Numerical Investigation of Cavitation Bubble Jet Dynamics near a Spherical Particle
Abstract
:1. Introduction
2. Numerical Method
2.1. Governing Equations
2.2. Numerical Implementation
3. Numerical Validations
4. Typical Jet Dynamics
5. Quantitative Analysis of Jet Characteristics
6. Conclusions
- (1)
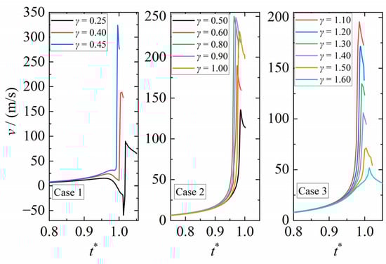
- The jet phenomena near the particle are categorized into three cases. For Case 1, no jets are generated in the first period, but a jet is generated in the rebound stage. For Case 2, a jet is directed towards the particle. For Case 3, two jets are facing each other.
- (2)
- The ranges for dimensionless distances between the bubble and the particle are given for three cases, which are 0.2 ≤ γ ≤ 0.45, 0.5 ≤ γ ≤ 1.0, and 1.05 ≤ γ ≤ 1.6, respectively.
- (3)
- As γ increases, the jet impact occurs in the rebound stage for Case 1, in the first period for Case 2, and from the first period transition to the rebound stage for Case 3.
Author Contributions
Funding
Data Availability Statement
Conflicts of Interest
Nomenclature
| Mixture density (Kg/m3) | |
| Density of liquid (Kg/m3) | |
| Density of vapor (Kg/m3) | |
| Density of the liquid (Kg/m3) | |
| Time (µs) | |
| Time at which the minimum volume (µs) | |
| Dimensionless time | |
| Mixture velocity (m/s) | |
| Velocity of liquid (m/s) | |
| Velocity of vapor (m/s) | |
| Relative velocity between liquid phase and vapor phase (m/s) | |
| Mass transfer rate (kg/s) | |
| Condensation rate of vapor phase (kg/s) | |
| Vaporization rate of liquid phase (kg/s) | |
| Volume fraction of liquid | |
| Volume fraction of vapor | |
| Volume fraction of the nucleation site | |
| Pressure (Pa) | |
| Saturated vapor pressure (Pa) | |
| Number of nuclei per cubic meter (m−3) | |
| Dynamic viscosity (Pa∙s) | |
| Dynamic viscosity of liquid (Pa∙s) | |
| Dynamic viscosity of vapor (Pa∙s) | |
| Unit tensor | |
| Surface tension coefficient (N/m) | |
| Temperature | |
| Heat capacity of liquid (J/(kg K)) | |
| Heat capacity of vapor (J/(kg K)) | |
| Kinematic energy (J) | |
| Thermal conductivity of liquid (W/(m·K)) | |
| Thermal conductivity of vapor (W/(m·K)) | |
| Liquid constant (m) | |
| Vapor constant (m) | |
| The maximum radius of the cavitation bubble (mm) | |
| Particle radius (mm) | |
| Distance between the right end point of the cavitation bubble and the origin (mm) | |
| The center distance between the particle and the bubble at the initial moment of the simulation or experiment (mm) | |
| Dimensionless distances | |
| The velocity of the jet when it punctures the bubble (m/s) | |
| Dimensionless jet impact time difference | |
| Time at jet impact (s) | |
| Dimensionless cavitation bubble volume at jet impact | |
| Bubble volume at jet impact (m3) | |
| Maximum volume of the bubble | |
| Dimensionless jet length at jet impact | |
| Jet length at jet impact (m) | |
| Dimensionless bubble center displacement | |
| Displacement of the bubble center compared to the initial position of the bubble |
References
- Dorji, U.; Ghomashchi, R. Hydro turbine failure mechanisms: An overview. Eng. Fail. Anal. 2014, 44, 136–147. [Google Scholar] [CrossRef]
- Amarendra, H.J.; Chaudhari, G.P.; Nath, S.K. Synergy of cavitation and slurry erosion in the slurry pot tester. Wear 2012, 290, 25–31. [Google Scholar] [CrossRef]
- Zheng, X.; Wang, X.; Lu, X.; Yuan, J.; Zhang, Y. Experimental research on the collapse dynamics of the cavitation bubble near two spherical particles. J. Mech. Sci. Technol. 2023, 37, 2451–2460. [Google Scholar] [CrossRef]
- Li, X.; Jiang, Z.; Zhu, Z.; Si, Q.; Li, Y. Entropy Generation Analysis for the cavitating head-drop characteristic of a centrifugal pump. Proc. Inst. Mech. Eng. Part C J. Mech. Eng. Sci. 2018, 232, 4637–4646. [Google Scholar] [CrossRef]
- Zhang, Y.N.; Zhang, Y.N.; Qian, Z.D.; Ji, B.; Wu, Y.L. A review of microscopic interactions between cavitation bubbles and particles in silt-laden flow. Renew. Sustain. Energy Rev. 2016, 56, 303–318. [Google Scholar] [CrossRef]
- Zhang, W.; Zhu, B. Risk assessment of erosive aggressiveness due to the condensation shock by numerical simulation. J. Hydrodyn. 2022, 34, 200–206. [Google Scholar] [CrossRef]
- Weller, H.G.; Tabor, G.; Jasak, H.; Fureby, C. A tensorial approach to computational continuum mechanics using object-oriented techniques. Comput. Phys. 1998, 12, 620–631. [Google Scholar] [CrossRef]
- Bai, L.; Xu, W.; Zhong, T.; Li, N. A high-speed photographic study of ultrasonic cavitation near rigid boundary. J. Hydrodyn. 2008, 20, 637–644. [Google Scholar] [CrossRef]
- Luo, J.; Xu, W.; Deng, J.; Zhai, Y.; Zhang, Q. Experimental Study on the Impact Characteristics of Cavitation Bubble Collapse on a Wall. Water 2018, 10, 1262. [Google Scholar] [CrossRef]
- Reuter, F.; Ohl, C.D. Supersonic needle-jet generation with single cavitation bubbles. Appl. Phys. Lett. 2021, 118, 134103. [Google Scholar] [CrossRef]
- Lechner, C.; Lauterborn, W.; Koch, M.; Mettin, R. Fast, thin jets from bubbles expanding and collapsing in extreme vicinity to a solid boundary: A numerical study. Phys. Rev. Fluids 2019, 4, 021601. [Google Scholar] [CrossRef]
- Lechner, C.; Lauterborn, W.; Koch, M.; Mettin, R. Jet formation from bubbles near a solid boundary in a compressible liquid: Numerical study of distance dependence. Phys. Rev. Fluids 2020, 5, 093604. [Google Scholar] [CrossRef]
- Bußmann, A.; Riahi, F.; Gkce, B.; Adami, S.; Barcikowski, S.; Adams, N.A. Investigation of cavitation bubble dynamics near a solid wall by high-resolution numerical simulation. Phys. Fluids 2023, 35, 016115. [Google Scholar] [CrossRef]
- Li, S.; Wang, S.P.; Zhang, A.M. Bubble jet impact on a rigid wall of different stand-off parameters. IOP Conf. Ser. Mater. Sci. Eng. 2015, 72, 022010. [Google Scholar] [CrossRef]
- Liu, L.T.; Yao, X.L.; Zhang, A.M.; Chen, Y.Y. Numerical analysis of the jet stage of bubble near a solid wall using a front tracking method. Phys. Fluids 2017, 29, 012105. [Google Scholar] [CrossRef]
- Uzun, A.; Malik, M.R. Wall-resolved large-eddy simulations of transonic shock-induced flow separation. AIAA J. 2019, 57, 1955–1972. [Google Scholar] [CrossRef]
- Huai, W.; Zhang, J.; Katul, G.G.; Cheng, Y.; Tang, X.; Wang, W. The structure of turbulent flow through submerged flexible vegetation. J. Hydrodyn. 2019, 31, 274–292. [Google Scholar] [CrossRef]
- Tian, L.; Zhang, Y.X.; Yin, J.Y.; Lv, L.; Zhang, J.Y.; Zhu, J.J. Study on the liquid jet and shock wave produced by a near-wall cavitation bubble containing a small amount of non-condensable gas. Int. Commun. Heat Mass Transf. 2023, 145, 106815. [Google Scholar] [CrossRef]
- Sun, Y.; Yao, Z.; Wen, H.; Zhong, Q.; Wang, F. Cavitation bubble collapse in a vicinity of a rigid wall with a gas-entrapping hole. Phys. Fluids 2022, 34, 073314. [Google Scholar] [CrossRef]
- Vogel, A.; Lauterborn, W.; Timm, R. Optical and acoustic investigations of the dynamics of laser-produced cavitation bubbles near a solid boundary. J. Fluid Mech. 1989, 206, 299–338. [Google Scholar] [CrossRef]
- Yin, J.; Zhang, Y.; Zhu, J.; Lv, L.; Tian, L. An experimental and numerical study on the dynamical behaviors of the rebound cavitation bubble near the solid wall. Int. J. Heat Mass Transf. 2021, 177, 121525. [Google Scholar] [CrossRef]
- Zhang, J. Effect of stand-off distance on “counterjet” and high impact pressure by a numerical study of laser-induced cavitation bubble near a wall. Int. J. Multiph. Flow 2021, 142, 103706. [Google Scholar] [CrossRef]
- Zhang, M.; Chang, Q.; Ma, X.; Wang, G.; Huang, B. Physical investigation of the counterjet dynamics during the bubble rebound. Ultrason. Sonochem. 2019, 58, 104706. [Google Scholar] [CrossRef]
- Zhang, Y.; Chen, F.; Zhang, Y.; Du, X. Experimental investigations of interactions between a laser-induced cavitation bubble and a spherical particle. Exp. Therm. Fluid Sci. 2018, 98, 645–661. [Google Scholar] [CrossRef]
- Lv, L.; Zhang, Y.; Zhang, Y. Experimental investigations of the particle motions induced by a laser-generated cavitation bubble. Ultrason. Sonochem. 2019, 56, 63–76. [Google Scholar] [CrossRef] [PubMed]
- Poulain, S.; Guenoun, G.; Gart, S.; Crowe, W.; Jung, S. Particle motion induced by bubble cavitation. Phys. Rev. Lett. 2015, 114, 214501. [Google Scholar] [CrossRef]
- Wang, X.; Wu, G.; Zheng, X.; Du, X.; Zhang, Y. Theoretical investigation and experimental support for the cavitation bubble dynamics near a spherical particle based on Weiss theorem and Kelvin impulse. Ultrason. Sonochem. 2022, 89, 106130. [Google Scholar] [CrossRef]
- Zevnik, J.; Dular, M. Cavitation bubble interaction with a rigid spherical particle on a microscale. Ultrason. Sonochem. 2020, 69, 105252. [Google Scholar] [CrossRef]
- Schnerr, G.H.; Sauer, J. Physical and Numerical Modeling of Unsteady Cavitation Dynamics. In Proceeding of the Fourth International Conference on Multiphase Flow, New Orleans, LO, USA, 27 May–1 June 2001. [Google Scholar]
- Zhang, A.; Li, S.M.; Cui, P.; Li, S.; Liu, Y.L. A unified theory for bubble dynamics. Phys. Fluids 2023, 35, 033323. [Google Scholar] [CrossRef]
- Duan, H.; Chen, L.; Liang, X. Numerical Study of the Emission of Acoustic Energy of Single Collapsing Vapor Bubble near a Rigid Wall. Water 2022, 14, 455. [Google Scholar] [CrossRef]
- Weller, H.G. A New Approach to VOF-Based Interface Capturing Methods for Incompressible and Compressible Flow; Report TR/HGW; OpenCFD Ltd.: Salfords, UK, 2008; Volume 4, p. 35. [Google Scholar]
- Zhang, J.; Du, Y.; Liu, J.; Sun, Y.; Yao, Z.; Zhong, Q. Experimental and numerical investigations of the collapse of a laser-induced cavitation bubble near a solid wall. J. Hydrodyn. 2022, 34, 189–199. [Google Scholar] [CrossRef]
- Yin, J.; Zhang, Y.; Zhu, J.; LÜ, L.; Li, S. Numerical investigation of the interactions between a laser-generated bubble and a particle near a solid wall. J. Hydrodyn. 2021, 33, 311–322. [Google Scholar] [CrossRef]
- Kassar, B.B.M.; Carneiro, J.N.E.; Nieckele, A.O. Curvature computation in volume-of-fluid method based on point-cloud sampling. Comput. Phys. Commun. 2018, 222, 189–208. [Google Scholar] [CrossRef]
- Greenshields, C. OpenFOAM v10 User Guide, 1st ed.; The OpenFOAM Foundation: London, UK, 2022; p. 422. [Google Scholar]
- Kim, K.; Shah, I.; Ali, M.; Aziz, S.; Khalid, M.A.U.; Kim, Y.S.; Choi, K.H. Experimental and numerical analysis of three Y-shaped split and recombination micromixers based on cantor fractal structures. Microsyst. Technol. 2020, 26, 1783–1796. [Google Scholar] [CrossRef]
- Xu, W.; Zhang, Y.; Luo, J.; Zhang, Q.; Zhai, Y. The impact of particles on the collapse characteristics of cavitation bubbles. Ocean. Eng. 2017, 131, 15–24. [Google Scholar] [CrossRef]














| Numerical Discrete Terms | Discrete Format | |
|---|---|---|
| Time Terms | Euler | |
| Gradient terms | grad (U) | Gauss linear |
| grad (p) | ||
| grad (T) | ||
| Divergence terms | div (α) | Gauss vanLeer |
| div (U) | Gauss limitedLinearV 1 | |
| div (p) | Gauss limitedLinear 1 | |
| div (T) | ||
| div (K) | ||
| Laplacian terms | Gauss linear corrected | |
| Interpolation terms | linear | |
| Surface normal gradient terms | limited corrected 0.5 | |
| Solution Terms | Linear Solver Control | Preconditioned Conjugate Gradient Solvers | Tolerances |
|---|---|---|---|
| α | Preconditioned bi-conjugate gradient (PBiCGStab) | Diagonal-based Incomplete LU (DILU) | |
| U | |||
| p | |||
| T | |||
| ρ |
| Solution Terms | Property Parameters | Values |
|---|---|---|
| Liquid phase | Cp,l [J/(kg K)] | 4181.097 |
| λl [W/(m·K)] | 0.677 | |
| μl [Pa∙s] | 9.982 × 10−4 | |
| σ [N/m] | 0.07 | |
| Vapor phase | Cp,v [J/(kg K)] | 1862.6 |
| λv [W/(m·K)] | 0.02 | |
| μv [Pa∙s] | 9.75 × 10−6 | |
| Schnerr–Sauer cavitation model | psat [Pa] | 3550 |
| n [m−3] | 7.0 × 1011 | |
| dNuc [m] | 2.0 × 10−6 |
| Cases | Ranges of γ | Main Characteristics | Example |
|---|---|---|---|
| Case 1 | 0.20 ≤ γ ≤ 0.45 | No jet produced in the first period, but jet appeared in the rebound stage | Figure 7 |
| Case 2 | 0.50 ≤ γ ≤ 1.00 | Directed jet towards particle | Figure 9 |
| Case 3 | 1.05 ≤ γ ≤ 1.60 | Two jets facing each other | Figure 11 |
Disclaimer/Publisher’s Note: The statements, opinions and data contained in all publications are solely those of the individual author(s) and contributor(s) and not of MDPI and/or the editor(s). MDPI and/or the editor(s) disclaim responsibility for any injury to people or property resulting from any ideas, methods, instructions or products referred to in the content. |
© 2023 by the authors. Licensee MDPI, Basel, Switzerland. This article is an open access article distributed under the terms and conditions of the Creative Commons Attribution (CC BY) license (https://creativecommons.org/licenses/by/4.0/).
Share and Cite
Hu, J.; Liu, Y.; Liu, Y.; Duan, J.; Lu, X.; Zheng, X.; Yu, J.; Zhang, Y.; Zhang, Y. Numerical Investigation of Cavitation Bubble Jet Dynamics near a Spherical Particle. Symmetry 2023, 15, 1655. https://doi.org/10.3390/sym15091655
Hu J, Liu Y, Liu Y, Duan J, Lu X, Zheng X, Yu J, Zhang Y, Zhang Y. Numerical Investigation of Cavitation Bubble Jet Dynamics near a Spherical Particle. Symmetry. 2023; 15(9):1655. https://doi.org/10.3390/sym15091655
Chicago/Turabian StyleHu, Jinsen, Yuhang Liu, Yifan Liu, Jingfei Duan, Xuan Lu, Xiaoxiao Zheng, Jiaxin Yu, Yuning Zhang, and Yuning Zhang. 2023. "Numerical Investigation of Cavitation Bubble Jet Dynamics near a Spherical Particle" Symmetry 15, no. 9: 1655. https://doi.org/10.3390/sym15091655
APA StyleHu, J., Liu, Y., Liu, Y., Duan, J., Lu, X., Zheng, X., Yu, J., Zhang, Y., & Zhang, Y. (2023). Numerical Investigation of Cavitation Bubble Jet Dynamics near a Spherical Particle. Symmetry, 15(9), 1655. https://doi.org/10.3390/sym15091655
