Excitation Function of Freeze-Out Parameters in Symmetric Nucleus–Nucleus and Proton–Proton Collisions at the Same Collision Energy
Abstract
1. Introduction
2. The Method and Formalism
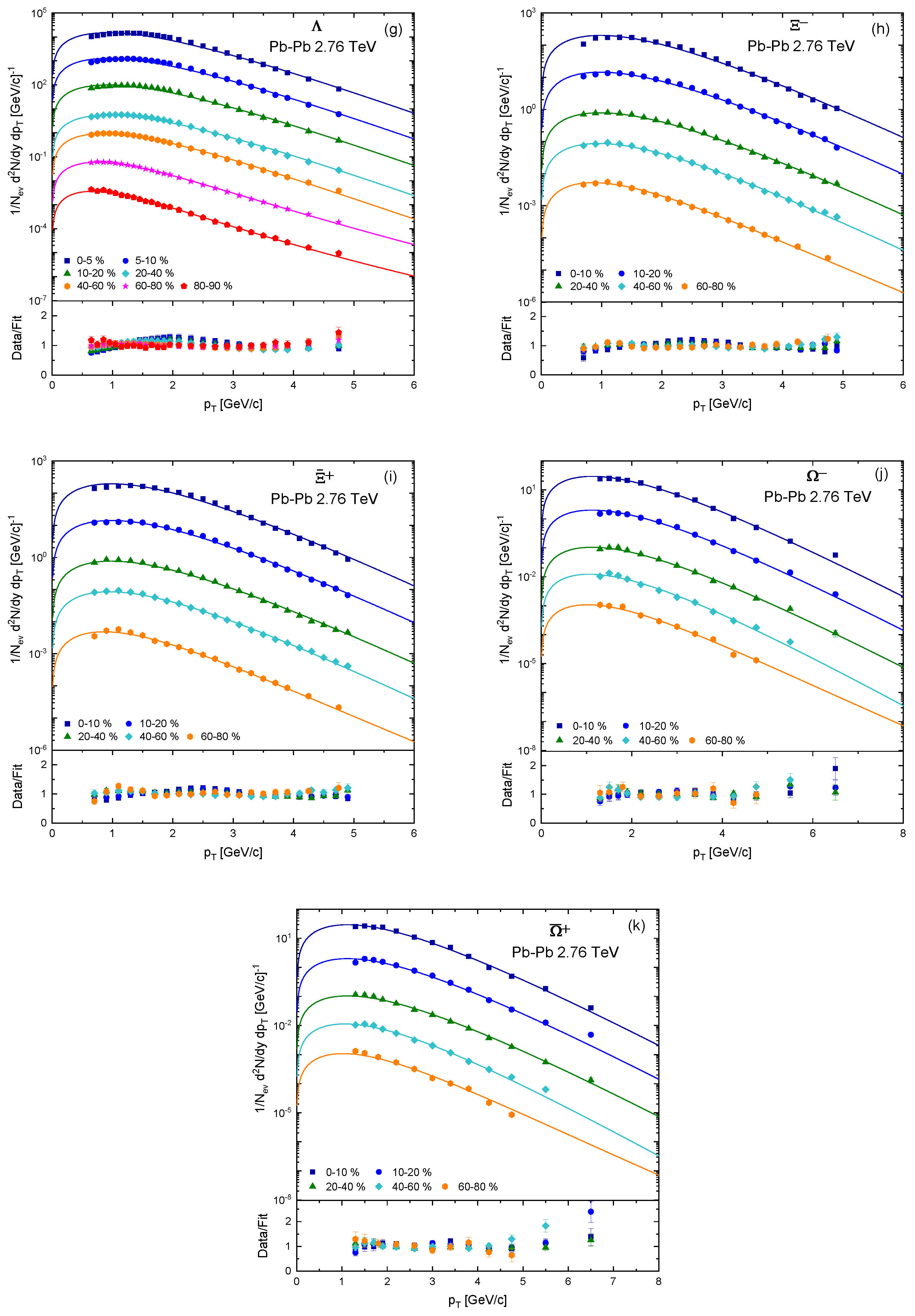
3. Results and Discussion
Trends of Parameters
4. Summary and Conclusions
Author Contributions
Funding
Data Availability Statement
Acknowledgments
Conflicts of Interest
Abbreviations
| transverse momentum | |
| kinetic freeze-out temperature | |
| effective temperature | |
| transverse flow velocity | |
| average transverse flow velocity | |
| MC | Monte Carlo |
| LHC | Large Hadron Collider |
| number of channels |
References
- Riordan, M. The Hunting of the Quark: A True Story of Modern Physics; Plunkett Lake Press: Lexington, MA, USA, 2019. [Google Scholar]
- Ellis, J. The discovery of the gluon. Int. J. Mod. Phys. A 2014, 29, 1430072. [Google Scholar] [CrossRef]
- Bass, S.A.; Gyulassy, M.; Stoecker, H.; Greiner, W. Signatures of quark-gluon plasma formation in high energy heavy-ion collisions: A critical review. J. Phys. G Nucl. Part. Phys. 1999, 25, R1–R57. [Google Scholar] [CrossRef]
- Matsui, T.; Satz, H. J/ψ suppression by quark-gluon plasma formation. Phys. Lett. B 1986, 178, 416–422. [Google Scholar] [CrossRef]
- Bialas, A.; Hwa, R.C. Intermittency parameters as a possible signal for quark-gluon plasma formation. Phys. Lett. B 1991, 253, 436–438. [Google Scholar] [CrossRef]
- Liu, F.M.; Liu, S.X. Quark-gluon plasma formation time and direct photons from heavy ion collisions. Phys. Rev. C 2014, 89, 034906. [Google Scholar] [CrossRef]
- Braun-Munzinger, P.; Stachel, J. The quest for the quark-gluon plasma. Nature 2007, 448, 302–309. [Google Scholar] [CrossRef]
- Sanches, S.M., Jr.; Navarra, F.S.; Fogaça, D.A. The quark-gluon plasma equation of state and the expansion of the early Universe. Nucl. Phys. A 2015, 937, 1–16. [Google Scholar] [CrossRef]
- Rafelski, J. Connecting QGP-heavy ion physics to the early universe. Nucl. Phys. B-Proc. Suppl. 2013, 243, 155–162. [Google Scholar] [CrossRef]
- Kumar, Y.; Sharma, R.; Kuksal, G.; Jain, P.; Kumar, V.; Bangotra, P. Quark gluon plasma in the early universe expansion with quasi-particle approach. J. Phys. Conf. Ser. 2022, 2349, 012016. [Google Scholar] [CrossRef]
- Sahoo, R.; Nayak, T.K. Possible early universe signals in proton collisions at the Large Hadron Collider. arXiv 2022, arXiv:2201.00202. [Google Scholar] [CrossRef]
- Chen, C.H. Studying the Early Universe via Quark-Gluon Plasma. Nucl. Phys. B-Proc. Suppl. 2014, 246, 38–41. [Google Scholar] [CrossRef]
- Heinz, U. The strongly coupled quark-gluon plasma created at RHIC. J. Phys. A Math. Theor. 2009, 42, 214003. [Google Scholar] [CrossRef]
- Braun-Munzinger, P. Chemical equilibration and the hadron-QGP phase transition. arXiv 2000, arXiv:nucl-ex/0007021. [Google Scholar]
- Hirano, T.; Tsuda, K. Collective flow and two-pion correlations from a relativistic hydrodynamic model with early chemical freeze-out. Phys. Rev. C 2002, 66, 054905. [Google Scholar] [CrossRef]
- Heinz, U.; Kestin, G. Universal chemical freeze-out as a phase transition signature. arXiv 2006, arXiv:nucl-th/0612105. [Google Scholar]
- Waqas, M.; Peng, G.X.; Liu, F.H.; Ajaz, M.; Haj Ismail, A.A.K. Investigation of the freeze-out parameters in B–B, O–O, Ca–Ca and Au–Au collisions at 39 GeV. Eur. Phys. J. Plus 2022, 137, 1026. [Google Scholar] [CrossRef]
- Bass, S.A.; Dumitru, A. Dynamics of hot bulk QCD matter: From the quark-gluon plasma to hadronic freeze-out. Phys. Rev. C 2000, 61, 064909. [Google Scholar] [CrossRef]
- Cleymans, J.; Hamar, G.; Levai, P.; Wheaton, S. Near-thermal equilibrium with Tsallis distributions in heavy-ion collisions. J. Phys. G Nucl. Part. Phys. 2009, 36, 064018. [Google Scholar] [CrossRef]
- Shen, K.M.; Biro, T.S.; Wang, E.K. Different non-extensive models for heavy-ion collisions. Phys. A Stat. Mech. Appl. 2018, 492, 2353–2360. [Google Scholar] [CrossRef]
- Osada, T.; Wilk, G. Non-extensive hydrodynamics for relativistic heavy-ion collisions. Phys. Rev. C 2008, 77, 044903. [Google Scholar] [CrossRef]
- Alberico, W.M.; Lavagno, A. Non-extensive statistical effects in high-energy collisions. Eur. Phys. J. A 2009, 40, 313–323. [Google Scholar] [CrossRef]
- Deb, S.; Sahu, D.; Sahoo, R.; Pradhan, A.K. Bose-Einstein condensation of pions in proton-proton collisions at the Large Hadron Collider using non-extensive Tsallis statistics. Eur. Phys. J. A 2021, 57, 158. [Google Scholar] [CrossRef]
- Olimov, K.K.; Kanokova, S.Z.; Olimov, A.K.; Umarov, K.I.; Tukhtaev, B.J.; Gulamov, K.G.; Yuldashev, B.S.; Lutpullaev, S.L.; Saidkhanov, N.S.; Olimov, K.; et al. Combined analysis of midrapidity transverse momentum spectra of the charged pions and kaons, protons and antiprotons in p + p and Pb + Pb collisions at = 2.76 and 5.02 TeV at the LHC. Mod. Phys. Lett. A 2020, 35, 2050237. [Google Scholar] [CrossRef]
- Cleymans, J.; Worku, D. Relativistic thermodynamics: Transverse momentum distributions in high-energy physics. Eur. Phys. J. A 2012, 48, 160. [Google Scholar] [CrossRef]
- Schnedermann, E.; Sollfrank, J.; Heinz, U. Thermal phenomenology of hadrons from 200A GeV S + S collisions. Phys. Rev. C 1993, 48, 2462. [Google Scholar] [CrossRef]
- Abelev, B.I.; Aggarwal, M.M.; Ahammed, Z.; Alakhverdyants, A.V.; Anderson, B.D.; Arkhipkin, D.; Averichev, G.S.; Balewski, J.; Barannikova, O.; Barnby, L.S.; et al. Identified particle production, azimuthal anisotropy, and interferometry measurements in Au + Au collisions at = 9.2 GeV. Phys. Rev. C 2010, 81, 024911. [Google Scholar] [CrossRef]
- Abelev, B.I.; Aggarwal, M.M.; Ahammed, Z.; Anderson, B.D.; Arkhipkin, D.; Averichev, G.S.; Bai, Y.; Balewski, J.; Barannikova, O.; Barnby, L.S.; et al. Systematic measurements of identified particle spectra in pp, d + Au, and Au + Au collisions at the STAR detector. Phys. Rev. C 2009, 79, 034909. [Google Scholar] [CrossRef]
- Lao, H.L.; Liu, F.H.; Lacey, R.A. Extracting kinetic freeze-out temperature and radial flow velocity from an improved Tsallis distribution. Eur. Phys. J. A 2017, 53, 44. [Google Scholar] [CrossRef]
- Tang, Z.; Xu, Y.; Ruan, L.; van Buren, G.; Wang, F.; Xu, Z. Spectra and radial flow in relativistic heavy ion collisions with Tsallis statistics in a blastwave description. Phys. Rev. C 2009, 79, 051901. [Google Scholar] [CrossRef]
- Lao, H.L.; Wei, H.R.; Liu, F.H.; Lacey, R.A. An evidence of mass-dependent differential kinetic freeze-out scenario observed in Pb–Pb collisions at 2.76 TeV. Eur. Phys. J. A 2016, 52, 203. [Google Scholar] [CrossRef]
- Lao, H.L.; Liu, F.H.; Li, B.C.; Duan, M.Y. Kinetic freeze-out temperatures in central and peripheral collisions: Which one is larger? Nucl. Sci. Tech. 2018, 29, 82. [Google Scholar] [CrossRef]
- Wang, Q.; Liu, F.H. Initial and final state temperatures of antiproton emission sources in high energy collisions. Int. J. Theor. Phys. 2019, 58, 4119–4138. [Google Scholar] [CrossRef]
- Bashir, I.U.; Uddin, S. Centrality Dependence of K*(892)0 and ϕ(1020) Production at LHC. Commun. Theor. Phys. 2017, 68, 500. [Google Scholar] [CrossRef]
- Acharya, S.; Adamová, D.; Adhya, S.P.; Adler, A.; Adolfsson, J.; Aggarwal, M.M.; Rinella, G.A.; Agnello, M.; Agrawal, N.; Ahammed, Z.; et al. Production of charged pions, kaons, and (anti-) protons in Pb-Pb and inelastic pp collisions at = 5.02 TeV. Phys. Rev. C 2020, 101, 044907. [Google Scholar] [CrossRef]
- Waqas, M.; Liu, F.H. Initial, effective, and kinetic freeze-out temperatures from transverse momentum spectra in high-energy proton (deuteron)–nucleus and nucleus-nucleus collisions. Eur. Phys. J. Plus 2020, 135, 147. [Google Scholar] [CrossRef]
- Chatterjee, S.; Mohanty, B.; Singh, R. Freezeout hypersurface at energies available at the CERN Large Hadron Collider from particle spectra: Flavor and centrality dependence. Phys. Rev. C 2015, 92, 024917. [Google Scholar] [CrossRef]
- Waqas, M.; Peng, G.X.; Ajaz, M.; Wazir, Z.; Haj Ismail, A.A.K. Decoupling of non-strange, strange and multi-strange particles from the system in Cu–Cu, Au–Au and Pb–Pb collisions at high energies. Chin. J. Phys. 2022, 77, 1713–1722. [Google Scholar] [CrossRef]
- Waqas, M.; Peng, G.X.; Liu, F.H.; Wazir, Z. Effects of coalescence and isospin symmetry on the freeze-out of light nuclei and their antiparticles. Sci. Rep. 2021, 11, 20252. [Google Scholar] [CrossRef]
- Bíró, G.; Barnaföldi, G.G.; Biró, T.S. Tsallis-thermometer: A QGP indicator for large and small collisional systems. J. Phys. G Nucl. Part. Phys. 2020, 47, 105002. [Google Scholar] [CrossRef]
- Su, Y.; Sun, Y.J.; Zhang, Y.F.; Chen, X.L. Non-extensive statistical distributions of charmed meson production in Pb–Pb and pp () collisions. Nucl. Sci. Tech. 2021, 32, 108. [Google Scholar] [CrossRef]
- Adler, S.S.; Afanasiev, S.; Aidala, C.; Ajitanand, N.N.; Akiba, Y.; Alexander, J.; Amirikas, R.; Aphecetche, L.; Aronson, S.H.; Averbeck, R.; et al. Identified charged particle spectra and yields in Au + Au collisions at = 200 GeV. Phys. Rev. C 2004, 69, 034909. [Google Scholar] [CrossRef]
- Adams, J.; Aggarwal, M.M.; Ahammed, Z.; Amonett, J.; Anderson, B.D.; Anderson, M.; Arkhipkin, D.; Averichev, G.S.; Bai, Y.; Balewski, J.; et al. Scaling properties of hyperon production in Au + Au collisions at = 200 GeV. Phys. Rev. Lett. 2007, 98, 062301. [Google Scholar] [CrossRef] [PubMed]
- ALICE Collaboration. Centrality dependence of π, K, p production in Pb-Pb collisions at = 2.76 TeV. arXiv 2013, arXiv:1303.0737. [Google Scholar]
- ALICE Collaboration. and Λ production in Pb-Pb collisions at = 2.76 TeV. arXiv 2013, arXiv:1307.5530. [Google Scholar]
- ALICE Collaboration. Multi-strange baryon production at mid-rapidity in Pb-Pb collisions at = 2.76 TeV. arXiv 2013, arXiv:1307.5543. [Google Scholar]
- STAR Collaboration. Identified hadron spectra at large transverse momentum in p + p and d + Au collisions at = 200 GeV. arXiv 2006, arXiv:nucl-ex/0601033. [Google Scholar]
- Abelev, B.; STAR Collaboration. Measurements of Strange Particle Production in p + p Collisions at = 200 GeV. arXiv 2006, arXiv:nucl-ex/0607033. [Google Scholar]
- The CMS Collaboration; Chatrchyan, S.; Khachatryan, V.; Sirunyan, A.M.; Tumasyan, A.; Adam, W.; Aguilo, E.; Bergauer, T.; Dragicevic, M.; Erö, J.; et al. Study of the inclusive production of charged pions, kaons, and protons in pp collisions at = 0.9, 2.76, and 7 TeV. Eur. Phys. J. C 2012, 72, 2164. [Google Scholar] [CrossRef]
- Li, L.L.; Liu, F.H.; Olimov, K.K. Excitation functions of Tsallis-like parameters in high-energy nucleus–nucleus collisions. Entropy 2021, 23, 478. [Google Scholar] [CrossRef] [PubMed]
- Liu, L.; Yin, Z.B.; Zheng, L. Universal scaling of kinetic freeze-out parameters across different collision systems at LHC energies. Chin. Phys. C 2023, 47, 024103. [Google Scholar] [CrossRef]
- Waqas, M.; Peng, G.X.; Ajaz, M.; Ismail, A.H.; Dawi, E.A. Analyses of the collective properties of hadronic matter in Au–Au collisions at 54.4 GeV. Phys. Rev. D 2022, 106, 075009. [Google Scholar] [CrossRef]
- Che, G.; Gu, J.; Zhang, W.; Zheng, H. Identified particle spectra in Pb–Pb, Xe–Xe and p–Pb collisions with the Tsallis blast-wave model. J. Phys. G Nucl. Part. Phys. 2021, 48, 095103. [Google Scholar] [CrossRef]
- Peng, G.X.; Waqas, M. Study of Proton, Deuteron, and Triton at 54.4 GeV (No. 2103.07852 v2). Adv. High Energy Phys. 2021, 2021, 6674470. [Google Scholar]
- Chen, J.; Deng, J.; Tang, Z.; Xu, Z.; Yi, L. Nonequilibrium kinetic freeze-out properties in relativistic heavy ion collisions from energies employed at the RHIC beam energy scan to those available at the LHC. Phys. Rev. C 2021, 104, 034901. [Google Scholar] [CrossRef]
- Waqas, M.; Peng, G.X.; Wazir, Z.; Lao, H.L. Analysis of kinetic freeze-out temperature and transverse flow velocity in nucleus–nucleus and proton–proton collisions at same center-of-mass energy. Int. J. Mod. Phys. E 2021, 30, 2150061. [Google Scholar] [CrossRef]
- Barnby, L.; Bombara, M.; Burton, T.; Jones, P.; Nelson, J.; Timmins, A.; Abelev, B.I.; Elhalhuli, E. Systematic Measurements of Identified Particle Spectra in pp, d+ Au and Au+Au Collisions from STAR detector. Phys. Rev. C 2009, 79, 034909. [Google Scholar] [CrossRef]
- Yang, P.P.; Duan, M.Y.; Liu, F.H. Dependence of related parameters on centrality and mass in a new treatment for transverse momentum spectra in high energy collisions. Eur. Phys. J. A 2021, 57, 63. [Google Scholar] [CrossRef]
- Wei, H.R.; Liu, F.H.; Lacey, R.A. Disentangling random thermal motion of particles and collective expansion of source from transverse momentum spectra in high energy collisions. J. Phys. G 2016, 43, 125102. [Google Scholar] [CrossRef]
- Takeuchi, S.; Murase, K.; Hirano, T.; Huovinen, P.; Nara, Y. Effects of hadronic rescattering on multistrange hadrons in high-energy nuclear collisions. Phys. Rev. C 2015, 92, 044907. [Google Scholar] [CrossRef]
- Wei, H.R.; Liu, F.H.; Lacey, R.A. Kinetic freeze-out temperature and flow velocity extracted from transverse momentum spectra of final-state light flavor particles produced in collisions at RHIC and LHC. Eur. Phys. J. A 2016, 52, 102. [Google Scholar] [CrossRef]
- Lao, H.L.; Liu, F.H.; Li, B.C.; Duan, M.Y.; Lacey, R.A. Examining the model dependence of the determination of kinetic freeze-out temperature and transverse flow velocity in small collision system. Nucl. Sci. Tech. 2018, 29, 164. [Google Scholar] [CrossRef]
- Andronic, A.; Braun-Munzinger, P.; Stachel, J. The Horn, the hadron mass spectrum and the QCD phase diagram: The Statistical model of hadron production in central nucleus-nucleus collisions. Nucl. Phys. A 2010, 834, 237C–240C. [Google Scholar] [CrossRef]
- Ratti, C. Lattice QCD and heavy ion collisions: A review of recent progress. Rept. Prog. Phys. 2018, 81, 084301. [Google Scholar] [CrossRef] [PubMed]
- Datta, S.; Gavai, R.V.; Gupta, S. The QCD Critical Point: Marching towards continuum. Nucl. Phys. A 2013, 904–905, 883c–886c. [Google Scholar] [CrossRef]
- Steinbrecher, P.; HotQCD Collaboration. The QCD crossover at zero and non-zero baryon densities from Lattice QCD. Nucl. Phys. A 2019, 982, 847–850. [Google Scholar] [CrossRef]
- Cleymans, J.; Oeschler, H.; Redlich, K.; Wheaton, S. Comparison of chemical freeze-out criteria in heavy-ion collisions. Phys. Rev. C 2006, 73, 034905. [Google Scholar] [CrossRef]
- Andronic, A.; Braun-Munzinger, P.; Stachel, J. Thermal hadron production in relativistic nuclear collisions. Acta Phys. Polon. B 2009, 40, 1005–1012. [Google Scholar]
- Nonaka, C.; Asakawa, M. Hydrodynamical evolution near the QCD critical end point. Phys. Rev. C 2005, 71, 044904. [Google Scholar] [CrossRef]
- Lacey, R.A. Indications for a Critical End Point in the Phase Diagram for Hot and Dense Nuclear Matter. Phys. Rev. Lett. 2015, 114, 142301. [Google Scholar] [CrossRef]
- Xu, K.; Li, Z.; Huang, M. QCD critical end point from a realistic PNJL model. EPJ Web Conf. 2018, 192, 00019. [Google Scholar] [CrossRef][Green Version]










| Collision | Particle | Centrality | Scaling Factor | T [GeV] | q | [GeV/c] | /NDF | |
|---|---|---|---|---|---|---|---|---|
| Figure 1 | 0–5% | 0.120 ± 0.005 | 1.093 ± 0.003 | 0.248 ± 0.013 | 18,002.8 ± 500 | 21.146/25 | ||
| Au–Au | 5–10% | 0.120 ± 0.005 | 1.093 ± 0.003 | 0.248 ± 0.013 | 15,202.8 ± 200 | 21.920/25 | ||
| 200 GeV | 10–15% | 0.120 ± 0.005 | 1.093 ± 0.003 | 0.248 ± 0.013 | 12,912.8 ± 150 | 23.199/25 | ||
| 15–20% | 0.120 ± 0.005 | 1.093 ± 0.003 | 0.248 ± 0.013 | 10,932.7 ± 150 | 26.539/25 | |||
| 20–30% | 10 | 0.120 ± 0.005 | 1.093 ± 0.003 | 0.248 ± 0.013 | 8132.8 ± 140 | 35.312/25 | ||
| 30–40% | 1 | 0.120 ± 0.005 | 1.093 ± 0.003 | 0.248 ± 0.013 | 5842.5 ± 120 | 83.160/25 | ||
| 40–50% | 0.120 ± 0.005 | 1.093 ± 0.003 | 0.248 ± 0.013 | 3472.9 ± 100 | 61.810/25 | |||
| 50–60% | 0.110 ± 0.004 | 1.110 ± 0.004 | 0.232 ± 0.012 | 2079.8 ± 90 | 17.099/25 | |||
| 60–70% | 0.103 ± 0.004 | 1.118 ± 0.004 | 0.220 ± 0.012 | 1160.8 ± 30 | 9.500/25 | |||
| 70–80% | 0.093 ± 0.003 | 1.125 ± 0.005 | 0.200 ± 0.011 | 604.9 ± 10 | 5.473/25 | |||
| 80–92% | 0.081 ± 0.003 | 1.135 ± 0.005 | 0.176 ± 0.009 | 396.5 ± 5 | 15.930/25 | |||
| Figure 1 | 0–5% | 0.120 ± 0.005 | 1.093 ± 0.003 | 0.248 ± 0.013 | 18,002.8 ± 500 | 25.491/25 | ||
| Au–Au | 5–10% | 0.120 ± 0.005 | 1.093 ± 0.003 | 0.248 ± 0.013 | 15,202.8 ± 200 | 27.524/25 | ||
| 200 GeV | 10–15% | 0.120 ± 0.005 | 1.093 ± 0.003 | 0.248 ± 0.013 | 12,912.8 ± 150 | 32.500/25 | ||
| 15–20% | 0.120 ± 0.005 | 1.093 ± 0.003 | 0.248 ± 0.013 | 10,932.7 ± 150 | 33.872/25 | |||
| 20–30% | 10 | 0.120 ± 0.005 | 1.093 ± 0.003 | 0.248 ± 0.013 | 8132.8 ± 140 | 37.682/25 | ||
| 30–40% | 1 | 0.120 ± 0.005 | 1.093 ± 0.003 | 0.248 ± 0.013 | 5642.5 ± 120 | 77.190/25 | ||
| 40–50% | 0.120 ± 0.005 | 1.093 ± 0.003 | 0.248 ± 0.013 | 3372.9 ± 100 | 63.068/25 | |||
| 50–60% | 0.110 ± 0.004 | 1.110 ± 0.004 | 0.232 ± 0.012 | 2079.8 ± 90 | 19.137/25 | |||
| 60–70% | 0.103 ± 0.004 | 1.118 ± 0.004 | 0.220 ± 0.012 | 1160.8 ± 30 | 10.345/25 | |||
| 70–80% | 0.093 ± 0.003 | 1.125 ± 0.005 | 0.200 ± 0.011 | 604.9 ± 10 | 4.824/25 | |||
| 80–92% | 0.081 ± 0.003 | 1.135 ± 0.005 | 0.176 ± 0.009 | 396.5 ± 5 | 27.306/25 | |||
| Figure 1 | 0–5% | 0.199 ± 0.006 | 1.060 ± 0.003 | 0.399 ± 0.020 | 1880.8 ± 90 | 40.931/13 | ||
| Au–Au | 5–10% | 0.199 ± 0.006 | 1.060 ± 0.003 | 0.399 ± 0.020 | 1540.7 ± 70 | 23.196/13 | ||
| 200 GeV | 10–15% | 0.199 ± 0.006 | 1.060 ± 0.003 | 0.399 ± 0.020 | 1290.8 ± 50 | 18.055/13 | ||
| 15–20% | 0.199 ± 0.006 | 1.060 ± 0.003 | 0.399 ± 0.020 | 1060.8 ± 30 | 17.045/13 | |||
| 20–30% | 10 | 0.199 ± 0.006 | 1.060 ± 0.003 | 0.399 ± 0.020 | 779.9 ± 20 | 21.988/13 | ||
| 30–40% | 1 | 0.199 ± 0.006 | 1.060 ± 0.003 | 0.399 ± 0.020 | 495.8 ± 10 | 30.512/13 | ||
| 40–50% | 0.199 ± 0.006 | 1.060 ± 0.003 | 0.399 ± 0.020 | 291.5 ± 7 | 79.333/13 | |||
| 50–60% | 0.175 ± 0.004 | 1.070 ± 0.004 | 0.360 ± 0.018 | 189.1 ± 7 | 43.277/13 | |||
| 60–70% | 0.160 ± 0.004 | 1.081 ± 0.005 | 0.337 ± 0.018 | 98.9 ± 4 | 69.408/13 | |||
| 70–80% | 0.155 ± 0.003 | 1.111 ± 0.006 | 0.336 ± 0.017 | 41.9 ± 2 | 14.914/13 | |||
| 80–92% | 0.139 ± 0.003 | 1.122 ± 0.007 | 0.310 ± 0.016 | 23.8 ± 1 | 18.862/13 | |||
| Figure 1 | 0–5% | 0.199 ± 0.006 | 1.070 ± 0.003 | 0.402 ± 0.020 | 1740.7 ± 80 | 18.282/13 | ||
| Au–Au | 5–10% | 0.199 ± 0.006 | 1.070 ± 0.003 | 0.402 ± 0.020 | 1440.7 ± 50 | 16.330/13 | ||
| 200 GeV | 10–15% | 0.199 ± 0.006 | 1.070 ± 0.003 | 0.402 ± 0.020 | 1180.8 ± 30 | 16.330/13 | ||
| 15–20% | 0.199 ± 0.006 | 1.070 ± 0.003 | 0.402 ± 0.020 | 971.6 ± 15 | 25.125/13 | |||
| 20–30% | 10 | 0.199 ± 0.006 | 1.070 ± 0.003 | 0.402 ± 0.020 | 719.8 ± 10 | 27.379/13 | ||
| 30–40% | 1 | 0.199 ± 0.006 | 1.070 ± 0.003 | 0.402 ± 0.020 | 453.8 ± 7 | 71.082/13 | ||
| 40–50% | 0.199 ± 0.006 | 1.070 ± 0.003 | 0.402 ± 0.020 | 266.6 ± 6 | 99.387/13 | |||
| 50–60% | 0.175 ± 0.004 | 1.080 ± 0.004 | 0.363 ± 0.018 | 174.2 ± 4 | 22.910/13 | |||
| 60–70% | 0.160 ± 0.004 | 1.088 ± 0.005 | 0.339 ± 0.018 | 89.7 ± 3.7 | 88.802/13 | |||
| 70–80% | 0.155 ± 0.003 | 1.111 ± 0.006 | 0.336 ± 0.017 | 40.9 ± 2 | 14.391/13 | |||
| 80–92% | 0.139 ± 0.003 | 1.122 ± 0.007 | 0.310 ± 0.016 | 23.1 ± 1 | 17.794/13 | |||
| Figure 1 | 0–5% | 0.291 ± 0.007 | 1.011 ± 0.003 | 0.586 ± 0.029 | 471.8 ± 20 | 78.267/19 | ||
| Au–Au | 5–10% | 0.291 ± 0.007 | 1.011 ± 0.003 | 0.586 ± 0.029 | 394.8 ± 15 | 59.704/19 | ||
| 200 GeV | 10–15% | 0.291 ± 0.007 | 1.011 ± 0.003 | 0.586 ± 0.029 | 325.9 ± 13 | 39.207/19 | ||
| 15–20% | 0.291 ± 0.007 | 1.011 ± 0.003 | 0.586 ± 0.029 | 270.3 ± 10 | 31.674/19 | |||
| 20–30% | 10 | 0.291 ± 0.007 | 1.011 ± 0.003 | 0.586 ± 0.029 | 202.2 ± 7 | 33.076/19 | ||
| p | 30–40% | 1 | 0.291 ± 0.007 | 1.011 ± 0.003 | 0.586 ± 0.029 | 130.3 ± 5 | 56.559/19 | |
| 40–50% | 0.291 ± 0.007 | 1.011 ± 0.003 | 0.586 ± 0.029 | 76.3 ± 3 | 137.801/19 | |||
| 50–60% | 0.240 ± 0.005 | 1.041 ± 0.003 | 0.513 ± 0.026 | 54.3 ± 2 | 10.924/19 | |||
| 60–70% | 0.210 ± 0.004 | 1.071 ± 0.004 | 0.472 ± 0.024 | 31.1 ± 1.5 | 5.877/19 | |||
| 70–80% | 0.180 ± 0.003 | 1.089 ± 0.005 | 0.430 ± 0.022 | 16.1 ± 0.6 | 7.078/19 | |||
| 80–92% | 0.151 ± 0.003 | 1.105 ± 0.007 | 0.381 ± 0.019 | 9.1 ± 0.4 | 7.293/19 | |||
| Figure 1 | 0–5% | 0.291 ± 0.007 | 1.011 ± 0.003 | 0.586 ± 0.029 | 345.8 ± 17 | 127.757/19 | ||
| Au–Au | 5–10% | 0.291 ± 0.007 | 1.011 ± 0.003 | 0.586 ± 0.029 | 291.8 ± 12 | 105.070/19 | ||
| 200 GeV | 10–15% | 0.291 ± 0.007 | 1.011 ± 0.003 | 0.586 ± 0.029 | 242.8 ± 11 | 75.153/19 | ||
| 15–20% | 0.291 ± 0.007 | 1.011 ± 0.003 | 0.586 ± 0.029 | 202.8 ± 10 | 59.718/19 | |||
| 20–30% | 10 | 0.291 ± 0.007 | 1.011 ± 0.003 | 0.586 ± 0.029 | 148.3 ± 7 | 63.202/19 | ||
| 30–40% | 1 | 0.291 ± 0.007 | 1.011 ± 0.003 | 0.586 ± 0.029 | 96.1 ± 3 | 69.226/19 | ||
| 40–50% | 0.291 ± 0.007 | 1.011 ± 0.003 | 0.586 ± 0.029 | 57.0 ± 2 | 127.930/19 | |||
| 50–60% | 0.240 ± 0.005 | 1.041 ± 0.003 | 0.513 ± 0.026 | 41.6 ± 1.3 | 9.229/19 | |||
| 60–70% | 0.210 ± 0.004 | 1.071 ± 0.004 | 0.472 ± 0.024 | 23.0 ± 1 | 6.521/19 | |||
| 70–80% | 0.180 ± 0.003 | 1.089 ± 0.005 | 0.430 ± 0.026 | 11.1 ± 0.4 | 12.705/19 | |||
| 80–92% | 0.151 ± 0.003 | 1.105 ± 0.007 | 0.381 ± 0.019 | 7.1 ± 0.2 | 10.149/17 | |||
| Figure 1 | 0–5% | 0.300 ± 0.009 | 1.009 ± 0.003 | 0.622 ± 0.031 | 343.8 ± 15 | 72.802/14 | ||
| Au–Au | 10–20% | 10 | 0.300 ± 0.009 | 1.009 ± 0.003 | 0.622 ± 0.031 | 261.7 ± 12 | 8.956/14 | |
| 200 GeV | 20–40% | 1 | 0.300 ± 0.009 | 1.009 ± 0.003 | 0.622 ± 0.031 | 140.7 ± 7 | 13.088/14 | |
| 40–60% | 0.291 ± 0.008 | 1.019 ± 0.004 | 0.611 ± 0.031 | 53.5 ± 2.3 | 30.242/14 | |||
| 60–80% | 0.233 ± 0.006 | 1.055 ± 0.005 | 0.522 ± 0.026 | 23.1 ± 1 | 20.914/14 | |||
| Figure 1 | 0–5% | 0.300 ± 0.009 | 1.009 ± 0.003 | 0.622 ± 0.031 | 330.7 ± 15 | 11.805/14 | ||
| Au–Au | 10–20% | 10 | 0.300 ± 0.009 | 1.009 ± 0.003 | 0.622 ± 0.031 | 198.6 ± 11 | 8.060/14 | |
| 200 GeV | 20–40% | 1 | 0.300 ± 0.009 | 1.009 ± 0.003 | 0.622 ± 0.031 | 110.8 ± 5 | 8.478/14 | |
| 40–60% | 0.291 ± 0.008 | 1.019 ± 0.004 | 0.611 ± 0.031 | 42.5 ± 2 | 31.308/14 | |||
| 60–80% | 0.233 ± 0.006 | 1.055 ± 0.005 | 0.522 ± 0.026 | 19.1 ± 0.9 | 22.080/14 | |||
| Figure 1 | 0–5% | 0.317 ± 0.010 | 1.007 ± 0.003 | 0.675 ± 0.034 | 56.4 ± 2.5 | 6.539/12 | ||
| Au–Au | 10–20% | 10 | 0.317 ± 0.010 | 1.007 ± 0.003 | 0.675 ± 0.034 | 35.1 ± 1.6 | 14.221/12 | |
| 200 GeV | 20–40% | 1 | 0.317 ± 0.010 | 1.007 ± 0.004 | 0.675 ± 0.034 | 17.6 ± 0.6 | 6.523/12 | |
| 40–60% | 0.310 ± 0.009 | 1.009 ± 0.005 | 0.665 ± 0.033 | 6.6 ± 0.3 | 14.694/11 | |||
| 60–80% | 0.288 ± 0.008 | 1.039 ± 0.006 | 0.637 ± 0.032 | 1.7 ± 0.06 | 1.126/4 | |||
| Figure 1 | 0–5% | 0.317 ± 0.010 | 1.007 ± 0.003 | 0.675 ± 0.034 | 48.5 ± 2 | 5.077/12 | ||
| Au–Au | 10–20% | 10 | 0.317 ± 0.010 | 1.007 ± 0.003 | 0.675 ± 0.034 | 28.6 ± 1.3 | 6.937/12 | |
| 200 GeV | 20–40% | 1 | 0.317 ± 0.010 | 1.007 ± 0.003 | 0.675 ± 0.034 | 15.2 ± 0.4 | 12.527/12 | |
| 40–60% | 0.310 ± 0.009 | 1.009 ± 0.004 | 0.665 ± 0.033 | 5.7 ± 0.2 | 7.698/11 | |||
| 60–80% | 0.288 ± 0.008 | 1.039 ± 0.005 | 0.637 ± 0.032 | 1.6 ± 0.04 | 7.577/4 | |||
| Figure 1 | 0–5% | 10 | 0.340 ± 0.011 | 1.005 ± 0.003 | 0.756 ± 0.038 | 11.4 ± 0.3 | 8.195/2 | |
| Au–Au | + | 20–40% | 1 | 0.340 ± 0.011 | 1.005 ± 0.003 | 0.756 ± 0.038 | 3.6 ± 1 | 1.038/2 |
| 200 GeV | 40–60% | 0.326 ± 0.010 | 1.020 ± 0.004 | 0.740 ± 0.037 | 1.2 ± 0.02 | 4.844/2 | ||
| Figure 2 | 0–5% | 0.139 ± 0.006 | 1.112 ± 0.003 | 0.299 ± 0.015 | 35,532.8 ± 1600 | 92.407/38 | ||
| Pb–Pb | 5–10% | 0.139 ± 0.006 | 1.112 ± 0.003 | 0.299 ± 0.015 | 29,152.6 ± 1000 | 98.374/38 | ||
| 2.76 TeV | 10–20% | 0.139 ± 0.006 | 1.112 ± 0.003 | 0.299 ± 0.015 | 21,852.5 ± 900 | 109.029/38 | ||
| 20–30% | 0.139 ± 0.006 | 1.112 ± 0.003 | 0.299 ± 0.015 | 14,662.4 ± 700 | 130.250/38 | |||
| 30–40% | 10 | 0.139 ± 0.006 | 1.112 ± 0.003 | 0.299 ± 0.015 | 9302.4 ± 450 | 150.174/38 | ||
| 40–50% | 1 | 0.139 ± 0.006 | 1.112 ± 0.003 | 0.299 ± 0.015 | 5612.4 ± 250 | 177.151/38 | ||
| 50–60% | 0.122 ± 0.004 | 1.133 ± 0.004 | 0.272 ± 0.014 | 3692.4 ± 150 | 110.983/38 | |||
| 60–70% | 0.117 ± 0.003 | 1.137 ± 0.005 | 0.261 ± 0.013 | 2012.4 ± 100 | 110.343/38 | |||
| 70–80% | 0.109 ± 0.003 | 1.146 ± 0.006 | 0.246 ± 0.012 | 1004.3 ± 50 | 88.114/38 | |||
| 80–90% | 0.099 ± 0.002 | 1.152 ± 0.007 | 0.225 ± 0.011 | 454.3 ± 22 | 50.313/38 | |||
| Figure 2 | 0–5% | 0.139 ± 0.006 | 1.112 ± 0.003 | 0.299 ± 0.015 | 35,422.7 ± 1600 | 88.847/38 | ||
| Pb–Pb | 5–10% | 0.139 ± 0.006 | 1.112 ± 0.003 | 0.299 ± 0.015 | 29,151.3 ± 1000 | 88.816/38 | ||
| 2.76 TeV | 10–20% | 0.139 ± 0.006 | 1.112 ± 0.003 | 0.299 ± 0.015 | 21,850.2 ± 900 | 100.893/38 | ||
| 20–30% | 0.139 ± 0.006 | 1.112 ± 0.003 | 0.299 ± 0.015 | 14,660.1 ± 700 | 117.337/38 | |||
| 30–40% | 10 | 0.139 ± 0.006 | 1.112 ± 0.003 | 0.299 ± 0.015 | 9300.3 ± 450 | 139.216/38 | ||
| 40–50% | 1 | 0.139 ± 0.006 | 1.112 ± 0.003 | 0.299 ± 0.015 | 5610.1 ± 250 | 169.678/38 | ||
| 50–60% | 0.122 ± 0.004 | 1.133 ± 0.004 | 0.272 ± 0.014 | 3690.3 ± 150 | 97.970/38 | |||
| 60–70% | 0.117 ± 0.003 | 1.137 ± 0.005 | 0.261 ± 0.013 | 2012.1 ± 100 | 96.553/38 | |||
| 70–80% | 0.109 ± 0.003 | 1.146 ± 0.006 | 0.246 ± 0.012 | 1004.3 ± 50 | 79.539/38 | |||
| 80–90% | 0.099 ± 0.002 | 1.152 ± 0.007 | 0.225 ± 0.011 | 454.3 ± 22 | 44.653/38 | |||
| Figure 2 | 0–5% | 0.243 ± 0.007 | 1.075 ± 0.004 | 0.485 ± 0.024 | 3630.7 ± 150 | 21.814/33 | ||
| Pb–Pb | 5–10% | 0.243 ± 0.007 | 1.075 ± 0.004 | 0.485 ± 0.024 | 3000.6 ± 140 | 15.458/33 | ||
| 2.76 TeV | 10–20% | 0.243 ± 0.007 | 1.075 ± 0.004 | 0.485 ± 0.024 | 2250.3 ± 100 | 10.306/33 | ||
| 20–30% | 0.243 ± 0.007 | 1.075 ± 0.004 | 0.485 ± 0.024 | 1500.5 ± 70 | 5.780/33 | |||
| 30–40% | 10 | 0.243 ± 0.007 | 1.075 ± 0.004 | 0.485 ± 0.024 | 964.5 ± 40 | 9.591/33 | ||
| 40–50% | 1 | 0.243 ± 0.007 | 1.075 ± 0.004 | 0.485 ± 0.024 | 578.5 ± 25 | 34.837/33 | ||
| 50–60% | 0.224 ± 0.006 | 1.081 ± 0.005 | 0.453 ± 0.023 | 347.6 ± 15 | 13.505/33 | |||
| 60–70% | 0.209 ± 0.005 | 1.095 ± 0.007 | 0.431 ± 0.022 | 185.4 ± 7 | 14.853/33 | |||
| 70–80% | 0.197 ± 0.004 | 1.101 ± 0.007 | 0.411 ± 0.021 | 85.3 ± 3 | 19.568/33 | |||
| 80–90% | 0.180 ± 0.003 | 1.115 ± 0.008 | 0.384 ± 0.019 | 35.3 ± 1.4 | 24.426/33 | |||
| Figure 2 | 0–5% | 0.243 ± 0.007 | 1.075 ± 0.004 | 0.485 ± 0.024 | 3611.8 ± 150 | 13.938/33 | ||
| Pb–Pb | 5–10% | 0.243 ± 0.007 | 1.075 ± 0.004 | 0.485 ± 0.024 | 3000.6 ± 140 | 12.678/33 | ||
| 2.76 TeV | 10–20% | 0.243 ± 0.007 | 1.075 ± 0.004 | 0.485 ± 0.024 | 2250.3 ± 100 | 9.671/33 | ||
| 20–30% | 0.243 ± 0.007 | 1.075 ± 0.004 | 0.485 ± 0.024 | 1500.5 ± 70 | 5.821/33 | |||
| 30–40% | 10 | 0.243 ± 0.007 | 1.075 ± 0.004 | 0.485 ± 0.024 | 964.5 ± 40 | 15.710/33 | ||
| 40–50% | 1 | 0.243 ± 0.007 | 1.075 ± 0.004 | 0.485 ± 0.024 | 578.5 ± 25 | 42.682/33 | ||
| 50–60% | 0.224 ± 0.006 | 1.081 ± 0.005 | 0.453 ± 0.023 | 347.6 ± 15 | 25.433/33 | |||
| 60–70% | 0.209 ± 0.005 | 1.095 ± 0.007 | 0.431 ± 0.022 | 185.4 ± 7 | 18.010/33 | |||
| 70–80% | 0.197 ± 0.004 | 1.101 ± 0.007 | 0.411 ± 0.021 | 85.3 ± 3 | 22.596/33 | |||
| 80–90% | 0.180 ± 0.003 | 1.115 ± 0.008 | 0.384 ± 0.019 | 35.3 ± 1.4 | 30.885/33 | |||
| Figure 2 | 0–5% | 0.370 ± 0.008 | 1.033 ± 0.003 | 0.724 ± 0.039 | 733.8 ± 31 | 60.283/39 | ||
| Pb–Pb | 5–10% | 0.370 ± 0.008 | 1.033 ± 0.003 | 0.724 ± 0.039 | 612.7 ± 25 | 53.695/39 | ||
| 2.76 TeV | 10–20% | 0.370 ± 0.008 | 1.033 ± 0.003 | 0.724 ± 0.039 | 464.7 ± 20 | 42.885/39 | ||
| 20–30% | 0.370 ± 0.008 | 1.033 ± 0.003 | 0.724 ± 0.039 | 321.5 ± 13 | 45.930/39 | |||
| 30–40% | 10 | 0.370 ± 0.008 | 1.033 ± 0.003 | 0.724 ± 0.039 | 209.3 ± 7 | 69.347/39 | ||
| p | 40–50% | 1 | 0.370 ± 0.008 | 1.033 ± 0.003 | 0.724 ± 0.039 | 119.1 ± 5 | 130.548/39 | |
| 50–60% | 0.330 ± 0.007 | 1.038 ± 0.004 | 0.660 ± 0.034 | 85.9 ± 3 | 81.913/39 | |||
| 60–70% | 0.305 ± 0.006 | 1.044 ± 0.004 | 0.621 ± 0.031 | 47.8 ± 1.7 | 21.809/39 | |||
| 70–80% | 0.269 ± 0.005 | 1.068 ± 0.005 | 0.572 ± 0.029 | 24.9 ± 1.2 | 20.626/39 | |||
| 80–90% | 0.230 ± 0.003 | 1.079 ± 0.005 | 0.509 ± 0.025 | 11.5 ± 0.5 | 25.275/39 | |||
| Figure 2 | 0–5% | 0.370 ± 0.008 | 1.033 ± 0.003 | 0.724 ± 0.039 | 733.7 ± 30 | 48.747/39 | ||
| Pb–Pb | 5–10% | 0.370 ± 0.008 | 1.033 ± 0.003 | 0.724 ± 0.039 | 612.7 ± 25 | 45.637/39 | ||
| 2.76 TeV | 10–20% | 0.370 ± 0.008 | 1.033 ± 0.003 | 0.724 ± 0.039 | 464.7 ± 20 | 35.998/39 | ||
| 20–30% | 0.370 ± 0.008 | 1.033 ± 0.003 | 0.724 ± 0.039 | 321.5 ± 13 | 41.931/39 | |||
| 30–40% | 10 | 0.370 ± 0.008 | 1.033 ± 0.003 | 0.724 ± 0.039 | 209.3 ± 7 | 82.599/39 | ||
| 40–50% | 1 | 0.370 ± 0.008 | 1.033 ± 0.003 | 0.724 ± 0.039 | 119.1 ± 5 | 140.624/39 | ||
| 50–60% | 0.330 ± 0.007 | 1.038 ± 0.004 | 0.660 ± 0.034 | 85.9 ± 3 | 22.102/39 | |||
| 60–70% | 0.305 ± 0.006 | 1.044 ± 0.004 | 0.621 ± 0.031 | 47.8 ± 1 | 27.317/39 | |||
| 70–80% | 0.269 ± 0.005 | 1.068 ± 0.005 | 0.572 ± 0.029 | 24.9 ± 1.2 | 17.769/39 | |||
| 80–90% | 0.230 ± 0.003 | 1.079 ± 0.005 | 0.509 ± 0.025 | 11.4 ± 0.5 | 29.115/39 | |||
| Figure 2 | 0–5% | 0.400 ± 0.009 | 1.012 ± 0.003 | 0.781 ± 0.040 | 552.8 ± 25 | 104.160/23 | ||
| Pb–Pb | 5–10% | 0.400 ± 0.009 | 1.012 ± 0.003 | 0.781 ± 0.040 | 4711.8 ± 20 | 84.937/23 | ||
| 2.76 TeV | 10–20% | 10 | 0.400 ± 0.009 | 1.012 ± 0.003 | 0.781 ± 0.040 | 363.9 ± 15 | 56.286/23 | |
| 20–40% | 1 | 0.400 ± 0.009 | 1.012 ± 0.003 | 0.781 ± 0.040 | 199.8 ± 7 | 32.299/23 | ||
| 40–60% | 0.380 ± 0.008 | 1.011 ± 0.004 | 0.749 ± 0.037 | 80.8 ± 3 | 20.298/23 | |||
| 60–80% | 0.320 ± 0.007 | 1.047 ± 0.005 | 0.668 ± 0.033 | 23.1 ± 1.2 | 8.916/23 | |||
| 80–90% | 0.278 ± 0.006 | 1.067 ± 0.005 | 0.606 ± 0.030 | 5.1 ± 0.23 | 14.769/23 | |||
| Figure 2 | 0–10% | 0.425 ± 0.010 | 1.003 ± 0.003 | 0.843 ± 0.042 | 70.2 ± 2 | 98.477/19 | ||
| Pb–Pb | 10–20% | 10 | 0.425 ± 0.010 | 1.003 ± 0.003 | 0.843 ± 0.042 | 50.7 ± 2 | 49.606/19 | |
| 2.76 TeV | 20–40% | 1 | 0.425 ± 0.010 | 1.003 ± 0.003 | 0.843 ± 0.042 | 27.1 ± 1.2 | 25.780/19 | |
| 40–60% | 0.410 ± 0.009 | 1.005 ± 0.002 | 0.820 ± 0.041 | 9.8.0 ± 0.5 | 20.924/19 | |||
| 60–80% | 0.363 ± 0.007 | 1.022 ± 0.002 | 0.754 ± 0.038 | 2.6 ± 0.2 | 15.382/16 | |||
| Figure 2 | 0–10% | 0.425 ± 0.010 | 1.003 ± 0.003 | 0.843 ± 0.042 | 67.3 ± 2 | 83.259/19 | ||
| Pb–Pb | 10–20% | 10 | 0.425 ± 0.010 | 1.003 ± 0.003 | 0.843 ± 0.042 | 48.6 ± 2 | 40.399/19 | |
| 2.76 TeV | 20–40% | 1 | 0.425 ± 0.010 | 1.003 ± 0.003 | 0.843 ± 0.042 | 27.1 ± 1.2 | 36.604/19 | |
| 40–60% | 0.410 ± 0.009 | 1.005 ± 0.002 | 0.820 ± 0.041 | 9.8 ± 0.5 | 21.082/19 | |||
| 60–80% | 0.363 ± 0.007 | 1.022 ± 0.002 | 0.754 ± 0.038 | 2.4 ± 0.2 | 21.887/16 | |||
| Figure 2 | 0–10% | 0.474 ± 0.011 | 1.002 ± 0.003 | 0.964 ± 0.048 | 10.2 ± 0.5 | 10.323/10 | ||
| Pb–Pb | 10–20% | 10 | 0.474 ± 0.011 | 1.002 ± 0.003 | 0.964 ± 0.048 | 6.9 ± 0.25 | 8.439/10 | |
| 2.76 TeV | 20–40% | 1 | 0.474 ± 0.011 | 1.002 ± 0.003 | 0.964 ± 0.048 | 3.6 ± 0.15 | 11.302/10 | |
| 40–60% | 0.439 ± 0.010 | 1.004 ± 0.002 | 0.911 ± 0.046 | 1.4 ± 0.06 | 15.954/9 | |||
| 60–80% | 0.420 ± 0.009 | 1.019 ± 0.002 | 0.888 ± 0.044 | 0.22 ± 0.01 | 6.524/7 | |||
| Figure 2 | 0–10% | 0.474 ± 0.011 | 1.002 ± 0.003 | 0.964 ± 0.048 | 10.2 ± 0.5 | 10.661/10 | ||
| Pb–Pb | 10–20% | 10 | 0.474 ± 0.011 | 1.002 ± 0.003 | 0.964 ± 0.048 | 7.5 ± 0.25 | 20.167/10 | |
| 2.76 TeV | 20–40% | 1 | 0.474 ± 0.011 | 1.002 ± 0.003 | 0.964 ± 0.048 | 3.6 ± 0.15 | 8.580/10 | |
| 40–60% | 0.439 ± 0.010 | 1.004 ± 0.002 | 0.911 ± 0.046 | 1.3 ± 0.06 | 14.629/9 | |||
| 60–80% | 0.420 ± 0.009 | 1.019 ± 0.002 | 0.888 ± 0.044 | 0.22 ± 0.01 | 8.081/7 | |||
| Figure 3 | - | 0.083 ± 0.003 | 1.126 ± 0.005 | 0.178 ± 0.009 | 144.5 ± 5 | 78.052/20 | ||
| p–p | - | 0.083 ± 0.003 | 1.126 ± 0.005 | 0.178 ± 0.009 | 144.5 ± 5 | 75.958/20 | ||
| 200 GeV | - | 0.144 ± 0.007 | 1.112 ± 0.007 | 0.317 ± 0.016 | 7.1 ± 0.25 | 41.866/19 | ||
| p | - | 0.148 ± 0.002 | 1.110 ± 0.007 | 0.376 ± 0.019 | 4.0 ± 0.15 | 43.374/17 | ||
| - | 10 | 0.148 ± 0.004 | 1.110 ± 0.007 | 0.376 ± 0.019 | 4.0 ± 0.15 | 12.662/17 | ||
| - | 1 | 0.225 ± 0.005 | 1.033 ± 0.006 | 0.509 ± 0.026 | 1.2 ± 0.05 | 72.374/18 | ||
| - | 0.225 ± 0.005 | 1.033 ± 0.006 | 0.509 ± 0.026 | 1.1 ± 0.04 | 107.538/18 | |||
| - | 0.288 ± 0.008 | 1.029 ± 0.004 | 0.637 ± 0.032 | 0.04 ± 0.002 | 13.664/8 | |||
| - | 0.288 ± 0.008 | 1.029 ± 0.004 | 0.637 ± 0.032 | 0.04 ± 0.002 | 22.374/8 | |||
| + | - | 0.326 ± 0.010 | 1.020 ± 0.003 | 0.737 ± 0.037 | 0.0055 ± 0.0003 | 0.487/0 | ||
| Figure 3 | - | 0.099 ± 0.003 | 1.152 ± 0.007 | 0.224 ± 0.011 | 162.2 ± 7 | 68.700/19 | ||
| p–p | - | 0.099 ± 0.003 | 1.152 ± 0.007 | 0.223 ± 0.011 | 160.2 ± 7 | 56.251/19 | ||
| 2.76 TeV | - | 10 | 0.176 ± 0.004 | 1.115 ± 0.008 | 0.377 ± 0.019 | 12.6 ± 0.6 | 11.354/14 | |
| - | 1 | 0.176 ± 0.004 | 1.115 ± 0.008 | 0.377 ± 0.019 | 12.4 ± 0.5 | 13.413/14 | ||
| p | - | 0.223 ± 0.005 | 1.079 ± 0.005 | 0.497 ± 0.025 | 4.2 ± 0.15 | 64.225/24 | ||
| - | 0.223 ± 0.006 | 1.079 ± 0.005 | 0.497 ± 0.025 | 4.1 ± 0.15 | 46.396/24 |
| Collision | Centrality | Intercept | Slope | |
|---|---|---|---|---|
| 0–5% | 0.0911 ± 0.001 | 0.2150 ± 0.002 | 0.0015 | |
| 5–10% | 0.0911 ± 0.001 | 0.2150 ± 0.002 | 0.0015 | |
| 10–15% | 0.0911 ± 0.001 | 0.2150 ± 0.002 | 0.0015 | |
| 15–20% | 0.0911 ± 0.001 | 0.2150 ± 0.002 | 0.0015 | |
| 20–30% | 0.0911 ± 0.001 | 0.2150 ± 0.002 | 0.0015 | |
| Au–Au | 30–40% | 0.0911 ± 0.001 | 0.2150 ± 0.002 | 0.0015 |
| 200 GeV | 40–50% | 0.0911 ± 0.001 | 0.2150 ± 0.002 | 0.0015 |
| 50–60% | 0.0901 ± 0.003 | 0.1620 ± 0.005 | 0.0053 | |
| 60–70% | 0.0880 ± 0.004 | 0.1330 ± 0.007 | 0.0100 | |
| 70–80% | 0.0864 ± 0.010 | 0.1080 ± 0.016 | 0.0132 | |
| 80–92% | 0.0787 ± 0.012 | 0.0864 ± 0.019 | 0.0152 | |
| 0–5% | 0.0993 ± 0.001 | 0.2890 ± 0.001 | 0.00098 | |
| 5–10% | 0.0993 ± 0.001 | 0.2890 ± 0.001 | 0.00098 | |
| 10–20% | 0.0993 ± 0.001 | 0.2890 ± 0.001 | 0.00098 | |
| 20–30% | 0.0993 ± 0.001 | 0.2890 ± 0.001 | 0.00098 | |
| Pb–Pb | 30–40% | 0.0993 ± 0.001 | 0.2890 ± 0.001 | 0.00098 |
| 2.76 TeV | 40–50% | 0.0993 ± 0.001 | 0.2890 ± 0.001 | 0.00098 |
| 50–60% | 0.0904 ± 0.004 | 0.2582 ± 0.006 | 0.0052 | |
| 60–70% | 0.0885 ± 0.004 | 0.2333 ± 0.006 | 0.0046 | |
| 70–80% | 0.0882 ± 0.007 | 0.1988 ± 0.011 | 0.0092 | |
| 80–90% | 0.0859 ± 0.010 | 0.1606 ± 0.020 | 0.0128 |
| Collision | Centrality | Intercept | Slope | |
|---|---|---|---|---|
| 0–5% | 0.0815 ± 0.002 | 0.3340 ± 0.002 | 0.0018 | |
| 5–10% | 0.0815 ± 0.002 | 0.3340 ± 0.002 | 0.0018 | |
| 10–15% | 0.0815 ± 0.002 | 0.3340 ± 0.002 | 0.0018 | |
| 15–20% | 0.0815 ± 0.002 | 0.3340 ± 0.002 | 0.0018 | |
| 20–30% | 0.0815 ± 0.002 | 0.3340 ± 0.002 | 0.0018 | |
| Au–Au | 30–40% | 0.0815 ± 0.002 | 0.3340 ± 0.002 | 0.0018 |
| 200 GeV | 40–50% | 0.0815 ± 0.002 | 0.3340 ± 0.002 | 0.0018 |
| 50–60% | 0.0804 ± 0.002 | 0.3163 ± 0.002 | 0.0016 | |
| 60–70% | 0.0799 ± 0.003 | 0.2946 ± 0.003 | 0.0024 | |
| 70–80% | 0.0791 ± 0.008 | 0.2807 ± 0.009 | 0.0076 | |
| 80–92% | 0.0763 ± 0.020 | 0.2572 ± 0.021 | 0.017 | |
| 0–5% | 0.0900 ± 0.005 | 0.3487 ± 0.004 | 0.0044 | |
| 5–10% | 0.0900 ± 0.005 | 0.3487 ± 0.004 | 0.0044 | |
| 10–20% | 0.0900 ± 0.005 | 0.3487 ± 0.004 | 0.0044 | |
| 20–30% | 0.0900 ± 0.005 | 0.3487 ± 0.004 | 0.0044 | |
| Pb–Pb | 30–40% | 0.0900 ± 0.005 | 0.3487 ± 0.004 | 0.0044 |
| 2.76 TeV | 40–50% | 0.0900 ± 0.005 | 0.3487 ± 0.004 | 0.0044 |
| 50–60% | 0.0831 ± 0.003 | 0.3420 ± 0.003 | 0.003 | |
| 60–70% | 0.0723 ± 0.042 | 0.3352 ± 0.036 | 0.0382 | |
| 70–80% | 0.0720 ± 0.026 | 0.3336 ± 0.024 | 0.0234 | |
| 80–90% | 0.0717 ± 0.012 | 0.3072 ± 0.011 | 0.0101 |
Disclaimer/Publisher’s Note: The statements, opinions and data contained in all publications are solely those of the individual author(s) and contributor(s) and not of MDPI and/or the editor(s). MDPI and/or the editor(s) disclaim responsibility for any injury to people or property resulting from any ideas, methods, instructions or products referred to in the content. |
© 2023 by the authors. Licensee MDPI, Basel, Switzerland. This article is an open access article distributed under the terms and conditions of the Creative Commons Attribution (CC BY) license (https://creativecommons.org/licenses/by/4.0/).
Share and Cite
Badshah, M.; Haj Ismail, A.; Waqas, M.; Ajaz, M.; Mian, M.U.; Dawi, E.A.; Adil Khan, M.; AbdelKader, A. Excitation Function of Freeze-Out Parameters in Symmetric Nucleus–Nucleus and Proton–Proton Collisions at the Same Collision Energy. Symmetry 2023, 15, 1554. https://doi.org/10.3390/sym15081554
Badshah M, Haj Ismail A, Waqas M, Ajaz M, Mian MU, Dawi EA, Adil Khan M, AbdelKader A. Excitation Function of Freeze-Out Parameters in Symmetric Nucleus–Nucleus and Proton–Proton Collisions at the Same Collision Energy. Symmetry. 2023; 15(8):1554. https://doi.org/10.3390/sym15081554
Chicago/Turabian StyleBadshah, Murad, Abd Haj Ismail, Muhammad Waqas, Muhammad Ajaz, Mateen Ullah Mian, Elmuez A. Dawi, Muhammad Adil Khan, and Atef AbdelKader. 2023. "Excitation Function of Freeze-Out Parameters in Symmetric Nucleus–Nucleus and Proton–Proton Collisions at the Same Collision Energy" Symmetry 15, no. 8: 1554. https://doi.org/10.3390/sym15081554
APA StyleBadshah, M., Haj Ismail, A., Waqas, M., Ajaz, M., Mian, M. U., Dawi, E. A., Adil Khan, M., & AbdelKader, A. (2023). Excitation Function of Freeze-Out Parameters in Symmetric Nucleus–Nucleus and Proton–Proton Collisions at the Same Collision Energy. Symmetry, 15(8), 1554. https://doi.org/10.3390/sym15081554

