Abstract
A quasi-affine transformation evolutionary algorithm improved by the Taguchi strategy, levy flight and the restart mechanism (TLR-QUATRE) is proposed in this paper. This algorithm chooses the specific optimization route according to a certain probability, and the Taguchi strategy helps the algorithm achieve more detailed local exploitation. The latter two strategies help particles move at random steps of different sizes, enhancing the global exploration ability. To explore the new algorithm’s performance, we make a detailed analysis in seven aspects through comparative experiments on CEC2017 suite. The experimental results show that the new algorithm has strong optimization ability, outstanding high-dimensional exploration ability and excellent convergence. In addition, this paper pays attention to the demonstration of the process, which makes the experimental results credible, reliable and explainable. The new algorithm is applied to fault detection in wireless sensor networks, in which TLR-QUATRE is combined with back-propagation neural network (BPNN). This study uses the symmetry of generation and feedback for network training. We compare it with other optimization structures through eight public datasets and one actual landing dataset. Five classical machine learning indicators and ROC curves are used for visualization. Finally, the robust adaptability of TLR-QUATRE on this issue is confirmed.
1. Introduction
The meta-heuristic algorithm is a method based on a computational intelligence mechanism [1,2]. It allows the properties of the optimization function to be unknown, and its derivative-free mechanism dramatically simplifies the computational difficulty [3]. Based on these characteristics, the meta-heuristic algorithm shows its powerful practical value in optimization problems. It has been widely used in biomedical, economic management, architectural design, remote sensing, and so on [4]. At present, meta-heuristic algorithms can be roughly divided into four types. The first is evolutionary computation, and both the quasi-affine transformation evolutionary (QUATRE) [5] algorithm and differential evolution (DE) [6,7] algorithm mentioned in this paper belong to this category. The second is the swarm intelligence algorithm, which is also the most active category. It includes not only traditional classic algorithms such as the particle swarm optimization (PSO) [8,9] algorithm and gray wolf optimization(GWO) [10] algorithm but also emerging optimizers such as the moth flame optimization(MFO) [11] algorithm, butterfly optimization algorithm (BOA) [12], fish migration optimization(FMO) [13] algorithm, monkey king evolutionary (MKE) [14] algorithm, starling murmuration optimizer (SMO) [15] and quantum-based avian navigator algorithm (QANA) [16]. The third is the optimizer inspired by human behavior, and the classic one is the teaching–learning-based optimization (TLBO) [17] algorithm. The fourth is the optimization algorithm inspired by physics, and the gravity search algorithm (GSA) [18] in this paper is this kind. All these meta-heuristic algorithms conform to the following design principles to some extent. To avoid the local optimal stagnation problem to the greatest extent, a meta-heuristic algorithm generally uses multiple search agents to find the optimal value [19]. At the same time, balancing the algorithm’s exploration and exploitation process is crucial to maintaining its full effectiveness [20,21]. In this regard, the algorithm’s continuous improvement needs to be considered. After all, no algorithm can solve all optimization problems perfectly.
The QUATRE algorithm is a very efficient metaheuristic algorithm. It extends the vector operation of the DE algorithm to matrix operation and uses the affine transformation formula to update the position of population. Afterwards, some scholars [22] compared QUATRE with various variants of the PSO algorithm and various variants of DE. Finally, QUATRE showed strong global optimization ability, which quickly aroused academic interest. After that, a study [23] discretized QUATRE by a four-element binary strategy, which greatly broadened the application scope of the QUATRE. This team successfully applied the new discretized algorithm to the dimensionality reduction problem of images. To identify the parameters of the photovoltaic model more accurately, another study [24] developed a two-stage QUATRE algorithm with feedback, which continuously adjusted the search trend of the algorithm according to the feedback information. In recent years, QUATRE’s vigorous vitality has attracted many teams to improve from itself. Now, scholars have created many QUATRE variants, such as competitive quasi-affine transformation evolutionary (CQUATRE) [25], bi-population quasi-affine transformation evolutionary (BPQUATRE) [26], QUATRE algorithm with sort strategy (SQUATRE) [27], adaptation multi-group quasi-affine transformation evolutionary (AMGQUATRE) [28] and orthogonal quasi-affine transformation evolutionary (O-QUATRE) [29]. Compared with other meta-heuristic algorithms, these variants are very competitive. This study also pays attention to this point. We focus on designing a more suitable optimizer for complex problems.
Here, we propose a hybrid quasi-affine transformation evolutionary algorithm with the Taguchi strategy, levy flight and the restart mechanism (TLR-QUATRE). In TLR-QUATRE, the primary strategy is the Taguchi strategy, which designs multiple groups of experiments according to the orthogonal table [30]. Then, the Taguchi strategy helps the population construct a new particle, which may differ from the current population particles according to the factor analysis. Because the gap between various experimental combinations in the Taguchi strategy is very small, it allows the algorithm to achieve more detailed local exploitation. Auxiliary strategy 1 is the levy flight strategy, which is a random walk inspired by animal foraging behavior, and its step size is highly arbitrary [31]. Auxiliary strategy 2 is the restart mechanism that helps particles escape possible traps. These two auxiliary strategies are designed to prevent premature convergence of the algorithm. TLR-QUATRE as a whole has two sets of optimized routes, and the algorithm chooses them based on probability. The first route is to let the Taguchi strategy and restart mechanism act on the original QUATRE at the same time. This can effectively avoid premature convergence when assisting QUATRE in fine exploitation. The second route is to supplement the original QUATRE mechanism with levy flight. It can make QUATRE give full play to its outstanding optimization ability while being as free from the shackle of the local optimal trap as possible.
The advent of the internet of everything brings both opportunities and challenges [32]. People enjoy the dividends of the Internet of Things, but they do not know that the Internet of Things system behind is bearing colossal pressure. The wireless sensor network (WSN) is the key supporting platform of the Internet of Things. Ensuring its reliability, energy saving, real-time performance, and security in large data traffic has become the core research problem [33,34]. In order to realize the above four properties, fault detection technology becomes the key [35]. This technology is the basis of network traffic saving and delay reduction. It also is the premise of subsequent correct data analysis and processing. At present, there are some solutions to the problem of fault detection in WSN [36,37]. However, the research on heuristic algorithms to solve this problem is still relatively few. This means that we cannot refer to the experience of our predecessors more. How to improve the heuristic algorithm and how to combine the new algorithm with the fault detection problem efficiently are all hurdles we encounter in the research process. However, this challenge is also the motivation of our study. We expect to find an excellent way for the meta-heuristic algorithm to act on it. Artificial intelligence (AI) technology is developing rapidly, among which evolutionary computing and machine learning have received wide attention [38,39]. Here, for fault detection in WSNs, the TLR-QUATRE algorithm is used to optimize the structural configuration of BPNN [40] in machine learning. We chose BPNN because of its superior feedback structure. In the process of network training, its generation and feedback are symmetrical. This symmetry can make the network self-adaptive and better adapt to the practical problem. We deploy the new optimized structure on the cluster heads of nodes. Correct data can be propagated to beacon nodes, and fault data can be detected. The new optimized structure can effectively identify the correctness of the data collected by sensors [41]. The comparative tests of several datasets show the strong fault detection ability of TLR-QUATRE.
In a word, a TLR-QUATRE algorithm with outstanding optimization effect is proposed in this study. In order to maintain its good exploration and exploitation ability in the whole process, we design two sets of optimization paths on TLR-QUATRE. At the same time, we put the Taguchi strategy, levy flight and the restart mechanism on it. Subsequently, we creatively combine the new algorithm with BPNN. Then, the algorithm is deployed to the cluster heads of WSN nodes. Finally, we develop an optimized structure that can be applied to fault detection and achieve high fault detection accuracy.
The rest of this paper is as follows. Section 2 introduces the QUATRE, BPNN, and fault detection in WSN. The specific improvement strategies and the TLR-QUATRE algorithm will be detailed in Section 3. Section 4 analyzes the simulation results. The method of combining TLR-QUATRE and BPNN, the simulation results of fault detection, and the effect of the actual landing dataset are discussed in Section 5. Section 6 summarizes the article and makes a brief explanation of future research points based on this research.
2. Related Works
This section provides a detailed description of the original QUATRE, BPNN, and fault detection in WSN.
2.1. QUATRE
As a new global optimization structure, the QUATRE algorithm is a variant of DE. It is called “affine” because the updating process of its particle position is similar to the affine transformation in geometric transformation. This enormous amplitude transformation makes it easier to achieve global search. The core of QUATRE is the affine structure . is the position matrix of the population. is the co-evolution matrix. is the mutation matrix. is the binary inverse matrix of . The individual matrices are described in detail below.
Suppose that the population has particles, each of which has D dimensions. These particles form the position matrix together. In general, has six solving methods, as shown in Table 1, and the first method is selected in our research in order to make the particle as close as possible to the optimal solution. In Table 1, F is a constant equal to 0.7. G represents the current state, and is the particles’ position matrix in this state. is the optimal position matrix with identical rows, as shown in Equation (1). Randomly change in the unit of the row so that the matrices , , , and used for perturbation can be obtained. The matrix is transformed from the lower triangular matrix composed of 0 and 1. When is equal to D, it can be shown in Equation (2). Firstly, the elements of D dimensions are randomly transformed for each row, and then, the row vectors are randomly changed to obtain . Then, take the inverse of to obtain , and the inverse process can be seen in Equation (3). If is not equal to D, such as , then as shown in Equation (4), the first rows (k is a positive integer) are divided into multiple small matrices according to the dimension. If there are remaining rows that cannot form a complete lower triangular matrix, the remaining rows take the values of the first rows of the lower triangular matrix of size to form a small matrix of its own. After the partition, perform the same row and column transformation rules for each small matrix to obtain and then . When , it can be transformed according to with similar rules.
Table 1.
Methods for solving mutation matrix .
Equation (5) shows the more accurate evolution equation of the QUATRE algorithm.
2.2. Back Propagation Neural Network
As a bionic mechanism, artificial neural network (ANN) has been a research hotspot. It has strong self-learning and adaptive ability. Meanwhile, its feedback network makes ANN’s associative memory function very powerful, with solid robustness and fault tolerance [42,43]. More importantly, ANN adopts a parallel distributed processing method, which can find the optimal solution at high speed. BPNN is the most frequently used network in ANN [44]. It adopts the supervised learning mode, transmitting the results forward hierarchically and propagating the errors backward in the feedback so that the network can adjust itself in the next step. The operation process of the whole network is to constantly adjust the connection weight and bias through training samples and minimizing the error between the network output value and the real value. Equation (6) shows the general solution process with the structure of an input layer, a hidden layer and an output layer.
The network is set with n input variables, which are denoted . The hidden layer has m neurons. denotes the input of the j-th neuron. represents the connection weight between the i-th neuron in the input layer and the j-th neuron in the hidden layer. represents the bias of the j-th neuron in the hidden layer. represents the output of the j-th neuron in the hidden layer. It can be calculated by Equation (7), where the function F is used to activate . Similarly, the input and output of the output layer can also be obtained by Equations (6) and (7).
2.3. Security Threats in WSN and Its Fault Detection
WSNs rely on widely distributed sensors to collect data and a network of nodes deployed in various environments to process information [45]. Reliability is a fundamental requirement of WSN. However, it is often difficult to guarantee [46]. First of all, the quality of the current sensors is generally poor. Their electricity and storage capacity are meager. So, it is easy to collect data from an unreliable source. Secondly, in practice, many nodes inevitably need to be deployed in harsh environments, which is likely to cause problems such as noise and data loss. Finally, WSN’s defense function is challenging to perfect, so it may face many uncontrollable and unpredictable malicious attacks [47]. To ensure the reliability of WSNs, fault detection has become a necessary technical means [48]. The fault detection in this paper is mainly used to diagnose the noise and error that may be generated in the network. We deploy various optimization structures based on heuristic algorithms on the cluster heads of nodes. Then, the cluster heads make judgments on the incoming information, and the reliable data are transmitted to the beacon node. In the transmission process, the relevant fault detection data will be retained.
3. The Proposed TLR-QUATRE
This section describes each of the three improvement strategies in detail and shows how they work on QUATRE. The concrete content of the TLR-QUATRE algorithm is given.
3.1. Taguchi Strategy
The Taguchi strategy [49] is a kind of experimental design, according to the orthogonal table design and factor analysis to determine the best combination of factors. This new best combination may significantly impact the population’s search for optimality.
The orthogonal table is a complete set of test design tables. It is usually expressed in the form of , where is the symbol of it. R and F are its number of rows and columns, respectively. Q is the number of factor levels. Since the orthogonality of two particles is considered in this paper, each factor has two levels, that is, Q = 2. The construction of the orthogonal table introduced in the following is based on this.
First, after the dimension D of the particle is known, the values of R and F can be calculated by Equations (8) and (9).
In the second step, we set the base column number . The elements in the base columns can be obtained by Equation (10). Among them, a represents the row index, and its value increases from 1 to R in order. The value of the base column index b is coordinated by the parameter , where and .
The elements in the non-base columns can be found by Equation (11). Among them, a has the same meaning as above and . The value of the b is changed, and it is coordinated by , where and .
In the third step, to match the specific code execution, we increase the values in the matrix by one to represent the two-factor levels. See Equation (12) for the specific process. Among them, a has the same meaning as above. b represents the total column index, and its value increases from 1 to F in order.
There are two orthogonal particles selected in this paper: the current population optimal particle A and the present population virtual particle B. The method of obtaining B is as follows: firstly, the particles are sorted according to the function values from small to large, and then, the particles are evenly divided into n groups in order (this paper is divided into five groups). The particle corresponding to the maximum value of each group is taken as the representative particle of this group. The positions of these n representative particles are averaged to obtain particle B. The particles A and B are subjected to multiple experiments according to the orthogonal table. For example, if the dimension is 30, 32 experiments will be conducted to find 32 function values. Next, each dimension is analyzed according to these function values to see which of the two factors contributes to the better values. Eventually, the exact values of each of the 30 dimensions will be determined to form an entirely new particle C. The above process is shown in Figure 1.
Figure 1.
The process of generating C by the Taguchi strategy.
The most prominent advantage of the Taguchi strategy is that it adopts a multi-factor and multi-level orthogonal method to evaluate particles. This test method, with little difference between each group, makes it easier to achieve accurate local exploitation.
3.2. Levy Flight
In the wild, many animals look for food by random walk. Their extensive and small steps are very random, and the length of each stride is different. By modeling this process, researchers have abstracted a mathematical expression for the levy flight (LF) strategy [50]. The step size s of levy flight is a function of , and s is solved according to Equation (13). The solution of parameters can be seen in Equations (14)–(17).
Finally, the classic version of levy flight is the one shown in Equation (18), and animals walk according to random steps.
The random step size in levy flight can help the algorithm escape the trap of local optimal solution to some extent. The role of levy flight in TLR-QUATRE primarily assists the original QUATRE in global exploration.
3.3. Restart Mechanism
The Taguchi strategy can help the algorithm exploit in more detail, but this mechanism will increase the risk of the optimizer falling into the local trap. Therefore, it must be considered to maintain the global exploration capability based on realizing the fine exploitation. At this time, on the basis of the Taguchi strategy, we add a restart mechanism to avoid local stagnation.
To help the algorithm away from the local optimum as much as possible, we should consider the maximum distance in the search area. It is a reasonable method to set the escape radius of particles according to this maximum distance. Here, we consider the diagonal of the search area, and the diagonal distance is calculated by the Euclidean formula. We find that the new algorithm performs best when the escape radius is a quarter diagonal. This detail can be seen in Figure 2. Once the restart mechanism is triggered, the evolutionary trend of the algorithm will be disturbed. The random particle in the population will change its trajectory. Firstly, select a particle in the population randomly. Then, calculate the quarter diagonal distance of the search space. Next, the particle has a chance to jump in any direction with the length of this radius. Although this mechanism is simple, the choice of its escape radius is adaptively determined according to the search area, so it has high flexibility. The search space is generally high-dimensional, and the space shape is quite different. However, this method of particle escape based on the maximum distance is universal.
Figure 2.
Schematic diagram of the restart mechanism.
3.4. TLR-QUATRE
This section describes the TLR-QUATRE. Here are the specific steps:
Step 1: Set the population size . Determine the value of dimension D, upper bound and lower bound of the problem space. Initialize the position matrix randomly. Determine the maximum function evaluation times . Set the count variable and set the probability parameter w.
Step 2: When the algorithm does not reach , execute the evolution process of QUATRE and determine the global optimum at this time. Then, generate a random number to compare with w. If , turn to Step 3; otherwise, turn to Step 5.
Step 3: Execute the Taguchi strategy and orthogonal global optimal particle A and virtual particle B. Compare the generated particle C with A to determine the global optimal at this time. Go to Step 4.
Step 4: Randomly select a particle to perform the restart mechanism and determine the global optimum at this time. If the number of function evaluations does not reach , go to Step 2.
Step 5: Perform the levy flight strategy on the current global optimal particle and determine the global optimal at this time. If the number of function evaluations does not reach , go to Step 2.
The above is the general process of the TLR-QUATRE algorithm. We use the pseudo-code for a more intuitive demonstration. Algorithm 1 shows it.
| Algorithm 1 The pseudo-code of TLR-QUATRE |
|
4. Experiments Results and Analysis
To test the performance of the TLR-QUATRE, the CEC2017 suite is used to analyze it from multiple perspectives. Only the minimum value of each function is considered. The second function in CEC2017 has been proved to be extremely unstable, so give it up.
4.1. Parameter Sensitivity Test
In TLR-QUATRE, there is a parameter w. It plays a decisive role in which route the algorithm chooses for optimization. The test values for w are set to 0.1 to 0.9. For each value, we perform 31 independent repetitions, each with 50 particles for 150,000 function evaluations in 30 dimensions. For the 29 test functions, we subtract the theoretical optimum value of it from the value obtained by the algorithm, respectively. Then, we can obtain the average error and standard deviation of the error. Finally, the average error and standard deviation are respectively averaged to obtain AVG and STD, as shown in Figure 3. The experimental result shows that TLR-QUATRE has the most substantial optimization effect when w = 0.4. Therefore, we set the parameter w of this algorithm to 0.4.
Figure 3.
Comparison of different w values.
4.2. Performance of Algorithm Components
This section examines the contribution of various strategies to the new algorithm. The experiment uses 50 particles to evaluate each of the 29 test functions 150,000 times with 30 dimensions. The experiment is repeated 31 times independently, and we subtract the theoretical optimum value of it from the value obtained by the algorithm, respectively. For each function, the 31 error values are averaged, and the standard deviation is calculated. The two values are recorded as AVG and STD. The above operation is defined as CSSZ in this paper. In order to avoid repeated instructions, the following experiments are simply modified CSSZ. Their AVG and STD have the same meaning.
The TQUATRE in Table 2 represents the QUATRE improved with the Taguchi strategy only. LTQUATRE stands for QUATRE improved with the Taguchi strategy and levy flight. RTQUATRE stands for QUATRE improved with the Taguchi strategy and restart mechanism. In these three algorithms, the improved positions of various strategies are precisely the same as TLR-QUATRE, and the mechanism of the original QUATRE fills the missing strategies. Each algorithm follows the experimental rules of CSSZ. At the same time, the optimal AVG and STD of each function are processed in bold. The value in WIN represents the number of functions for which TLR-QUATRE obtains the optimal value.
Table 2.
Performance comparison of TLR-QUATRE components.
As seen from the table, for most functions, the improvement effect of the algorithm will be better with each additional strategy. TQUATRE is better than QUATRE. LTQUATRE and RTQUATRE are better than TQUATRE. TLR-QUATRE outperforms all the above algorithms and achieves the optimal value on 26 AVGs and STDs. This indicates that the three strategies all contribute to the improvement of original QUATRE, and the combination of the three strategies can maximize the optimization. The Taguchi strategy is the main strategy to improve QUATRE this time. Its greatest significance is that it can greatly improve the local exploitation ability for QUATRE. The QUATRE algorithm is so prominent among many intelligent algorithms because of the excellent global exploration ability brought by affine transformation. Therefore, the existence of the Taguchi strategy has added a new outstanding source for QUATRE. The significance of levy flight and the restart mechanism is that they ensure the algorithm avoids falling into the trap of local optimization due to the Taguchi strategy. They can help the algorithm keep the driving force of global exploration at an appropriate time. The experimental result fully shows that our algorithm design is very reasonable, and the three strategies complement each other and promote each other. In addition, none of the strategies is invalid. Their organic combination makes TLR-QUATRE powerful.
4.3. Comparison with Some Classic Meta-Heuristic Algorithms
To explore the optimization effect of TLR-QUATRE more objectively, TLR-QUATRE is compared with the classical algorithm PSO, MFO, GSA, GWO, BOA, FMO, MKE, SMO and QANA. To ensure fairness, the experimental process of each algorithm follows CSSZ. The result is shown in Table 3.
Table 3.
Comparison between TLR-QUATRE and some classic meta-heuristic algorithms.
Finally, TLR-QUATRE achieves the overwhelming advantage over AVG. It also achieves the optimal of 23 functions on STD, which proves that the optimization effect of TLR-QUATRE is excellent, but the stability needs to be further improved. This phenomenon is because TLR-QUATRE has a random probability problem when choosing the optimization route. The random probability will lead to the algorithm’s strong randomness and poor stability. However, the strong randomness helps the algorithm find better values in a wider space. Among these comparison algorithms, there are both traditional meta-heuristic algorithms such as PSO and emerging intelligent algorithms such as FMO. These comparison algorithms all adopt various strategies to achieve the maximum optimization effect, but TLR-QUATRE is obviously better. We believe it is precisely because of the uncertainty in the optimization path selection that reduces the shackles of the algorithm. It enables the new algorithm to explore the solution space more freely. The existence of the Taguchi strategy, levy flight and the restart mechanism can make the new algorithm explore freely and ensure the dynamic balance between the most basic exploration and exploitation. This worry-free exploration has created the brilliance of TLR-QUATRE.
4.4. Comparison with Some Improved QUATRE Algorithms
When exploring the improved performance of an algorithm, the nature of its original algorithm should be considered. This paper compares TLR-QUATRE with other enhanced versions of QUATRE. They are CQUATRE, BPQUATRE, SQUATRE, AMGQUATRE and O-QUATRE. It should be noted that O-QUATRE also adopts the orthogonal learning strategy to improve QUATRE, but the author’s improvement method is quite different from that in this paper. To confirm the superiority of TLR-QUATRE, O-QUATRE is also included in the comparison.
Each algorithm still runs according to CSSZ. As can be seen from Table 4, the optimal number of AVG and STD obtained by TLR-QUATRE are 21 and 19, respectively. Although the superiority of the new algorithm is not very high on the whole, the effect of TLR-QUATRE is not inferior in these improved and enhanced versions of QUATRE. This shows that the exploration and exploitation of TLR-QUATRE have achieved a certain degree of good balance and cooperation. The comparison algorithms in this section have been further improved on the basis of QUATRE, but TLR-QUATRE can still beat other algorithms as a whole. This is because many improved versions focus on enhancing global exploration capability or increasing population diversity. The outstanding point of TLR-QUATRE is the use of the Taguchi strategy. A variety of experimental combinations of the Taguchi strategy give the new algorithm a choice in every dimension. This fine selection provides TLR-QUATRE with the opportunity to approach the optimal value to the greatest extent.
Table 4.
Comparison between TLR-QUATRE and some improved QUATRE algorithms.
4.5. High-Dimensional Case Analysis
In this experiment, CSSZ is modified. Keeping other conditions unchanged, the number of population particles is changed to 100, and the dimensions are set to 30, 50 and 100. The optimization rate of QUATRE by TLR-QUATRE in different dimensions is compared. This optimization rate is the average of 29 functions’ optimization rates.
From Table 5, for AVG and STD, the optimization rate increases gradually with the rise in dimensions. That is to say, the optimization effect of TLR-QUATRE is more evident in high dimensions. However, the number of optimal AVG and STD functions obtained by the new algorithm does not conform to this rule. It may be that the global optimization ability of TLR-QUATRE in high dimensions is limited. The Taguchi strategy, levy flight and the restart mechanism are relatively dexterous and simple. When the dimensions are not high, we can deal with each dimension carefully and control the trajectory of particles. When the dimension increases, the effect of this processing ability and control ability will be affected to some extent. However, it can be seen from the optimization rate that the outstanding advantages of TLR-QUATRE in high-dimensional problems are still undeniable.
Table 5.
Comparison of optimization rates of TLR-QUATRE to QUATRE in different dimensions.
Next, we compare TLR-QUATRE with PSO, GWO, MFO, GSA, FMO, CQUATRE, AMGQUATRE, BPQUATRE and SQUATRE in three dimensions. Table 6 lists the number of functions of TLR-QUATRE with the best value on each type of function. As seen from the table, the optimization effect of TLR-QUATRE on various types of functions is becoming better and better with the increase of dimensions. In order to show this conclusion more intuitively, we randomly select a function from each type to display the process visually, as shown in Figure 4. In the figure, the horizontal axis represents three dimensions. The vertical axis is , f is the actual optimization result, and is the theoretical minimum of the benchmark function. It can be seen that the effect of TLR-QUATRE of the first two functions is not optimal in low dimensions, but it is finally reversed in high dimensions. The last two functions have always been optimal in various dimensions, and their optimal advantages are becoming bigger and bigger. All these results show that the new algorithm performs better in high-dimensional problems than in low-dimensional ones.
Table 6.
Comparison of TLR-QUATRE’s optimization of different types of functions in different dimensions.
Figure 4.
Performance of F1, F9, F18 and F30 in different dimensions.
4.6. Exploration and Exploitation Process
This section analyzes the exploration and exploitation process of TLR-QUATRE to study the visualization of the intermediate transformation. Firstly, the diversity measure is defined according to the increase and decrease of the distance between individuals.
in Equation (19) represents the average diversity in the j-th dimension. represents the median value in the j-th dimension of the whole population. represents the numerical value of the i-th search agent in the j-th dimension. Then, we calculate the average diversity in each dimension, that is, in Equation (20). Finally, and can be solved by Equations (21) and (22), respectively, where represents the maximum value among the .
In each type of these test functions, two functions are randomly selected for research. The experiment process is the same as CSSZ, as shown visually in Figure 5. Overall, in the initial stage, the global exploration ability is powerful. Later, the algorithm pays more attention to local exploitation. Finally, the new algorithm achieves the balance of exploration and exploitation on all functions. An excellent heuristic algorithm should pay attention to the exploration ability in the early stage to achieve a broader search and increase the chances of exploring a better value. The original QUATRE mechanism, levy flight and the restart mechanism in TLR-QUATRE can help realize this point. In the later stage of the algorithm, we should pay more attention to the local exploitation ability so as not to let go of any better value near the excellent value. The Taguchi strategy is made for this. Then, an algorithm with unlimited potential needs to achieve the balance between exploration and exploitation. This allows the algorithm to take into account these two points at the same time and find the best balance point adaptively. The three improvement strategies put forward in this paper have just increased the power for finding this balance point quickly.
Figure 5.
Exploration and exploitation process on F1, F3, F4, F10, F14, F19, F21 and F23.
4.7. Analysis of Convergence
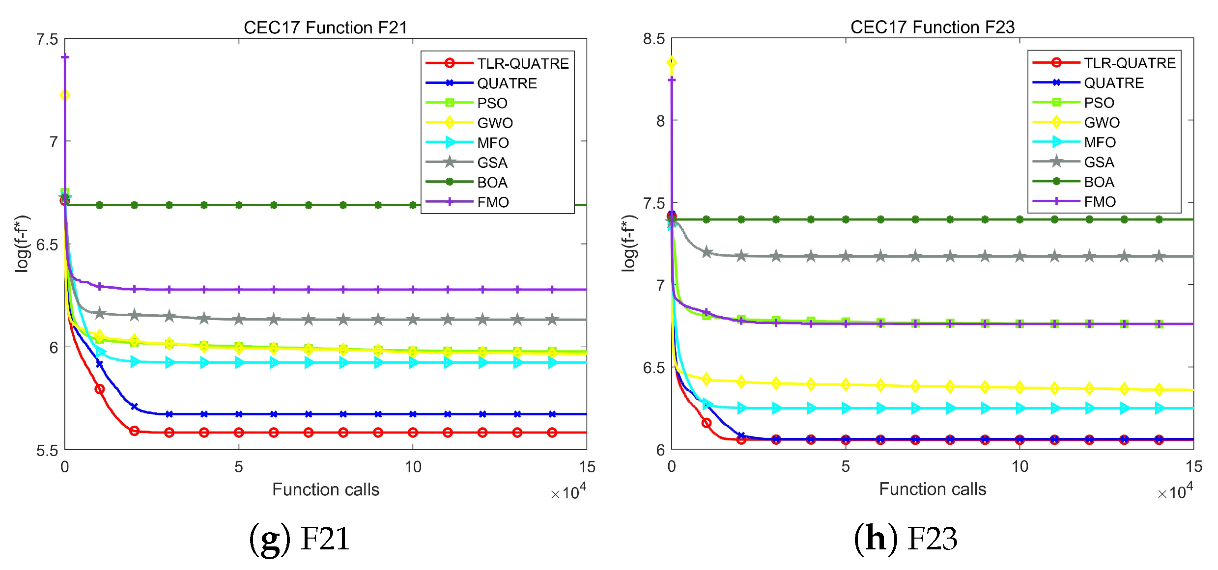
To further explore some process properties of TLR-QUATRE, here, we compare the convergence of TLR-QUATRE with six meta-heuristics and QUATRE. Under the benchmark condition of CSSZ, the same test functions as those in the previous section are selected.
From Figure 6, the convergence speed of the TLR-QUATRE is faster, and this advantage is more obvious in the early stage of convergence. However, the convergence time of TLR-QUATRE is very long, especially on unimodal functions. It can also be proved that the new algorithm has strong continuous convergence ability and great optimization potential. On these eight convergent images, TLR-QUATRE can always obtain the optimum, and the quality of the solution is the highest. It can be seen that TLR-QUATRE can find a pretty good optimal solution as long as a certain time is guaranteed. The rapid convergence in the early stage of TLR-QUATRE is mainly due to the excellent properties of the original QUATRE. The original QUATRE can achieve a fast jump search at the beginning of the algorithm. It can explore the solution space extensively in a short time. The quality of the final solution of TLR-QUATRE can reach the highest point. This is due to the influence of the Taguchi strategy, levy flight and the restart mechanism. The three strategies and QUATRE form two sets of optimization routes, and this mechanism has played the greatest role of all strategies.

Figure 6.
Convergence curves of F1, F3, F4, F10, F14, F19, F21 and F23.
The purpose of this study is to find an efficient heuristic algorithm, which can continue to improve the optimization ability on the basis of QUATRE. We want to explore the operating mechanism of various improvement strategies and clearly know why they can play such a good role. After determining the outstanding algorithm, this study hopes to apply it to the fault detection problem of WSN. It is hoped that the new algorithm can achieve higher accuracy of fault detection after combining with BPNN. The seven experiments in the above sections analyze the running process of TLR-QUATRE and show its powerful optimization ability, which increases our confidence in the next application.
5. Application
This section first introduces how to optimize the structure of BPNN with TLR-QUATRE and describes the fault detection process. The processing effect of data collected by WSN is compared on eight public datasets from different angles. Then, the dataset collected in actual life is used to further verify the effect of the new structure. Finally, this section confirms the advantages of this optimized structure in fault detection.
5.1. Structure Optimization Method and Fault Detection Process
Usually, BPNN initializes the weight and bias of each layer randomly and then adjusts them continuously through feedback and self-learning. However, such an operation will affect the efficiency of the network. If reasonable parameter values can be set in the initialization stage, the performance of BPNN may be greatly improved. To shorten the training time and improve the fault detection accuracy, we use the TLR-QUATRE algorithm to optimize the initial weight and bias of BPNN.
This section takes the BPNN structure of 2-3-1 as an example (the specific network to be selected depends on the characteristics of the dataset). This structure is shown in Figure 7, in which the weights and biases of each layer are unified in the form of the matrix. Equation (23) is the matrix’s specific expression, and these parameters can be represented by the solutions in the population: .
Figure 7.
One structure of BPNN.
The detailed combination process of the TLR-QUATRE algorithm and BPNN is shown in Figure 8.
Figure 8.
Combination process of TLR-QUATRE and BPNN.
5.2. Fault Detection Results on Open Datasets
There are many kinds of faults in WSNs [51]. From the perspective of influence time, it can be divided into instantaneous fault and persistent fault. From the standpoint of equipment types, it can be divided into software fault and hardware fault. From the data itself, it can be divided into lost, stuck, out-of-bounds, and so on. The data fault in WSNs can be identified according to labels or data features. We carry out fault detection in WSN according to this principle.
The datasets selected for this test come from [52], which provide marked data for fault detection in WSN. The datasets include a variety of data collected by indoor sensors and outdoor sensors, including single-hop data and multi-hop data, focusing on temperature measurement and humidity measurement. We use the combination model constructed in the previous section to detect faults.
When evaluating the effect of fault detection, we set five indicators: accuracy (Acc), F1 score (F1), precision (P), false positive rate (FPR) and recall (R). Particular attention should be paid to accuracy and false positive rate. The former focuses on counting the proportion of the detected fault data to the total fault data, which represents the fault-searching ability of the algorithm. The latter is the proportion of the wrongly identified data (the data itself is correct but identified as fault data) to all the accurate data, which represents the fault misjudgment probability of the algorithm.
To test the performance of TLR-QUATRE+BPNN in this problem, we compare and analyze its effects with other heuristic algorithms. These algorithms are run on eight test datasets to calculate their respective evaluation index values. See Table 7 for the detailed result.
Table 7.
Simulation comparison of five optimized structures on eight datasets.
From Table 7, compared with the original BPNN, the fusion of heuristic algorithms can contribute to the improvement of most indicators. Because the datasets are simple, all kinds of algorithms can accurately predict almost all the data. TLR-QUATRE+BPNN can obtain the optimal value of each index on all datasets. Especially its optimization effect is very significant compared with the original BPNN. In terms of accuracy, TLR-QUATRE+BPNN can reach the highest level and identify all kinds of faults to the greatest extent. Its false positive rate can reach 0, indicating that the misjudgment rate is extremely low. All kinds of phenomena show that the optimized structure proposed in this paper is really suitable for this fault detection problem.
To further observe the ability of the new structure, we have made ROC curves for eight datasets in Figure 9. By observing the area below the curve, it can be easily seen that TLR-QUATRE+BPNN can achieve the highest diagnostic accuracy.

Figure 9.
ROC curves of five optimized structures on eight datasets.
5.3. The Effects of WSN Fault Detection in Actual Situation
Sometimes, the simulation results cannot represent the actual situation, and its conclusions are often unconvincing. So, in this section, we explore the dataset collected by sensors in actual life and evaluate the effect of fault detection on it. The dataset used here comes from [53]. The author adopts Arduino open-source hardware and uses DTH11, LM35, CDS and other sensors to collect data. Thus, it can realize the real-time monitoring of atmospheric temperature.
We show the effects of each optimized structure in Table 8. Through comparison, we notice that TLR-QUATRE+BPNN has excellent competitiveness in the actual life of fault detection in WSN. This practice verifies the previous simulation and proves that the optimized structure is credible and reliable.
Table 8.
Comparison of five optimized structures in actual fault detection.
The fundamental purpose of this study is to create a meta-heuristic algorithm with strong optimization ability and apply this algorithm to the fault detection problem of WSN to achieve the highest fault detection accuracy. In the above three sections, we first explain how to combine TLR-QUATRE with BPNN and analyze how to deploy the new optimized structure to WSN. In the next two experiments, the efficiency of the new structure is tested on eight public datasets and one actual landing dataset. The experimental results show that TLR-QUATRE+BPNN has outstanding fault detection ability. This also shows that the new algorithm developed in our study is very meaningful in this application field.
6. Conclusions
The Taguchi strategy, levy flight and the restart mechanism are used to enhance the original QUATRE in this research. The new algorithm TLR-QUATRE selects the optimal path with a certain probability. The Taguchi strategy helps the algorithm achieve more detailed exploitation. Levy flight and the restart mechanism improve the global exploration ability of the algorithm. To test the effectiveness of TLR-QUATRE, we conduct a parameter sensitivity test and explore the contribution of each component to the optimizer on CEC2017 suite. Then, we compare it with other meta-heuristic algorithms and the existing improved QUATRE. Next, we explore the effects of different dimensions. To visualize the optimization process, we still demonstrate the exploration and exploitation process and then analyze the convergence. In the above experiments, TLR-QUATRE has shown strong advantages. Finally, we apply the proposed optimized structure to the fault detection in WSNs and compare the effects of eight public datasets and an actual landing dataset with five evaluation parameters. The result shows that TLR-QUATRE+BPNN is efficient. In order to show it more intuitively, the application part also make a comprehensive analysis by ROC curves. However, the TLR-QUATRE algorithm also has its own shortcomings. From the analysis of convergence, we notice that the optimization speed of this algorithm needs to be improved in the early stage, which can be considered for improvement in the future.
The TLR-QUATRE proposed in this paper has certain advantages in dealing with the high-dimensional problem, which lays a good foundation for subsequent research. We can further study the problem of fault detection with big data or large dimensions. In addition, besides ensuring the accuracy and security of network transmission, real-time and energy-saving issues also need to be considered. We will seek more optimization methods in order to realize lightweight fault detection. Thirdly, this paper considers the problem of fault detection with data tags, so how to solve other types of fault detection. Fourthly, how to combine fault detection with other intelligent technologies also needs to be explored. In addition to the problem of fault detection, the TLR-QUATRE can be applied to many applications of the WSN, such as intrusion detection, node location, 3D map planning, data fusion, energy cycle and so on. In the future, the application prospect of meta-heuristic algorithms in the WSN is huge.
Author Contributions
Conceptualization, J.-S.P. and S.-C.C.; Methodology, J.-S.P., R.-Y.W., S.-C.C. and K.-K.T.; Software, R.-Y.W. and S.-C.C.; Validation, J.-S.P., S.-C.C. and K.-K.T.; Formal analysis, J.-S.P. and S.-C.C.; Investigation, J.-S.P. and R.-Y.W.; Resources, R.-Y.W. and F.F.; Data curation, F.F.; Writing—original draft preparation, R.-Y.W.; Writing—review and editing, J.-S.P. All authors have read and agreed to the published version of the manuscript.
Funding
This research received no external funding.
Institutional Review Board Statement
Not applicable.
Informed Consent Statement
Not applicable.
Data Availability Statement
Not applicable.
Conflicts of Interest
The authors declare no conflict of interest.
References
- Wang, L.; Cao, Q.; Zhang, Z.; Mirjalili, S.; Zhao, W. Artificial rabbits optimization: A new bio-inspired meta-heuristic algorithm for solving engineering optimization problems. Eng. Appl. Artif. Intell. 2022, 114, 105082. [Google Scholar] [CrossRef]
- Yuan, J.; Zhao, M.; Esmaeili-Falak, M. A comparative study on predicting the rapid chloride permeability of self-compacting concrete using meta-heuristic algorithm and artificial intelligence techniques. Struct. Concr. 2022, 23, 753–774. [Google Scholar] [CrossRef]
- Shahrouzi, M.; Kaveh, A. An efficient derivative-free optimization algorithm inspired by avian life-saving manoeuvres. J. Comput. Sci. 2022, 57, 101483. [Google Scholar] [CrossRef]
- Mirjalili, S. Dragonfly algorithm: A new meta-heuristic optimization technique for solving single-objective, discrete, and multi-objective problems. Neural Comput. Appl. 2016, 27, 1053–1073. [Google Scholar] [CrossRef]
- Pan, J.S.; Meng, Z.; Xu, H.; Li, X. QUasi-Affine TRansformation Evolution (QUATRE) algorithm: A new simple and accurate structure for global optimization. In Proceedings of the Trends in Applied Knowledge-Based Systems and Data Science: 29th International Conference on Industrial Engineering and other Applications of Applied Intelligent Systems, IEA/AIE 2016, Morioka, Japan, 2–4 August 2016; Springer: Berlin/Heidelberg, Germany, 2016; pp. 657–667. [Google Scholar]
- Deng, W.; Xu, J.; Song, Y.; Zhao, H. Differential evolution algorithm with wavelet basis function and optimal mutation strategy for complex optimization problem. Appl. Soft Comput. 2021, 100, 106724. [Google Scholar] [CrossRef]
- Civicioglu, P.; Besdok, E. Bezier Search Differential Evolution Algorithm for numerical function optimization: A comparative study with CRMLSP, MVO, WA, SHADE and LSHADE. Expert Syst. Appl. 2021, 165, 113875. [Google Scholar] [CrossRef]
- Tao, X.; Guo, W.; Li, X.; He, Q.; Liu, R.; Zou, J. Fitness peak clustering based dynamic multi-swarm particle swarm optimization with enhanced learning strategy. Expert Syst. Appl. 2022, 191, 116301. [Google Scholar] [CrossRef]
- Houssein, E.H.; Gad, A.G.; Hussain, K.; Suganthan, P.N. Major advances in particle swarm optimization: Theory, analysis, and application. Swarm Evol. Comput. 2021, 63, 100868. [Google Scholar] [CrossRef]
- Li, Y.; Lin, X.; Liu, J. An improved gray wolf optimization algorithm to solve engineering problems. Sustainability 2021, 13, 3208. [Google Scholar] [CrossRef]
- Alazab, M.; Khurma, R.A.; Awajan, A.; Camacho, D. A new intrusion detection system based on Moth–Flame Optimizer algorithm. Expert Syst. Appl. 2022, 210, 118439. [Google Scholar] [CrossRef]
- Arora, S.; Singh, S. Butterfly optimization algorithm: A novel approach for global optimization. Soft Comput. 2019, 23, 715–734. [Google Scholar] [CrossRef]
- Liu, Y.; Zheng, W.M.; Liu, S.; Chai, Q.W. Gaussian-Based Adaptive Fish Migration Optimization Applied to Optimization Localization Error of Mobile Sensor Networks. Entropy 2022, 24, 1109. [Google Scholar] [CrossRef]
- Kumar, N.; Hussain, I.; Singh, B.; Panigrahi, B.K. Maximum power peak detection of partially shaded PV panel by using intelligent monkey king evolution algorithm. IEEE Trans. Ind. Appl. 2017, 53, 5734–5743. [Google Scholar] [CrossRef]
- Zamani, H.; Nadimi-Shahraki, M.H.; Gandomi, A.H. Starling murmuration optimizer: A novel bio-inspired algorithm for global and engineering optimization. Comput. Methods Appl. Mech. Eng. 2022, 392, 114616. [Google Scholar] [CrossRef]
- Zamani, H.; Nadimi-Shahraki, M.H.; Gandomi, A.H. QANA: Quantum-based avian navigation optimizer algorithm. Eng. Appl. Artif. Intell. 2021, 104, 104314. [Google Scholar] [CrossRef]
- Rao, R.V.; Savsani, V.J.; Vakharia, D. Teaching–learning-based optimization: A novel method for constrained mechanical design optimization problems. Comput.-Aided Des. 2011, 43, 303–315. [Google Scholar] [CrossRef]
- Zhou, X.; Zhu, G. Sinusoidal Map Jumping Gravity Search Algorithm Based on Asynchronous Learning. J. Inf. Process. Syst. 2022, 18, 332–343. [Google Scholar]
- Beheshti, Z.; Shamsuddin, S.M.H. A review of population-based meta-heuristic algorithms. Int. J. Adv. Soft Comput. Appl. 2013, 5, 1–35. [Google Scholar]
- Dhiman, G.; Garg, M. MoSSE: A novel hybrid multi-objective meta-heuristic algorithm for engineering design problems. Soft Comput. 2020, 24, 18379–18398. [Google Scholar] [CrossRef]
- Ghasemi-Marzbali, A. A novel nature-inspired meta-heuristic algorithm for optimization: Bear smell search algorithm. Soft Comput. 2020, 24, 13003–13035. [Google Scholar] [CrossRef]
- Meng, Z.; Pan, J.S.; Xu, H. QUasi-Affine TRansformation Evolutionary (QUATRE) algorithm: A cooperative swarm based algorithm for global optimization. Knowl.-Based Syst. 2016, 109, 104–121. [Google Scholar] [CrossRef]
- Chu, S.C.; Zhuang, Z.; Hu, C.C.; Pan, J.S. Binary QUATRE Using Time-varying Transfer Functions. J. Int. Technol. 2022, 23, 425–435. [Google Scholar]
- Wang, X.; Chu, S.C.; Snášel, V.; Kong, L.; Pan, J.S.; Shehadeh, H.A. A two-phase quasi-affine transformation evolution with feedback for parameter identification of photovoltaic models. Appl. Soft Comput. 2021, 113, 107978. [Google Scholar] [CrossRef]
- Meng, Z.; Pan, J.S. A competitive QUasi-Affine TRansformation Evolutionary (C-QUATRE) algorithm for global optimization. In Proceedings of the 2016 IEEE International Conference on Systems, Man, and Cybernetics (SMC), Budapest, Hungary, 9–12 October 2016; pp. 001644–001649. [Google Scholar]
- Liu, N.; Pan, J.S.; Nguyen, T.T. A bi-population QUasi-Affine TRansformation Evolution algorithm for global optimization and its application to dynamic deployment in wireless sensor networks. EURASIP J. Wirel. Commun. Netw. 2019, 2019, 175. [Google Scholar] [CrossRef]
- Pan, J.S.; Meng, Z.; Chu, S.C.; Roddick, J.F. QUATRE algorithm with sort strategy for global optimization in comparison with DE and PSO variants. In Proceedings of the Fourth Euro-China Conference on Intelligent Data Analysis and Applications; Springer: Cham, Switzerland, 2018; pp. 314–323. [Google Scholar]
- Liu, N.; Pan, J.S.; Wang, J.; Nguyen, T.T. An adaptation multi-group quasi-affine transformation evolutionary algorithm for global optimization and its application in node localization in wireless sensor networks. Sensors 2019, 19, 4112. [Google Scholar] [CrossRef] [PubMed]
- Liu, N.; Pan, J.S.; Xue, J.Y. An orthogonal quasi-affine transformation evolution (o-quatre) algorithm for global optimization. In Advances in Intelligent Information Hiding and Multimedia Signal Processing, Proceedings of the 15th International Conference on IIH-MSP in Conjunction with the 12th International Conference on FITAT, Jilin, China, 18–20 July 2020; Springer: Berlin/Heidelberg, Germany, 2020; Volume 2, pp. 57–66. [Google Scholar]
- Kasman, Ş. Impact of parameters on the process response: A Taguchi orthogonal analysis for laser engraving. Measurement 2013, 46, 2577–2584. [Google Scholar] [CrossRef]
- Barshandeh, S.; Haghzadeh, M. A new hybrid chaotic atom search optimization based on tree-seed algorithm and Levy flight for solving optimization problems. Eng. Comput. 2021, 37, 3079–3122. [Google Scholar] [CrossRef]
- Singh, S.P.; Dhiman, G.; Viriyasitavat, W.; Kautish, S. A Novel Multi-Objective Optimization Based Evolutionary Algorithm for Optimize the Services of Internet of Everything. IEEE Access 2022, 10, 106798–106811. [Google Scholar] [CrossRef]
- Kocakulak, M.; Butun, I. An overview of Wireless Sensor Networks towards internet of things. In Proceedings of the 2017 IEEE 7th Annual Computing and Communication Workshop and Conference (CCWC), Las Vegas, NV, USA, 9–11 January 2017; pp. 1–6. [Google Scholar]
- Shobana, M.; Sabitha, R.; Karthik, S. An enhanced soft computing-based formulation for secure data aggregation and efficient data processing in large-scale wireless sensor network. Soft Comput. 2020, 24, 12541–12552. [Google Scholar] [CrossRef]
- Kaur, G.; Chanak, P. An energy aware intelligent fault detection scheme for IoT-enabled WSNs. IEEE Sensors J. 2022, 22, 4722–4731. [Google Scholar] [CrossRef]
- Widhalm, D.; Goeschka, K.M.; Kastner, W. A Review on Immune-Inspired Node Fault Detection in Wireless Sensor Networks with a Focus on the Danger Theory. Sensors 2023, 23, 1166. [Google Scholar] [CrossRef]
- Mahmood, T.; Li, J.; Pei, Y.; Akhtar, F.; Butt, S.A.; Ditta, A.; Qureshi, S. An intelligent fault detection approach based on reinforcement learning system in wireless sensor network. J. Supercomput. 2022, 78, 3646–3675. [Google Scholar] [CrossRef]
- Lu, H.; Li, Y.; Chen, M.; Kim, H.; Serikawa, S. Brain intelligence: Go beyond artificial intelligence. Mob. Netw. Appl. 2018, 23, 368–375. [Google Scholar] [CrossRef]
- Abdollahizad, S.; Balafar, M.A.; Feizizadeh, B.; Babazadeh Sangar, A.; Samadzamini, K. Using hybrid artificial intelligence approach based on a neuro-fuzzy system and evolutionary algorithms for modeling landslide susceptibility in East Azerbaijan Province, Iran. Earth Sci. Inform. 2021, 14, 1861–1882. [Google Scholar] [CrossRef]
- Cui, Y.; Liu, H.; Wang, Q.; Zheng, Z.; Wang, H.; Yue, Z.; Ming, Z.; Wen, M.; Feng, L.; Yao, M. Investigation on the ignition delay prediction model of multi-component surrogates based on back propagation (BP) neural network. Combust. Flame 2022, 237, 111852. [Google Scholar] [CrossRef]
- Fei, J.; Wu, Z.; Sun, X.; Su, D.; Bao, X. Research on tunnel engineering monitoring technology based on BPNN neural network and MARS machine learning regression algorithm. Neural Comput. Appl. 2021, 33, 239–255. [Google Scholar] [CrossRef]
- Elsheikh, A.H.; Sharshir, S.W.; Abd Elaziz, M.; Kabeel, A.; Guilan, W.; Haiou, Z. Modeling of solar energy systems using artificial neural network: A comprehensive review. Sol. Energy 2019, 180, 622–639. [Google Scholar] [CrossRef]
- Gonzalez, P.A.; Zamarreno, J.M. Prediction of hourly energy consumption in buildings based on a feedback artificial neural network. Energy Build. 2005, 37, 595–601. [Google Scholar] [CrossRef]
- Ghanizadeh, A.R.; Heidarabadizadeh, N.; Jalali, F. Artificial neural network back-calculation of flexible pavements with sensitivity analysis using Garson’s and connection weights algorithms. Innov. Infrastruct. Solut. 2020, 5, 63. [Google Scholar] [CrossRef]
- Amutha, J.; Sharma, S.; Nagar, J. WSN strategies based on sensors, deployment, sensing models, coverage and energy efficiency: Review, approaches and open issues. Wirel. Pers. Commun. 2020, 111, 1089–1115. [Google Scholar] [CrossRef]
- Huanan, Z.; Suping, X.; Jiannan, W. Security and application of wireless sensor network. Procedia Comput. Sci. 2021, 183, 486–492. [Google Scholar] [CrossRef]
- Jaint, B.; Indu, S.; Pandey, N.; Pahwa, K. Malicious node detection in wireless sensor networks using support vector machine. In Proceedings of the 2019 3rd International Conference on Recent Developments in Control, Automation & Power Engineering (RDCAPE), Noida, India, 10–11 October 2019; pp. 247–252. [Google Scholar]
- Adday, G.H.; Subramaniam, S.K.; Zukarnain, Z.A.; Samian, N. Fault Tolerance Structures in Wireless Sensor Networks (WSNs): Survey, Classification, and Future Directions. Sensors 2022, 22, 6041. [Google Scholar] [CrossRef]
- Wankhede, V.; Jagetiya, D.; Joshi, A.; Chaudhari, R. Experimental investigation of FDM process parameters using Taguchi analysis. Mater. Today Proc. 2020, 27, 2117–2120. [Google Scholar] [CrossRef]
- Zhou, B.; Lei, Y. Bi-objective grey wolf optimization algorithm combined Levy flight mechanism for the FMC green scheduling problem. Appl. Soft Comput. 2021, 111, 107717. [Google Scholar] [CrossRef]
- Younis, M.; Senturk, I.F.; Akkaya, K.; Lee, S.; Senel, F. Topology management techniques for tolerating node failures in wireless sensor networks: A survey. Comput. Netw. 2014, 58, 254–283. [Google Scholar] [CrossRef]
- Suthaharan, S.; Alzahrani, M.; Rajasegarar, S.; Leckie, C.; Palaniswami, M. Labelled data collection for anomaly detection in wireless sensor networks. In Proceedings of the 2010 Sixth International Conference on Intelligent Sensors, Sensor Networks and Information Processing, Brisbane, QLD, Australia, 7–10 December 2010; pp. 269–274. [Google Scholar]
- Chen, J.; Liu, G.; Zhong, G.; Geng, J. WOA-GSK-ELMAN: An Intelligent Atmospheric Temperature Prediction Model. In Proceedings of the 2022 China Automation Congress (CAC), Xiamen, China, 25–27 November 2022; pp. 2885–2889. [Google Scholar] [CrossRef]
Disclaimer/Publisher’s Note: The statements, opinions and data contained in all publications are solely those of the individual author(s) and contributor(s) and not of MDPI and/or the editor(s). MDPI and/or the editor(s) disclaim responsibility for any injury to people or property resulting from any ideas, methods, instructions or products referred to in the content. |
© 2023 by the authors. Licensee MDPI, Basel, Switzerland. This article is an open access article distributed under the terms and conditions of the Creative Commons Attribution (CC BY) license (https://creativecommons.org/licenses/by/4.0/).










