Next Article in Journal
Applications of Euler Sums and Series Involving the Zeta Functions
Previous Article in Journal
Quantifying the Nonadiabaticity Strength Constant in Recently Discovered Highly Compressed Superconductors
 
 
Font Type:
Arial Georgia Verdana
Font Size:
Aa Aa Aa
Line Spacing:
Column Width:
Background:
Article

Estimation of Hidden Logits Using Several Randomized Response Techniques

by
Asma Halim
1,2,
Irshad Ahmad Arshad
1,
Abdullah Mohammed Alomair
3,* and
Mohammed Ahmed Alomair
3
1
Department of Statistics, Allama Iqbal Open University, Islamabad 44000, Pakistan
2
Department of Business Administration, Iqra University, Islamabad 44000, Pakistan
3
Department of Quantitative Methods, School of Business, King Faisal University, Al-Ahsa 31982, Saudi Arabia
*
Author to whom correspondence should be addressed.
Symmetry 2023, 15(9), 1636; https://doi.org/10.3390/sym15091636
Submission received: 2 August 2023 / Revised: 18 August 2023 / Accepted: 22 August 2023 / Published: 24 August 2023
(This article belongs to the Section Mathematics)

Abstract

:
In survey sampling, we aspire to obtain sound and consistent responses, which are not achieved while dealing with sensitive issues. Frequently, respondents give elusive responses to sensitive questions, so we employ randomized response techniques that facilitate finding an appropriate proportion of socially sensitive characteristics. In the present study, we proposed a hidden logit estimation method using Huang, Warner, and Mangat’s randomized response techniques. This study depicts that the estimates become closer to the standard logits as the values of p increase. We found that the hidden logit estimates obtained by the Huang randomized response technique were nearer to the parametric values, in contrast to the other existing techniques, and we demonstrate an increase in accuracy as well. The simulation-based AIC and SIC values are used to assess model performance. We found that the Huang model is the best model for the proposed hidden logit method. This paper contributes towards the application of logistic models in the case of sensitive or socially stigmatized issues.

1. Introduction

Survey sampling is a strategy for gathering data about a specific trait of a population based on a sub-part of that population, when there is limited time or cost to observe each person in the entire population. It involves taking samples from the population, analyzing them, and then using the results of the samples to draw final statements, interpretations, and conclusions about the whole population. Survey sampling is a comprehensive and widely used strategy in various areas of data collection. The most compelling goal in data collection is to obtain precise, predictable, and reliable outcomes.

1.1. Survey Sampling and Randomized Response

In conducting surveys, there are many issues of interest when somebody needs to gather data on sensitive or stigmatized issues. The findings might be misleading if we have sensitive characteristics under study, such as scams, the use of illegal drugs or intoxicating beverages, prohibited or unlawful earnings, evading income tax, reserves in the form of prize bonds, number of induced abortions, exploitation of finances, etc.
The main aim in survey sampling is to obtain accurate and reliable data, which mostly fails in the case of sensitive issues. When surveys are conducted with a direct questioning or interviewing method regarding sensitive issues, it is expected to get ambiguous or false results. Issues like scams, prohibited drugs, and tax evasion are considered as sensitive issues. Let us first discuss some real life examples, in which our variable of interest is considered as sensitive or socially stigmatized.
Racism is a major workplace sensitivity issue that refers to making colleagues feel uncomfortable regarding their background or skin tone. If we want to know about people who perpetrate racism, direct questioning methods will fail to elicit authentic responses. Therefore, racism is a highly sensitive issue, especially in business research, as discussed in detail by Geurts [1]. As another example, if our interest is to assess the proportion of users of illicit medication and alcoholic items in a local area where such substances are completely restricted, respondents may hesitate to reveal their sensitive traits. Thus, if an interviewer conducts a direct inquiry such as “do you smoke or take alcoholic drinks?” the respondents will wonder whether or not to share an accurate response to this delicate inquiry about their drinking status with the interviewer.
Harassment is also one of the sensitive issues where we experience difficulty in collecting data. Harassment can be on the basis of race, religion, gender, or national origin. Workplace harassment, in all its forms, is unacceptable. Mirhosseini et al. [2] presented a descriptive analysis of sexual harassment and its coping strategies. Although connections between coworkers might develop over time, they should always adhere to company policy. A coworker with unprofessional motives should never make an employee feel pressured or uneasy. Beyond interpersonal interactions, harassing, intimidating, or bullying another employee needs to be addressed swiftly and firmly. Therefore, if a person is interested in collecting data about harassment in their workplace, the respondents may not provide them with accurate information.
When we are intrigued to know the proportion of individuals who evade income tax by making payments through contacts or nepotism, sensitive issues may arise. A detailed study on factors persuading taxpayers to engage in tax evasion was done by Kassa [3]. If an income tax officer conducts a survey for such purposes, the respondents will likely lie regarding non-payment of income tax due to their fear of punishment and penalties imposed by the authorities or government accountability. Similarly, if we wish to know about the living standards and comforts of individuals in a specific local area, we have to know about their income. Here, on the off chance that we apply the condition that we know their normal pay, and it does not coordinate with their marvelous expectation for everyday comforts, then we need to know the extent of individuals who are engaged with unlawful pay and illegal income. For the most part, respondents conceal their pay and never want to be asked or questioned about their unlawful pay or additional kinds of revenue. Therefore, they may under-report their illegal means of obtaining income to an interviewer who is a stranger.
The respondent frequently wonders whether or not to answer honestly in the case where respondents are straightforwardly presented with these sorts of sensitive inquiries. The respondents experience dread that either their actual response about the sensitive inquiries being posed would be a reason for humiliation or that they would be ridiculed in the general public. Once in a while, they feel that their truthful reaction might draw punishment or their privacy might be violated. The apprehension that the legal framework can be prompt results in either refusal to answer or in evasive answers. Such a scenario might prompt social desirability bias (SDB). Some of the time, we face such conditions when the study variable is sensitive. Sensitive attributes can be the use of drugs, not paying tax, being involved in illegal activities, etc.
Warner [4] discovered a randomized response (RR) survey model for countering the reservations amongst respondents in the case of susceptible or socially stigmatized inquiries; such a technique is very much needed when we want to obtain reliable and authentic data. This method is very effective at lessening SDB up to a massive degree. To develop the self-assurance of and cater to the confidentiality of the respondents, the unrelated question model is recommended by Greenberg et al. [5]. Some striking work associated with the RR model has been done by a variety of researchers. Let us have a brief discussion on a few of them. Moors [6] altered the model of Greenberg [5] in the case of unknown parameters of the population’s characteristics. He also calculated the values for the probabilities p1 and p2. In the situation when Moors’s [6] model fails, three straightforward alternative RR models are suggested by Mahmood et al. [7]. Upon comparing his proposed estimators with those of Greenberg et al. [5], it is evident that his estimators are more efficient. The work of Christofides [8] advances the groundbreaking work of Warner [4] by presenting an alternate randomized response technique (RRT). He also included Warner’s [4] approach in his proposed procedure as a special case. Huang [9] proved that his proposed approach is more efficient than a number of widely used RR approaches. His technique is applicable to direct response surveys as well as in RR surveys when we are striving to obtain genuine responses regarding sensitive issues.
The concept of RR introduced by Warner [4] has also been extended by many researchers to identify the deficiencies and propose solutions in his model. Kim and Warde [10] offered some fresh findings on the RR model, where response variables are presumptively distributed via multinomial distribution. They used Hopkins’s test using a randomization device to produce estimates, considering it with and without the assumption of truthful responses. Many scholars have offered numerous alternative ways to address the privacy issue in contrast to the Moors [6] RR model. However, their models might result in a significant loss of data information and incur considerable costs in maintaining secrecy. Compared to earlier RR models, Kim and Warde [11] suggested a simpler model, while still maintaining confidentiality using stratified sampling. The stratified Warner’s [4] RR approach and the unrelated question RR model were combined by Kim and Elam to create a new RRT [12]. A three-stage stratified RR approach using optimal allocation was proposed by Kim and Chae [13], which expands upon the two-stage stratified RRT developed by Kim and Elam [12]. They demonstrated their suggested RR estimator to be more effective than Kim and Elam’s [12] estimator, but it provided less privacy protection. A new, more efficient RR procedure was sought by Mangat and Singh [14] using two randomization devices. Their model was confusing to the respondents as the respondents had to cater two randomizing devices while responding. Therefore, Mangat [15] presented a simpler technique which was more efficient.
The work of Narjis and Shabbir [16] and Hsieh et al. [17] is also to be noted in the case of the use of two-stage RR models in order to find the commonness of a sensitive characteristic. Singh and Singh [18] offered a technique for finding the population fraction of a stigmatized characteristic, making use of very well-known distribution that is negative binomial distribution for his work. Singh et al. [19] projected a three-stage randomized response model, making use of poisson distribution. Halim et al. [20] derived the transition matrices of the conditional misclassification probabilities of multiple above mentioned models and also worked on finding the association of variables while taking RR into account. Jaiswal et al. [21] projected the calibrated estimator of population mean under a unit response condition using inverse linear, logistic, and exponential integrated models.

1.2. Logistic Regression

When we are working on regression models, our top priority is to approximate the parameters of the mathematical model or the function involved. For this specific goal of parameter estimation, numerous techniques can be adopted. Regression has multiple applications in almost every field. Linear and quadratic multiple regression analysis to find the behavior of certain reactions in the chemistry field was carried out by Falodun et al. [22]. Dorugade [23] introduced new ridge parameters for ridge regression. The Bayesian approach was also used by Ateeq et al. [24] to find the recovery time for the patients of a contagious disease. The ordinary least square (OLS) regression is an incredible asset when the variables of interest are continuous; however, in the case of dichotomous variables, OLS is not valid. A few examples of binary variables are: a head shows up on flipping a coin, an individual smoking or not, a medical test having positive or negative outcomes, an individual having ownership of an industry or not, or a corporation coming to a decision to provide additional benefit to their workers. These referenced models result in a “yes” or “no” reaction. One method to evaluate such dichotomous response variables is logistic regression. Many researchers have utilized this technique of logistic regression in many exploration regions, especially in various subjects of psychological and social examinations, such as those by Clark and Beck [25], Waldman et al. [26], and many others. Not only in the social sciences but in numerous other studies in different fields, the predicted variable is usually stigmatized or sensitive, for example, drug addiction, tax evasion, induced abortion, sexual abuse etc. We express the effect of one variable on other variable(s) in terms of odds ratios in logit estimation.

1.3. Logit Estimation in Randomized Response

We need a procedure which can provide complete privacy to the respondent so that they have no fear of being stigmatized, as stated by Corstange [27]: “If the problem is that people have incentives to hide their true opinions or behavior from the interviewer, then our science suffers unless we can develop means to nullify these incentives. Survey respondents may not be willing to reveal their true answers to sensitive questions without foolproof guarantees of anonymity—not only from outside observers such as law enforcement or friends and family, but even from the interviewers themselves.” Ordinary logit models are not suitable when the response dichotomous variable relates to a sensitive issue. Corstange [27,28] projected a method which is known as hidden logit to deal with such problems. The hidden logit model is a customized structure of standard logit which standardizes the outcome of a tool or device which is used for randomization. This technique operates to display the genuine likelihood of a “yes” reply as a function of a predictor variable X. The odd ratio is known as:
ln π 1 π = X β
Considering π as the likelihood of a “yes” answer, we work to crack any RR model for π and supplant it in standard logits in order to get the hidden logit model. Utilizing an identical condition, we can discover our estimates of logits using ML methodology. We have to create the logit model form in terms of “X” and “β.” According to Corstange [27], the RR model consists of the following methodology: If flipping a coin is the randomizing device and if the coin lands on heads, the respondent is asked to say “yes” without clarification; however, if the coin lands on tails, they are supposed to provide a “yes/no” response according to the actual state they possess. Let us consider π as the probability of absolute “yes” and pas the real fraction of participants who truly answer “yes,” then the probability of a “yes” answer derived by Corstange [27] is provided as:
p(y) = θ = π + (1 − π) p
Solving Equation (2) for π and putting its value in Equation (1) to solve for θ, we obtain:
π = θ p 1 p θ = e X i β + p 1 + e X i β
Let us regard “yi” as a dichotomous variable, for which “1” represents a “yes” response and “0” represents a “no” reply. Subsequently the likelihood function of β is provided as:
L ( β y i ) = i = 1 n θ i y i ( 1 θ i ) 1 y i ,
The first derivative of Equation (4) is
ln L β = i = 1 n y i e X i β p + e X i β 1 + e X i β 1 X i
Setting Equation (5) as equivalent to zero maximizes this articulation, yet we cannot solve it scientifically. Therefore, to measure the parameters, this equation is settled numerically.
Hussain and Shabbir [29] and Hussain et al. [30] also employed different RRTs in order to calculate the hidden logits. The same has been accomplished by Halim et al. [31] for Mangat and Singh [14] RRT. Cruff et al. [32] and Chang et al. [33] also worked on logistic regression in different capacities. Hsieh and Perri [34] worked on finding more advanced approaches to check the components that are faced by researchers dealing with two stigmatized variates, taking RRT into account. Our study helps to find the estimates of logistic models in the case of sensitive issues when there is a complex RRT, like in the case of Huang [9]. This study significantly advances the use and evaluation of logistic models in situations when it is challenging to get sincere responses.
The rest of this article has the following sections. In Section 2, the proposed methodology of hidden logit is discussed using three RRTs. Section 3 presents the results and discussions using simulation. The last section states some concluding remarks.

2. Proposed Hidden Logits using Randomized Response Technique

In the past, many researchers have worked on finding the proportion of “yes” responses while working with sensitive or stigmatized issues. Generally, they have represented the probability of a “yes” response in the form of θ and used different RR devices to calculate it. We propose a methodology that involves finding the π of three RRTs and then incorporating it into the log–odd ratio to determine the value of θ, which is called the hidden logit. It is then used to find the estimates and standard errors of hidden logits and compare them with ordinary logits.

2.1. Proposed Hidden Logit Using Huang [9]

Huang [9] launched a survey technique which was very undemanding to approximate the sensitivity of survey inquiry. His recommended technique is better used to compute a fraction, when the participant of the underlying study responds fairly about possessing sensitive characteristic. One point to be noted is that this technique is also equally applied in the case of direct response surveys as in the case of randomized response surveys in order to get authentic responses. His suggested method has been shown to be more effective than several established RR methods. In the case that the respondent chooses “no,” the individual is provided with a randomization device with two explanations of having a place or not having a place in a sensitive group possessing certain probabilities, p and (1 − p). Regardless on the small chance that a direct or a randomized response process is utilized, the respondents will not tell a lie. In this example, it is imaginable for the interviewer that respondents will answer sincerely using the provided RR device in the case of a sensitive group and also in the case of the standard direct response procedure. Here, p is the population proportion of individuals who belong to sensitive group “A.” Let “T” be the probability that the respondents belonging to sensitive group “A” report the truth. The proportion of a “yes” answer is provided as:
p (y) = θ = p π (1 − T) + (1 − p) (1 − π)
Solving Equation (1) for π, we obtain:
θ   =   p   π     p   π   T   +   1     p     π   +   p   π θ   =   π   ( p     p   T   +   p     1 )   + 1     p π   ( p     p   T   +   p     1 )   =   θ     1   +   p π =   θ   1 + p 2 p     p T 1 .
Now we substitute the value of π from (7) in ordinary logits (1) and solve for θ:
ln θ 1 + p 2 p p T 1 / 1 θ 1 + p 2 p p T 1 = X i β ln [ θ 1 + p p pT θ ] = X i β θ ( 1 + e X i β )   =   ( p p T ) e X i β +   1 p θ =   p p T e X i β +   1 p 1 + e X i β
We can see that, for p = 1, T = 0, Equation (8) behaves as the ordinary logits. Further calculations to work on the likelihood function are done as shown below.
Let us first find ∂θi/∂β:
θ i β = ( 1 + e X i β ) β { p p T e X i β +   1 p }   { p p T e X i β +   1 p } β ( 1 + e X i β ) ( 1 + e X i β ) 2 θ i β = e X i β X i ( 2 p p T 1 ) ( 1 + e X i β ) 2 .
Replacing ∂θi/∂β from (9) and θ from (8) in the derivative of log likelihood function ∂ ln L/∂β from (5), we get:
= i = 1 n { e X i β X i 2 p p T 1 1 + e X i β [ y i p p T e X i β + 1 p + y i 1 + e X i β p p T   e X i β 1 + p 1 1 + e X i β p p T   e X i β 1 + p ] } ln L β = i = 1 n { e X i β X i 2 p p T 1 { 1 +   e X i β p p T   e X i β   1 + p } [ y i { p p T e X i β +   1 p } 1 1 + e X i β ] }
Setting Equation (10) as equivalent to zero maximizes this articulation, yet we cannot solve it scientifically. Therefore, to gauge the parameters, this equation is settled numerically.

2.2. Proposed Hidden Logit Using Warner [4]

Warner [4] initiated the RR technique to use with socially stigmatized or sensitive characteristics. He employed a spinner as a RR device, consisting of two mutually exclusive groups. He used a spinner with two proclamations of fitting in to group “A” or to group “B.” Here, “A” is the cluster of people possessing a susceptible attribute. In RR, such a security assurance is provided so that the respondent simply responds with a “yes” or “no” relying upon his standing of having a susceptible attribution. Here p and (1 − p) are the respective probabilities of whether the spinner will point to the first or second statement. The probability of a “yes” response is given as:
p (y) = θ = p π + (1 − p) (1 − π)
Getting the value of π from (11), we obtain:
π =     θ ( 1 p ) 2 p 1
Now replacing value of π from (12) in ordinary logits (1) and solving for θ, we obtain:
ln θ ( 1 p ) 2 p 1 / 1 θ ( 1 p ) 2 p 1 = X i β ln [ θ 1 + p p θ ] = X i β θ 1 + p = ( p θ ) e X i β θ 1 + p   = p e X i β θ e X i β   θ = p e X i β + 1 p 1 + e X i β
For p = 1, Equation (13) behaves as the standard logits. Further calculations to work on the likelihood function are done as shown below.
Let us first find ∂θi/∂β
θ i β = ( 1 + e X i β )     β p e X i β + 1 p p e X i β + 1 p     β ( 1 + e X i β ) ( 1 + e X i β ) 2 θ i β = p e X i β X i + p e 2 X i β X i p e 2 X i β X i e X i β X i + p e X i β X i ( 1 + e X i β ) 2 θ i β = ( 2 p 1 ) X i e X i β ( 1 + e X i β ) 2
Replacing ∂θi/∂β from (14) and θ from (13) in the derivative of log likelihood function ∂ln L/∂β from (5), we get:
ln L β = i = 1 n y i 1 p e X i β + 1 p 1 + e X i β ( 2 p 1 ) X i e X i β 1 + e X i β 2 + 1 y i 1 1 p e X i β + 1 p 1 + e X i β ( 1 ) ( 2 p 1 ) X i e X i β 1 + e X i β 2 = i = 1 n 2 p 1 X i e X i β ( e X i β 1 p + p ) y i ( p e X i β + 1 p ) 1 1 + e X i β ln L β = i = 1 n 2 p 1 X i e X i β ( e X i β 1 p + p ) y i ( p e X i β + 1 p ) 1 1 + e X i β

2.3. Proposed Hidden Logit Using Mangat [15]

The two-stage RRT utilized by Mangat and Singh [14] has been criticized by Mangat [15] for perhaps misleading the respondents when they are reporting. Therefore, Mangat [15] suggested a less complex method to address this problem. Respondents in the suggested technique are instructed to employ Warner’s [4] randomized device with fitting in or no in group A, and they must respond “yes” or “no” as per the outcomes of the randomized tool and their genuine standing. The probability of a “yes” response is provided as:
p (y) = θ = π + (1 − π) (1 − p)
Solving Equation (16) for the value of π, we obtain:
π =     θ ( 1 p ) p
Putting the value of π in standard logit as defined in Equation (1) and working for θ, we obtain:
θ 1 + p 1 θ =   e X i β θ + θ e X i β = e X i β + 1 p   θ =   e X i β +   1 p 1 + e X i β
For p = 1, Equation (18) behaves as the standard logits. Further calculations to work on the likelihood function are done as shown below.
Let us first find ∂θi/∂β
θ i β = ( 1 + e X i β ) β e X i β +   1 p   e X i β +   1 p β ( 1 + e X i β ) ( 1 + e X i β ) 2 = ( 1 + e X i β ) e X i β X i   ( e X i β + 1 p ) e X i β X i   ( 1 + e X i β ) 2 = e X i β   X i   + e 2 X i β X i   e 2 X i β X i   e X i β X i   + p e X i β X i   ( 1 + e X i β ) 2 θ i β = p X i e X i β ( 1 + e X i β ) 2
Replacing ∂θi/∂β from (19) and θ from (18)in the derivative of the log likelihood function ∂ ln L/∂β from (5), we get:
ln L   β = i = 1 n y i   1 θ i θ i β + ( 1 y i   ) 1 1 θ i ( 1 ) θ i β = i = 1 n y i 1 e X i β + 1 p 1 + e X i β p X i e X i β   1 + e X i β 2 + 1 y i 1 1 e X i β + 1 p 1 + e X i β ( 1 ) p X i e X i β   1 + e X i β 2 = i = 1 n y i p X i e X i β ( e X i β + 1 p ) ( 1 + e X i β ) ( 1 y i ) e X i β X i ( 1 + e X i β ) = i = 1 n y i p + e X i β + 1 p ( e X i β + 1 p ) ( 1 + e X i β ) ( 1 + e X i β ) 1 ln L   β = i = 1 n y i e X i β ( e X i β + 1 p ) ( 1 + e X i β ) 1 X i
As discussed earlier, setting Equations (5), (10), (15) and (20) as equivalent to zero maximizes them, yet we cannot solve them scientifically; therefore, to gauge the parameters, this equation is settled numerically.

3. Simulation Study

For empirical illustration, using the “Eviews” software, sample sizes of 1000 are produced, setting different values of p and T. A model for three regressors is considered for simulation. The data are generated by taking uniform distribution for parameters ranging from −3 to 3. Hence, the logit estimation is carried out using the starting values of β, set as (0, 1, 1, 1), where 0 is a constant or intercept term and 1’s are the estimates of β.
This section consists of three parts. In each part, the proposed methodology is adopted to get the estimates of the β’s which are represented by b’s, with their standard errors, Akaike Information Criterion (AIC), and Schwarz Information Criterion (SIC) values for all three RRTs, respectively.
The AIC and SIC are among the best methods for model selection. They serve as principles for selecting the best model from among many models of interest. The model with the minimum AIC among all the models is considered a good model, indicating that a lower AIC value signifies a better fit. AIC can be calculated using the following formula:
AIC = −2 ln(L) + 2k
SIC is closely interrelated to AIC but not the same.SIC can be calculated using the following formula:
SIC = −2 ln(L) + 2 ln (N)k

3.1. Estimates Using Huang [9] RRT

In the first part, we conduct assessment of the proposed hidden logit model by Huang [9] for various values of p and T. We utilize the proposed hidden logit structure delivered in Equation (8) for this purpose. Table 1, Table 2 and Table 3 and Figure 1, Figure 2 and Figure 3 exhibit the estimation of the b’s, standard errors (SE), AIC, and SIC values and their graphs, respectively. In Table 1 and Table 2, all values show the standard logits, which are acquired by taking p = 1 and T = 0 in the noted RRT.

Results Discussion for Huang [9] RRT

We have calculated the estimates of the b’s for the different values of T and p, which are displayed in Table 1 and Figure 1. As an interpretation, we can state that taking the upper values of p, however low the values of T are, these show the same patterns as those of the standard logits. The logit estimates for Huang [9] RRT are altogether not the same as the normal values of the standard logits for p = 0.5–0.7 when T is set under 0.5. Nonetheless, these will generally move toward the standard logits when p is greater than 0.5. The values are indeed extremely high for T, between 0.2–0.3 and p = 0.5, and as p rises, the values of estimates decline and start approaching towards the standard logits. The same is the case for T = 0.4–0.5 and p = 0.6. Similar patterns of estimates might be seen when T = 0.6–0.7 and p = 0.7 are utilized. A very necessary point to be noted here is that the estimated values of the b’s in the current technique exhibit extreme and divergent behavior when compared to conventional logits for a very elevated p and T, for which we can say that estimates are not reliable and consistent for the mentioned values of p and T. In all of the tables, the standard logit estimates are shown with p = 1. All in all, we might express that, for each increase in p and fall in T, the estimates are moving toward the ordinary logits.
The standard error of estimates for the proposed hidden logit for Huang [9] RRT can be seen in Table 2 and Figure 2. For a greater p and lower T, one can interpret that the standard errors lead to estimates that are fairly alike to regular logits. Elevated values of T and p bring about standard errors that go incredibly amiss from the anticipated values and show an unpredictable way of behaving. When p = 1, the standard errors of the estimates of ordinary logits are displayed. As a conclusion, we can state that an elevated p and lower values of T are associated with decreasing standard errors of estimations.
Table 3 and Figure 3 show the AIC and SIC to be more accurate for an elevated p and T. One can observe that these values are smallest for the highest p and T; hence, the best model fit for p and T can be considered as 0.9.

3.2. Estimates Using Warner [4] RRT

In the current section, we conduct an estimation of the proposed hidden logits using Warner [4] RRT, setting various values of p. We use the proposed hidden logit form produced in Equation (13) using the mentioned procedure in Section 2. Table 4, Table 5 and Table 6 and Figure 4 demonstrate the estimates of the b’s, standard errors, AIC, and SIC values and their graphs, respectively. In Table 4 and Table 5, the values against p when it is equal to 1 are standard logits, which can be obtained by taking p = 1 in Equation (13).

Results Discussion for Warner [4] RRT

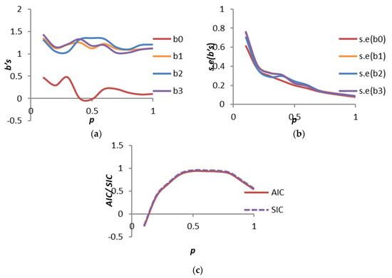
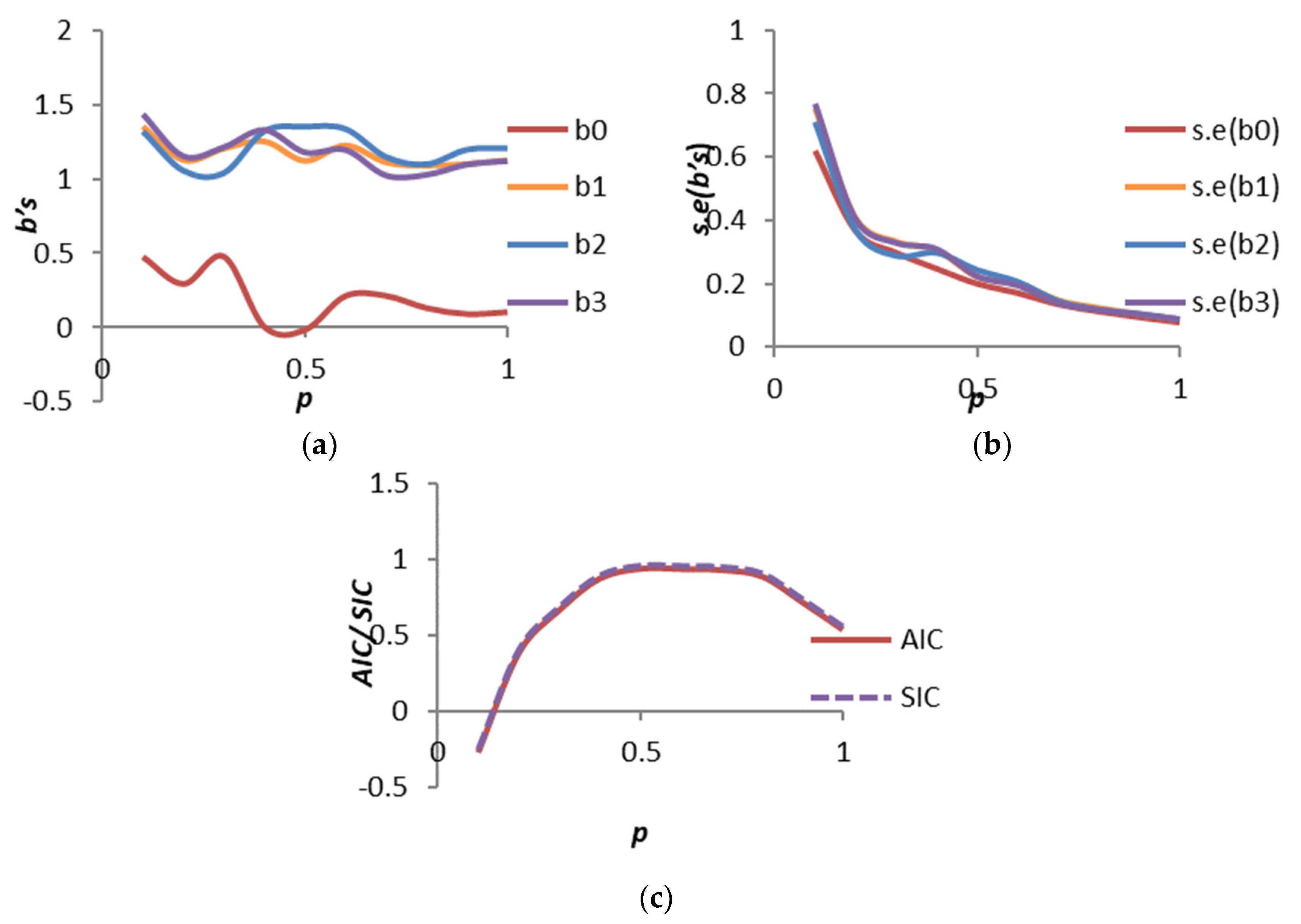
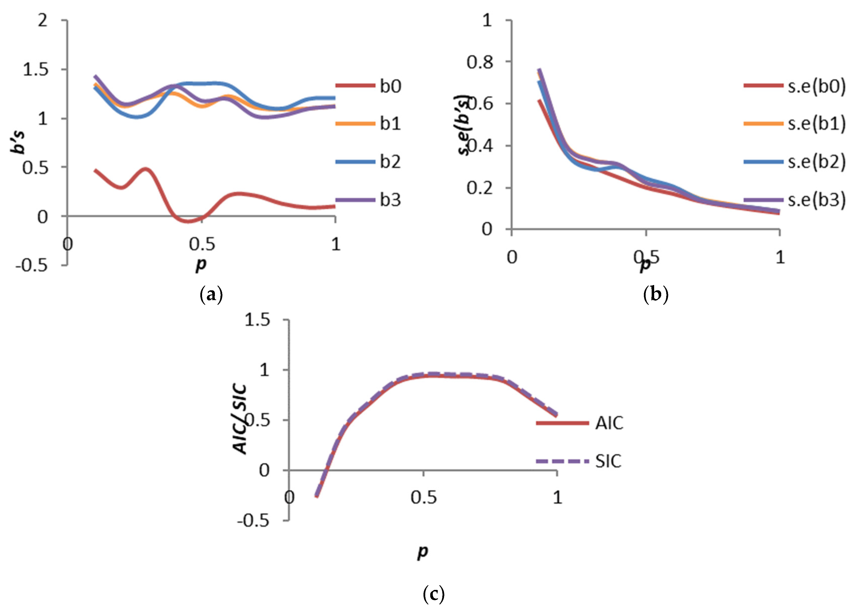
Table 4, Table 5 and Table 6 are show the comparison of the performance for our proposed method’s estimates with ordinary logit estimates. From Figure 4a, we perceive that the estimates of our proposed methodology come back to the estimates of b’s, which are fairly close to ordinary logits. We observe a symmetric behavior in the values of b’s around p = 0.5. For p below 0.5, estimates are found to be increasing and then begin to decrease for p above 0.5. When p is 0.5, the estimates do not exist, as defined by Warner [4]. Setting p = 0.9, standard logits and the proposed hidden logit become quite close to the estimates of the standard logits. Since Figure 4b exhibits the same behavior as Figure 4a, the same conclusion may be applied to SE. An extremely important aspect worth highlighting here is that the estimated values of b’s and their SE exhibit an extreme and divergent behavior for p = 0.6. Therefore, we can say that estimates are not reliable and consistent for p = 0.6. Figure 4c illustrates that AIC and SIC begin to decline when higher values of p are taken, and, hence, they are the lowest for p = 0.9, which can be regarded as the best model fit for higher values of p.

3.3. Estimates Using Mangat [15] RRT

In the present section, we conduct an estimation of the hidden logits for Mangat [15] RRT, setting various values of p. We use the proposed hidden logit form produced in Equation (18) using the procedure mentio0ned in Section 2 for this purpose. Table 7, Table 8 and Table 9 show the b’s, SE, AIC, and SIC values. Also, Figure 5 depicts their graphical display for different values of p using Mangat [15]. In Table 7 and Table 8, under p equals to 1, one can see the standard logit values, which can be obtained by taking p as 1 in Equation (18).

Results Discussion for Mangat [15] RRT

Table 7, Table 8 and Table 9 are made to show the comparison of performance for our proposed method’s estimates for Mangat [15] RRT with ordinary logit estimates. From Figure 5a, we identify that the estimates of our proposed methodology show random behavior for diverse values of p. The estimates move towards standard logits setting p = 0.9. Figure 5b depicts that the values of SE decrease as p increases. Hence, no extreme pattern is observed. Figure 5c depicts that the AIC and SIC are the minimum for the lowest value of p, so taking p = 0.1can be considered as the best model fit.

4. Conclusions

This research depicts the results of the proposed hidden logit using different RRTs. A comparison for each RRT has already been conducted for ordinary and proposed hidden logits in Section 3. It can be observed that the calculated values converge to the ordinary logits when setting a higher value of p for all RRTs and lower values of T using Huang [9] RRT. We discovered that, as p increases, in all three RRTs, the hidden logit estimates approach the population parametric values. Additionally, we observe that the standard errors of the estimates decreases as p rises, and they are the least for p = 1. As a comparison between all three used RRTs, we can state that estimates for our proposed methodology using Huang [9] RRT are more accurate and are nearer to the population estimates. Thus, in the case of sensitive parameters, hidden logit estimation adopting Huang [9] RRT is more suitable to generate accurate estimates of population proportions. The AIC and SIC values also lead us to the same conclusion. The model with the lowest AIC and SIC is considered the best model. The values of AIC and SIC for Huang [9] are 0.3312 and 0.3509, which are found to be the least among all the above-discussed models. Therefore, Huang [9] can be considered the best model fit for higher values of p. This study makes a significant contribution to the application and evaluation of logistic models when investigating a sensitive topic and finding honest responses is difficult. We suggest that the proposed methodology of hidden logits can be employed with other RRTs.

Author Contributions

Conceptualization, A.H.; Methodology, A.H., I.A.A., A.M.A. and M.A.A.; Software, A.H. and A.M.A.; Validation, A.H.; Formal analysis, A.H. and M.A.A.; Investigation, A.H.; Resources, A.H.; Data curation, A.H.; Writing—original draft, A.H., I.A.A., A.M.A. and M.A.A.; Writing—review & editing, A.H., I.A.A., A.M.A. and M.A.A.; Visualization, A.H.; Supervision, I.A.A.; Project administration, A.M.A.; Funding acquisition, A.M.A. and M.A.A. All authors have read and agreed to the published version of the manuscript.

Funding

This work was supported by the Deanship of Scientific Research, Vice Presidency for Graduate Studies and Scientific Research, King Faisal University, Saudi Arabia [Grant No. 3943].

Institutional Review Board Statement

Not applicable.

Informed Consent Statement

Not applicable.

Data Availability Statement

All the relevant data information is available within the manuscript.

Conflicts of Interest

The authors declare no conflict of interest.

References

  1. Geurts, M.D. Using a randomized response research design to eliminate non-response and response biases in business research. J. Acad. Mark. Sci. 1980, 8, 83–91. [Google Scholar] [CrossRef]
  2. Mirhosseini, Z.; Pakdel, P.; Ebrahimi, M. Women, Sexual Harassment, and Coping Strategies: A Descriptive Analysis. Iran. Rehabil. J. 2023, 21, 117–126. [Google Scholar] [CrossRef]
  3. Kassa, E.T. Factors influencing taxpayers to engage in tax evasion: Evidence from Woldia City administration micro, small, and large enterprise taxpayers. J. Innov. Entrep. 2021, 10, 8. [Google Scholar] [CrossRef]
  4. Warner, S.L. Randomized response: A survey technique for eliminating evasive answer bias. J. Am. Stat. Assoc. 1965, 60, 63–69. [Google Scholar] [CrossRef]
  5. Greenberg, B.G.; Abul-Ela AL, A.; Simmons, W.R.; Horvitz, D.G. The unrelated question randomized response model: Theoretical framework. J. Am. Stat. Assoc. 1969, 64, 520–539. [Google Scholar] [CrossRef]
  6. Moors, J.J.A. Optimization of the unrelated question randomized response model. J. Am. Stat. Assoc. 1971, 66, 627–629. [Google Scholar] [CrossRef]
  7. Mahmood, M.; Singh, S.; Horn, S. On the confidentiality guaranteed under randomized response sampling: A comparison with several new techniques. Biom. J. 1998, 40, 237–242. [Google Scholar] [CrossRef]
  8. Christofides, T.C. A generalized randomized response technique. Metrika 2003, 57, 195–200. [Google Scholar] [CrossRef]
  9. Huang, K.C. A survey technique for estimating the proportion and sensitivity in a dichotomous finite population. Stat. Neerl. 2004, 58, 75–82. [Google Scholar] [CrossRef]
  10. Kim, J.M.; Warde, W.D. Some new results on the multinomial randomized response model. Commun. Stat. Theory Methods 2005, 34, 847–856. [Google Scholar] [CrossRef]
  11. Kim, J.M.; Warde, W.D. A Mixed Randomized Response Model. J. Stat. Plan. Inference 2005, 133, 211–221. [Google Scholar] [CrossRef]
  12. Kim, J.M.; Elam, M.E. A stratified unrelated question randomized response model. Stat. Pap. 2007, 48, 215–233. [Google Scholar] [CrossRef]
  13. Kim, J.M.; Chae, S.S. Three-stage stratified randomize response model. Korean J. Appl. Stat. 2010, 23, 533–543. [Google Scholar] [CrossRef]
  14. Mangat, N.S.; Singh, R. An alternative randomized response procedure. Biometrika 1990, 77, 439–442. [Google Scholar] [CrossRef]
  15. Mangat, N.S. An improved randomized response strategy. J. R. Stat. Soc. B 1994, 56, 93–95. [Google Scholar] [CrossRef]
  16. Narjis, G.; Shabbir, J. An improved two-stage randomized response model for estimating the proportion of sensitive attribute. Sociol. Methods Res. 2023, 52, 335–355. [Google Scholar] [CrossRef]
  17. Hsieh, S.H.; Lee, S.M.; Li, C.S. A two-stage multilevel randomized response technique with proportional odds models and missing covariates. Sociol. Methods Res. 2022, 51, 439–461. [Google Scholar] [CrossRef]
  18. Singh, G.; Singh, C. Proficient randomized response model based on blank card strategy to estimate the sensitive parameter under negative binomial distribution. Ain Shams Eng. J. 2022, 13, 101611. [Google Scholar] [CrossRef]
  19. Singh, C.; Singh, G.N.; Kim, J.M. A randomized response model for sensitive attribute with privacy measure using Poisson distribution. Ain Shams Eng. J. 2021, 12, 4051–4061. [Google Scholar] [CrossRef]
  20. Halim, A.; Arshad, I.A.; Haroon, S.; Shair, W. Effect of Misclassification on Test of Independence Using Different Randomized Response Techniques. J. Policy Res. 2022, 8, 427–438. [Google Scholar] [CrossRef]
  21. Jaiswal, A.K.; Usman, M.; Singh, G.N. New calibration estimation procedure in the presence of unit non response. Ain Shams Eng. J. 2023, 14, 101910. [Google Scholar] [CrossRef]
  22. Falodun, B.O.; Ige, E.O. Linear and quadratic multiple regressions analysis on magneto-thermal and chemical reactions on the Casson-Williamson nanofluids boundary layer flow under Soret-Dufour mechanism. Arab. J. Basic Appl. Sci. 2022, 29, 269–286. [Google Scholar] [CrossRef]
  23. Dorugade, A.V. New ridge parameters for ridge regression. J. Assoc. Arab. Univ. Basic Appl. Sci. 2014, 15, 94–99. [Google Scholar] [CrossRef]
  24. Ateeq, K.; Altaf, S.S.; Aslam, M. Modeling and analysis of recovery time for the COVID-19 patients: A Bayesian approach. Arab. J. Basic Appl. Sci. 2023, 30, 1–12. [Google Scholar] [CrossRef]
  25. Clark, D.A.; Beck, A.T. Personality factors in dysphoria: A psychometric refinement of Beck's Sociotropy-Autonomy Scale. J. Psychopathol. Behav. Assess. 1986, 13, 369–388. [Google Scholar] [CrossRef]
  26. Waldman, I.D.; Robinson, B.F.; Rowe, D.C. A logistic regression based extension of the TDT for continuous and categorical traits. Ann. Hum. Genet. 1999, 63, 329–340. [Google Scholar] [CrossRef]
  27. Corstange, D. Sensitive questions, truthful responses? Randomized response and hidden logit as a procedure to estimate it. In Proceedings of the Annual Meeting of the American Political Science Association, Washington, DC, USA, 2–5 September 1986; Available online: http://www.umich.edu/~dancorst (accessed on 17 December 2021).
  28. Corstange, D. Sensitive Questions, Truthful Answers? Modeling the List Experiment with LISTIT. Political Anal. 2009, 17, 45–63. [Google Scholar] [CrossRef]
  29. Hussain, Z.; Shabbir, J. Logit estimation using Warner’s randomized response model. J. Mod. Appl. Stat. Methods 2008, 7, 140–151. [Google Scholar] [CrossRef]
  30. Hussain, Z.; Anjum, S.; Shabbir, J. Improved logit estimation through Mangat randomized response model. Int. J. Bus. Soc. Sci. 2011, 2, 179–188. [Google Scholar]
  31. Halim, A.; Arshad, I.A.; Haroon, S.; Shair, W. A Comparative Study of Modified Hidden Logits Using Randomized Response Techniques. J. Policy Res. 2022, 8, 447–461. [Google Scholar] [CrossRef]
  32. Cruff, M.J.L.F.; Böckenholt, U.; Van der Heijden, P.G.M.; Frank, L.E. Chapter 18—A Review of Regression Procedures for Randomized Response Data, Including Univariate and Multivariate Logistic Regression, the Proportional Odds Model and Item Response Model, and Self-Protective Responses. In Handbook of Statistics; Chaudhuri, A., Christofides, T.C., Rao, C.R., Eds.; Elsevier: Amsterdam, The Netherlands, 2009; pp. 287–315. [Google Scholar] [CrossRef]
  33. Chang, P.C.; Pho, K.H.; Lee, S.M.; Li, C.S. Estimation of parameters of logistic regression for two stage randomized response technique. Comput. Stat. 2021, 36, 2111–2133. [Google Scholar] [CrossRef]
  34. Hsieh, S.H.; Perri, P.F. A Logistic Regression Extension for the Randomized Response Simple and Crossed Models: Theoretical Results and Empirical Evidence. Sociol. Methods Res. 2020, 51, 1244–1281. [Google Scholar] [CrossRef]
Figure 1. Estimates of b’s using Huang [9] RRT. (a) T = 0.1; (b) T = 0.2; (c) T = 0.3; (d) T = 0.4; (e) T = 0.5; (f) T = 0.6; (g) T = 0.7; (h) T = 0.8; (i) T = 0.9.
Figure 1. Estimates of b’s using Huang [9] RRT. (a) T = 0.1; (b) T = 0.2; (c) T = 0.3; (d) T = 0.4; (e) T = 0.5; (f) T = 0.6; (g) T = 0.7; (h) T = 0.8; (i) T = 0.9.
Symmetry 15 01636 g001
Figure 2. The s.e(b’s) using Huang [9] RRT. (a) T = 0.1; (b) T = 0.2; (c) T = 0.3; (d) T = 0.4; (e) T = 0.5; (f) T = 0.6; (g) T = 0.7; (h) T = 0.8; (i) T = 0.9.
Figure 2. The s.e(b’s) using Huang [9] RRT. (a) T = 0.1; (b) T = 0.2; (c) T = 0.3; (d) T = 0.4; (e) T = 0.5; (f) T = 0.6; (g) T = 0.7; (h) T = 0.8; (i) T = 0.9.
Symmetry 15 01636 g002
Figure 3. AIC and SIC using Huang [9] RRT. (a) T = 0.1; (b) T = 0.2; (c) T = 0.3; (d) T = 0.4; (e) T = 0.5; (f) T = 0.6; (g) T = 0.7; (h) T = 0.8; (i) T = 0.9.
Figure 3. AIC and SIC using Huang [9] RRT. (a) T = 0.1; (b) T = 0.2; (c) T = 0.3; (d) T = 0.4; (e) T = 0.5; (f) T = 0.6; (g) T = 0.7; (h) T = 0.8; (i) T = 0.9.
Symmetry 15 01636 g003
Figure 4. Estimates of ’s, the s.e(b’s), AIC, and SIC using Warner [4] RRT. (a) b’s; (b) s.e(b’s); (c) AIC and SIC.
Figure 4. Estimates of ’s, the s.e(b’s), AIC, and SIC using Warner [4] RRT. (a) b’s; (b) s.e(b’s); (c) AIC and SIC.
Symmetry 15 01636 g004
Figure 5. Estimates of b’s, the s.e(b’s), AIC, and SIC using Mangat [15] RRT. (a) b’s; (b) s.e(b’s); (c) AIC and SIC.
Figure 5. Estimates of b’s, the s.e(b’s), AIC, and SIC using Mangat [15] RRT. (a) b’s; (b) s.e(b’s); (c) AIC and SIC.
Symmetry 15 01636 g005
Table 1. Estimates of b’s for different values of p and T using Huang [9] RRT.
Table 1. Estimates of b’s for different values of p and T using Huang [9] RRT.
T p
0.10.20.30.40.50.60.70.80.91
0.1b0−0.2315−0.3557−0.4683−0.5968−37.64833.81446.71900.19590.14950.2143
b11.15061.27401.09820.818712.930226.044551.55731.15331.02051.3130
b21.01811.08240.95190.802520.775026.539352.66521.19571.04871.3005
b31.10221.19381.07670.82878.870824.830349.43211.05860.97611.2327
0.2b00.21980.31390.42170.870329.0133−0.9106−7.7908−0.5114−0.4490−0.2226
b10.95570.88260.92931.155617.807722.915482.80461.91421.36161.0345
b20.89060.84990.91871.225414.352012.865451.22371.54531.24300.9949
b30.92050.90420.98221.170113.838318.908267.62191.72641.27060.9998
0.3b00.05320.09400.10650.157835.5098−17.8329−0.6050−0.2031−0.0517−0.1252
b11.07891.13201.08451.117368.27623.15021.34980.98601.02100.9978
b20.97920.97990.88300.869836.071421.91521.55950.94261.02221.0171
b31.08581.09051.09951.253375.523720.44261.54910.89581.00670.9436
0.4b0−0.03720.00010.06770.1156−0.17142.07710.02930.08280.10070.1844
b10.90270.88300.98230.81331.383920.13940.48580.63070.71310.9475
b20.98730.93871.05750.89321.579417.18670.11390.47890.63780.9445
b30.87930.85280.93750.74741.053316.51360.26830.55960.70220.9939
0.5b00.14530.25060.26880.14210.458745.6701−4.7114−15.1090−0.0787−0.1730
b11.03501.08371.01691.12300.85715.38685.199030.72261.20671.0224
b21.01041.02180.96851.00630.945512.036921.713848.52091.33441.0162
b30.92130.94350.94631.02350.854939.166418.513447.71351.25491.0472
0.6b00.03670.01770.15990.20480.20790.0932−29.0775−16.9430−0.2394−0.0752
b10.91940.94060.92920.88781.00520.7331−8.421820.57010.99220.9680
b20.97650.99280.94770.83440.90760.924916.629438.87921.26450.9397
b30.88550.88850.77630.72060.74770.55765.783950.19511.43590.9764
0.7b0−0.0191−0.0516−0.1179−0.16260.02710.26671.2094−31.4399−0.11930.0174
b10.93020.93990.99530.92840.95110.5609−0.220025.35070.85901.0268
b21.00651.10641.15231.06521.24511.09340.9642−14.26200.29011.0739
b30.93480.98731.05210.95050.94561.00240.6781−3.47370.61451.0780
0.8b0−0.0824−0.0556−0.1036−0.0945−0.1405−0.30940.0584−24.792417.0574−0.0551
b11.14241.02541.00480.99781.01001.26521.048117.372126.51090.9780
b21.05030.96050.96580.85240.77110.99200.3900−7.932527.73561.1377
b31.18691.13631.16831.03261.04021.20880.950325.839029.41901.0852
0.9b00.14790.20480.10760.0432−0.0520−0.1903−0.12740.254625.1478−0.0819
b11.26411.00871.14081.16451.40971.58911.25651.446417.74830.8769
b20.98890.77790.88480.87810.97221.01130.76590.4046−8.78231.0096
b31.15420.88771.07501.08921.39241.38741.03690.889120.94050.8866
Table 2. The s.e(b’s) for different values of p and T using Huang [9] RRT.
Table 2. The s.e(b’s) for different values of p and T using Huang [9] RRT.
T p
0.10.20.30.40.50.60.70.80.91
0.1s.e(b0)0.11870.18410.27890.4818333.417914.224616.29810.22260.14290.0829
s.e(b1)0.13090.21420.28320.3892115.118798.1811132.22720.24540.14520.1006
s.e(b2)0.12130.19160.25740.3840184.2341100.0052134.64270.25500.14980.1015
s.e(b3)0.12630.20430.27880.386079.146493.9812126.90710.22860.13900.0953
0.2s.e(b0)0.10630.15120.23760.5328118.95576.879721.15520.31980.18070.0763
s.e(b1)0.10730.14250.22600.504972.4404112.2464237.21960.52800.22600.0815
s.e(b2)0.09930.13430.21650.512058.166164.1223147.09310.42900.20490.0769
s.e(b3)0.10290.14190.22970.503856.447692.9373193.26150.47200.20890.0779
0.3s.e(b0)0.10400.14620.20740.3421174.6854319.99810.75280.27800.18120.0749
s.e(b1)0.11610.16920.23270.3915332.916757.36420.88390.28700.19410.0786
s.e(b2)0.10740.15090.20010.3258174.9152388.22870.97720.27490.19210.0786
s.e(b3)0.11380.16060.22860.4135367.7805363.65870.96750.26450.18820.0742
0.4s.e(b0)0.10490.14070.20110.27660.639423.05300.60720.29620.19460.0759
s.e(b1)0.09970.13190.20260.24660.8380199.27090.40590.22760.16040.0745
s.e(b2)0.10770.13940.21680.26360.9542170.38810.34770.20540.15270.0749
s.e(b3)0.10030.13190.20000.23870.6852163.34790.37640.22060.16150.0778
0.5s.e(b0)0.10160.13650.18400.27000.4326203.312534.433763.90270.31590.0776
s.e(b1)0.10640.14610.18720.30160.374623.486537.7949136.76670.37030.0800
s.e(b2)0.10360.13910.17950.27560.395753.2446156.7400218.18050.39110.0782
s.e(b3)0.09530.12910.17320.27400.3651174.0958133.5330215.89150.36950.0784
0.6s.e(b0)0.09950.12950.16780.22220.34300.5897442.954972.18980.40890.0754
s.e(b1)0.09620.12740.16110.20430.34360.4968128.395286.87680.41200.0758
s.e(b2)0.10080.13280.16570.20050.32810.5698252.7913165.15530.49130.0742
s.e(b3)0.09410.12300.14520.18320.28900.439588.0650212.97950.54110.0762
0.7s.e(b0)0.09460.12230.16000.20520.28770.43621.3614242.17300.41770.0747
s.e(b1)0.09560.12530.17020.20630.29830.32750.5764194.67920.37290.0811
s.e(b2)0.10170.14090.18990.22810.36130.47220.9774109.93770.26310.0846
s.e(b3)0.09700.13020.17710.21040.30060.44600.767627.08930.32730.0845
0.8s.e(b0)0.09920.12040.15160.18520.24320.38490.5409227.509179.75970.0745
s.e(b1)0.11160.12520.15520.18840.24800.45340.5690158.6066123.66290.0762
s.e(b2)0.10710.12240.15480.17250.21160.38220.354273.3429130.30870.0864
s.e(b3)0.11510.13530.17400.19210.25110.43350.5302235.3178137.09300.0830
0.9s.e(b0)0.10230.11420.14360.17360.23320.31060.38010.6612618.00200.0743
s.e(b1)0.12560.11700.16300.20090.31720.46240.46530.8783436.60870.0697
s.e(b2)0.10240.09730.13340.16100.23130.31440.32380.4338221.70210.0752
s.e(b3)0.11590.10680.15490.19040.31310.41540.40880.6551516.23360.0696
Table 3. AIC and SIC for different values of p and T using Huang [9] RRT.
Table 3. AIC and SIC for different values of p and T using Huang [9] RRT.
T p
0.10.20.30.40.50.60.70.80.91
0.1AIC0.97671.18851.34931.42321.45301.43961.40261.30711.16420.5164
SIC0.99631.20811.36891.44281.47261.45921.42221.32681.18390.5360
0.2AIC1.00771.21621.33871.40871.42201.41191.34031.25901.10750.6667
SIC1.02731.23581.35841.42831.44161.43161.36001.27871.12710.6863
0.3AIC0.95661.16281.29741.37381.41191.42311.37341.31281.19410.7118
SIC0.97631.18241.31701.39341.43161.44271.39311.33241.21380.7315
0.4AIC1.02851.22591.30751.37101.39771.39661.37721.31431.22410.6822
SIC1.04821.24551.32711.39061.41731.41621.39691.33401.24370.7019
0.5AIC0.90041.05161.19361.28981.32421.33991.31821.26621.15050.6235
SIC0.92001.07121.21331.30951.34381.35951.33791.28581.17010.6431
0.6AIC0.95401.11401.23201.30101.32501.31931.29131.18981.06820.6666
SIC0.97371.13361.25161.32061.34461.33901.31091.20941.08780.6862
0.7AIC0.93641.08011.18031.25791.25251.20521.12751.00500.90880.6575
SIC0.95601.09971.20001.27761.27211.22491.14721.02470.92840.6771
0.8AIC0.83901.00821.11591.17391.19511.15871.06150.96500.66060.5955
SIC0.85861.02781.13551.19361.21471.17831.08120.98470.68030.6151
0.9AIC0.88621.05151.09331.11321.09061.02950.90750.65740.33120.6730
SIC0.90591.07111.11291.13281.11021.04910.92720.67700.35090.6926
Table 4. Estimates of b’s for different values of p using Warner [4] RRT.
Table 4. Estimates of b’s for different values of p using Warner [4] RRT.
b’s/p0.10.20.30.40.60.70.80.91
b00.17850.15540.22450.1680−7.4527−0.18750.10890.0252−0.0415
b10.89710.93160.93970.765528.65841.27120.98701.04101.0192
b20.93610.93730.84880.696836.58501.34680.98701.04200.9907
b30.91930.89680.85650.893317.13970.94360.79390.93400.9356
Table 5. The s.e(b’s) for different values of p using Warner [4] RRT.
Table 5. The s.e(b’s) for different values of p using Warner [4] RRT.
s.e(b’s)/p0.10.20.30.40.60.70.80.91
s.e(b0)0.11350.16680.26290.518215.73080.29940.16620.11380.0759
s.e(b1)0.10770.16290.25590.445562.89870.37020.17040.12150.0799
s.e(b2)0.11000.16220.23870.422380.26080.37980.16840.12000.0773
s.e(b3)0.10720.15550.23620.477937.59540.28740.14460.11010.0736
Table 6. AIC and SIC for different values of p using Warner [4] RRT.
Table 6. AIC and SIC for different values of p using Warner [4] RRT.
p0.10.20.30.40.50.60.70.80.91
AIC1.04061.24011.36311.43441.45961.42221.35911.24630.99340.6506
SIC1.06021.25971.38271.45401.47921.44181.37871.26591.01300.6702
Table 7. Estimates of b’s for different values of p using Mangat [15] RRT.
Table 7. Estimates of b’s for different values of p using Mangat [15] RRT.
b’s/p0.10.20.30.40.50.60.70.80.91
b00.47920.29640.48080.0060−0.01500.21510.21600.13340.09340.1061
b11.35411.12281.20251.25141.11771.22351.10791.08461.09591.1219
b21.32131.05381.03821.32351.35311.33841.14751.09751.19711.2074
b31.43291.15121.21261.32751.17711.19371.02251.02661.09591.1199
Table 8. The s.e(b’s) for different values of p using Mangat [15] RRT.
Table 8. The s.e(b’s) for different values of p using Mangat [15] RRT.
s.e(b’s)/p0.10.20.30.40.50.60.70.80.91
s.e(b0)0.61780.36580.29800.24750.20060.17130.13580.11360.09550.07918
s.e(b1)0.75340.40750.33380.30740.22330.20360.15000.12530.10590.08944
s.e(b2)0.71300.37090.29030.29970.24550.20820.14730.12010.10720.08949
s.e(b3)0.76780.40180.32780.30830.22200.19320.13770.11660.10190.086
Table 9. AIC and SIC for different values of p using Mangat [15] RRT.
Table 9. AIC and SIC for different values of p using Mangat [15] RRT.
p0.10.20.30.40.50.60.70.80.91
AIC0.27290.38360.66670.87670.94100.93920.93230.89070.71970.5381
SIC0.25330.40320.68630.89630.96060.95880.95190.91030.73930.5578
Disclaimer/Publisher’s Note: The statements, opinions and data contained in all publications are solely those of the individual author(s) and contributor(s) and not of MDPI and/or the editor(s). MDPI and/or the editor(s) disclaim responsibility for any injury to people or property resulting from any ideas, methods, instructions or products referred to in the content.

Share and Cite

MDPI and ACS Style

Halim, A.; Arshad, I.A.; Alomair, A.M.; Alomair, M.A. Estimation of Hidden Logits Using Several Randomized Response Techniques. Symmetry 2023, 15, 1636. https://doi.org/10.3390/sym15091636

AMA Style

Halim A, Arshad IA, Alomair AM, Alomair MA. Estimation of Hidden Logits Using Several Randomized Response Techniques. Symmetry. 2023; 15(9):1636. https://doi.org/10.3390/sym15091636

Chicago/Turabian Style

Halim, Asma, Irshad Ahmad Arshad, Abdullah Mohammed Alomair, and Mohammed Ahmed Alomair. 2023. "Estimation of Hidden Logits Using Several Randomized Response Techniques" Symmetry 15, no. 9: 1636. https://doi.org/10.3390/sym15091636

APA Style

Halim, A., Arshad, I. A., Alomair, A. M., & Alomair, M. A. (2023). Estimation of Hidden Logits Using Several Randomized Response Techniques. Symmetry, 15(9), 1636. https://doi.org/10.3390/sym15091636

Note that from the first issue of 2016, this journal uses article numbers instead of page numbers. See further details here.

Article Metrics

Back to TopTop