κ ( OA ) ( q ) Φ κ ( OA ) ( q ) | R ^ ( Ω ) e i Z ^ φ p e i N ^ φ n | Φ κ ( OA ) ( q ) = ρ ˜ r p ρ ˜ s q ρ ˜ s p ρ ˜ r q + κ ˜ p q κ ˜ r s .
With the above relation, the energy overlap can be rewritten as below,
E ( κ q , κ q ; g ) = E + p q F q p ρ ˜ q p + 1 2 p q Γ ˜ q p ρ ˜ q p + Δ ˜ p q κ ˜ p q ,
where the matrix elements of the mixed particle-hole field Γ ˜ and particle-particle field Δ ˜ are defined as
Γ ˜ q p p q r s V q s p r ρ ˜ s r , Δ ˜ p q 1 2 r s V p q r s κ ˜ r s .
It is efficient to compute the energy overlap directly in the J-coupled scheme.
  • The contribution of the one-body term is simply given by
    E ( 1 B ) = p q δ j p j q j ^ p F ( q p ) 0 ρ ˜ ( q p ) 00 ,
    where j ^ p 2 j p + 1 . The reduced matrix element is defined as F q p 0 = q | | F 0 | | p , and the one-body density operator with the two angular momenta coupled to zero [13]
    ρ ^ ( q p ) 00 a q a ˜ p 00 2 j q + 1 δ ξ q ξ p
    with a ˜ n l j m ( 1 ) j + m a n l j m .
  • The energy by the two-body term consists of p p term
    E p p ( 2 B ) = 1 4 a b c d , L V ( a b ) ( c d ) L M L ( 1 ) L M L κ ˜ ( a b ) L M L ( 01 ) κ ˜ ( c d ) L M L ( 10 )
    and p h term
    E p h ( 2 B ) = 1 2 a b c d , L V ( a b ¯ ) ( c d ¯ ) L M L ρ ˜ ( b a ) L M L ρ ˜ ( d c ) L M L
    where the J-coupled mixed density and pairing density are defined as,
    ρ ˜ ( b a ) L M L = m a m b s b j a m a j b m b | L M L ρ ˜ b a ,
    ρ ˜ ( d c ) L M L = m c m d s d j c m c j d m d | L M L ( ρ ˜ d c ) ,
    κ ˜ ( a b ) L M L ( 01 ) = m a m b j a m a j b m b | L M L κ ˜ a b ,
    κ ˜ ( c d ) L M L ( 10 ) = ( 1 ) L + M L m c m d j c m c j d m d | L M L ( κ ˜ c d ) .
    Here, we introduce the symbol s b ( 1 ) j b m b . The symmetry of Clebsch–Gordan coefficient j a m a j b m b | L M L implies the relation ρ ˜ ( b a ) L M L = ( 1 ) L ( j a + j b ) + 1 ρ ˜ ( a b ) L M L . The  p h -type two-body interaction matrix elements in the J-coupled form are related to those of p p -type via the Pandya transformation [35],
    V ( i j ¯ ) ( k l ¯ ) J = L L ^ 2 j i j j J j k j l L V ( i l ) ( k j ) L ,
    where the unnormalized p p -type two-body matrix elements in the J-coupled form are related to those in M-scheme as follows:
    V ( i j ) ( k l ) J = m i m j m k m l j i m i j j m j | J M j k m k j l m l | J M V k l i j .
The norm overlap of the HFB wave functions with odd-number parity is computed with the Pfaffian formula in Refs. [36,37].

3. Results and Discussion

Effective Hamiltonians

In this work, the  N N interaction V i j ( 2 ) in Equation (1) is chosen as the chiral N3LO interaction by Entem and Machleidt [38], denoted as “EM”. We utilize the free-space SRG [39] to evolve the EM interaction to a resolution scale of λ = 1.8 fm   1 . The 3 N interaction W i j k ( 3 ) is directly constructed with a cutoff of Λ = 2.0 fm   1 . The Hamiltonian is referred to as EM λ / Λ , i.e., EM1.8/2.0, which was fitted to N N scattering phase shifts, the binding energy of 3H, and the charge radius of 4He, see Ref. [40] for details. For the 3 N interaction, we discard all matrix elements involving states with e 1 + e 2 + e 3 > 14 , where e i = 2 n i + i denotes the number of oscillator quanta in state i. The maximal value of e i is labeled with e max , and the frequency of the harmonic oscillator basis is chosen as ω = 20 MeV. Starting from the chiral N N + 3 N interaction, we produce three sets of effective Hamiltonians labeled as magic-Ne20, magic-Ne22, and magic-ENO/EW, respectively. These Hamiltonians are generated by normal-ordering the 3 N interaction with respect to the reference states of spherical particle-number projected HFB states for 20Ne, 22Ne, and their ensemble with equal weights. The residual normal-ordered three-body term, c.f. Figure 1d, is neglected. Table 1 lists the expectation value of each term in the three types of effective Hamiltonians H 0 in (11) with respect to the corresponding reference state. One can see that in the case without the 3 N interaction, the unnormal-ordering form of the Hamiltonian H 0 returns back to the original Hamiltonian H ^ 0 .
For the case with e max = 6 , the relative contribution of each term in different effective Hamiltonians to the energy is compared in Table 1. The contribution of the 3 N interaction to energy, c.f. Figure 1a, is given by
E 0 ( 3 ) = 1 36 p q r s t u w r s u p q t 6 λ s p λ t q λ u r + 9 λ s p λ t u q r + λ r s u p q t .
Comparing the E 0 value in the third row of Table 1, labeled by Ne20 with the E 0 value in the last row, labeled by Ne20 (w/o 3N), one finds the contribution of the 3 N interaction to the energy E 0 ( 3 ) = 80.338 MeV. On the other hand, the zero-point energy E 0 in (12) of the unnormal-ordered Hamiltonian in the first row
E 0 = 1 36 p q r s t u w s t u p q r 6 λ s p λ t q λ u r 9 λ s t p q λ u r + λ s t u p q r
is 50.093 MeV. Their difference gives
1 2 p q r s t u w s t u p q r λ s t p q λ u r = 30.245 MeV .
Since the term depending on λ s t u p q r is much smaller than the other terms, we drop this term out and find the term,
1 6 p q r s t u w r s u p q t λ s p λ t q λ u r = 65.215 MeV
depending solely on the one-body density, provides the predominant contribution to energies E 0 ( 3 ) and E 0 . Subsequently, we carry out PGCM calculations for low-lying states of 21Ne using the above effective Hamiltonians.
Figure 2 and Figure 3 show the change in the effective single-particle energies (ESPEs) with the quadrupole deformation β 2 from the PNP+HFB (VAPNP) calculation for the HFB states, where the ESPE ε k is obtained from the diagonalization of the single-particle Hamiltonian,
h q p = F q p + r s V q s p r ρ s r = t ¯ q p + r s v ¯ q s p r ρ s r + 1 4 r s t u w q s u p r t γ s u r t + r s t u w q s u p r t γ s r ( ρ u t γ u t ) ,
where γ u t is the one-body density of the correlated state, and  ρ s r is the one-body density of mean-field state | Φ κ ( OA ) ( q ) defined by
ρ s r Φ κ ( OA ) ( q ) | a r a s | Φ κ ( OA ) ( q ) .
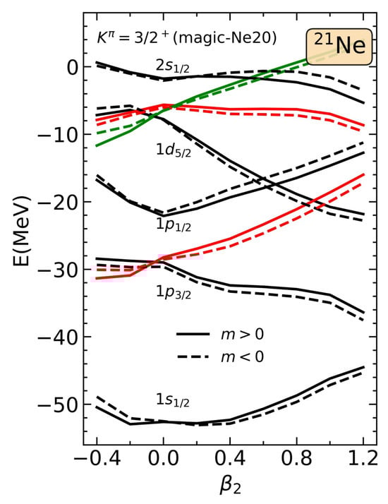
It is shown in Figure 2 that the neutron partner states with the same value of | m | , related by the time-reversal operator, are not degenerate in the HFB states for 21Ne with odd-number parity. A comparison is made between the ESPEs obtained by the effective Hamiltonians magic-Ne20 and magic-Ne22. The lifting of Kramers’ degeneracy in the HFB states for 21Ne results in non-degeneracy among time-reversal states with identical values of | m | . For clarity, only the energy of one of the time-reversal states is depicted in Figure 3. It is observed that the ESPEs from the two effective Hamiltonians are difficult to distinguish.
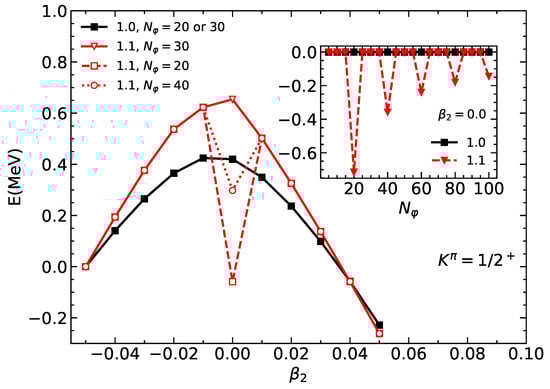
Before presenting the projected energy curves with different angular momenta, we examine the issues of singularity and finite steps found in the MR-EDF [27,28,29]. Figure 4 displays the energies (normalized to the converged values) of particle-number projected HFB states for 21Ne with K π = 1 / 2 + and quadrupole deformation β 2 = 0.0 , as a function of the number N φ of meshpoints in the gauge angle φ . The Fomenko expansion method [41] is used for the particle-number projection, where the k-th gauge angle φ k is chosen as 2 π ( k / N φ ) . It is observed that the energy remains constant for N φ 5 , regardless of whether N φ is an even or odd number. For comparison, we also show the results from the calculations by artificially multiplying a factor of 1.1 to the two-body interaction matrix elements for the mixed particle-hole field. In this case, dips are indeed observed at N φ = 20 , 40 , 60 , , corresponding to the situation where the gauge angle φ k = π / 2 is chosen at the meshpoints with k = 5 , 10 , 15 , , respectively. It demonstrates numerically that one should use the same interaction matrix elements for both the particle-hole and particle-particle channels, in which case one will be free of the problem of singularity.
Figure 5 displays the energy curves of particle-number projected HFB states for 21Ne with K π = 3 / 2 + and 1 / 2 + , respectively. The HFB wave functions are obtained from the PNP-HFB (VAPNP) calculations using the Hamiltonian H ^ 0 , with the 3 N interaction normal-ordered with respect to the references of 20Ne, 22Ne, and their ensemble with equal weights, respectively. It can be observed that the global energy minima of all three curves are located in prolate states with quadrupole deformation β 2 between 0.4 and 0.5. The configurations with K π = 3 / 2 + are globally lower than those with K π = 1 / 2 + . Furthermore, the configurations based on different Hamiltonians are systematically shifted from each other in energy by less than one MeV.
Figure 6 displays the energies of states with projection onto the correct particle numbers and J π = 3 / 2 + , 5 / 2 + , and  7 / 2 + for   21 Ne with K π = 3 / 2 + and K π = 1 / 2 + , respectively. The effective Hamiltonians used are H0 with and without the 3 N interaction. It is shown that the quadrupole deformation parameter β 2 of the prolate energy-minimal state by the H0 (w/o 3N) is smaller than the other two cases. Additionally, the energy curve with the increase in β 2 is also stiffer than that with the 3 N interaction.
Figure 7 shows a comparison of the energy spectra for 21Ne from configuration-mixing calculations with different Hamiltonians. The states with the same K π are grouped into the same column. The main features of the two bands with K π = 3 / 2 + and 1 / 2 + are reproduced, although the excitation energies of the states belonging to the 1 / 2 + band are systematically overestimated. The mixing of quasiparticle excitation configurations is expected to lower the entire K π = 1 / 2 + band. In Figure 7c, one can observe that the energy spectra from the magic-Ne20 and magic-Ne22 Hamiltonians are very close to each other. The high-lying states from magic-Ne22 are slightly lower than those from magic-Ne20. In Figure 7b, the energy spectra become more stretched when the 3 N interaction is turned off. We note that the ground-state energy from the pure PGCM calculation with the chiral N N + 3 N interaction is systematically underestimated. According to Ref. [14], one may gain more correlation energy by implementing the multi-reference in-medium similarity renormalization group (MR-IMSRG) [42] and increasing the value of e max .
The collective wave functions of the low-lying states with different J π , and  K π = 3 / 2 + and 1 / 2 + , by the magic-Ne20 effective Hamiltonian, are displayed in Figure 8. It is shown that in all cases, the wave functions are peaked around β 2 = 0.4 and do not change significantly with the increase in angular momentum, implying the stability of the shapes in the low-lying states.

4. Conclusions

We have extended PGCM for the low-lying states of 21Ne, starting from a chiral two-plus-three-nucleon interaction, and compared the results obtained using effective Hamiltonians derived with the three-nucleon interaction normal-ordered with the following three different reference states: particle-number projected HFB states for 20Ne, 22Ne, and an ensemble with equal weights. The topology of the potential energy surfaces shows no significant differences among the three effective Hamiltonians, even though they exhibit a systematic energy shift of less than one MeV. The excitation energies of the low-lying states of 21Ne by the effective Hamiltonian based on the reference state of 20Ne are slightly larger than those by the effective Hamiltonian of 22Ne. Furthermore, we demonstrate that the three-nucleon interaction notably affects the low-lying states, i.e., the energy spectrum becomes stretched and the quadrupole collectivity is reduced.
Next, we will extend the in-medium GCM [13,14], namely, the combination of PGCM with the ab initio method of MR-IMSRG, to study the low-lying states of odd-mass nuclei using the consistently evolved operators. The results of this study will be published elsewhere, separately.

Author Contributions

Conceptualization and methodology, W.L., J.Y. and H.H.; validation, W.L. and E.Z.; writing—original draft preparation, W.L. and J.Y.; writing—review and editing, H.H., W.L., J.Y. and E.Z. All authors have read and agreed to the published version of the manuscript.

Funding

This research was funded in part by the National Natural Science Foundation of China (Grant Nos. 12375119, 12141501), Guangdong Basic and Applied Basic Research Foundation (2023A1515010936) and the Fundamental Research Funds for the Central Universities, Sun Yat-sen University. H.H. was funded by the U.S. Department of Energy, Office of Science, Office of Nuclear Physics DE-SC0023516 and DE-SC0023175 (SciDAC-5 NUCLEI Collaboration).

Data Availability Statement

The data presented in this study are available on request from the corresponding author.

Acknowledgments

We thank K. Hebeler for providing the three-nucleon interaction in momentum space.

Conflicts of Interest

The authors declare no conflicts of interest.

Abbreviations

The following abbreviations are used in this manuscript:
EFTEffective field theory
IMSRGIn-medium similarity renormalization group
PGCMProjected generator coordinate method
IM-GCMIn-medium generator coordinate method
MR-CDFTMulti-reference covariant density functional theory
HWGHill–Wheeler–Griffin

References

  1. Bohr, A.; Mottelson, B.R. Nuclear Structure. Volume II. Nuclear Deformations; Word Scientific: Singapore, 1998. [Google Scholar]
  2. Ring, P.; Schuck, P. The Nuclear Many-Body Problem; Springer: New York, NY, USA, 1980. [Google Scholar]
  3. Engel, J.; Ramsey-Musolf, M.J.; van Kolck, U. Electric Dipole Moments of Nucleons, Nuclei, and Atoms: The Standard Model and Beyond. Prog. Part. Nucl. Phys. 2013, 71, 21–74. [Google Scholar] [CrossRef]
  4. Arrowsmith-Kron, G.; Athanasakis-Kaklamanakis, M.; Au, M.; Ballof, J.; Berger, R.; Borschevsky, A.; Breier, A.A.; Buchinger, F.; Budker, D.; Caldwell, L.; et al. Opportunities for Fundamental Physics Research with Radioactive Molecules. arXiv 2023, arXiv:2302.02165. [Google Scholar]
  5. Brodeur, M.; Buzinsky, N.; Caprio, M.A.; Cirigliano, V.; Clark, J.A.; Fasano, P.J.; Formaggio, J.A.; Gallant, A.T.; Garcia, A.; Gandolfi, S.; et al. Nuclear β decay as a probe for physics beyond the Standard Model. arXiv 2023, arXiv:2301.03975. [Google Scholar]
  6. Yao, J.M.; Meng, J.; Niu, Y.F.; Ring, P. Beyond-mean-field approaches for nuclear neutrinoless double beta decay in the standard mechanism. Prog. Part. Nucl. Phys. 2022, 126, 103965. [Google Scholar] [CrossRef]
  7. Hill, D.L.; Wheeler, J.A. Nuclear constitution and the interpretation of fission phenomena. Phys. Rev. 1953, 89, 1102–1145. [Google Scholar] [CrossRef]
  8. Griffin, J.J.; Wheeler, J.A. Collective Motions in Nuclei by the Method of Generator Coordinates. Phys. Rev. 1957, 108, 311–327. [Google Scholar] [CrossRef]
  9. Bender, M.; Heenen, P.H.; Reinhard, P.G. Self-consistent mean-field models for nuclear structure. Rev. Mod. Phys. 2003, 75, 121–180. [Google Scholar] [CrossRef]
  10. Niksic, T.; Vretenar, D.; Ring, P. Relativistic Nuclear Energy Density Functionals: Mean-Field and Beyond. Prog. Part. Nucl. Phys. 2011, 66, 519–548. [Google Scholar] [CrossRef]
  11. Sheikh, J.A.; Dobaczewski, J.; Ring, P.; Robledo, L.M.; Yannouleas, C. Symmetry restoration in mean-field approaches. J. Phys. G 2021, 48, 123001. [Google Scholar] [CrossRef]
  12. Liu, L.; Otsuka, T.; Shimizu, N.; Utsuno, Y.; Roth, R. No-core Monte Carlo shell-model calculation for 10Be and 12Be low-lying spectra. Phys. Rev. C 2012, 86, 014302. [Google Scholar] [CrossRef]
  13. Yao, J.M.; Engel, J.; Wang, L.J.; Jiao, C.F.; Hergert, H. Generator-coordinate reference states for spectra and 0νββ decay in the in-medium similarity renormalization group. Phys. Rev. C 2018, 98, 054311. [Google Scholar] [CrossRef]
  14. Yao, J.M.; Bally, B.; Engel, J.; Wirth, R.; Rodríguez, T.R.; Hergert, H. Ab Initio Treatment of Collective Correlations and the Neutrinoless Double Beta Decay of 48Ca. Phys. Rev. Lett. 2020, 124, 232501. [Google Scholar] [CrossRef]
  15. Frosini, M.; Duguet, T.; Ebran, J.P.; Somà, V. Multi-reference many-body perturbation theory for nuclei: I. Novel PGCM-PT formalism. Eur. Phys. J. A 2022, 58, 62. [Google Scholar] [CrossRef]
  16. Frosini, M.; Duguet, T.; Ebran, J.P.; Bally, B.; Mongelli, T.; Rodríguez, T.R.; Roth, R.; Somà, V. Multi-reference many-body perturbation theory for nuclei: II. Ab initio study of neon isotopes via PGCM and IM-NCSM calculations. Eur. Phys. J. A 2022, 58, 63. [Google Scholar] [CrossRef]
  17. Frosini, M.; Duguet, T.; Ebran, J.P.; Bally, B.; Hergert, H.; Rodríguez, T.R.; Roth, R.; Yao, J.; Somà, V. Multi-reference many-body perturbation theory for nuclei: III. Ab initio calculations at second order in PGCM-PT. Eur. Phys. J. A 2022, 58, 64. [Google Scholar] [CrossRef]
  18. Kimura, M. The Intruder feature of Mg-31 and the coexistence of many particle and many hole states. Phys. Rev. C 2007, 75, 041302. [Google Scholar] [CrossRef]
  19. Kimura, M. Spectroscopy and intruder configurations of 33Mg and 31Ne studied with antisymmetrized molecular dynamics. arXiv 2011, arXiv:1105.3281. [Google Scholar]
  20. Bally, B.; Avez, B.; Bender, M.; Heenen, P.H. Beyond Mean-Field Calculations for Odd-Mass Nuclei. Phys. Rev. Lett. 2014, 113, 162501. [Google Scholar] [CrossRef]
  21. Bally, B.; Giacalone, G.; Bender, M. Structure of 128,129,130Xe through multi-reference energy density functional calculations. Eur. Phys. J. A 2022, 58, 187. [Google Scholar] [CrossRef]
  22. Bally, B.; Giacalone, G.; Bender, M. The shape of gold. Eur. Phys. J. A 2023, 59, 58. [Google Scholar] [CrossRef]
  23. Borrajo, M.; Egido, J.L. A symmetry-conserving description of odd nuclei with the Gogny force. Eur. Phys. J. A 2016, 52, 277, Erratum in Eur. Phys. J. A 2017, 53, 38. [Google Scholar] [CrossRef]
  24. Borrajo, M.; Egido, J.L. Ground-state properties of even and odd Magnesium isotopes in a symmetry-conserving approach. Phys. Lett. B 2017, 764, 328–334. [Google Scholar] [CrossRef]
  25. Borrajo, M.; Egido, J.L. Symmetry Conserving Configuration Mixing description of odd mass nuclei. Phys. Rev. C 2018, 98, 044317. [Google Scholar] [CrossRef]
  26. Zhou, E.F.; Wu, X.Y.; Yao, J.M. Multireference covariant density-functional theory for the low-lying states of odd-mass nuclei. Phys. Rev. C 2024, 109, 034305. [Google Scholar] [CrossRef]
  27. Anguiano, M.; Egido, J.L.; Robledo, L.M. Particle number projection with effective forces. Nucl. Phys. A 2001, 696, 467–493. [Google Scholar] [CrossRef]
  28. Bender, M.; Duguet, T.; Lacroix, D. Particle-number restoration within the energy density functional formalism. Phys. Rev. C 2009, 79, 044319. [Google Scholar] [CrossRef]
  29. Duguet, T.; Bender, M.; Bennaceur, K.; Lacroix, D.; Lesinski, T. Particle-number restoration within the energy density functional formalism: Nonviability of terms depending on noninteger powers of the density matrices. Phys. Rev. C 2009, 79, 044320. [Google Scholar] [CrossRef]
  30. Hergert, H. In-Medium Similarity Renormalization Group for Closed and Open-Shell Nuclei. Phys. Scr. 2017, 92, 023002. [Google Scholar] [CrossRef]
  31. Egido, J.L.; Lessing, J.; Martin, V.; Robledo, L.M. On the solution of the Hartree-Fock-Bogoliubov equations by the conjugate gradient method. Nucl. Phys. A 1995, 594, 70–86. [Google Scholar] [CrossRef]
  32. Bally, B.; Sánchez-Fernández, A.; Rodríguez, T.R. Symmetry-projected variational calculations with the numerical suite TAURUS: I. Variation after particle-number projection. Eur. Phys. J. A 2021, 57, 69, Erratum in Eur. Phys. J. A 2021, 57, 124. [Google Scholar] [CrossRef]
  33. Yao, J.M.; Meng, J.; Ring, P.; Vretenar, D. Configuration mixing of angular-momentum projected triaxial relativistic mean-field wave functions. Phys. Rev. C 2010, 81, 044311. [Google Scholar] [CrossRef]
  34. Balian, R.; Brezin, E. Nonunitary bogoliubov transformations and extension of wick’s theorem. Nuovo Cim. B 1969, 64, 37–55. [Google Scholar] [CrossRef]
  35. Pandya, S.P. Nucleon-Hole Interaction in jj Coupling. Phys. Rev. 1956, 103, 956–957. [Google Scholar] [CrossRef]
  36. Bertsch, G.F.; Robledo, L.M. Symmetry restoration in Hartree-Fock-Bogoliubov based theories. Phys. Rev. Lett. 2012, 108, 042505. [Google Scholar] [CrossRef] [PubMed]
  37. Avez, B.; Bender, M. Evaluation of overlaps between arbitrary fermionic quasiparticle vacua. Phys. Rev. C 2012, 85, 034325. [Google Scholar] [CrossRef]
  38. Entem, D.R.; Machleidt, R. Accurate charge-dependent nucleon-nucleon potential at fourth order of chiral perturbation theory. Phys. Rev. C 2003, 68, 041001. [Google Scholar] [CrossRef]
  39. Bogner, S.K.; Furnstahl, R.J.; Schwenk, A. From low-momentum interactions to nuclear structure. Prog. Part. Nucl. Phys. 2010, 65, 94–147. [Google Scholar] [CrossRef]
  40. Hebeler, K.; Bogner, S.K.; Furnstahl, R.J.; Nogga, A.; Schwenk, A. Improved nuclear matter calculations from chiral low-momentum interactions. Phys. Rev. C 2011, 83, 031301. [Google Scholar] [CrossRef]
  41. Fomenko, V.N. Projection in the occupation-number space and the canonical transformation. J. Phys. A Gen. Phys. 1970, 3, 8–20. [Google Scholar] [CrossRef]
  42. Hergert, H.; Bogner, S.K.; Morris, T.D.; Schwenk, A.; Tsukiyama, K. The In-Medium Similarity Renormalization Group: A Novel Ab Initio Method for Nuclei. Phys. Rept. 2016, 621, 165–222. [Google Scholar] [CrossRef]
  43. Firestone, R. Nuclear Data Sheets for A = 21. Nucl. Data Sheets 2015, 127, 1–68. [Google Scholar] [CrossRef]
Figure 1. Schematic illustration of the three-nucleon interaction W (red squares), normal-ordered to (a) zero-body, (b) one-body, (c) two-body, and (d) three-body terms with a reference state. The density matrices γ of the reference state are represented with black circles.
Figure 1. Schematic illustration of the three-nucleon interaction W (red squares), normal-ordered to (a) zero-body, (b) one-body, (c) two-body, and (d) three-body terms with a reference state. The density matrices γ of the reference state are represented with black circles.
Symmetry 16 00409 g001
Figure 2. The effective single-particle energies of neutron states with m > 0 (solid lines) and m < 0 (dashed lines) as a function of quadrupole deformation β 2 from the PNP + HFB (VAPNP) calculation for the HFB states with K π = 3 / 2 + using the effective Hamiltonians magic-Ne20. The states with | m | = 1 / 2 , | m = 3 / 2 | and | m = 5 / 2 | are plotted in black, red and green colors, respectively.
Figure 2. The effective single-particle energies of neutron states with m > 0 (solid lines) and m < 0 (dashed lines) as a function of quadrupole deformation β 2 from the PNP + HFB (VAPNP) calculation for the HFB states with K π = 3 / 2 + using the effective Hamiltonians magic-Ne20. The states with | m | = 1 / 2 , | m = 3 / 2 | and | m = 5 / 2 | are plotted in black, red and green colors, respectively.
Symmetry 16 00409 g002
Figure 3. The effective single-particle energies of neutron states (with m > 0 ) from the PNP+HFB (VAPNP) calculation for the HFB states with K π = 3 / 2 + (a) and K π = 1 / 2 + (b), where the effective Hamiltonians magic-Ne20 (solid) and magic-Ne22 (dashed lines) are employed, respectively. The Fermi energies are indicated with dots. The states with | m | = 1 / 2 , | m = 3 / 2 | and | m = 5 / 2 | are plotted in black, red and green colors, respectively.
Figure 3. The effective single-particle energies of neutron states (with m > 0 ) from the PNP+HFB (VAPNP) calculation for the HFB states with K π = 3 / 2 + (a) and K π = 1 / 2 + (b), where the effective Hamiltonians magic-Ne20 (solid) and magic-Ne22 (dashed lines) are employed, respectively. The Fermi energies are indicated with dots. The states with | m | = 1 / 2 , | m = 3 / 2 | and | m = 5 / 2 | are plotted in black, red and green colors, respectively.
Symmetry 16 00409 g003
Figure 4. The energies of particle-number projected HFB states for 21Ne with K π = 1 / 2 + as a function of quadrupole deformation β 2 , where the number N φ of meshpoints in the gauge angle φ is chosen as 20 , 30 , and 40, respectively. The results from the calculations by multiplying a factor of 1.1 artificially to the two-body interaction matrix elements for the mixed field Γ ˜ are given for comparison. The inset shows the energy of spherical state normalized to the converged value as a function of N φ .
Figure 4. The energies of particle-number projected HFB states for 21Ne with K π = 1 / 2 + as a function of quadrupole deformation β 2 , where the number N φ of meshpoints in the gauge angle φ is chosen as 20 , 30 , and 40, respectively. The results from the calculations by multiplying a factor of 1.1 artificially to the two-body interaction matrix elements for the mixed field Γ ˜ are given for comparison. The inset shows the energy of spherical state normalized to the converged value as a function of N φ .
Symmetry 16 00409 g004
Figure 5. The energies of mean-field states | Φ κ ( OA ) ( q ) for 21Ne with K π = 1 / 2 + , 3 / 2 + as a function of intrinsic quadrupole deformation β 2 from the PNP-HFB (VAPNP) calculation, where the three types of Hamiltonians H ^ 0 , i.e., magic-Ne20, magic-Ne22, and magic-ENO/EW, are employed. The harmonic oscillator basis is chosen as e max = 6 , ω = 20 MeV. See the main text for details.
Figure 5. The energies of mean-field states | Φ κ ( OA ) ( q ) for 21Ne with K π = 1 / 2 + , 3 / 2 + as a function of intrinsic quadrupole deformation β 2 from the PNP-HFB (VAPNP) calculation, where the three types of Hamiltonians H ^ 0 , i.e., magic-Ne20, magic-Ne22, and magic-ENO/EW, are employed. The harmonic oscillator basis is chosen as e max = 6 , ω = 20 MeV. See the main text for details.
Symmetry 16 00409 g005
Figure 6. The energies of states with projection onto particle numbers ( N = 11 , Z = 10 ) and spin-parity J π = 3 / 2 + , 5 / 2 + and 7 / 2 + for   21 Ne with quantum numbers K π = 3 / 2 + (left panels) and K π = 1 / 2 + (right panels) as a function of the quadrupole deformation parameter β 2 . The results of calculations without the 3 N interaction are given in (a,c), and those with the 3 N interaction are given in (b,d). See the main text for details.
Figure 6. The energies of states with projection onto particle numbers ( N = 11 , Z = 10 ) and spin-parity J π = 3 / 2 + , 5 / 2 + and 7 / 2 + for   21 Ne with quantum numbers K π = 3 / 2 + (left panels) and K π = 1 / 2 + (right panels) as a function of the quadrupole deformation parameter β 2 . The results of calculations without the 3 N interaction are given in (a,c), and those with the 3 N interaction are given in (b,d). See the main text for details.
Symmetry 16 00409 g006
Figure 7. The energy spectra of low-lying states in 21Ne with K π = 3 / 2 + and 1 / 2 + . Experimental data from Ref. [43] are shown in (a). The results by the Hamiltonians H0 with and without the 3 N interaction based on the reference state of 20Ne are displayed in (b). The results by the Hamiltonians H0 based on the reference state of 20Ne and 22Ne are compared in (c). The total energy of ground state in each case is also provided. See the main text for details.
Figure 7. The energy spectra of low-lying states in 21Ne with K π = 3 / 2 + and 1 / 2 + . Experimental data from Ref. [43] are shown in (a). The results by the Hamiltonians H0 with and without the 3 N interaction based on the reference state of 20Ne are displayed in (b). The results by the Hamiltonians H0 based on the reference state of 20Ne and 22Ne are compared in (c). The total energy of ground state in each case is also provided. See the main text for details.
Symmetry 16 00409 g007
Figure 8. The distribution of collective wave functions | g α J π | 2 , defined in (25), as a function of quadrupole deformation β 2 for the low-lying states of   21 Ne with K π = 3 / 2 + (left panels) and K π = 1 / 2 + (right panels), respectively. The energy of the ground-state in each case is also provided. The results of calculations without the 3 N interaction are given in (a,c), and those with the 3 N interaction are given in (b,d). See the main text for details.
Figure 8. The distribution of collective wave functions | g α J π | 2 , defined in (25), as a function of quadrupole deformation β 2 for the low-lying states of   21 Ne with K π = 3 / 2 + (left panels) and K π = 1 / 2 + (right panels), respectively. The energy of the ground-state in each case is also provided. The results of calculations without the 3 N interaction are given in (a,c), and those with the 3 N interaction are given in (b,d). See the main text for details.
Symmetry 16 00409 g008
Table 1. The expectation value (in MeV) of each term in the effective Hamiltonians H 0 in (11), derived from the nuclear chiral interaction EM1.8/2.0 on the basis of the spherical particle-number projected HFB state for 20Ne, 22Ne, and their ensemble with equal weights (ENO/EW), respectively, where e max = 6 , and  ω = 20 MeV.
Table 1. The expectation value (in MeV) of each term in the effective Hamiltonians H 0 in (11), derived from the nuclear chiral interaction EM1.8/2.0 on the basis of the spherical particle-number projected HFB state for 20Ne, 22Ne, and their ensemble with equal weights (ENO/EW), respectively, where e max = 6 , and  ω = 20 MeV.
Interactions e max E 0 F V E 0
Ne206 96.931 211.205 358.229 50.093
ENO/EW6 101.781 225.067 381.555 54.706
Ne226 109.034 242.241 408.614 57.339
Ne20(w/o 3N)6 177.269 506.122 683.391 0
Disclaimer/Publisher’s Note: The statements, opinions and data contained in all publications are solely those of the individual author(s) and contributor(s) and not of MDPI and/or the editor(s). MDPI and/or the editor(s) disclaim responsibility for any injury to people or property resulting from any ideas, methods, instructions or products referred to in the content.

Share and Cite

MDPI and ACS Style

Lin, W.; Zhou, E.; Yao, J.; Hergert, H. Quantum-Number Projected Generator Coordinate Method for 21Ne with a Chiral Two-Nucleon-Plus-Three-Nucleon Interaction. Symmetry 2024, 16, 409. https://doi.org/10.3390/sym16040409

AMA Style

Lin W, Zhou E, Yao J, Hergert H. Quantum-Number Projected Generator Coordinate Method for 21Ne with a Chiral Two-Nucleon-Plus-Three-Nucleon Interaction. Symmetry. 2024; 16(4):409. https://doi.org/10.3390/sym16040409

Chicago/Turabian Style

Lin, Wei, Enfu Zhou, Jiangming Yao, and Heiko Hergert. 2024. "Quantum-Number Projected Generator Coordinate Method for 21Ne with a Chiral Two-Nucleon-Plus-Three-Nucleon Interaction" Symmetry 16, no. 4: 409. https://doi.org/10.3390/sym16040409

APA Style

Lin, W., Zhou, E., Yao, J., & Hergert, H. (2024). Quantum-Number Projected Generator Coordinate Method for 21Ne with a Chiral Two-Nucleon-Plus-Three-Nucleon Interaction. Symmetry, 16(4), 409. https://doi.org/10.3390/sym16040409

Note that from the first issue of 2016, this journal uses article numbers instead of page numbers. See further details here.

Article Metrics

Back to TopTop