Big Bang Nucleosynthesis Constraints and Indications for Beyond Standard Model Neutrino Physics
Abstract
1. Introduction
2. BBN and Updated Constraints on Electron Neutrino–Sterile Neutrino Oscillations Parameters
2.1. BBN with Electron–Sterile Neutrino Oscillations: BBN Constraints on Neutrino Oscillation Parameters in Case of Zero Initial Population of the Sterile Neutrino
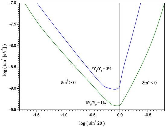
2.2. BBN Constraints on Electron–Sterile Neutrino Oscillations in Case of Non Zero Initial Population of the Sterile Neutrino
3. BBN with Lepton Asymmetry and Neutrino Oscillations
3.1. L and the Possible Solution of the Dark Radiation Puzzle
3.2. Discussion on L and the Hubble Tension
4. Conclusions
Author Contributions
Funding
Institutional Review Board Statement
Informed Consent Statement
Data Availability Statement
Acknowledgments
Conflicts of Interest
Abbreviations
| BSM: | Beyond Standard Model | 
| BBN: | Big Bang Nucleosynthesis | 
| DR: | Dark Radiation | 
References
- Athanassopoulos, C.; Auerbach, L.B.; Bolton, R.; Boyd, B.; Burman, R.L.; Caldwell, D.O.; Cohen, I.; Donahue, J.B.; Eisner, A.M.; LSND Collaboration; et al. Candidate events in a search for anti-muon-neutrino —> anti-electron-neutrino oscillations. Phys. Rev. Lett. 1995, 75, 2650. [Google Scholar] [CrossRef] [PubMed]
- Athanassopoulos, C.; Auerbach, L.B.; Burman, R.L.; Cohen, I.; Caldwell, D.O.; Dieterle, B.D.; Donahue, J.B.; Eisner, A.M.; Fazely, A.; LSND Collaboration; et al. Evidence for anti-muon-neutrino —> anti-electron-neutrino oscillations from the LSND experiment at LAMPF. Phys. Rev. Lett. 1996, 77, 3082. [Google Scholar] [CrossRef] [PubMed]
- Athanassopoulos, C.; Auerbach, L.B.; Burman, R.L.; Caldwell, D.O.; Church, E.D.; Cohen, I.; Donahue, J.B.; Fazely, A.; Federspiel, F.J.; LSND Collaboration; et al. Evidence for nu(mu) —> nu(e) neutrino oscillations from LSND. Phys. Rev. Lett. 1998, 81, 1774. [Google Scholar] [CrossRef]
- Athanassopoulos, C.; Auerbach, L.B.; Burman, R.L.; Caldwell, D.O.; Church, E.D.; Cohen, I.; Dieterle, B.D.; Donahue, J.B.; Fazely, A.; LSND Collaboration; et al. Evidence for muon-neutrino —> electron-neutrino oscillations from pion decay in flight neutrinos. Phys. Rev. C 1998, 58, 2489. [Google Scholar] [CrossRef]
- Aguilar, A.; Auerbach, L.B.; Burman, R.L.; Caldwell, D.O.; Church, E.D.; Cochran, A.K.; Donahue, J.B.; Fazely, A.; Federspiel, F.J.; Garvey, G.T.; et al. Evidence for neutrino oscillations from the observation of beam. Phys. Rev. D 2001, 64, 112007. [Google Scholar] [CrossRef]
- Aguilar-Arevalo, A.A.; Brown, B.C.; Bugel, L.; Cheng, G.; Conrad, J.M.; Cooper, R.L.; Dharmapalan, R.; Diaz, A.; Djurcic, Z.; MiniBooNE Collaboration; et al. Significant Excess of ElectronLike Events in the MiniBooNE Short-Baseline Neutrino Experiment. Phys. Rev. Lett. 2018, 121, 221801. [Google Scholar]
- Aguilar-Arevalo, A.A.; Anderson, C.E.; Brice, S.J.; Brown, B.C.; Bugel, L.; Conrad, J.M.; Djurcic, Z.; Fleming, B.T.; Ford, R.; MiniBooNE Collaboration; et al. Event Excess in the MiniBooNE Search for Oscillations. Phys. Rev. Lett. 2010, 105, 181801. [Google Scholar] [CrossRef]
- Hampel, W.; Heusser, G.; Kiko, J.; Kirsten, T.; Laubenstein, M.; Pernicka, E.; Rau, W.; Rönn, U.; Schlosser, C.; GALLEX Collaboration; et al. Final results of the Cr-51 neutrino source experiments in GALLEX. Phys. Lett. B 1998, 420, 114–126. [Google Scholar] [CrossRef]
- Gavrin, V. The history, present and future of SAGE (Soviet-American Gallium Experiment). In Proceedings of the Solar Neutrinos: Proceedings of the 5th International Solar Neutrino Conference, Dresden, Germany, 11–14 June 2018; pp. 29–46. [Google Scholar]
- Gavrin, V. The Russian-American gallium experiment SAGE. Phys. Usp. 2011, 54, 941–949. [Google Scholar] [CrossRef]
- Abdurashitov, J.N.; Gavrin, V.N.; Girin, S.V.; Gorbachev, V.V.; Ibragimova, T.V.; Kalikhov, A.V.; Khairnasov, N.G.; Knodel, T.V.; Kornoukhov, V.N.; SAGE Collaboration; et al. Measurement of the response of the Russian American gallium experiment to neutrinos from a Cr-51 source. Phys. Rev. C 1999, 59, 2246–2263. [Google Scholar] [CrossRef]
- Barinov, V.V.; Clevel, B.T.; Danshin, S.N.; Ejiri, H.; Elliott, S.R.; Frekers, D.; Gavrin, V.N.; Gorbachev, V.V.; Gorbunov, D.S.; Haxton, W.C.; et al. Results from the Baksan Experiment on Sterile Transitions (BEST). Phys. Rev. Lett. 2022, 128, 232501. [Google Scholar] [CrossRef] [PubMed]
- Barinov, V.V.; Danshin, S.N.; Gavrin, V.N.; Gorbachev, V.V.; Gorbunov, D.S.; Ibragimova, T.V.; Kozlova, Y.P.; Kravchuk, L.V.; Kuzminov, V.V.; Lubsandorzhiev, B.K.; et al. Search for electron-neutrino transitions to sterile states in the BEST experiment. Phys. Rev. C 2022, 105, 065502. [Google Scholar] [CrossRef]
- Serebrov, A.P.; Samoilov, R.M.; Ivochkin, V.G.; Fomin, A.K.; Zinoviev, V.G.; Neustroev, P.V.; Golovtsov, V.L.; Volkov, S.S.; Chernyj, A.V.; Zherebtsov, O.M.; et al. Search for sterile neutrinos with the Neutrino-4 experiment and measurement results. Phys. Rev. D 2021, 104, 032003. [Google Scholar] [CrossRef]
- Alok, A.K.; Chall, T.J.; Chundawat, N.R.S.; Mandal, A. Spin-Flavor Oscillations of Relic Neutrinos in Primordial Magnetic Field. arXiv 2023, arXiv:2311.04087. [Google Scholar]
- Elmfors, P.; Grasso, D.; Raffelt, G. Neutrino Dispersion in Magnetized Media and Spin Oscillations in the Early Universe. Nucl. Phys. 1996, B479, 3–24. [Google Scholar] [CrossRef]
- Long, A.; Vachaspati, T. Implications of a Primordial Magnetic Field for Magnetic Monopoles, Axions, and Dirac Neutrinos. Phys. Rev. D 2015, 91, 103522. [Google Scholar] [CrossRef]
- Kirilova, D. BBN Cosmological Constraints on Beyond Standard Model Neutrino. PoS CORFU2018 2019, 048. [Google Scholar]
- Kirilova, D.P.; Chizhov, E.M. Cosmological Constraints on Chiral Tensor Particles. Int. J. Mod. Phys. A 2019, 34, 1950065. [Google Scholar] [CrossRef]
- Kirilova, D.; Panayotova, M.; Chizhov, E. Updated BBN Constraints on Beyond Standard Model Physics. In Proceedings of the Science, 11th International Conference of the Balkan Physical Union (BPU11), Belgrade, Serbia, 28 August–1 September 2022; p. 34. [Google Scholar]
- Kirilova, D.; Panayotova, M.; Chizhov, E. Several cosmological nucleosynthesis constraints on neutrino and new neutrino physics. In Proceedings of the XIII Bulgarian-Serbian Astronomical Conference, Vellingrad, Bulgaria, 3–7 October 2023. [Google Scholar]
- Angulo, C.; Arnould, M.; Rayet, M.; Descouvemont, P.; Baye, D.; Leclercq-Willain, C.; Coc, A.; Barhoumi, S.; Aguer, P.; Rolfs, C.; et al. A compilation of charged-particle induced thermonuclear reaction rates. Nucl. Phys. A 1999, 656, 3. [Google Scholar] [CrossRef]
- Xu, Y.; Takahashia, K.; Gorielya, S.; Arnould, M.; Ohtac, M.; Utsunomiya, H. NACRE II: An update of the NACRE compilation of charged-particle-induced thermonuclear reaction rates for nuclei with mass number A< 16. Nucl. Phys. A 2013, 918, 61. [Google Scholar]
- Pisanti, O.; Cirillo, A.; Esposito, S.; Iocco, F.; Mangano, G.; Miele, G.; Serpico, P.D. PArthENoPE: Public Algorithm Evaluating the Nucleosynthesis of Primordial Elements. Comput. Phys. Commun. 2008, 178, 956. [Google Scholar] [CrossRef]
- Consiglio, R.; de Salas, P.F.; Mangano, G.; Miele, G.; Pastor, S.; Pisanti, O. PArthENoPE reloaded. Comput. Phys. Commun. 2018, 233, 237–242. [Google Scholar] [CrossRef]
- Arbey, A. AlterBBN: A program for calculating the BBN abundances of the elements in alternative cosmologies. Comput. Phys. Commun. 2012, 183, 1822. [Google Scholar] [CrossRef]
- Pitrou, C.; Coc, A.; Uzan, J.-P.; Vangioni, E. Precision big bang nucleosynthesis with improved Helium-4 predictions. Phys. Rep. 2018, 754, 1–66. [Google Scholar] [CrossRef]
- Mangano, G.; Miele, G.; Pastor, S.; Pisanti, O.; Sarikas, S. Constraining the cosmic radiation density due to lepton number with Big Bang Nucleosynthesis. JCAP 2011, 3, 35. [Google Scholar] [CrossRef]
- Serebrov, A.P.; Kolomensky, E.A.; Fomin, A.K.; Krasnoschekova, I.A.; Vassiljev, A.V.; Prudnikov, D.M.; Shoka, I.V.; Chechkin, A.V.; Chaikovskiy, M.E.; Varlamovet, V.E.; et al. Neutron lifetime measurements with a large gravitational trap for ultracold neutrons. Phys. Rev. C 2018, 97, 055503. [Google Scholar] [CrossRef]
- Aver, E.; Olive, K.A.; Skillman, E.D. The effects of He I λ10830 on helium abundance determinations. JCAP 2015, 7, 011. [Google Scholar] [CrossRef]
- Cooke, R.J.; Pettini, M.; Steidel, C.C. One Percent Determination of the Primordial Deuterium Abundance. Astrophys. J. 2017, 855, 102. [Google Scholar] [CrossRef]
- Fields, B.D.; Molaro, P.; Sarkar, S. Big Bang Nucleosynthesis. Prog. Theor. Exp. Phys. 2022, 083C01. [Google Scholar] [CrossRef][Green Version]
- Cooke, R.; Fumagalli, M. Measurement of the primordial helium abundance from the intergalactic medium. Nat. Astron. 2018, 2, 957–961. [Google Scholar] [CrossRef]
- Balashev, S.A.; Zavarygin, E.O.; Ivanchik, A.V.; Telikova, K.N.; Varshalovich, D.A. The primordial deuterium abundance: SubDLA system at zabs = 2.437 towards the QSO J 1444+2919. MNRAS 2016, 458, 2188. [Google Scholar] [CrossRef]
- Aver, E.; Berg, D.A.; Olive, K.A.; Pogge, R.W.; Salzer, J.J.; Skillman, E.D. A comprehensive chemical abundance analysis of the extremely metal poor Leoncino Dwarf galaxy (AGC 198691). JCAP 2021, 3, 27. [Google Scholar] [CrossRef]
- Hsyu, T.; Cooke, R.J.; Prochaska, J.X.; Bolte, M. The PHLEK Survey: A New Determination of the Primordial Helium Abundance. Astrophys. J. 2020, 896, 77. [Google Scholar] [CrossRef]
- Valerdi, M.; Peimbert, A.; Peimbert, M.; Sixtos, A. Determination of the Primordial Helium Abundance Based on NGC 346, an H ii Region of the Small Magellanic Cloud. Astrophys. J. 2019, 876, 98. [Google Scholar] [CrossRef]
- Kirilova, D.P. Neutrino Oscillations and the Primordial Nucleosynthesis. JINR, 1988; preprint, E2-88-301. [Google Scholar]
- Kirilova, D.P.; Chizhov, M.V. Nonequilibrium neutrino oscillations and primordial nucleosynthesis. In Proceedings of the Neutrino’96; Proceedings, Helsinki, Finland, 13–19 June 1996; pp. 478–484. [Google Scholar]
- Kirilova, D.P.; Chizhov, M.V. Nonequilibrium neutrino oscillations and primordial production of He-4. Phys. Lett. B 1997, 393, 375. [Google Scholar] [CrossRef]
- Dolgov, A.D. Neutrinos in the Early Universe. Sov. J. Nucl. Phys. 1981, 33, 700. [Google Scholar]
- Barbieri, R.; Dolgov, A. Bounds on Sterile-neutrinos from Nucleosynthesis. Phys. Lett. B 1990, 237, 440. [Google Scholar] [CrossRef]
- Barbieri, R.; Dolgov, A. Neutrino oscillations in the early universe. Nucl. Phys. B 1991, 349, 743. [Google Scholar] [CrossRef]
- Kirilova, D. Neutrino spectrum distortion due to oscillations and its BBN effect. Int. J. Mod. Phys. D 2004, 13, 831. [Google Scholar] [CrossRef]
- Kirilova, D. BBN with Late Electron-Sterile Neutrino Oscillations: The Finest Leptometer. JCAP 2012, 6, 7. [Google Scholar] [CrossRef][Green Version]
- Kirilova, D.P.; Chizhov, M.V. Neutrino degeneracy effect on neutrino oscillations and primordial helium yield. Nucl. Phys. B 1998, 534, 447. [Google Scholar][Green Version]
- Kirilova, D.P.; Chizhov, M.V. Cosmological nucleosynthesis and active sterile neutrino oscillations with small mass differences: The Nonresonant case. Phys. Rev. D 1998, 58, 073004. [Google Scholar] [CrossRef]
- Kirilova, D.P.; Chizhov, M.V. Cosmological nucleosynthesis and active sterile neutrino oscillations with small mass differences: The Resonant case. Nucl. Phys. B 2000, 591, 457. [Google Scholar] [CrossRef]
- Dolgov, A.D.; Villante, F.L. BBN bounds on active sterile neutrino mixing. Nucl. Phys. B 2004, 679, 261. [Google Scholar] [CrossRef][Green Version]
- Kirilova, D.P.; Panayotova, M.P. Relaxed constraints on neutrino oscillation parameters. JCAP 2006, 12, 014. [Google Scholar] [CrossRef]
- Gariazzo, S.; Giunti, C.; Laveder, M.; Li, Y.F. Updated Global 3+1 Analysis of Short-BaseLine Neutrino Oscillations. JHEP 2017, 6, 135. [Google Scholar] [CrossRef]
- Kopp, J.; Maltoni, M.; Schwetz, T. Are There Sterile Neutrinos at the eV Scale? Phys. Rev. Lett. 2011, 107, 091801. [Google Scholar] [CrossRef]
- Dentler, M.; Hernández-Cabezudo, Á.; Kopp, J.; Machado, P.A.N.; Maltoni, M.; Martinez-Soler, I.; Schwetz, T. Updated Global Analysis of Neutrino Oscillations in the Presence of eV-Scale Sterile Neutrinos. JHEP 2018, 8, 10. [Google Scholar] [CrossRef]
- Aartsen, M.G.; Abbasi, R.; Ackermann, M.; Adams, J.; Aguilar, J.A.; Ahlers, M.; Ahrens, M.; Alispach, C.; Amin, N.M.; Andeen, K.; et al. (IceCube Collaboration), eV-Scale Sterile Neutrino Search Using Eight Years of Atmospheric Muon Neutrino Data from the IceCube Neutrino Observatory. Phys. Rev. Lett. 2020, 125, 141801. [Google Scholar] [CrossRef]
- de Gouvêa, A.; Sánchez, G.J.; Kelly, K.J. Very light sterile neutrinos at NOvA and T2K. Phys. Rev. D 2022, 106, 055025. [Google Scholar] [CrossRef]
- Serebrov, A.P.; Samoilov, R.M.; Zherebtsov, O.M. The result of the Neutrino-4 experiment, sterile neutrinos and dark matter, the fourth neutrino and the Hubble constant. arXiv 2023, arXiv:2302.09958. [Google Scholar]
- Tsung-Han, Y.; Shelton, J.; Olive, K. Fields, Probing physics beyond the standard model: Limits from BBN and the CMB independently and combined. JCAP 2022, 10, 46. [Google Scholar]
- Fields, B.; Olive, K.; Yeh, T.-H.; Young, C. Big-Bang Nucleosynthesis after Planck. JCAP 2020, 3, 10. [Google Scholar] [CrossRef]
- Kirilova, D.P. More general BBN constraints on neutrino oscillations parameters—Relaxed or strengthened. Int. J. Mod. Phys. D 2007, 16, 1197. [Google Scholar] [CrossRef]
- Wagoner, R.V.; Fowler, W.A.; Hoyle, F. On the Synthesis of elements at very high temperatures. Astrophys. J. Supp. 1967, 148, 3. [Google Scholar] [CrossRef]
- Dolgov, A.D.; Hansen, S.H.; Pastor, S.; Petcov, S.T.; Raffelt, G.G.; Semikoz, D.V. Cosmological bounds on neutrino degeneracy improved by flavor oscillations. Nucl. Phys. B 2002, 632, 363. [Google Scholar] [CrossRef]
- Mangano, G.; Serpico, P.D. A robust upper limit on Neff from BBN, circa 2011. Phys. Lett. B 2011, 701, 296. [Google Scholar] [CrossRef]
- Foot, R.; Volkas, R.R. Reconciling sterile neutrinos with big bang nucleosynthesis. Phys. Rev. Lett. 1995, 75, 4350. [Google Scholar] [CrossRef]
- Kirilova, D. Lepton Asymmetry and Neutrino Oscillations Interplay. Hyperfine Interact. 2013, 215, 111. [Google Scholar] [CrossRef]
- Mirizzi, A.; Serpico, P.D. Flavor Stability Analysis of Dense Supernova Neutrinos with Flavor-Dependent Angular Distributions. Phys. Rev. D 2012, 86, 053009. [Google Scholar] [CrossRef]
- Hannestad, S.; Tamborra, I.; Tram, T. Thermalisation of light sterile neutrinos in the early universe. JCAP 2012, 7, 025. [Google Scholar] [CrossRef]
- Kirilova, D. On lepton asymmetry neutrino oscillations interplay, BBN and the problem of dark radiation. In Proceedings of the 53rd Rencontres de Moriond, Very High Energy Phenomena in the Universe, La Thuile, Italy, 17–24 March 2018; p. 379. [Google Scholar]
- Matsumoto, A.; Ouchi, M.; Nakajima, K.; Kawasaki, M.; Murai, K.; Motohara, K.; Harikane, Y.; Ono, Y.; Kushibiki, K.; Koyama, S.; et al. EMPRESS. VIII. A New Determination of Primordial He Abundance with Extremely Metal-poor Galaxies: A Suggestion of the Lepton Asymmetry and Implications for the Hubble Tension. Astrophys. J. 2022, 941, 167. [Google Scholar] [CrossRef]
- Kawasaki, M.; Murai, K. Lepton asymmetric universe. JCAP 2022, 8, 41. [Google Scholar] [CrossRef]
- Burns, A.-K.; Tait, T.M.P.; Valli, M. Indications for a Nonzero Lepton Asymmetry from Extremely Metal-Poor Galaxies. Phys. Rev. Lett. 2023, 130, 131001. [Google Scholar] [CrossRef]
- Aghanim, N.; Akrami, Y.; Ashdown, M.; Aumont, J.; Baccigalupi, C.; Ballardini, M.; Banday, A.J.; Barreiro, R.B.; Bartolo, N.; Basak, S.; et al. (Planck Collaboration), Planck 2018 results. VI. Cosmological parameters. Astron. Astrophys. 2020, 641, A6. [Google Scholar]
- Seto, O.; Toda, Y. Hubble tension in lepton asymmetric cosmology with an extra radiation. Phys. Rev. D 2021, 104, 063019. [Google Scholar] [CrossRef]


| Disclaimer/Publisher’s Note: The statements, opinions and data contained in all publications are solely those of the individual author(s) and contributor(s) and not of MDPI and/or the editor(s). MDPI and/or the editor(s) disclaim responsibility for any injury to people or property resulting from any ideas, methods, instructions or products referred to in the content. | 
© 2023 by the authors. Licensee MDPI, Basel, Switzerland. This article is an open access article distributed under the terms and conditions of the Creative Commons Attribution (CC BY) license (https://creativecommons.org/licenses/by/4.0/).
Share and Cite
Kirilova, D.; Panayotova, M.; Chizhov, E. Big Bang Nucleosynthesis Constraints and Indications for Beyond Standard Model Neutrino Physics. Symmetry 2024, 16, 53. https://doi.org/10.3390/sym16010053
Kirilova D, Panayotova M, Chizhov E. Big Bang Nucleosynthesis Constraints and Indications for Beyond Standard Model Neutrino Physics. Symmetry. 2024; 16(1):53. https://doi.org/10.3390/sym16010053
Chicago/Turabian StyleKirilova, Daniela, Mariana Panayotova, and Emanuil Chizhov. 2024. "Big Bang Nucleosynthesis Constraints and Indications for Beyond Standard Model Neutrino Physics" Symmetry 16, no. 1: 53. https://doi.org/10.3390/sym16010053
APA StyleKirilova, D., Panayotova, M., & Chizhov, E. (2024). Big Bang Nucleosynthesis Constraints and Indications for Beyond Standard Model Neutrino Physics. Symmetry, 16(1), 53. https://doi.org/10.3390/sym16010053
 
        


