Heat and Mass Transport in Casson Nanofluid Flow over a 3-D Riga Plate with Cattaneo-Christov Double Flux: A Computational Modeling through Analytical Method
Abstract
1. Introduction
2. Flow Analysis
3. Solution Process
4. Correlation Analysis
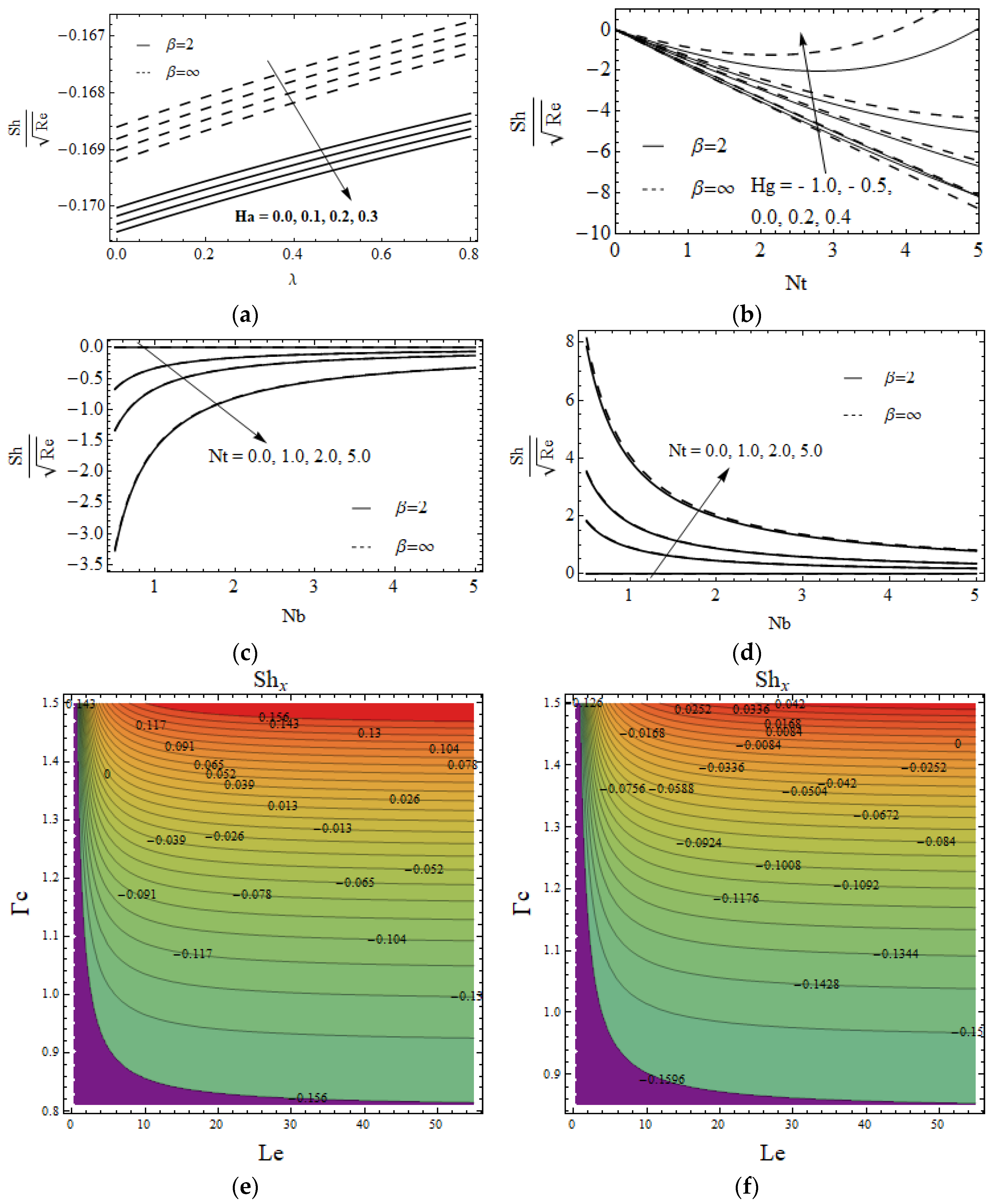
5. Computational Results and Discussion
6. Conclusions
- The skin friction rate in direction enhances and in direction decays when enhancing the modified Hartman number.
- The larger skin friction rate occurs in viscous nanofluid than the Casson nanofluid.
- Thermal layer thickness amplifies with an augmented value of .
- A larger value of upsurges in the thermal layer in the case of while the thermal layer reduces with a larger value of for .
- The thermal relaxation parameter improves the local Nusselt number for both fluids.
- In the future, we will extend this work with the Tiwari and Das model with a hybrid nanofluid case.
Author Contributions
Funding
Data Availability Statement
Acknowledgments
Conflicts of Interest
Nomenclature
| ,b | Constants |
| Biot number | |
| Concentration | |
| Ambient concentration | |
| Surface concentration of nanoparticles | |
| Specific heat | |
| Skin friction in -direction | |
| Skin friction in -direction | |
| Brownian diffusion coefficient | |
| Thermophoretic diffusion coefficient | |
| Velocity similarity function in | |
| Velocity similarity function in | |
| Heat generation/absorption parameter | |
| Thermal conductivity | |
| Permeability of the porous medium | |
| Lewis number | |
| Brownian motion parameter | |
| Thermophoresis parameter | |
| Local Nusselt number | |
| Prandtl number | |
| Re | Reynolds number |
| Modified Hartmann number | |
| Fr | |
| Heat generation/absorption coefficient | |
| Local Sherwood number | |
| Temperature | |
| Surface temperature of nanoparticles | |
| Ambient temperature | |
| Velocity of the sheet | |
| Velocity components | |
| Cartesian coordinates | |
| Greeks | |
| Casson fluid parameter | |
| Viscoelastic parameter | |
| Concentration similarity function | |
| Stretching ratio | |
| Similarity parameter | |
| Porous parameter | |
| Kinematic viscosity | |
| Ratio of the effective heat capacity | |
| Temperature similarity function | |
| Density | |
| Electrical conductivity | |
| BM | Brownian movement |
| CNF | Casson nanofluid |
| VNF | Viscous nanofluid |
| RP | Riga Plate |
| LLN | Local Nusselt number |
| LSN | Local Sherwood Number |
| SP | Sationary Plate |
| DF | Darcy-Forchheimer |
| CCHF | Cattaneo-Christov heat flux |
| NPVF | Nanoparticle volume fraction |
| SS | Stretching sheet |
| CCHD | Cattaneo-Christov heat diffusion |
References
- Choi, S.U.; Eastman, J.A. Enhancing thermal conductivity of fluids with nanoparticles. ASME Fluids Eng. Div. 1995, 231, 99–105. [Google Scholar]
- Das, K. Nanofluid flow over a non-linear permeable stretching sheet with partial slip. J. Egypt. Math. Soc. 2015, 23, 451–456. [Google Scholar] [CrossRef]
- Kuznetsov, A.V.; Nield, D.A. Natural convective boundary layer flow of a nanofluid past a vertical plate. Int. J. Therm. Sci. 2010, 49, 243–247. [Google Scholar] [CrossRef]
- Hamad, M.A.A.; Pop, I.; Ismail, A.M. Magnetic field effects on free convection flow of a nanofluid past a vertical semi-infinite at plate. Nonlinear Anal. Real World Appl. 2011, 12, 13381346. [Google Scholar] [CrossRef]
- Nadeem, S.; Haq, R.U.; Khan, Z.H. Numerical solution of non-Newtonian nanofluid flow over a stretching sheet. Appl. Nanosci. 2014, 4, 625631. [Google Scholar] [CrossRef]
- Khan, W.A.; Pop, I. Boundary-layer flow of a nanofluid past a stretching sheet. Int. Heat Mass Transf. 2010, 53, 2477–2483. [Google Scholar] [CrossRef]
- Sajid, T.; Jamshed, W.; Eid, M.R.; Altamirano, G.C.; Aslam, F.; Alanzi, A.M.; Abd-Elmonem, A. Magnetized Cross tetra hybrid nanofluid passed a stenosed artery with nonuniform heat source (sink) and thermal radiation: Novel tetra hybrid Tiwari and Das nanofluid model. J. Magn. Magn. Mater. 2023, 569, 170443. [Google Scholar] [CrossRef]
- Sajid, T.; Jamshed, W.; Ibrahim, R.W.; Eid, M.R.; Abd-Elmonem, A.; Arshad, M. Quadratic regression analysis for nonlinear heat source/sink and mathematical Fourier heat law influences on Reiner-Philippoff hybrid nanofluid flow applying Galerkin finite element method. J. Magn. Magn. Mater. 2023, 568, 170383. [Google Scholar] [CrossRef]
- Hassani, M.; Tabar, M.M.; Nemati, H.; Domairry, G.; Noori, F. An analytical solution for boundary layer flow of a nanofluid past a stretching sheet. Int. J. Therm. Sci. 2011, 50, 2256–2263. [Google Scholar] [CrossRef]
- Sriramalu, A.; Kishan, N.; Anand, R.J. Steady Flow and heat transfer of a viscous incompressible fluid flow through porous medium over a stretching sheet. J. Energy Heat Mass Transf. 2001, 23, 483495. [Google Scholar]
- Liu, I.C. Flow and heat transfer of viscous fluid saturated in porous media over a permeable non-isothermal stretching sheet. Transp. Porous Media 2006, 64, 375–392. [Google Scholar] [CrossRef]
- Nadeem, S.; Haq, R.U.; Akbar, N.S.; Khan, Z.H. MHD three-dimensional Casson fluid flow past a porous linearly stretching sheet. Alex. Eng. J. 2013, 52, 577682. [Google Scholar] [CrossRef]
- Pramanik, S. Casson fluid flow and heat transfer past an exponentially porous stretching surface in presence of thermal radiation. Ain Shams Eng. J. 2014, 5, 205–212. [Google Scholar] [CrossRef]
- Mahanta, G.; Shaw, S. Three-dimensional Casson fluid flow past a porous linearly stretching sheet with convective boundary conditions. Alex. Eng. J. 2015, 54, 653–6599. [Google Scholar] [CrossRef]
- Abbas, T.; Bhatti, M.M.; Ayub, M. Aiding and opposing of mixed convection Casson nanofluid flow with chemical reactions through a porous Riga plate. Proc. Inst. Mech. Eng. Part E J. Process Mech. Eng. 2017, 232, 519–527. [Google Scholar] [CrossRef]
- Zubair, M.; Shah, Z.; Islam, S.; Khan, W.; Dawar, A. Study of three dimensional Darcy Forchheimer squeezing nanofluid flow with Cattaneo-Christov heat flux based on four different types of nanoparticles through entropy generation analysis. Adv. Mech. Eng. 2019, 11, 117. [Google Scholar] [CrossRef]
- Abbas, S.Z.; Khan, W.A.; Kadry, S.; Ijaz, M.; Khan Waqas, M.; Khan, M.I. Entropy optimized Darcy Forchheimernanouid (Silicon dioxide, Molybdenum disulfide) subject to temperature dependent viscosity. Comput. Methods Programs Biomed. 2020, 190, 105363. [Google Scholar] [CrossRef]
- Ahmad, M.W.; Kumam, P.; Shah, Z.; Farooq, A.A.; Nawaz, R.; Dawar, A.; Islam, S.; Thounthong, P. Darcy Forchheimer MHD couple stress 3D nanofluid over an exponentially stretching sheet through Cattaneo-Christov convective heat flux with zero nanoparticles mass flux conditions. Entropy 2019, 21, 867. [Google Scholar] [CrossRef]
- Thamaraikannan, N.; Karthikeyan, S.; Chaudhary, D.K.; Kayikci, S. Analytical investigation of magnetohydrodynamic non-Newtonian type Casson nanofluid flow past a porous channel with periodic body acceleration. Complexity 2021, 2021, 7792422. [Google Scholar] [CrossRef]
- Reddy, P.B.A. Magnetohydrodynamic flow of a Casson fluid over an exponentially inclined permeable stretching surface with thermal radiation and chemical reaction. Mech. Eng. 2017, 232, 519–527. [Google Scholar] [CrossRef]
- Hayat, T.; Bilal Ashraf, M.; Shehzad, S.A.; Alsaedi, A. Mixed convection ow of Casson nanofluid over a stretching sheet with convectively heated chemical reaction and heat source/sink. J. Appl. Fluid Mech. 2015, 8, 803–813. [Google Scholar]
- Abolbashari, M.H.; Freidoonimehr, N.; Nazari, F.; Rashidi, M.M. Analytical modeling of entropy generation for Cassonnano-fluid flow induced by a stretching surface. Adv. Powder Technol. 2015, 26, 542–552. [Google Scholar] [CrossRef]
- Al-Zubaidi, A.; Nazeer, M.; Saleem, S.; Hussain, F.; Ahmad, F. Flow of nanofluid towards a Riga surface with heat and mass transfer under the effects of activation energy and thermal radiation. Int. J. Mod. Phys. B 2021, 35, 2150266. [Google Scholar] [CrossRef]
- Vaidya, H.; Prasad, K.V.; Tlili, I.; Makinde, O.D.; Rajashekhar, C.; Khan, S.U.; Kumar, R.; Mahendra, D.L. Mixed convective nanofluid flow over a non-linearly stretched Riga plate. Case Stud. Therm. Eng. 2021, 24, 100828. [Google Scholar] [CrossRef]
- Rafique, K.; Alotaibi, H.; Ibrar, N.; Khan, I. Stratified flow of micropolar nanofluid over Riga plate: Numerical analysis. Energies 2022, 15, 316. [Google Scholar] [CrossRef]
- Prasad, K.V.; Vaidya, H.; Mebarek-Oudina, F.; Choudhari, R.; Nisar, K.S.; Jamshed, W. Impact of surface temperature and convective boundary conditions on a nanofluid flow over a radially stretched Riga plate. Proc. Inst. Mech. Eng. Part E J. Process Mech. Eng. 2022, 236, 942–952. [Google Scholar] [CrossRef]
- Darvesh, A.; Wahab, H.A.; Sarakorn, W.; Sánchez-Chero, M.; Apaza, O.A.; Villarreyes, S.S.C.; Palacios, A.Z. Infinite shear rate viscosity of cross model over Riga plate with entropy generation and melting process: A numerical Keller box approach. Results Eng. 2023, 17, 100942. [Google Scholar] [CrossRef]
- Divya, S.; Eswaramoorthi, S.; Loganathan, K. Numerical computation of Ag/Al2O3 nanofluid over a Riga plate with heat sink/source and non-Fourier heat flux model. Math. Comput. Appl. 2023, 28, 20. [Google Scholar] [CrossRef]
- Ahmad, A.; Asghar, S.; Afzal, S. Flow of nanofluid past a Riga plate. J. Magn. Magn. Mater. 2016, 402, 44–48. [Google Scholar] [CrossRef]
- Al-Kouz, W.; Owhaib, W. Numerical analysis of Casson nanofluid three-dimensional flow over a rotating frame exposed to a prescribed heat flux with viscous heating. Sci. Rep. 2022, 12, 4256. [Google Scholar] [CrossRef]
- Muhammad, T.; Alsaedi, A.; Hayat, T.; Shehzad, S.A. A revised model for Darcy-Forchheimer three-dimensional flow of nanofluid subject to convective boundary condition. Results Phys. 2017, 7, 2791–2797. [Google Scholar] [CrossRef]










| Order | ||||
|---|---|---|---|---|
| 1 | 0.918333 | 0.435833 | 0.333333 | 0.166667 |
| 5 | 0.925136 | 0.440945 | 0.340580 | 0.170290 |
| 10 | 0.925015 | 0.441018 | 0.339931 | 0.169966 |
| 15 | 0.925015 | 0.441018 | 0.339958 | 0.169979 |
| 20 | 0.925015 | 0.441018 | 0.339958 | 0.169979 |
| 25 | 0.925015 | 0.441018 | 0.339958 | 0.169979 |
| 30 | 0.925015 | 0.441018 | 0.339958 | 0.169979 |
| 35 | 0.925015 | 0.441018 | 0.339958 | 0.169979 |
| 40 | 0.925015 | 0.441018 | 0.339958 | 0.169979 |
| Present Study | Muhammad et al. [31] | ||||||||
|---|---|---|---|---|---|---|---|---|---|
| 0.0 | 0.1 | 0.2 | 0.3 | 0.2 | 0.5 | 1 | 1 | 0.204499 | 0.20448 |
| 0.2 | 0.202543 | 0.20248 | |||||||
| 0.5 | 0.199988 | 0.19970 | |||||||
| 0.2 | 0 | 0.2 | 0.3 | 0.2 | 0.5 | 1 | 1 | 0.202832 | 0.20278 |
| 0.2 | 0.202261 | 0.20220 | |||||||
| 0.4 | 0.201715 | 0.20164 | |||||||
| 0.2 | 0.1 | 0 | 0.3 | 0.2 | 0.5 | 1 | 1 | 0.194819 | 0.19458 |
| 0.3 | 0.205636 | 0.20560 | |||||||
| 0.5 | 0.201081 | 0.21080 | |||||||
| 0.2 | 0.1 | 0.2 | 0.2 | 0.2 | 0.5 | 1 | 1 | 0.151507 | 0.15148 |
| 0.5 | 0277074 | 0.27696 | |||||||
| 1 | 0.382155 | 0.38194 | |||||||
| 0.2 | 0.1 | 0.2 | 0.3 | 0 | 0.5 | 1 | 1 | 0.203088 | 0.20306 |
| 0.5 | 0.201711 | 0.20159 | |||||||
| 1 | 0.200281 | 0.20004 | |||||||
| 0.2 | 0.1 | 0.2 | 0.3 | 0.2 | 0 | 1 | 1 | 0.202543 | 0.20248 |
| 0.5 | 0.202543 | 0.20248 | |||||||
| 1 | 0.202543 | 0.20248 | |||||||
| 0.2 | 0.1 | 0.2 | 0.3 | 0.2 | 0.5 | 0 | 1 | 0.167990 | 0.16685 |
| 0.5 | 0.202543 | 0.20248 | |||||||
| 1 | 0.219363 | 0.21949 | |||||||
| 0.2 | 0.1 | 0.2 | 0.3 | 0.2 | 0.5 | 1 | 0 | 0.202752 | 0.20271 |
| 0.5 | 0.202543 | 0.20248 | |||||||
| 1 | 0.202395 | 0.20234 | |||||||
| CNF | VNF | ||||||||
|---|---|---|---|---|---|---|---|---|---|
| 0.0 | 0.1 | 0.2 | 0.1 | 0.5 | −0.5 | 0.338869 | −0.169434 | 0.336420 | −0.168210 |
| 0.1 | 0.339958 | −0.169979 | 0.337334 | −0.168667 | |||||
| 0.2 | 0.341138 | −0.170569 | 0.338314 | −0.169157 | |||||
| 0.3 | 0.342452 | −0.171226 | 0.339365 | −0.169683 | |||||
| 0.4 | 0.344002 | −0.172001 | 0.340503 | −0.170252 | |||||
| 0.1 | 0 | 0.2 | 0.1 | 0.5 | −0.5 | 0.339957 | −0.169978 | 0.337336 | −0.168668 |
| 0.1 | 0.339958 | −0.169979 | 0.337334 | −0.168667 | |||||
| 0.2 | 0.339965 | −0.169982 | 0.337332 | −0.168666 | |||||
| 0.3 | 0.339981 | −0.169990 | 0.337332 | −0.168666 | |||||
| 0.4 | 0.340014 | −0.170007 | 0.337336 | −0.168662 | |||||
| 0.1 | 0.1 | 0.5 | 0.1 | 0.5 | −0.5 | 0.339958 | −0.067992 | 0.337334 | −0.067467 |
| 1 | 0.339958 | −0.033996 | 0.337334 | −0.033733 | |||||
| 1.5 | 0.339958 | −0.022664 | 0.337334 | −0.022489 | |||||
| 2 | 0.339958 | −0.016998 | 0.337334 | −0.016867 | |||||
| 2.5 | 0.339958 | −0.013598 | 0.337334 | −0.013493 | |||||
| 0.1 | 0.1 | 0.2 | 0 | 0.5 | −0.5 | 0.340194 | 0.000000 | 0.337581 | 0.000000 |
| 0.3 | 0.339483 | −0.509225 | 0.336838 | −0.505257 | |||||
| 0.5 | 0.339004 | −0.847509 | 0.336338 | −0.840845 | |||||
| 0.8 | 0.338277 | −1.353110 | 0.335581 | −1.342320 | |||||
| 1 | 0.337788 | −1.688940 | 0.335071 | −1.675360 | |||||
| 0.1 | 0.1 | 0.2 | 0.1 | 0.5 | −0.5 | −0.938068 | 0.469034 | −0.958026 | 0.479013 |
| 0.3 | −0.417310 | 0.208655 | −0.421272 | 0.210636 | |||||
| 0 | 0.000000 | 0.000000 | 0.000000 | 0.000000 | |||||
| 0.5 | 0.233960 | −0.116980 | 0.232716 | −0.116358 | |||||
| 0.3 | 0.339958 | −0.169979 | 0.337334 | −0.168667 | |||||
| 0.1 | 0.1 | 0.2 | 0.1 | 0.5 | −0.5 | 0.339958 | −0.169979 | 0.337334 | −0.168667 |
| −0.3 | 0.329027 | −0.164513 | 0.325349 | −0.162675 | |||||
| 0 | 0.305975 | −0.152987 | 0.298929 | −0.149465 | |||||
| 0.5 | 0.265742 | −0.132871 | 0.244510 | −0.122255 | |||||
| 0.3 | 0.209128 | −0.104564 | 0.133063 | −0.066530 | |||||
Disclaimer/Publisher’s Note: The statements, opinions and data contained in all publications are solely those of the individual author(s) and contributor(s) and not of MDPI and/or the editor(s). MDPI and/or the editor(s) disclaim responsibility for any injury to people or property resulting from any ideas, methods, instructions or products referred to in the content. |
© 2023 by the authors. Licensee MDPI, Basel, Switzerland. This article is an open access article distributed under the terms and conditions of the Creative Commons Attribution (CC BY) license (https://creativecommons.org/licenses/by/4.0/).
Share and Cite
Loganathan, K.; Eswaramoorthi, S.; Chinnasamy, P.; Jain, R.; Sivasakthivel, R.; Ali, R.; Devi, N.N. Heat and Mass Transport in Casson Nanofluid Flow over a 3-D Riga Plate with Cattaneo-Christov Double Flux: A Computational Modeling through Analytical Method. Symmetry 2023, 15, 725. https://doi.org/10.3390/sym15030725
Loganathan K, Eswaramoorthi S, Chinnasamy P, Jain R, Sivasakthivel R, Ali R, Devi NN. Heat and Mass Transport in Casson Nanofluid Flow over a 3-D Riga Plate with Cattaneo-Christov Double Flux: A Computational Modeling through Analytical Method. Symmetry. 2023; 15(3):725. https://doi.org/10.3390/sym15030725
Chicago/Turabian StyleLoganathan, Karuppusamy, S. Eswaramoorthi, P. Chinnasamy, Reema Jain, Ramkumar Sivasakthivel, Rifaqat Ali, and N. Nithya Devi. 2023. "Heat and Mass Transport in Casson Nanofluid Flow over a 3-D Riga Plate with Cattaneo-Christov Double Flux: A Computational Modeling through Analytical Method" Symmetry 15, no. 3: 725. https://doi.org/10.3390/sym15030725
APA StyleLoganathan, K., Eswaramoorthi, S., Chinnasamy, P., Jain, R., Sivasakthivel, R., Ali, R., & Devi, N. N. (2023). Heat and Mass Transport in Casson Nanofluid Flow over a 3-D Riga Plate with Cattaneo-Christov Double Flux: A Computational Modeling through Analytical Method. Symmetry, 15(3), 725. https://doi.org/10.3390/sym15030725

