Next Article in Journal
Results of Hyperbolic Ricci Solitons
Next Article in Special Issue
Symmetry and Symmetry-Breaking in Fluid Dynamics
Previous Article in Journal
Efficient Families of Multi-Point Iterative Methods and Their Self-Acceleration with Memory for Solving Nonlinear Equations
Previous Article in Special Issue
Spreading or Contraction of an Axisymmetric Viscous Drop between Two Plates in a Rapidly Rotating Frame
 
 
Font Type:
Arial Georgia Verdana
Font Size:
Aa Aa Aa
Line Spacing:
Column Width:
Background:
Article

Anchored and Lifted Diffusion Flames Supported by Symmetric and Asymmetric Edge Flames

1
Shanghai Institute of Applied Mathematics and Mechanics, School of Mechanics and Engineering Science, Shanghai University, Shanghai 200072, China
2
Shanghai Key Laboratory of Mechanics in Energy Engineering, Shanghai 200072, China
3
Shanghai Institute of Aircraft Mechanics and Control, Zhangwu Road, Shanghai 200092, China
4
Department of Mechanical Science and Engineering, University of Illinois at Urbana-Champaign, Urbana, IL 61801, USA
*
Author to whom correspondence should be addressed.
Symmetry 2023, 15(8), 1547; https://doi.org/10.3390/sym15081547
Submission received: 6 July 2023 / Revised: 27 July 2023 / Accepted: 4 August 2023 / Published: 6 August 2023
(This article belongs to the Special Issue Symmetry and Symmetry-Breaking in Fluid Dynamics)

Abstract

Numerous combustion applications are concerned with the stabilization of diffusion flames formed by injecting gaseous fuels into a co-flowing stream containing an oxidizer. The smooth operation of these devices depends on the attachment and lift-off characteristics of the edge flame at the base of the diffusion flame. In this paper, we address fundamental issues pertinent to the structure and dynamics of edge flames, which have attributes of both premixed and diffusion flames. The adopted configuration is the mixing layer established in the wake of a splitter plate where two streams, one containing fuel and the other oxidizer, merge. The analysis employs a diffusive-thermal model which, although it excludes effects of gas expansion, systematically includes the influences of the overall flow rate, unequal strain rates in the incoming streams, stoichiometry, differential and preferential diffusion, heat loss and gas–solid thermal interaction, and their effect on the edge structure, speed, and temperature. Conditions when the edge flame is anchored to the plate, lifted-off and stabilized in the flow, or blown-off, are identified. Two stable modes of stabilization are observed for lifted flames; the edge flame either remains stationary at a specified location or undergoes spontaneous oscillations along a direction that coincides with the trailing diffusion flame.

1. Introduction

Combustion phenomena are commonly classified as premixed or non-premixed, depending on whether the fuel and oxidizer are already mixed at the molecular level when introduced into the combustion chamber or are individually supplied from different origins. When ignition occurs in a premixed system, a premixed flame propagates throughout the mixture, consuming the reactants and generating heat. In a non-premixed system, the fuel and oxidizer are introduced from separate streams to a common region where, upon ignition, mixing and reaction take place simultaneously. Since diffusion plays an essential role in mixing the reactants, the flame in non-premixed systems is referred to as a diffusion flame. The distinction between premixed and diffusion flames is a useful way to globally characterize combustion systems. There are circumstances, however, in which burning occurs in a hybrid mode; fuel and oxidizer enter separately but partially mix at the outset and combustion takes place in a stratified ambience once the mixture is ignited. Consider, for example, a jet of fuel burning into an environment containing an oxidizer, reproduced in Figure 1a from the experiments of Chung and Lee [1]. At low speeds, chemical reaction occurs in the immediate vicinity of the injection port and extends downstream along a diffusion flame that separates a region where there is primarily fuel from a region containing mainly oxidizer. At higher speeds, the flame lifts off and stabilizes within the jet away from the injector. The base of the lifted flame, referred to as an edge flame, separates a burning from a non-burning state; it has a distinct tribrachial structure that combines characteristics of both premixed and diffusion flames as illustrated in Figure 1b. The highly curved lower part is a premixed flame, which is sustained by the stratified mixture of fuel and oxidizer that has been generated near the injection port. It has two arms: a fuel-rich branch extending towards the fuel side and a fuel-lean branch extending towards the oxidizer side. The diffusion flame that stretches out downstream emanates from the point where the mixture is locally in stoichiometric proportion. This structure has been often referred to in the literature as a tribrachial flame or a triple flame.
Edge flames play a crucial role in the stabilization of lifted diffusion flames. In large industrial boilers that typically run at high flow rates, the diffusion flame is lifted off the injector, which is favorable because it prevents thermal contact that could lead to erosion of the burner material. The disadvantage is that the freely standing edge flame may be subject to instabilities and possible blow-off. Another example is the diffusion flame separating streams of gaseous hydrogen and liquid oxygen in a liquid rocket engine. The diffusion flame seen in the vicinity of the high-speed gaseous stream further downstream is actually stabilized in the neighborhood of the oxygen injector lip. Once established, the diffusion flame cannot be easily extinguished because the strain rate encountered in practical operation conditions is typically too small and cannot cause its extinction [2]. The main problem, therefore, reduces to anchoring the edge flame near the injector lip. Anchoring and stabilizing lifted diffusion flames, conditioned on the properties of the edge flames at their base, are essential for the safe, efficient, and smooth operation of combustion devices. Poor stabilization may lead to disastrous consequences.
The symmetric flame structure illustrated in Figure 1 would result under idealized conditions. Various factors, such as streams of unequal strain rates, fuel and oxidizer of unequal molecular diffusivity or supplied in off-stoichiometric proportions, heat losses, and unequal reactant consumption rates would all lead to asymmetric flames. In this study, we focus on the various factors that affect the structure and dynamics of the edge flames supporting the lifted diffusion flames. To this end, we examine the combustion field in the wake of a thin splitter plate where two initially separated streams, one containing fuel and the other an oxidizer, merge. Despite its apparent simplicity, the mathematical problem is rather complex; the flow and combustion fields are strongly coupled due to the heat released by the chemical reactions and the equations governing this intricate process must be solved in an infinite domain that mimics the region ahead and behind the plate trailing edge in order to properly allow for upstream diffusion and accurately capture the far-field asymptotic behavior in the wake region. To simplify the description, we adopt a diffusive-thermal model that filters out the hydrodynamic disturbances induced by gas expansion, practically adopting a constant-density model. Accordingly, the flow field is determined a priori by solving the Navier–Stokes equations with a constant (average) density and used thereafter in the heat and mass transport equations to determine the combustion field. The merging shear flow model considered here, which as formulated by Liñán [3] represents the near-wake flow structure for large Reynolds numbers, has successfully captured the intricate edge flame structure sustained near the plate, the attachment and lift-off behavior of the diffusion flame, and a revelation of the flame stability properties leading to oscillations, blow-off, and/or extinction. In addition, we have provided a comprehensive parametric study describing the influence of a wide range of practical parameters, including mass-flow rate, diffusion properties of the fuel and oxidizer, stoichiometry, radiative heat loss, and thermal characteristics of the splitter plate. Comparison with experimental observations confirms the relevance of our results to the anchoring and stabilization of lifted diffusion flames in various practical settings.
Edge flames have also been studied in other contexts, such as weakly curved premixed flames in stratified mixtures [4,5,6,7] and in strained mixing layers in premixed [8,9,10,11] and non-premixed [12,13] systems, and have been addressed in a number of model problems [14,15,16]. They are also relevant to studies of turbulent diffusion flames acting as an agent for re-establishing combustion in a hole formed on the flame surface [17]. Although they share some common features with edge flames examined in the present article, the mathematical problems are fundamentally different. Further details can be found in the review articles of Buckmaster [18], Chung [19], Lyons [20] and Matalon [21].
The mathematical formulation is presented next. In the subsequent sections, we provide a review and extension of studies concerned with edge flames in mixing layers.

2. Model and Formulation

The oxidation of practical fuels involves a complex network of chemical reactions with a multitude of parameters that are not all well known. Although reduced mechanisms have been suggested for common fuels, they typically involve many elementary reactions and a large number of intermediate species that need to be tracked over a wide range of time scales. This complicates analysis of the governing equations appreciably and could only be used in numerical simulations intended to address the burning of a particular fuel under specified conditions. For fundamental understanding, it is preferable to model the chemical activity by an overall step of the form
Fuel + s Oxidizer ( 1 + s ) Products + { Q } ,
implying that a mass s of an oxidizer is consumed for every unit mass of fuel, producing a mass 1 + s of products and liberating an amount Q of heat. The fuel consumption, or reaction rate, is then given by
ω = B ( ρ Y F ) n F ( ρ Y O ) n O e E / R T ,
where ρ and T are the density and temperature of the mixture, Y F and Y O are the mass fractions of the fuel and oxidizer, E is the activation energy, R the universal gas constant, B is a pre-exponential factor, and n F , n O are reaction orders that are empirically determined to accommodate different mixture combinations; see, for example, [22]. To minimize the number of parameters and refrain from dealing with a particular fuel under specified conditions, we assume below that n F = n O = 1 . The implication of this assumption will be outlined below.
We consider below the two-dimensional merging-flow configuration, which is shown in Figure 2 for a symmetric setup. Two streams are separated far upstream by an infinitesimally thin semi-infinite splitter plate; one contains a fuel, with initial mass fraction Y F 0 , and the other an oxidizer, with initial mass fraction Y O 0 . The ratio between the initial mass fraction of fuel and that of oxidizer, normalized by their stoichiometric proportion, represents the initial mixture strength of the system, ϕ = s Y F 0 / Y O 0 (similar to the equivalence ratio in a fuel and oxidizer premixture). A lean system corresponds to ϕ < 1 , and a rich system to ϕ > 1 . The ambient temperature and the temperature in both streams are constant and equal to T 0 . The incoming streams begin to merge beyond the tip of the plate, bringing the fuel and oxidizer together and forming in the wake of the plate a velocity shear layer and a much wider mixing layer that extends upstream. A Cartesian coordinate system ( O x y ) is established with the origin coinciding with the tip of the plate, the x-axis parallel to the plate, and the y-axis perpendicular to the plate pointing toward the fuel stream. For large Reynolds number, the incoming flow along the plate is asymptotically equivalent to two infinite streams of uniform but not necessarily equal strain rates, corresponding to the local velocity gradients of the Blasius boundary layers generated by the plate. The flow extends laterally towards the lower deck of the triple-deck structure that characterizes the flow in the near wake region; for more details, see the description in [3,23]. Hence, the velocity field v = ( u , v ) as x is given by
v = 0 , u = A y , for y > 0 , α A y , for y < 0 ,
where A and α A are the (constant) shear strain rates in the incoming fuel and oxidizer streams, respectively. The parameter α characterizes the skewness of the merging flow field; the case α 1 corresponds to a co-flowing setup, which is often used in experiments to stabilize the flame [24], while α 0 mimics a fuel jet injecting into a quiescent gas [1], where the oxidizer is totally entrained into the mixing layer from the surroundings. Upon successful ignition, a diffusion flame stabilized by an edge flame at its base is established in the flow field.
The combustion process is described by conservation statements of mass, momentum, and energy of the entire mixture and mass balance equations for the fuel and oxidizer. For constant properties, these equations take the form
ρ t + · ( ρ v ) = 0 , ρ v t + v · v = p + μ 2 v , ρ c p T t + v · T = λ 2 T + Q ω Q R , ρ Y F t + v · Y F = ρ D F 2 Y F ω , ρ Y O t + v · Y O = ρ D O 2 Y O s ω ,
where t is time and p is the dynamic pressure. The coefficients μ , c p , and λ are the viscosity, specific heat (at constant pressure) and conductivity of the mixture, and D F , D O are the mass diffusivities of the fuel and oxidizer. The volumetric heat loss rate by gas radiation, for an optically thin gas, takes the form
Q R = 4 σ l p 1 ( T 4 T 0 4 )
where σ is the Stefan–Boltzmann constant and l p is the Planck mean-absorption length. These equations must be supplemented by an appropriate equation of state, relating the density of the mixture to the temperature. Deflagration waves are low-Mach-number processes and nearly isobaric, such that the density is inversely proportional to the temperature. The small pressure variations from the constant ambient pressure are only necessary to balance the equally small momentum changes.
The aforementioned equations display a strong coupling between the flow and combustion fields because of the density variations associated with the increase in temperature that results from the heat released by the chemical reactions. The gas expansion modifies the velocity field which, in turn, affects the transport of energy and chemical species. A notable simplification results if the density is assumed constant by adopting, for example, an average value. The constant-density, or diffusive-thermal, model can be obtained formally by assuming that the heat release is small compared to the initial enthalpy of the mixture. As a result, the temperature rise is small and the density in the fluid-mechanic equations is, with respect to leading order, the constant ambient value. A small heat release, however, is not a characteristic of combustion systems. Using instead the constant-density assumption with an average value for the density is more appealing. Using this approximation, the flow field is determined a priori and then used in the energy- and mass-balance equations to determine the combustion field. The results presented below will be examined within this framework.
To express the equations in dimensionless form, we scale velocities with respect to a characteristic speed of an edge flame chosen as the laminar flame speed corresponding to a stoichiometric premixture, namely a mixture consisting of Y F 0 / ( 1 + ϕ ) fuel and ϕ Y O 0 / ( 1 + ϕ ) oxidizer, of unity fuel and oxidizer Lewis numbers. An expression for laminar flame speed S L of a stoichiometric mixture (of arbitrary Lewis numbers) derived in the limit of large activation energies [25] is given by
S L = 4 B ρ D T ϕ Y O 0 β 3 Le F 1 Le O 1 ( 1 + ϕ ) e E / 2 R T a ,
where D T = λ / ρ c p is the thermal diffusivity of the mixture, T a = T 0 + Q Y F 0 / c p ( 1 + ϕ ) is the adiabatic flame temperature, Le F = D T / D F and Le O = D T / D O are the Lewis numbers, representing the ratios of the thermal diffusivity of the mixture to the molecular diffusivities of the fuel and oxidizer, and β = E ( T a T 0 ) / R T a 2 is the activation-energy parameter, or Zeldovich number. The laminar flame speed corresponding to unity fuel and oxidizer Lewis numbers is identified with superscript 0, i.e., denoted S L 0 . Using S L 0 as a unit speed, length and time are scaled by the diffusion length D T / S L 0 and diffusion time D T / S L 0 2 , and pressure by ρ S L 0 2 . The steady flow resulting from the merging streams illustrated in Figure 2 is described by
· v = 0 , v · v = p + Pr 2 v ,
using the same symbols for the dimensionless velocity and pressure, where Pr = μ c p / λ is the Prandtl number, or the reciprocal of the corresponding Reynolds number. For the remaining equations, it is convenient to normalize the fuel and oxidizer mass fractions by their initial supply values, Y F 0 and Y O 0 , and define a scaled temperature θ = ( T T 0 ) / ( T a T 0 ) . The combustion field is then described by
θ t + v · θ = 2 θ + ( 1 + ϕ ) Ω H ( 1 + q θ ) 4 1 , Y F t + v · Y F = Le F 1 2 Y F Ω , Y O t + v · Y O = Le O 1 2 Y O ϕ Ω ,
using the same symbols for the normalized mass fractions. The parameters in these equations, in addition to the initial mixture strength ϕ and the Lewis numbers Le F and Le O , are the heat release or thermal expansion parameter q = ( T a T 0 ) / T 0 , and the volumetric heat-loss coefficient H = 4 σ T 0 4 / ρ c p l p ( T a T 0 ) S L 0 2 . The dimensionless reaction rate is given by
Ω = D β 3 Y F Y O exp β ( 1 + q ) ( θ 1 ) ( 1 + q θ ) ,
where the factor β 3 was introduced solely for convenience, being the proper scaling in the asymptotic treatment of both premixed [25] and diffusion flames [26]. The coefficient
D = 1 β 3 D T / S L 0 2 ρ Y O 0 B e E / R T a 1 = 1 + ϕ 4 ϕ ,
which represents the ratio of the diffusion to chemical reaction times, depends only on the initial mixture strength and may be considered as the local Damköhler number that characterizes the conditions near the edge flame. The ratio of the flow to the chemical reaction times,
D = Pr β 3 A 1 ρ Y O 0 B e E / R T a 1
is the global Damköhler number, which serves in this study as a primary parameter that controls the flow conditions; decreasing D corresponds to increasing the strain rate A or, equivalently, increasing the overall mass-flow rate. Below, we refer to D as the Damköhler number. The Prandtl number was included in (6) for consistency with the definition used in previous studies.
The boundary conditions associated with these equations, which confirm the description shown in Figure 2 are:
as x : u = A ˜ y , v = 0 , Y F = 1 , Y O = 0 , θ = 0 , for y > 0 , u = α A ˜ y , v = 0 , Y F = 0 , Y O = 1 , θ = 0 , for y < 0 ,
as y + : u = A ˜ y , Y F = 1 , Y O = 0 , θ = 0 , as y : u = α A ˜ y , Y F = 0 , Y O = 1 , θ = 0 ,
where
A ˜ = A D T S L 0 2 = 1 + ϕ 4 ϕ Pr D
is the dimensionless strain rate, inversely proportional to the Damköhler number D. We note that although the shear flow extends to infinity in the lateral directions, the vertical velocity component v can be made to vanish only far upstream. Elsewhere, we require
as y ± : v / y = p / y = 0 ,
a constraint that results from the pressure gradient induced by the displacement effect of the boundary layer along the plate, as discussed in [27,28,29]. The conditions along the splitter plate are:
along y = 0 for x < 0 : u = v = 0 , Y F y = Y O y = 0 , θ = θ s ,
where θ s is the temperature of the solid plate; they correspond to no-slip conditions, the impermeability of the solid plate to fuel and oxidizer, and local thermal equilibrium between the solid and gas phases. The temperature θ s depends on the nature of the plate and the thermal interaction between the solid and gaseous phases. Energy conservation, for a thin plate of thickness h, yields the following heat-conduction equation
1 r D θ s t = 2 θ s x 2 + 1 r λ h θ y ,
where r λ and r D are, respectively, the ratios of thermal conductivity and thermal diffusivity between the solid and the gas, and θ / y = θ / y y = 0 + θ / y y = 0 is the heat conducted laterally from the plate to the gaseous mixture. The limit r λ , which corresponds to infinite conductivity of the plate’s material, or vanishing thermal resistance, implies that θ s = 0 and represents a (cold) isothermal plate. The other extreme, r λ 0 , which corresponds to the vanishing conductivity of the plate’s material, or infinite thermal resistance, implies that θ / y = 0 and represents an adiabatic plate. At the tip of the plate, x = y = 0 , we impose
u = v = 0 , Y F x = Y O x = 0 , θ = θ s , θ x = r λ θ s x .
Finally, far downstream the temperature and mass fractions are expected to evolve into a uniform state such that
as x : θ x = Y F x = Y O x = 0 .
The conditions on the velocity field will be discussed below.

3. The Fast Chemistry Limit

We begin with an examination of the diffusion flame in the fast chemistry limit, first envisaged by Burke and Schumann [30]. We also assume that the combustion system is adiabatic, by neglecting heat losses, i.e., H = 0 , and considering an adiabatic plate, i.e., r λ = 0 . For the sake of analytical treatment, we momentarily put aside the merging shear flow and replace it with a simple uniform flow along the x-direction. If the uniform axial velocity U is used as a reference speed, the temperature and mass fraction equations for steady conditions simplify to
θ x = 2 θ + ( 1 + ϕ ) Ω , Y F x = Le F 1 2 Y F Ω , Y O x = Le O 1 2 Y O ϕ Ω ,
where the numerator in the definition of D appears in the reaction rate term Ω , and similarly in the definition of D, it is replaced by the characteristic flow time D T / U 2 . The fast chemistry limit corresponds to an infinitely large Damköhler number, namely when a chemical reaction proceeds much faster than the flow. Formally, D implies that Y F Y O = 0 throughout the combustion field, which can only be achieved if both reactants are consumed instantaneously along a sheet that separates a region where there is fuel but no oxidizer, from a region where there is only oxidizer. Then Ω = 0 on either side of the reaction sheet (also known as the Burke–Schumann flame sheet), and the resulting reaction-free equations must be solved subject to the following jump conditions across the sheet:
θ = Y F = Y O = 0 , θ n = 1 + ϕ Le F Y F n = 1 + ϕ ϕ Le O Y O n ,
where / n is the derivative along the normal to the sheet, and = n = 0 + n = 0 is the jump operator. These conditions state that all variables are continuous across the sheet, that fuel and oxidizer flow into the sheet from opposite sides in stoichiometric proportions, and that heat is conducted proportionately to the fuel and oxidizer regions. They are sufficient for the mathematical description of the combustion field, including the shape and location of the reaction sheet, as discussed by Cheatham and Matalon [26].
The distribution of the reactant mass fractions is often determined in terms of the mixture fraction, defined as
Z = 1 + ϕ Y F Y O 1 + ϕ ,
which varies from Z = 1 in the fuel region (where there is no oxidizer) to Z = 0 in the oxidizer region (where there is no fuel). In the present case, Z varies smoothly from Z = 0 to Z = 1 when y extends from to + . The mixture fraction is a useful property when the fuel and oxidizer have equal Lewis numbers, i.e., Le F = Le O = Le because, according to Equation (7), it satisfies
Z x = Le 1 2 Z ,
which contains no source terms, so that Z is a conserved scalar; namely, a quantity that is neither created nor destroyed by chemical reactions. The mixture fraction can then be determined a priori, with the mass fractions expressed in terms of Z from the definition (9). The reaction sheet, along which Y F = Y O = 0 , corresponds to Z = Z st , where Z st = 1 / ( 1 + ϕ ) is the stoichiometric value of the mixture fraction. The distributions of the fuel and oxidizer mass fractions are given by
Y F = ϕ 1 [ ( 1 + ϕ ) Z 1 ] , Z st < Z < 1 0 , 0 < Z Z st
Y O = 0 , Z st < Z < 1 1 ( 1 + ϕ ) Z , 0 < Z Z st ,
where (here and below) the upper/lower expressions correspond to the fuel/oxidizer regions. Note that the stoichiometric surface Z ( x , y ) = Z st is also the surface prescribed by the stoichiometric condition ϕ Y F = Y O in a non-reacting environment.
The temperature field cannot be simply expressed in terms of the mixture fraction, unless Le = 1 . For unity Lewis numbers, the combinations θ + ( 1 + ϕ ) Y F and ϕ θ + ( 1 + ϕ ) Y O are also conserved scalars that can be expressed in terms of the mixture fraction as follows:
θ + ( 1 + ϕ ) Y F = ( 1 + ϕ ) Z , ϕ θ + ( 1 + ϕ ) Y O = ( 1 + ϕ ) ( 1 Z ) .
Consequently, the temperature is given by
for Le = 1 : θ = ϕ 1 ( 1 + ϕ ) ( 1 Z ) ] , Z st < Z < 1 ( 1 + ϕ ) Z , 0 < Z Z st ,
with θ = 1 along the stoichiometric surface. Indeed, for unity Lewis numbers, the temperature along the Burke–Schumann flame sheet is the adiabatic temperature T = T a .
It is important to note that the mass fractions admit the simple form (11) and (12) only for equal Lewis numbers, and the temperature can be simply expressed in terms of the mixture fraction Z if, in addition, Le = 1 . The usefulness of the mixture fraction formulation, however, is limited to situations where the combustion field depends on one coordinate which can be easily transformed to Z. Otherwise, one needs to solve an appropriate equation, such as (10) in the present case, to determine Z in terms of the physical coordinates.
We proceed with the case of equal but non-unity Lewis numbers and introduce the following parabolic coordinate transformation:
ξ = 1 2 x 2 + y 2 + x 1 2 , η = ± 1 2 x 2 + y 2 x 1 2 ,
where η 0 corresponds to y 0 , respectively. Conversely, the Cartesian coordinates are related to the parabolic coordinates through the relations
x = ξ 2 η 2 , y = 2 ξ η ,
for 0 ξ < , and < η < . In terms of the parabolic coordinates ( ξ , η ) , the splitter plate lies along ξ = 0 , and Equation (10) transforms into
2 ξ Z ξ 2 η Z η = Le 1 2 Z ξ 2 + 2 Z η 2 ,
with the boundary conditions:
Z ξ = 0 , for ξ = 0 , Z ξ < , as ξ , Z = 0 , as η , Z = 1 , as η .
We note that the boundary conditions are identically satisfied when Z / ξ = 0 and, consequently, the solution that depends on η only, is
Z = 1 2 1 + erf Le η .
The mass fractions (11) and (12) can now be easily expressed in terms of ( x , y ) . Solution (14) implies that the contours of Z ( x , y ) coincide with the coordinate lines η , and for a constant η are parabolas of the form x = y 2 / 4 η 2 η 2 . The stoichiometric surface, or Burke–Schumann flame-sheet location, is obtained from Z = Z st , and given by
η st = 1 Le erf 1 1 ϕ 1 + ϕ .
When the fuel and oxidizer are supplied in stoichiometric proportions, i.e., ϕ = 1 , the flame sheet coincides with the axis y = 0 and the combustion field is symmetric with respect to the axis. An asymmetric flame results otherwise; for a lean system ( ϕ < 1 ) it lies in the fuel region and for a rich system ( ϕ > 1 ) in the oxidizer region.
Although the temperature cannot be simply expressed in terms of the mixture fraction, a solution can be obtained by recognizing that θ on either side of the reaction sheet satisfies an equation similar to Z, with Le 1 in front of the Laplacian replaced by 1. The solution that vanishes as η ± is
θ = θ st 1 erf η st ( 1 erf η ) , for η > η st θ st 1 + erf η st ( 1 + erf η ) , for η < η st ,
where θ st is the temperature along the diffusion flame sheet η = η st . The jump condition (8) relating the gradients of temperature and mass fractions yields
θ st = ( 1 + ϕ ) 2 4 ϕ Le ( 1 erf 2 η st ) e ( 1 Le ) η st 2     .
For unity Lewis numbers, θ st = 1 as noted earlier, and the temperature along the Burke–Schumann flame sheet is the adiabatic flame temperature T a . For non-unity Lewis numbers, the temperature along the Burke–Schumann flame sheet, or the stoichiometric temperature, differs from the adiabatic flame temperature and depends on the Lewis number, as first recognized by Cheatham and Matalon [26] and discussed in [31] for a counterflow diffusion flame. This remains true even for ϕ = 1 , namely, when the flame sheet lies along the y-axis and the combustion field is symmetric with respect to the centerline. The result θ st = Le 1 / 2 in this case implies that for the same stoichiometric mixture, the flame temperature of a diffusion flame consuming all the fuel and oxidizer is larger than the flame temperature of a premixed flame by a factor Le 1 / 2 . It will be demonstrated in later sections that this distinction plays a significant role in determining the temperature and propagation speed of edge flames. The insight gained from the explicit Formula (16) helps in understanding the more complex effects of Lewis number and initial mixture strength on edge flames in merging shear flows.
The dependence of the stoichiometric temperature on the Lewis number and initial mixture strength is illustrated in Figure 3 by contours of θ st with respect to Le and ϕ / ( 1 + ϕ ) . The initial mixture strength has been normalized as suggested by Law [32] for the equivalence ratio in premixed combustion. In terms of ϕ / ( 1 + ϕ ) , lean/rich conditions are distributed in a symmetric way below/above the stoichiometric value ϕ / ( 1 + ϕ ) = 0.5 (dashed horizontal line). In general, the stoichiometric temperature increases on decreasing the Lewis number, namely when the mass diffusivities of the fuel and oxidizer are significantly larger than the thermal diffusivity of the mixture. The symmetric distribution of θ st relative to stoichiometry is expected, because the flow is uniform and for equal Lewis numbers the roles of fuel and oxidizer are interchangeable.

4. The Merging Shear Flow

The merging of two uniform shear flows downstream of the trailing edge of a semi-infinite flat plate has been the subject of past investigations [33,34,35], primarily in the aerodynamic field. For large Reynolds numbers, the flow is described by the boundary layer equations and admits a similarity solution which, when expressed in terms of the streamfunction, takes the form
ψ ( x , y ) = x 2 / 3 F ( η ) ,
where η = y / x 1 / 3 is the similarity variable (not to be confused with the notation in the previous section). For unequal initial strain rates, F ( η ) is the solution of the boundary value problem
3 F + 2 F F F 2 = 2 c , F ( η ) 1 2 η 2 + c , as η + , F ( η ) 1 2 α η 2 c α , as η ,
where primes denote differentiation with respect to η and c is an eigenvalue. The corresponding velocity components are given by
u = x 1 / 3 F , v = 1 3 x 1 / 3 ( η F 2 F ) .
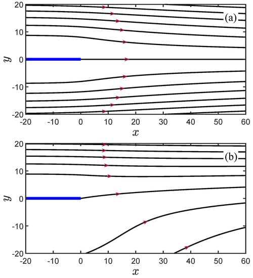
The solution of this problem was reexamined recently by Lu and Matalon [23] evaluating the constant c and displaying profiles of the u ( η ) and v ( η ) for various values of the strain rate ratio α . The similarity solution exhibits a singularity at the plate’s trailing edge, as attested by the behavior of the vertical velocity v as x 0 , which invalidates the boundary layer approximation exactly in the region where fuel and oxidizer begin mixing and the base of the diffusion flame is expected to be stabilized. The underlying flow that supports the edge flame must therefore be based on the Navier–Stokes Equation (2), and the solution must asymptotically match the profiles (17) far downstream, namely with u x 1 / 3 and v x 1 / 3 as x . The flow field that adheres to this condition was determined numerically for various values of α using a vorticity-streamfunction formulation. The equations were discretized in a rectangular domain on a uniform mesh with Δ x = Δ y = 0.05 , which were found sufficient to meet the requirements of grid independence. Derivatives were approximated via a second-order central difference scheme, and the resulting difference equations were solved using a Gauss–Seidel iteration with successive over-relaxation.
Figure 4 shows the flow field for two representative values of α , for Pr = 0.72 . When α = 1 , the flow field is symmetric with respect to the horizontal centerline, which coincides with the dividing streamline that emanates from the trailing edge of the plate. When α = 0.1 , the imbalance in vorticity in the incoming streams causes the dividing streamline to deviate from the centerline toward the fuel side, indicative of fluid entrainment from the oxidizer region. Results for different α ’s indicate that the deviation of the dividing streamline increases as α decreases, implying an enhancement in the oxidizer entrainment. Evidently, in both cases shown in the figure, the flow past the trailing edge of the plate undergoes acceleration in the near-wake region. For a symmetric structure, the stabilization of the edge flame in the mixing layer is significantly affected by the streamwise-velocity gradient but when α decreases, the role of diffusion becomes more pronounced, as discussed below.

5. The Edge-Flame Structure

Given the velocity field v ( x , y ) , as determined in the preceding section, we now address Equation (3) for the description of the combustion field. Among all the parameters involved, we have fixed q = 5 and β = 10 , which correspond to the combustion reaction of typical hydrocarbon fuels under standard conditions, and examined the influence of the remaining parameters. These include the Damköhler number D, the fuel and oxygen Lewis numbers Le F and Le O , the initial strain rate ratio α , the initial mixture strength ϕ , the thermo-physical properties of the splitter plate, r λ and r D , and the volumetric heat-loss coefficient H, which will be examined separately. For consistency, the combustion field was determined numerically in the same rectangular domain and on the same mesh as the flow field. The governing equations and boundary conditions were discretized via a second-order finite-difference scheme and solved using the Gauss–Seidel iteration method with successive over-relaxation. For steady solutions, an intermediate temperature value was chosen and fixed at a specified grid point to capture all possible solutions, stable and unstable. The stability of the computed states was assessed by examining the time evolution of small perturbations superimposed to a given steady state. The time-dependent calculations were carried out with appropriate time steps Δ t , ensuring that the required temporal precision was satisfied. Further details can be found in [23] and the references cited therein.

5.1. Symmetric Edge Flames

Figure 5 illustrates the structure of a symmetric flame, stabilized in the near wake of two merging streams of equal strain rates, α = 1 , and a flow rate corresponding to D = 10 , with the parameter values: Le F = Le O = 1 , ϕ = 1 , H = 0 , r λ = . We refer to this case as the baseline case and, unless otherwise stated, hereinafter when varying one of the parameters it is implicitly assumed that all the other parameters remain unchanged. The flame structure in the figure is represented by contours of reaction rate Ω , temperature θ , and fuel and oxidizer mass fractions, Y F and Y O , respectively. Because the flow field is symmetric with respect to the x-axis, and the fuel and oxidizer of equal diffusivities are supplied in the incoming streams in stoichiometric proportion, the resulting edge flame formed in the wake of the splitter plate is also symmetric. The flame has an apparent tribrachial structure; it consists of a curved premixed flame at the front with fuel-rich and fuel-lean branches extending above and below, which is referred to as the edge flame, and a straight diffusion flame trailing downstream along the centerline. An enlarged picture of an edge flame can be seen in one of the figures shown below. The temperature and mass fraction distributions shown in the figure illustrate the extent and width of the thermal and mixing layers. For the isothermal plate considered here, the thermal layer develops beyond the trailing edge of the plate, while the mixing layer extends behind the plate as a result of upstream diffusion.
The discussion below necessitates a precise and unambiguous definition of the edge-flame position. To this end, we define its coordinates, x e and y e , as the location where the reaction rate Ω attains its maximum value. The axial distance between the edge flame and the tip of the plate, i.e., x e , will be referred to as the flame-standoff distance.
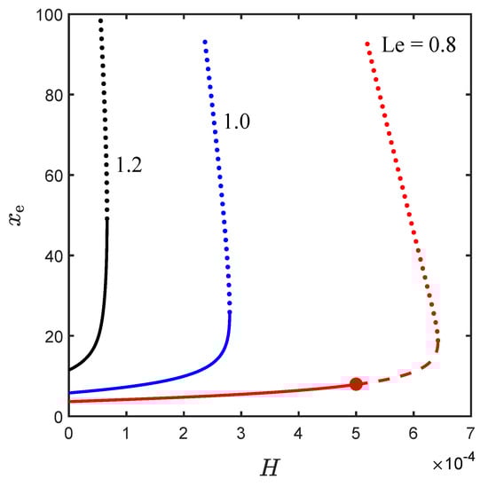
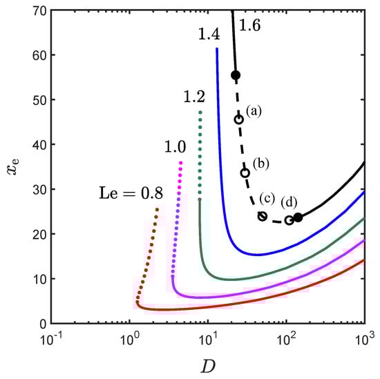
Figure 6 shows that the flame-standoff distance is strongly affected by the overall flow rate, i.e., variations in the Damköhler number D, and by the disparity between heat and mass diffusivities, or variations in the Lewis number Le . In general, when decreasing D from relatively large values, the edge flame moves towards the plate, i.e., down the velocity gradient, in order to reach a new balance with the local flow velocity for its stabilization. The standoff distance, however, reaches a minimum value because heat loss to the cold plate prevents the edge flame from getting closer. The response of the edge flame when approaching the plate and the minimum standoff distance depend on the Lewis number. To retain the symmetry, the fuel and oxidizer Lewis numbers were assumed to have a common value, i.e., Le F = Le O = Le . The figure shows the dependence of the standoff distance x e of steady solutions on the Damköhler number, for 0.8 Le 1.6 . Depending on the Lewis number, the response curves exhibit one of two behaviors: a C-shaped response for relatively low Lewis numbers, as exemplified by Le = 0.8 , 1.0 , and 1.2 , and a U-shaped response for higher values, as exemplified by Le = 1.4 and 1.6 . The C-shaped curve consists of two branches with a turning point corresponding to a minimum Damköhler number, D = D ext , below which no solution exists. For D > D ext , the solution is multivalued. Steady solutions along the lower branch (solid curve) are stable with respect to small perturbations; when perturbed, the flame recedes back in time to its initial state. Solutions along the upper branch (dotted curve) are unstable; when perturbed, the flame advances or retreats from its initial equilibrium position indefinitely. Since only stable states are realized physically, the turning point D ext defines an adiabatic extinction limit. In practical situations, when increasing the mass-flow rate by decreasing the Damköhler number starting with large values, the edge flame will first approach the plate along the stable lower branch, reach a minimum standoff distance, and then lift slightly up to D ext . When further increasing the mass-flow rate, the flame gets blown off. Both the Damköhler number and the flame-standoff distance at extinction show a decreasing trend when Le decreases, suggesting that under otherwise similar conditions flames with lower Lewis numbers (e.g., light fuels) can survive higher flow rates.
Different from the C-shaped response, the U-shaped curve associated with high-Lewis-number flames shows that a single steady solution exists for all D; the response curve does not have a turning point or an explicit extinction limit. In practical situations, when increasing the mass-flow rate by decreasing the Damköhler number starting with a large value, the edge flame will first approach the plate, reach a minimum standoff distance, and then lift off and stabilize further downstream. The flame lifts off to significantly large distances by increasing the mass-flow rate only slightly. Both the minimum standoff distance and the lift-off distance show an increasing trend when Le increases, suggesting that, under otherwise similar conditions, flames with higher Lewis numbers (e.g., heavy fuels) can stabilize sufficiently far from the plate. The stabilization mode, however, depends on the Lewis number. For Le = 1.4 , the entire response curve corresponds to stable steady states. For Le = 1.6 , an intermediate range of Damköhler numbers associated with unstable states exist (dashed curve) between the stable states corresponding to smaller and larger values of D. When a steady state within this range is slightly perturbed, the edge flame is observed to move back and forth along the centerline relative to its initial equilibrium position. Because these oscillations persist in time, the flame remains practically stabilized near the plate but not in a steady fashion. The marginal states separating stable steady states from stable oscillatory states are marked along the response curve by a ‘•’ symbol. Figure 7 shows typical oscillations for four representative values of the Damköhler number marked in Figure 6 by (a)–(d). The amplitude and frequency, as well as the nature of the oscillations, vary with D. For example, oscillations of smaller amplitude are seen in (a), while a complex oscillation pattern of multiple frequencies is seen in (b). A closer examination shows that during its motion, the edge flame drags along the trailing diffusion flame, but oscillations along the diffusion flame decay quickly when moving further downstream [23,36]. The oscillations, which begin in the premixed segment of the edge flame, are presumed to share a similar underlying mechanism with the well-known large-Lewis-number pulsation of premixed flames attributed to a diffusive-thermal instability. Further results show that the ranges of both the Damköhler number D and the flame-standoff distance x e corresponding to oscillatory states expand on increasing the Lewis number [23].
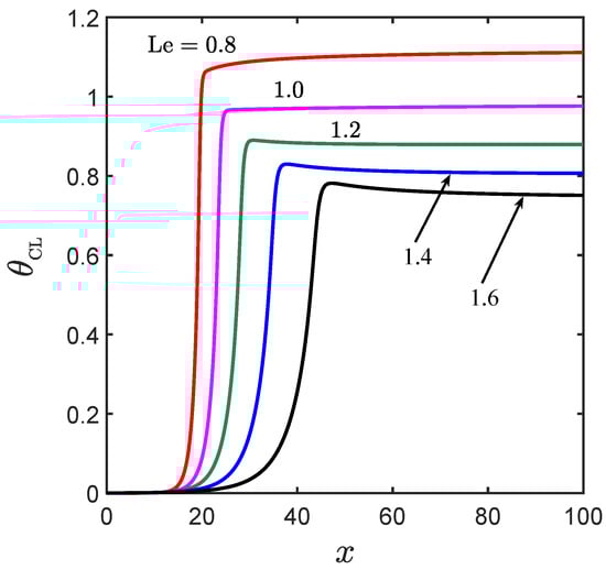
The influence of the Lewis number on the structural characteristics of edge flames is further illustrated in Figure 8, where temperature profiles along the centerline are plotted for the same five representative Lewis numbers used earlier in Figure 6. For the sake of comparison, the Damköhler number corresponding to each of these five cases was selected such that the temperature decays to the ambient value ( θ = 0 ) at approximately the same position ( x 11 ). We observe that when increasing Le the temperature on the trailing diffusion flame falls consistently while the thickness of the preheat zone preceding the edge flame increases. The reason lies in the different effects that the Lewis number has on the temperature of diffusion and premixed flames, as discussed in Section 3. Unlike the temperature of a premixed flame which remains the adiabatic flame temperature for all Lewis numbers, the flame temperature of a diffusion flame, or the stoichiometric temperature, decreases when increasing Le . The structure of an edge flame, which combines characteristics of both premixed and diffusion flames, is influenced by the Lewis number through the thermal interaction between the leading premixed segment and the trailing diffusion flame. When Le = 1 , the temperature of both the edge flame and the diffusion flame, is the adiabatic flame temperature. When Le < 1 , the temperature of the diffusion flame exceeds the adiabatic flame temperature; the inherent heat transfer from the diffusion flame toward the premixed segment yields a super-adiabatic edge temperature. The opposite is true when Le > 1 ; heat is directed from the premixed segment towards the diffusion flame resulting in a sub-adiabatic edge temperature.
The significant variations in edge temperature associated with the Lewis number have implications on both the edge propagation speed S e and the thickness of the preheat zone preceding the edge flame. The edge speed, similar to the edge temperature, is expected to increase with decreasing Le . Because a stable stationary edge flame assumes the location where the edge speed S e balances the incoming flow, a larger flow rate (smaller D) would be required to stabilize the low-Lewis-number flames corresponding to a smaller standoff distance. Indeed, the flow rate required to stabilize the edge flame with Le = 0.8 is significantly higher than that required to stabilize an edge flame with Le = 1.6 , as indicated in the caption of Figure 8. The same reasoning applies to the thickness of the preheat zone preceding the edge flame. Assuming an exponential decay θ exp { S e ( x x e ) } , which is the typical profile of a premixed flame, the characteristic thickness of the preheat zone proportional to S e 1 increases on increasing the Lewis number, as observed in Figure 8.
The insights gained from the two distinct types of responses identified for edge flames and the role played by the Lewis number may be exploited to understand the stabilization of laminar jet diffusion flames relative to the nozzle rim. As evident from Figure 6, the flame-standoff distance of low-Lewis-number edge flames characterized by C-shaped response curves is generally small in magnitude, on the order of the flame thickness. From a practical perspective, the edge flame is effectively attached to the tip of the plate. This attachment behavior persists when continuously increasing the flow rate until blow-off occurs. This implies that substantial lift-off is virtually impossible for low-Lewis-number edge flames. By contrast, for high-Lewis-number flames characterized by U-shaped response curves, the edge flame may be lifted and stabilized at substantially large distances from the plate by gradually increasing the flow rate. Note that both stabilization modes, namely the stationary mode which corresponds to an edge flame held stationary at a well-defined distance, and the oscillatory mode which corresponds to an edge flame moving back and forth relative to a mean position, can be realized in practice and thus are considered globally stable. Such distinct attachment and lift-off behaviors of edge flames have been experimentally observed by Chung and Lee [1], who proposed a Schmidt-number-based criterion to predict the transition between the attached and lifted regimes of jet diffusion flames. Their prediction based on flow and concentration profiles of cold jets, naturally involves a Schmidt number. When converted to a Lewis number, using the relation Sc = Pr · Le , their condition is in good agreement with the transition between attached and lifted edge flames predicted in our mixing layer model, as discussed in [23]. Choosing the Lewis number as the primary control parameter describing the stabilization of jet diffusion flames seems more appropriate, considering the fundamental and direct role it plays in determining the characteristics of edge flames, as discussed in the preceding paragraph. It is also worth mentioning that experiments on jet diffusion flames have also observed U-shaped responses of flame-standoff distance with respect to the flow rate [37] and sustained flame oscillations [38,39]. These experimental findings have been attributed to buoyancy effects, which are fundamentally different from the present numerical predictions exclusively associated with diffusive-thermal influences. Systematic microgravity experiments in conjunction with numerical simulations accounting for buoyancy convection are therefore desired to elucidate the unique influence of these different mechanisms.

5.2. Asymmetric Edge Flames

The symmetric structure of the edge and trailing diffusion flames described above was obtained for selected conditions that constitute the baseline case and its symmetric variants. Streams of unequal initial strain rates ( α 1 ), fuel and oxidizer supplied in off-stoichiometric proportions ( ϕ 1 ), preferential diffusion of fuel and oxidizer ( Le F Le O ) would all lead to asymmetric flames. In the following, we examine some of these cases.
Figure 9 illustrates an asymmetric edge flame stabilized within the flow and resulting purely from preferential diffusion, i.e., unequal diffusivities of fuel and oxidizer, with Le F = 1.8 and Le O = 1.0 . The significantly larger diffusivity of the oxidizer offsets the balanced transport of the two reactants such that the trailing diffusion flame as a whole deviates from the centerline toward the fuel side. For the same reason, the premixed flame branches of the tribrachial edge structure are no longer symmetrically distributed on the two sides of the diffusion flame; the fuel-rich branch appears longer and the entire edge, measured relative to the normal direction, is deflected toward the fuel side. Meanwhile, in line with the trends identified in Figure 6 and Figure 8, for a given overall mass-flow rate (same Damköhler number), an increase in the fuel Lewis number leads to an appreciable increase in the flame-standoff distance and decrease in flame temperature.
Figure 10 shows an asymmetric edge flame stabilized within the flow and resulting purely from unequal strain rates in the incoming streams, i.e., with α = 0.1 . As the characteristic flow velocity originating from the oxidizer stream is considerably lower than that originating from the fuel stream, the diffusion flame deviates from the centerline toward the oxidizer stream to facilitate its intake of oxygen and the two premixed flame branches of the tribrachial structure are, for the same reason, no longer symmetric. The flame-standoff distance and temperature distribution along the diffusion flame appear, for this equal-Lewis-number case, to be scarcely influenced by a change in the flow field at the given Damköhler number. However, from an overall perspective, diffusion will play a more significant role when decreasing the strain rate ratio α , leading to a leftward shift of the entire edge flame response curve, and implying a delay in the blow-off conditions for low-Lewis-number flames and in the lift-off conditions of high-Lewis-number flames [23].
The extent to which unequal strain rates combined with inter-diffusion of reactants influence the edge-flame position is shown in Figure 11 for α = 0.1 and unequal Lewis numbers. The oxidizer Lewis number is assumed equal to one, as appropriate for air, and two values of the fuel Lewis number are considered; a low value Le F = 0.4 corresponding to a relatively light fuel, and a high value Le F = 2.0 corresponding to a relatively heavy fuel. It should be noted that diluting one or both streams with an inert one can significantly affect the corresponding Lewis number due to changes in the mixture thermal diffusivity; see, for example, [24]. In addition to the edge flame, illustrated in the figure by reaction-rate contours, the stoichiometric surface Z = Z st is shown as a dashed line. Although for α = 0.1 considered here the oxidizer is entrained into the mixing layer and the dividing streamline is deflected towards the fuel region, the edge and diffusion flames deviate towards the oxidizer region when Le F = 0.4 due to the high mobility of the fuel. When Le F = 2.0 , the inclination is towards the fuel region. The diffusion flame trailing behind the edge flame always aligns itself with the stoichiometric surface. We note parenthetically that due to preferential diffusion ( Le F Le O ) the mixture fraction Z is not a conserved scalar and, as a result, Z = Z st is not a smooth curve; its determination that accounts for the sharp deflection observed across the curved part of the edge flame will be discussed below in Section 6.
Figure 12 illustrates a situation of asymmetry resulting from fuel and oxidizer supplied in the incoming streams in off-stoichiometric proportions, with an initial mixture strength ϕ = 5 . Because the fuel is in excess, the reaction is dominated by the supply of oxygen to the reaction zone. As a response, the diffusion flame adjusts its shape and position and finally stabilizes itself in the oxidizer stream, in an effort to balance the transport of the two reactants. A notable difference compared to the previous two non-symmetric cases is that now the edge flame loses its tribrachial structure; instead, it takes on a hook-like shape with only the fuel-rich branch retained, while the fuel-lean branch appears to completely degenerate into the diffusion flame.
Asymmetry in the combustion field can also result from chemistry imbalance, for example, unequal reaction orders as demonstrated by Juanos and Sirignano [7] for a propane–air mixture with n F = 0.1 and n O = 1.65 , or from the interaction of two adjacent flames as illustrated by Kurdyumov and Jimenez [40].

6. The Edge-Flame Speed

Similar to the definition of flame speed, the edge speed  S e is defined as the propagation of the edge flame along its normal, relative to the flow. When held stationary, S e is equal to the velocity component of the incoming gas normal to the edge flame, namely normal to the curved premixed flame front formed at the base of the diffusion flame. The edge speed is expected to depend on the reactant concentrations immediately ahead of the flame front, due to their direct influence on the edge-flame temperature, and on their distributions in the transverse direction which determine the local curvature of the premixed flame surface. The Lewis number is expected to play a significant role because, as seen in Section 5, the edge temperature is influenced by the heat transfer to/from the trailing diffusion flame wherein the Lewis number serves as a key parameter. Before attempting to provide an accurate definition of the edge speed, we first examine means by which the local distribution of the reactants near a general edge flame (not necessarily symmetric) can be quantified.
The distribution of the fuel and oxidizer mass fractions ahead of the edge flame can be conveniently described in terms of the mixture fraction Z defined in Equation (9) which, using the mass fraction Equation (3), must satisfy
Z t + v · Z Le F 1 2 Z = ( Le F 1 Le O 1 ) 2 Y O .
For equal Lewis numbers Le F = Le O , the source term on the right-hand side vanishes and the mixture fraction Z is a conserved scalar that satisfies a reaction-free equation; namely, it is neither created nor destroyed by chemical reactions. The stoichiometric surface Z ( x , y ) = Z st can therefore be determined a priori throughout the combustion field. The trailing diffusion flame, located where the fuel and oxidizer fluxes are in stoichiometric proportions, lies approximately along this surface. Exact overlapping occurs in the asymptotic limit D . For unequal Lewis numbers, the mixture fraction Z is no longer a conserved scalar; it may no longer be determined a priori and must be solved for as part of the overall solution. The stoichiometric surface Z ( x , y ) = Z st , which still approximates the location of the trailing diffusion flame, is no longer coincident with the equivalent surface in the reaction-free mixing region ahead of the edge flame. As a consequence, the stoichiometric surface originating near the tip of the plate will be deflected when passing through the edge flame in order to make a smooth connection with the trailing diffusion flame. This situation is exemplified in Figure 13 by the case corresponding to Le F = 0.4 and Le O = 1.0 , which shows contours of the mixture fraction Z computed a posteriori from the definition (9) after solving for the mass fractions Y F and Y O . Because of the larger diffusivity of fuel, the diffusion flame as a whole deviates from the centerline toward the oxidizer stream, and the stoichiometric surface shown by a dashed curve bends down from its initial location ahead of the edge flame to align with the diffusion flame further downstream. One also notes the asymmetry in the distribution of the mixture fraction Z on both sides of the diffusion flame; the contours are sparser on the fuel side and denser on the oxidizer side, indicating a sharper gradient of oxidizer towards the flame which is necessary to achieve the proper mass fluxes of fuel and oxidizer into the diffusion flame.
The accurate evaluation of the edge speed necessitates unambiguously identifying the direction normal to the curved premixed flame front at the base of the diffusion flame. This may be done by determining the plane tangential to the premixed flame front, but this choice is ambivalent because one or both wings of the edge flame often degenerate into the diffusion flame, making the tangential plane hard to identify. A more satisfactory method, which is applicable to edge flames of various structures, with two or one arms or even a single nucleus, is to identify the normal to the edge flame with the direction of steepest descent of the reaction rate contours [23,41]. Consequently, the unit normal n is defined as
n = ( Ω ) max ( Ω ) max
at the edge position ( x e , y e ) , and the edge speed is given by S e = v e · n , where v e is the local gas velocity. Likewise, the tangential component of the local mixture fraction gradient is given by
( Z ) e = ( Z ) e ( Z ) e · n n ,
where the subscript ‘⊥’ represents the direction tangential to the flame front. Using these prescriptions, we show in Figure 14 an enlargement of the edge flame corresponding to Figure 13 along with the unit normal n and the associated edge speed S e , as well as the local mixture fraction gradient ( Z ) e and its tangential component ( Z ) e .
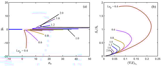
To quantitatively delineate the dynamical properties of edge flames, we seek a relationship that exhibits the dependence of the edge speed S e on ( Z ) e , which characterizes the transverse distribution of the reactants ahead of the edge flame, and on the Lewis number, which influences the edge speed through the edge temperature. To this end, we first examine the distribution of the edge location ( x e , y e ) when varying the Damköhler number D, as shown in Figure 15a for representative values of the fuel Lewis number Le F and Le O = 1 . The curves in this figure correspond to the phase portraits of the edge location when the Damköhler number is varied along the response curve that traces the dependence of the edge location on D. The overall trend when D is decreased from large values is for the edge to converge toward the tip of the plate, a change manifested by a decrease in y e from positive values when Le F > 1 and an increase in y e from negative values when Le F < 1 , and in both cases a decrease in x e (except for very small Le F ). Once a minimum standoff distance is reached and the flame lifts off, the trajectory exhibits large variations in x e with relatively small changes in y e . The phase portrait data of Figure 15a is used to extract the local edge speed and its dependence on the tangential component of the local mixture fraction gradient.
Figure 15b shows the dependence of the edge speed on the tangential component of the local mixture fraction gradient, after normalizing the edge speed S e by the laminar flame speed corresponding to a stoichiometric mixture equivalent to the one in the mixing zone preceding the edge flame of the same Lewis number, namely S L = Le F S L 0 as per Equation (1). For each Le F , the dependence of S e on ( Z ) e consists of two branches. The lower branch corresponds to relatively small standoff distances, where the edge flames are subjected to substantial conductive heat loss to the plate. Note that the curves corresponding to different fuel Lewis numbers collapse onto a common envelope when ( Z ) e 0 , implying that within that range conductive heat losses to the plate dominate over Lewis-number effects. This collapse is rather remarkable considering that the edge locations corresponding to different Lewis numbers are rather scattered in space, as seen in Figure 15a. The common limit corresponds to the fast chemistry limit, D , when the flame becomes attached to the plate and the edge-flame speed approaches zero. The upper branch tracing the dependence of S e on ( Z ) e corresponds to edge flames at comparatively large standoff distances, which are essentially free of thermal interaction with the plate. Evidently, Lewis number effects here are dominant. As can be seen, the normalized edge speed corresponding to such freely standing flames displays an overall increasing trend with decreasing Le F . This is expected, because a decrease in the Lewis number leads to an enhancement in the edge temperature and concurrently in the edge speed S e , along with a diminution in the corresponding laminar flame speed S L . The approach ( Z ) e 0 along the upper branch is realized when the edge-flame-standoff distance is infinitely large, a limit not amenable in calculations performed thus far. Nevertheless, it can be presumed that in this limit the edge flame degenerates into a planar premixed flame, such that for all Lewis numbers S e / S L 1 .

7. Volumetric Heat Loss

In this section, we examine the effect of heat loss on the structure of the edge flame and its stabilization. Figure 16 depicts an edge flame with parameters corresponding to the baseline case, but with H = 2.71 × 10 4 . The figure shows the edge flame depicted by reaction contours, and the distributions of temperature and mass fractions. When compared to the adiabatic case shown in Figure 5, we observe that the reaction rate and temperature decay rapidly in the downstream direction, the edge flame is stabilized at a distance further away from the tip of the plate, and the trailing diffusion flame has a finite length. The asymptotic behavior for large x, examined by Kurdyumov and Matalon [42] in a similar configuration, shows that far downstream the solution is necessarily the frozen state ( θ = 0 ), which confirms that the diffusion flame cannot extend to infinity.
Figure 17 illustrates the response of steady edge flames to heat loss by displaying the dependence of the flame-standoff distance x e on the heat-loss coefficient H, for three representative values of the Lewis number Le at a fixed Damköhler number D = 10 . The response curve consists of two distinct branches with a turning point at H = H ext . Two steady states exist for H < H ext and none for H > H ext , so that the maximum value of the heat-loss coefficient defines a non-adiabatic extinction limit. We observe that the extinction limit increases when decreasing the Lewis number, suggesting that, under otherwise similar conditions, low-Lewis-number edge flames are generally less vulnerable to external heat loss. This tendency is in line with the trend exhibited by the adiabatic extinction limit shown in Figure 6, both limits being attributed to the influence of differential diffusion manifested by the Lewis number.
Of greater importance is the stability of the steady states, which shows dissimilar inferences for the high and low Lewis numbers considered. For Le = 1.0 and 1.2 , steady states on the lower branch of the response curve are stable with respect to small perturbations. When solutions on the upper branch are slightly perturbed, the flame-standoff distance increases or decreases indefinitely; the corresponding states are unstable and therefore physically unrealistic. The marginal stability state corresponds to the turning point H = H ext . Hence, in practice, when the heat-loss intensity is gradually increased for a given flow rate (constant Damköhler number), the edge flame will continuously retreat from the plate and extinguish when H exceeds H ext .
Steady states on the upper branch of the response curve remain unstable and physically unrealistic, for low-Lewis-number flames as well. But unlike the high-Lewis-number flames, steady states on the lower branch of the response curve are stable only for H smaller than a critical value H c < H ext ; for Le = 0.8 , the critical value H c 5.006 × 10 4 is marked in the figure by a ‘’ symbol. For H > H c , when a steady solution is slightly perturbed, the edge flame evolves into a stable state exhibiting sustained oscillations of constant amplitude and frequency, relative to the initial equilibrium position, as exemplified in Figure 18. The amplitude of the oscillations is found to grow rapidly on increasing H, presumably becoming infinitely large when H H ext . The nature of the oscillations observed here is different than those predicted in Section 5; due to substantial heat loss, the edge flame strives to survive, moving from a burning state to one which is nearly extinguished, while at high Lewis number (no heat loss) by moving back and forth the edge flame simply attempts to find an equilibrium position.

8. Thermally Active Splitter Plate

The discussion so far has assumed that the splitter plate separating the two streams is retained at a constant temperature equal to the temperature of the two streams. This ideal situation corresponds to a plate with infinitely large thermal conductivity. In practical circumstances, however, the thermal conductivity of the plate is finite and there is a thermal interaction between the plate and the gaseous mixture which may significantly influence the dynamical properties of the edge flame stabilized in its wake. Figure 19 illustrates the temperature distributions of edge flames stabilized in the vicinity of four plates of various thermal conductivity, under otherwise identical conditions. In addition to the “cold isothermal” plate corresponding to r λ , and the “adiabatic” plate which constitutes the other extreme with r λ = 0 , two cases with finite values of r λ are displayed. The case corresponding to r λ = 35 mimics a plate made of glass, while the case corresponding to r λ = 1 , i.e., the “virtual-gas” plate, is a hypothetical case of a plate with the same thermo-physical properties as the gas phase. Commonly used materials, such as aluminum and stainless steel, have considerable large values of r λ and have not been analyzed due to the high computational cost, as discussed in [36]. The edge flames in the wake of these four plates are stabilized at different distances, resulting from the extent of thermal interactions with the plates. Figure 20 shows the temperature profiles along y = 0 for the four plates considered in Figure 19, with the temperature for x 0 corresponding to θ s . The cold isothermal plate, which retains a constant temperature θ s = 0 , acts as a heat sink extracting heat from the combustion field. The adiabatic plate precludes any thermal interaction with the flame but holds the heat conducted to it from the edge flame so as to raise its temperature. In the other two cases, the heat conducted from the edge flame to the plate elevates the temperature θ s to a different extent and a different distance upstream. The heated plate then relays the heat it receives to the fuel and oxidizer streams through its lateral surfaces. The preheated reactants raise the temperature in the mixing region ahead of the edge flame, resulting in an edge temperature that exceeds its stoichiometric value.
The heat-recirculation cycle, absent in the cold and adiabatic plates, would support stabilization and delay possible flame blow-off. Such a mechanism may explain the favorable effect of certain materials on the stabilization of jet diffusion flames [43,44]. In [36], we provided a quantitative measure that characterizes the heat recirculation and its efficiency, relying not only on the total recirculated heat but also on its distribution along the plate. As an experimentally measurable quantity, it can be exploited in practice for the selection of appropriate nozzle materials that optimize the stabilization of jet diffusion flames.

9. Concluding Remarks

The combustion behavior in a mixing layer that develops when two separate streams of reactants merge is a canonical problem that provides fundamental insight into practical problems such as jet diffusion flames, or diffusion flames in co-flowing systems. Although the diffusion flame itself in such applications is typically robust and may not be easily extinguished, its endurance depends crucially on the stabilization of the edge flame at its base and the interaction of the edge flame with the fuel injector or nozzle rim. Poor stabilization will have consequences on the entire flame. Using a diffusive-thermal framework that decouples the flow and combustion fields for mathematical simplicity, we have systematically investigated in this paper the structural characteristics and dynamical properties of an edge flame sustained in the wake of a plate separating two merging shear flows, one with fuel and the other with an oxidizer, and supporting the diffusion flame that extends downstream. We provide a comprehensive discussion of the relevant physical parameters affecting the sustenance and stability of the edge flame, including the overall mass-flow rate and the strain rates in the separate streams, the initial fuel and oxidizer stoichiometric proportions, the distinct diffusion properties of the fuel and oxidizer compared to the thermal diffusivity of the mixture, influences of volumetric heat loss, and thermal interaction between the gaseous mixture and the splitter plate. Conditions leading to idealized symmetric flames and those resulting in asymmetric structures were delineated.
In addition to a substantial flow, which is necessary to bring the fuel and oxidizer together, the fuel Lewis number representing the ratio of the thermal diffusivity of the mixture to the molecular diffusivity of the fuel, is perhaps the most important parameter that controls the stabilization of the diffusion flame. Taking combustion in air as an example, the Lewis number of oxygen is near one and has a limited influence. Due to their high molecular mobility, light fuels (low Lewis numbers) combine and react with the oxidizer in the immediate vicinity of the splitter plate. For moderate flow rates, the resulting edge flame remains practically attached to the plate, supporting the diffusion flame in its wake. At high flow rates, the edge and diffusion flames get blown off by the flow, which precludes flame liftoff. By contrast, heavy fuels (high Lewis numbers) which diffuse slowly travel further into the mixing region to meet and react with the oxidizer, and the resulting edge flame is established at a distance further away from the plate. When increasing the flow rate, the edge and diffusion flames gradually lift from the plate and stabilize in the flow at larger and larger distances. Two modes of stabilization have been identified for sufficiently high Lewis numbers: a stationary mode, where the edge flame is held at a well-defined distance, and an oscillatory mode, where the edge flame undergoes sustained oscillations relative to a mean location. The dependence of flame attachment and liftoff on the Lewis number may also be attributed to its effect on the edge temperature and consequently on the edge speed that must balance the velocity of the incoming flow. The edge temperature is dictated by the stoichiometric temperature of the diffusion flame, which increases on decreasing the Lewis number, resulting in super-adiabatic temperatures for low-Lewis-number flames and sub-adiabatic temperatures for high-Lewis-number flames. Faster propagating edge flames can therefore balance a higher velocity in the accelerating flow that emerges immediately beyond the splitter plate.
Evidently, the most significant simplification adopted in this study is the constant-density assumption. Gas expansion resulting from the large change in density that results from the heat released by the chemical reaction has two main effects on the edge flame. It causes a deflection of the streamlines crossing the curved frontal segment of the edge flame, leading to an increase in the edge speed [45,46], and it induces a lateral growth of the mixing layer, which affects the local mixture fraction gradient near the edge flame. These effects will have a quantitative effect on the edge position and edge speed, but will not undo the fundamental physics of diffusive-thermal nature discovered in this study.

Author Contributions

This research is a result of an ongoing collaboration between Z.L. and M.M. Both authors have contributed into the conceptualization, methodology, data analysis, and writing of the manuscript. All authors have read and agreed to the published version of the manuscript.

Funding

This research was funded partially by the National Natural Science Foundation of China (NSFC) under grant number 52176119 to Zhanbin Lu, and by the US National Science Foundation under grant number CBET 19-11530 to Moshe Matalon.

Data Availability Statement

The data presented in this study are available on request from both authors.

Conflicts of Interest

The authors declare no conflict of interest. The funders had no role in the design of the study; in the collection, analyses, or interpretation of data; in the writing of the manuscript; or in the decision to publish the results.

References

  1. Chung, S.H.; Lee, B.J. On the characteristics of laminar lifted flames in a nonpremixed jet. Combust. Flame 1991, 86, 62–72. [Google Scholar] [CrossRef]
  2. Juniper, M.; Candel, S. Edge diffusion flame stabilization behind a step over a liquid reactant. J. Propuls. Power 2003, 19, 332–341. [Google Scholar] [CrossRef]
  3. Liñán, A. Ignition and flame spread in laminar mixing layers. In Combustion in High-Speed Flows; Buckmaster, J., Jackson, T.L., Kumar, A., Eds.; Kluwer Academic Publishers: Alphen aan den Rijn, The Netherlands, 1994; pp. 461–476. [Google Scholar]
  4. Buckmaster, J.; Matalon, M. Anomalous Lewis number effects in tribrachial flames. Proc. Combust. Inst. 1988, 22, 1527–1535. [Google Scholar] [CrossRef]
  5. Dold, J.W. Flame propagation in a nonuniform Mixture: Analysis of a slowly varying triple flame. Combust. Flame 1989, 76, 71–88. [Google Scholar] [CrossRef]
  6. Hartley, L.J.; Dold, J.W. Flame propagation in a nonuniform mixture: Analysis of a propagating triple-flame. Combust. Sci. Technol. 1991, 80, 23–46. [Google Scholar] [CrossRef]
  7. Juanós, A.J.; Sirignano, W.A. Triple flame: Inherent asymmetries and pentasectional character. Combust. Theory Model. 2014, 18, 454–473. [Google Scholar] [CrossRef]
  8. Daou, J.; Linan, A. Ignition and extinction fronts in counterflowing premixed reactive gases. Combust. Flame 1999, 118, 479–488. [Google Scholar] [CrossRef][Green Version]
  9. Vedarajan, T.; Buckmaster, J.; Ronney, P. Two-dimensional failure waves and ignition fronts in premixed combustion. Proc. Combust. Inst. 1998, 27, 537–544. [Google Scholar] [CrossRef]
  10. Liao, K.P.; Matalon, M.; Pantano, C. A flow pattern that sustains an edge flame in a straining mixing layer with finite thermal expansion. Proc. Combust. Inst. 2015, 35, 1015–1021. [Google Scholar] [CrossRef]
  11. Shields, B.; Freund, J.B.; Pantano, C. Stationary ethylene-air edge flamesin a wedge-shaped region at low and high strain rates. Combust. Theory Model. 2021, 25, 1039–1063. [Google Scholar] [CrossRef]
  12. Daou, J.; Liñán, A. Triple flames in mixing layers with nonunity Lewis numbers. Proc. Combust. Inst. 1998, 27, 667–674. [Google Scholar] [CrossRef]
  13. Daou, J.; Matalon, M.; Liñán, A. Premixed Edge-Flames under Transverse Enthalpy Gradients. Combust. Flame 2000, 121, 107–121. [Google Scholar] [CrossRef][Green Version]
  14. Buckmaster, J. Edge-flames. J. Eng. Math. 1997, 31, 269–284. [Google Scholar] [CrossRef]
  15. Nayagam, V.; Williams, F.A. Lewis-number effects on edge-flame propagation. J. Fluid Mech. 2002, 458, 219–228. [Google Scholar] [CrossRef]
  16. Nayagam, V.; Williams, F. Curvature effects on edge flame propagation Iin the premixed-flame regime. Combust. Sci. Technol. 2004, 176, 2125–2142. [Google Scholar] [CrossRef]
  17. Knaus, R.; Pantano, C. A computational approach to flame hole dynamics using an embedded manifold approach. J. Comput. Phys. 2015, 296, 209–240. [Google Scholar] [CrossRef]
  18. Buckmaster, J. Edge-flames. Prog. Energy Combust. Sci. 2002, 28, 435–475. [Google Scholar] [CrossRef]
  19. Chung, S.H. Stabilization, propagation and instability of tribrachial triple flames. Proc. Combust. Inst. 2007, 31, 877–892. [Google Scholar] [CrossRef]
  20. Lyons, K.M. Toward an understanding of the stabilization mechanisms of lifted turbulent jet flames: Experiments. Prog. Energy Combust. Sci. 2007, 33, 211–231. [Google Scholar] [CrossRef]
  21. Matalon, M. Flame dynamics. Proc. Combust. Inst. 2009, 32, 57–82. [Google Scholar] [CrossRef]
  22. Westbrook, C.E.; Dryer, F. Simplified reaction mechanisms for the oxidation of hydrocarbon fuels in flames. Combust. Sci. Technol. 1981, 27, 31–43. [Google Scholar] [CrossRef]
  23. Lu, Z.; Matalon, M. Structure and dynamics of edge flames in the near wake of unequal merging shear flows. Combust. Theory Model. 2016, 20, 258–295. [Google Scholar] [CrossRef]
  24. Füri, M.; Papas, P.; Monkewitz, P.A. Non-premixed jet flame pulsations near extinction. Proc. Combust. Inst. 2000, 28, 831–838. [Google Scholar] [CrossRef]
  25. Bechtold, J.; Matalon, M. Effects of stoichiometry on stretched premixed flames. Combust. Flame 1999, 119, 217. [Google Scholar] [CrossRef]
  26. Cheatham, S.; Matalon, M. A general asymptotic theory of diffusion flames with application to cellular instability. J. Fluid Mech. 2000, 414, 105–144. [Google Scholar] [CrossRef]
  27. Li, T.Y. Effects of free-stream vorticity on the bahavior of a viscous boundary layer. J. Aeronaut. Sci. 1956, 23, 1128–1129. [Google Scholar]
  28. Murray, J.D. The boundary layer on a flat plate in a stream with uniform shear. J. Fluid Mech. 1961, 11, 309–316. [Google Scholar] [CrossRef]
  29. Toomre, A.; Rott, N. On the pressure induced by the boundary layer on a flat plate in shear flow. J. Fluid Mech. 1964, 19, 1–10. [Google Scholar] [CrossRef]
  30. Burke, S.; Schumann, T. Diffusion flames. Ind. Eng. Chem. 1928, 20, 998. [Google Scholar] [CrossRef]
  31. Koundinyan, S.; Matalon, M.; Stewart, D. Counterflow diffusion flames: Effects of thermal expansion and non-unity Lewis numbers. Combust. Theory Model. 2018, 22, 585–612. [Google Scholar] [CrossRef]
  32. Law, C.K. Combustion Physics; Cambridge University Press: New York, NY, USA, 2006. [Google Scholar]
  33. Goldstein, S. Concerning some solutions of the boundary layer equations in hydrodynamics. Proc. Camb. Philos. Soc. 1930, 26, 1–30. [Google Scholar] [CrossRef]
  34. Rott, N.; Hakkinen, R.J. Similar solutions for merging shear flows. J. Aerosp. Sci. 1962, 29, 1134–1135. [Google Scholar] [CrossRef]
  35. Hakkinen, R.J.; Rott, N. Similar solutions for merging shear flows II. AIAA J. 1965, 3, 1553–1554. [Google Scholar] [CrossRef]
  36. Lu, Z.; Matalon, M. Edge flames in mixing layers: Effects of heat recirculation through thermally active splitter plates. Combust. Flame 2020, 217, 262–273. [Google Scholar] [CrossRef]
  37. Van, K.; Jung, K.S.; Yoo, C.S.; Oh, S.; Lee, B.J.; Cha, M.S.; Park, J.; Chung, S.H. Decreasing liftoff height behavior in diluted laminar lifted methane jet flames. Proc. Combust. Inst. 2019, 37, 2005–2012. [Google Scholar] [CrossRef]
  38. Van, K.H.; Park, J.; Yoon, S.H.; Chung, S.H.; Cha, M.S. Mechanism on oscillating lifted flames in nonpremixed laminar coflow jets. Proc. Combust. Inst. 2019, 37, 1997–2004. [Google Scholar] [CrossRef]
  39. Oh, S.; Van, K.H.; Jung, K.S.; Yoo, C.S.; Cha, M.S.; Chung, S.H.; Park, J. On the oscillating flame characteristics in nonpremixed laminar coflow-jets: An experimental and numerical study. Proc. Combust. Inst. 2021, 38, 2049–2056. [Google Scholar] [CrossRef]
  40. Kurdyumov, V.N.; Jiménez, C. Lifted jet edge flames: Symmetric and non-symmetric configurations. Combust. Theory Model. 2022, 26, 1114–1129. [Google Scholar] [CrossRef]
  41. Lu, Z.; Matalon, M. The speed and temperature of an edge flame stabilized in a mixing layer: Dependence on fuel properties and local mixture fraction gradient. Combust. Sci. Technol. 2020, 192, 1274–1291. [Google Scholar] [CrossRef]
  42. Kurdyumov, V.N.; Matalon, M. Radiation losses as a driving mechanism for flame oscillations. Proc. Combust. Inst. 2002, 29, 45–52. [Google Scholar] [CrossRef]
  43. Fujiwara, K.; Nakamura, Y. Experimental study on the unique stability mechanism via miniaturization of jet diffusion flames (microflame) by utilizing preheated air system. Combust. Flame 2013, 160, 1373–1380. [Google Scholar] [CrossRef][Green Version]
  44. Gao, J.; Hossain, A.; Matsuoka, T.; Nakamura, Y. A numerical study on heat-recirculation assisted combustion for small scale jet diffusion flames at near-extinction condition. Combust. Flame 2017, 178, 182–194. [Google Scholar] [CrossRef]
  45. Ruetsch, G.R.; Vervisch, L.; Liñán, A. Effects of heat release on triple flames. Phys. Fluids 1995, 7, 1447–1454. [Google Scholar] [CrossRef]
  46. Kurdyumov, V.N.; Matalon, M. Effects of thermal expansion on the stabilization of an edge-flame in a mixing-layer model. Proc. Combust. Inst. 2009, 32, 1107–1115. [Google Scholar] [CrossRef]
Figure 1. Lifted jet diffusion flame; the fuel issued from a narrow tube is burning in an environment containing an oxidizer. The photograph on the left is taken from [1]; the sketch on the right illustrates the structure of the partially premixed edge flames formed at the base of the diffusion flame.
Figure 1. Lifted jet diffusion flame; the fuel issued from a narrow tube is burning in an environment containing an oxidizer. The photograph on the left is taken from [1]; the sketch on the right illustrates the structure of the partially premixed edge flames formed at the base of the diffusion flame.
Symmetry 15 01547 g001
Figure 2. A symmetric edge flame stabilized in the wake of two merging streams of initially uniform and constant strain rates. The edge flame is represented by reaction-rate contours and the flow field is illustrated by equally spaced streamlines. The shaded areas correspond to the velocity shear layer (inner region) and the mixing layer (outer region), respectively.
Figure 2. A symmetric edge flame stabilized in the wake of two merging streams of initially uniform and constant strain rates. The edge flame is represented by reaction-rate contours and the flow field is illustrated by equally spaced streamlines. The shaded areas correspond to the velocity shear layer (inner region) and the mixing layer (outer region), respectively.
Symmetry 15 01547 g002
Figure 3. Contours of the Burke–Schumann diffusion-flame temperature, or stoichiometric temperature θ st , in the parameter plane characterized by the Lewis number Le of the mixture and the normalized initial mixture strength, ϕ / ( 1 + ϕ ) , for a constant uniform flow.
Figure 3. Contours of the Burke–Schumann diffusion-flame temperature, or stoichiometric temperature θ st , in the parameter plane characterized by the Lewis number Le of the mixture and the normalized initial mixture strength, ϕ / ( 1 + ϕ ) , for a constant uniform flow.
Symmetry 15 01547 g003
Figure 4. The flow field of two merging shear flows for two representative strain rate ratios: (a) α = 1 , and (b) α = 0.1 , both at Damköhler number D = 10 , represented by streamlines that correspond to equally spaced streamfunction values.
Figure 4. The flow field of two merging shear flows for two representative strain rate ratios: (a) α = 1 , and (b) α = 0.1 , both at Damköhler number D = 10 , represented by streamlines that correspond to equally spaced streamfunction values.
Symmetry 15 01547 g004
Figure 5. An edge flame stabilized in the near wake of two merging streams of equal initial strain rates, for unity Lewis numbers, stoichiometry, and adiabatic conditions—the baseline case. The structure of the edge flame is illustrated by contours of (a) reaction rate Ω , (b) temperature θ , (c) fuel mass fraction Y F , and (d) oxidizer mass fraction Y O .
Figure 5. An edge flame stabilized in the near wake of two merging streams of equal initial strain rates, for unity Lewis numbers, stoichiometry, and adiabatic conditions—the baseline case. The structure of the edge flame is illustrated by contours of (a) reaction rate Ω , (b) temperature θ , (c) fuel mass fraction Y F , and (d) oxidizer mass fraction Y O .
Symmetry 15 01547 g005
Figure 6. Response curves showing the dependence of the edge-flame-standoff distance x e on the Damköhler number D for five representative values of Le . The solid segments correspond to stable steady states, the dotted segments to unstable steady states, and the dashed segment to oscillatory states. The filled circles ‘•’ mark the marginal stability boundaries between stable steady states and stable oscillatory states, and the open circles ‘○’ marked by (ad), which correspond to Damköhler numbers D = 25 , 30, 50, and 110, respectively, are oscillatory states described in Figure 7.
Figure 6. Response curves showing the dependence of the edge-flame-standoff distance x e on the Damköhler number D for five representative values of Le . The solid segments correspond to stable steady states, the dotted segments to unstable steady states, and the dashed segment to oscillatory states. The filled circles ‘•’ mark the marginal stability boundaries between stable steady states and stable oscillatory states, and the open circles ‘○’ marked by (ad), which correspond to Damköhler numbers D = 25 , 30, 50, and 110, respectively, are oscillatory states described in Figure 7.
Symmetry 15 01547 g006
Figure 7. Edge-flame oscillation represented by time evolution of the flame-standoff distance x e , for four representative Damköhler numbers marked by (ad) on the response curve corresponding to Le = 1.6 in Figure 6. The dashed line marks the initial equilibrium standoff distance of the edge flame.
Figure 7. Edge-flame oscillation represented by time evolution of the flame-standoff distance x e , for four representative Damköhler numbers marked by (ad) on the response curve corresponding to Le = 1.6 in Figure 6. The dashed line marks the initial equilibrium standoff distance of the edge flame.
Symmetry 15 01547 g007
Figure 8. Temperature profiles for Le = 0.8 , 1.0 , 1.2 , 1.4 , 1.6 , at D = 2.004 , 4.073 , 7.853 , 14.495 , 25.360 , respectively. The different values of D were judiciously selected to enable comparison of the preheat zone and trailing diffusion-flame temperature between the various profiles.
Figure 8. Temperature profiles for Le = 0.8 , 1.0 , 1.2 , 1.4 , 1.6 , at D = 2.004 , 4.073 , 7.853 , 14.495 , 25.360 , respectively. The different values of D were judiciously selected to enable comparison of the preheat zone and trailing diffusion-flame temperature between the various profiles.
Symmetry 15 01547 g008
Figure 9. Asymmetric edge and trailing diffusion flames resulting from preferential diffusion, with Le F = 1.8 and Le O = 1.0 . The edge flame is illustrated in (a) by contours of the reaction rate Ω , while (b) shows the temperature distribution θ .
Figure 9. Asymmetric edge and trailing diffusion flames resulting from preferential diffusion, with Le F = 1.8 and Le O = 1.0 . The edge flame is illustrated in (a) by contours of the reaction rate Ω , while (b) shows the temperature distribution θ .
Symmetry 15 01547 g009
Figure 10. Asymmetric edge and trailing diffusion flames resulting from incoming streams of unequal strain rates, with α = 0.1 . The edge flame is illustrated in (a) by contours of the reaction rate Ω , while (b) shows the temperature distribution θ .
Figure 10. Asymmetric edge and trailing diffusion flames resulting from incoming streams of unequal strain rates, with α = 0.1 . The edge flame is illustrated in (a) by contours of the reaction rate Ω , while (b) shows the temperature distribution θ .
Symmetry 15 01547 g010
Figure 11. Asymmetric edge and trailing diffusion flames resulting from incoming streams of unequal strain rates, with α = 0.1 , and preferential diffusion. In both cases, Le O = 1.0 , with (a) corresponding to Le F = 0.4 and D = 0.0332 , and (b) to Le F = 2.0 and D = 13.782 . The edge flame is illustrated by contours of the reaction rate Ω , and the stoichiometric surface Z = Z st = 0.5 is delineated by the dashed line.
Figure 11. Asymmetric edge and trailing diffusion flames resulting from incoming streams of unequal strain rates, with α = 0.1 , and preferential diffusion. In both cases, Le O = 1.0 , with (a) corresponding to Le F = 0.4 and D = 0.0332 , and (b) to Le F = 2.0 and D = 13.782 . The edge flame is illustrated by contours of the reaction rate Ω , and the stoichiometric surface Z = Z st = 0.5 is delineated by the dashed line.
Symmetry 15 01547 g011
Figure 12. Asymmetric edge and trailing diffusion flames in a rich system corresponding to an initial mixture strength ϕ = 5 . The edge flame is illustrated in (a) by contours of the reaction rate Ω , while (b) shows the temperature distribution θ .
Figure 12. Asymmetric edge and trailing diffusion flames in a rich system corresponding to an initial mixture strength ϕ = 5 . The edge flame is illustrated in (a) by contours of the reaction rate Ω , while (b) shows the temperature distribution θ .
Symmetry 15 01547 g012
Figure 13. Contours of the mixture fraction Z, for an asymmetric edge flame resulting from unequal fuel and oxidizer Lewis numbers, Le F = 0.4 and Le O = 1.0 , at Damköhler number D = 0.49 . Numbers labelled on the contour lines indicate the values of Z. The dashed line corresponds to the value Z = Z st = 0.5 . The flame is represented by reaction rate contours.
Figure 13. Contours of the mixture fraction Z, for an asymmetric edge flame resulting from unequal fuel and oxidizer Lewis numbers, Le F = 0.4 and Le O = 1.0 , at Damköhler number D = 0.49 . Numbers labelled on the contour lines indicate the values of Z. The dashed line corresponds to the value Z = Z st = 0.5 . The flame is represented by reaction rate contours.
Symmetry 15 01547 g013
Figure 14. A schematic illustration of the local properties of the edge flame corresponding to Figure 13, showing the unit normal n , the local mixture fraction gradient Z and its tangential component ( Z ) , and the edge speed S e , all evaluated at the edge location ( x e , y e ) .
Figure 14. A schematic illustration of the local properties of the edge flame corresponding to Figure 13, showing the unit normal n , the local mixture fraction gradient Z and its tangential component ( Z ) , and the edge speed S e , all evaluated at the edge location ( x e , y e ) .
Symmetry 15 01547 g014
Figure 15. (a) The distributions of the edge location ( x e , y e ) , and (b) the dependence of the normalized edge-flame speed S e / S L on the tangential component of the local mixture fraction gradient ( Z ) e , for several representative values of the fuel Lewis number Le F and Le O = 1 .
Figure 15. (a) The distributions of the edge location ( x e , y e ) , and (b) the dependence of the normalized edge-flame speed S e / S L on the tangential component of the local mixture fraction gradient ( Z ) e , for several representative values of the fuel Lewis number Le F and Le O = 1 .
Symmetry 15 01547 g015
Figure 16. An edge flame corresponding to the baseline case and subject to volumetric heat loss with H = 2.71 × 10 4 . The structure of the edge flame is illustrated by contours of (a) reaction rate Ω , and (b) temperature θ .
Figure 16. An edge flame corresponding to the baseline case and subject to volumetric heat loss with H = 2.71 × 10 4 . The structure of the edge flame is illustrated by contours of (a) reaction rate Ω , and (b) temperature θ .
Symmetry 15 01547 g016
Figure 17. The dependence of the flame-standoff distance x e on the heat-loss coefficient H for three representative values of the Lewis number, at a fixed Damköhler number D = 10 . Steady states on the lower branch of the response curves (solid curves) are stable and those on the upper branch (dotted curves) are unstable; solutions on the lower branch beyond the ‘’ symbol (dashed segment) correspond to stable oscillatory states.
Figure 17. The dependence of the flame-standoff distance x e on the heat-loss coefficient H for three representative values of the Lewis number, at a fixed Damköhler number D = 10 . Steady states on the lower branch of the response curves (solid curves) are stable and those on the upper branch (dotted curves) are unstable; solutions on the lower branch beyond the ‘’ symbol (dashed segment) correspond to stable oscillatory states.
Symmetry 15 01547 g017
Figure 18. Time evolution of a slightly perturbed steady state (dashed line) corresponding to Le = 0.8 and H = 5.487 × 10 4 . The curve shows the flame-standoff distance x e as a function of time.
Figure 18. Time evolution of a slightly perturbed steady state (dashed line) corresponding to Le = 0.8 and H = 5.487 × 10 4 . The curve shows the flame-standoff distance x e as a function of time.
Symmetry 15 01547 g018
Figure 19. Temperature distribution corresponding to edge flames stabilized in the vicinity of four distinct plates: (a) isothermal cold plate ( r λ = ), (b) glass plate ( r λ = 35 ), (c) virtual-gas plate ( r λ = 1 ), (d) adiabatic plate ( r λ = 0 ), under otherwise identical conditions, i.e., D = 81.615 and Le = 1.6 . The flame-standoff distances corresponding to these plates are x e = 22.64 , 8.94 , 2.30 , and 4.84 , respectively.
Figure 19. Temperature distribution corresponding to edge flames stabilized in the vicinity of four distinct plates: (a) isothermal cold plate ( r λ = ), (b) glass plate ( r λ = 35 ), (c) virtual-gas plate ( r λ = 1 ), (d) adiabatic plate ( r λ = 0 ), under otherwise identical conditions, i.e., D = 81.615 and Le = 1.6 . The flame-standoff distances corresponding to these plates are x e = 22.64 , 8.94 , 2.30 , and 4.84 , respectively.
Symmetry 15 01547 g019
Figure 20. Temperature profiles along the centerline ( y = 0 ) corresponding to the four plates considered in Figure 19: isothermal cold plate (CP), glass plate (GP), virtual-gas plate (V-GP), and adiabatic plate (AP), at D = 81.615 and Le = 1.6 .
Figure 20. Temperature profiles along the centerline ( y = 0 ) corresponding to the four plates considered in Figure 19: isothermal cold plate (CP), glass plate (GP), virtual-gas plate (V-GP), and adiabatic plate (AP), at D = 81.615 and Le = 1.6 .
Symmetry 15 01547 g020
Disclaimer/Publisher’s Note: The statements, opinions and data contained in all publications are solely those of the individual author(s) and contributor(s) and not of MDPI and/or the editor(s). MDPI and/or the editor(s) disclaim responsibility for any injury to people or property resulting from any ideas, methods, instructions or products referred to in the content.

Share and Cite

MDPI and ACS Style

Lu, Z.; Matalon, M. Anchored and Lifted Diffusion Flames Supported by Symmetric and Asymmetric Edge Flames. Symmetry 2023, 15, 1547. https://doi.org/10.3390/sym15081547

AMA Style

Lu Z, Matalon M. Anchored and Lifted Diffusion Flames Supported by Symmetric and Asymmetric Edge Flames. Symmetry. 2023; 15(8):1547. https://doi.org/10.3390/sym15081547

Chicago/Turabian Style

Lu, Zhanbin, and Moshe Matalon. 2023. "Anchored and Lifted Diffusion Flames Supported by Symmetric and Asymmetric Edge Flames" Symmetry 15, no. 8: 1547. https://doi.org/10.3390/sym15081547

APA Style

Lu, Z., & Matalon, M. (2023). Anchored and Lifted Diffusion Flames Supported by Symmetric and Asymmetric Edge Flames. Symmetry, 15(8), 1547. https://doi.org/10.3390/sym15081547

Note that from the first issue of 2016, this journal uses article numbers instead of page numbers. See further details here.

Article Metrics

Back to TopTop