Thermodynamics of the Acceleration of the Universe in the κ(R, T) Gravity Model
Abstract
1. Introduction
2. Formulation of Gravity
Equation of State Parameter
3. Generalized Energy Conditions
4. Statefinder
5. Thermodynamics
6. Cosmological Model with Observational Constraints
6.1. Observational Hubble Data
6.2. Pantheon Data
7. Cosmological Parameters
7.1. Energy Conditions
7.2. Statefinders
8. Conclusions
- We examined how much the DP reveals about the current acceleration of the Universe. The Hubble parameter and the DP are crucial parameters that may be utilized to describe the geometrical characteristics of the cosmos. Since , the expansion of the cosmos is symbolized as . The evolution of q versus t is depicted in Figure 1. Our model lies in an accelerating phase at present.
- From the behavior of the EoS parameter, it is observed that lies in the quintessence region for ; for , the approaches the CDM point; for , the model lies in a phantom region (see Figure 3).
- All energy conditions, with the exception of the SEC, are satisfied in both the early- and late-time stages, according to our analysis of the energy conditions for all three types of models . According to recent results for the accelerating Universe, the SECs must be violated on a cosmological scale (see Figure 4a–d).
- In the case of gravity theory, the statefinders play a significant role. Our findings are described in Figure 6a–c, demonstrating that , , and are good diagnostics of dark energy. Figure 5a depicts that the model converges to the fixed point (CDM), but also traverses the Chaplygin gas and quintessence regions (see, Figure 5a–c).
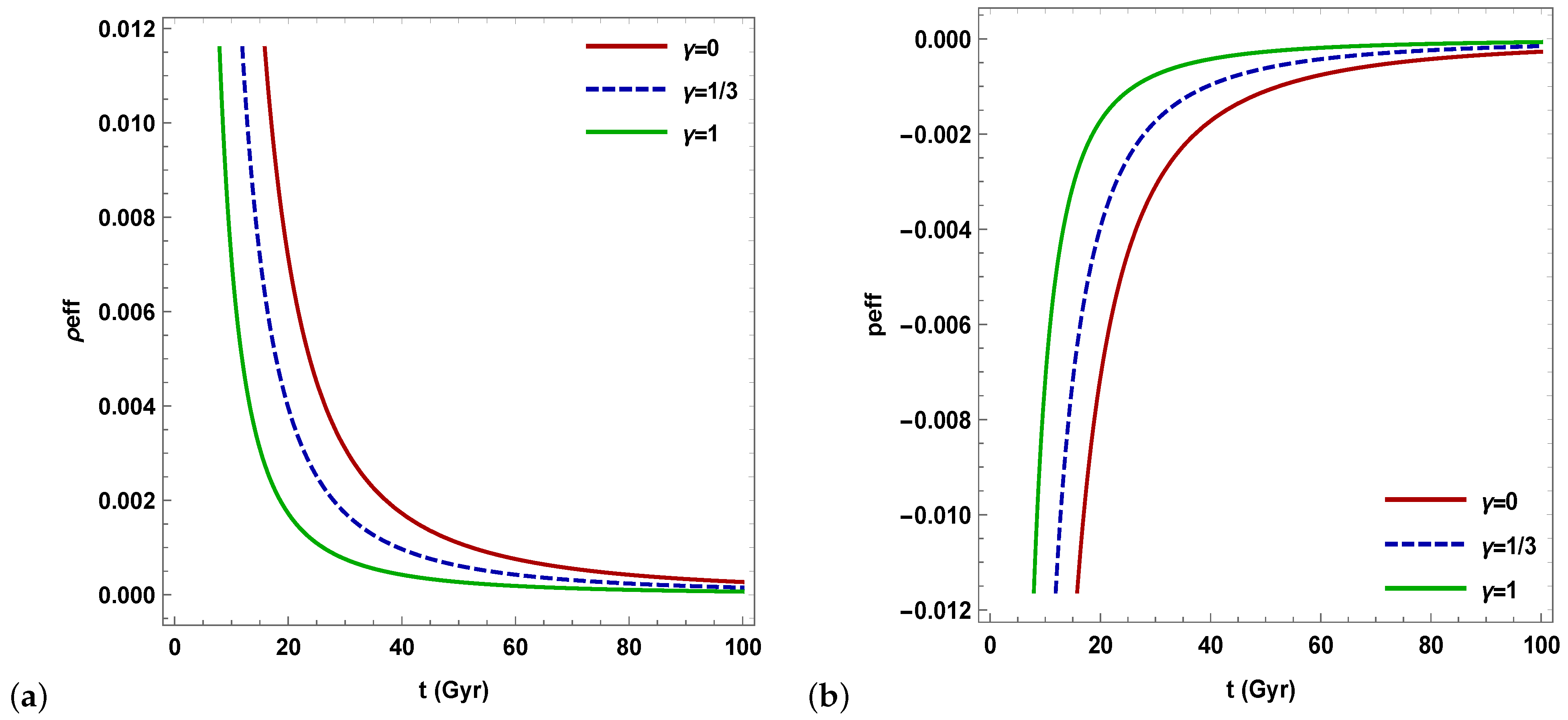
- From a thermodynamic perspective, we observed that the temperature of our model is decreasing with time and that the entropy density is positive (see, Figure 6a,b).
- In Figure 7, the 2D contour plots show the best-fit values of and from the EMCEE codes for the OHD, Pantheon, and OHD+Pantheon datasets. Similarly, Figure 8 and Figure 9 for H(z) and show how well our model fits the data and how it compares to the CDM model. They also show the error bars for the 57 points and 1048 points of the Hubble datasets and Pantheon datasets that were used. We can see the our model is accelerated (see Figure 10a) and the behavior of the density and pressure are the standard ones (see Figure 10b,c). The EoS parameter lies in the phantom region, which indicates an accelerating phase (see Figure 10d). The plots of the energy conditions in Figure 11 show that the WECs and DECs are met, but the NECs and SECs are not. The SECs’ discrepancy correlates with the acceleration of cosmic expansion. The nature of the dark energy concept is seen in Figure 12. The derived model is now in the quintessence area and shows the CDM point in (), but it will deviate significantly from the CDM model in the future ().
Author Contributions
Funding
Data Availability Statement
Acknowledgments
Conflicts of Interest
Appendix A
References
- Riess, A.; Filippenko, A.V.; Challis, P.; Clocchiattia, A.; Diercks, A.; Garnavich, P.M.; Gilliland, R.L.; Hogan, C.J.; Jha, S.; Kirshner, R.P.; et al. Observational Evidence from Supernovae for an Accelerating Universe and a Cosmological Constant. Astron. J. 1998, 116, 1009–1038. [Google Scholar] [CrossRef]
- Perlmutter, S.; Aldering, G.; Goldhaber, G.; Knop, R.A.; Nugent, P.; Castro, P.G.; Deustua, S.; Fabbro, S.; Goobar, A.; Groom, D.E.; et al. Measurements of Ω and Λ from 42 High-redshift Supernovae. Astrophys. J. 1999, 517, 565–586. [Google Scholar] [CrossRef]
- Astier, P.; Guy, J.; Regnault, N.; Pain, R.; Aubourg, E.; Balam, D.; Basa, S.; Carlberg, R.G.; Fabbro, S.; Fouchez, D.; et al. The Supernova Legacy Survey: Measurement of Ωm, ΩΛ and ω from the First Year Data Set. Astron. Astrophys. 2006, 447, 31–48. [Google Scholar] [CrossRef]
- Zel’dovich, Y.B. The Cosmological Constant and the Theory of Elementary Particles. Sov. Phys. Usp. 1968, 11, 381–393. [Google Scholar] [CrossRef]
- Turner, M.S.; Huterer, D.S. Cosmic Acceleration, Dark Energy, and Fundamental Physics. J. Phys. Soc. Jpn. 2007, 76, 111015. [Google Scholar] [CrossRef]
- Knop, R.A.; Aldering, G.; Amanullah, R.; Astier, P.; Blanc, G.; Burns, M.S.; Conley, A.; Deustua, S.E.; Doi, M.; Ellis, R.; et al. New Constraints on ΩM, ΩΛ, and ω from an Independent Set of Eleven High-Redshift Supernovae Observed with HST. Astrophys. J. 2003, 598, 102–137. [Google Scholar] [CrossRef]
- Capozziello, S.; Vignolo, S. On the Well-formulation of the Initial Value Problem of Metric-affine f (R)-Gravity. Int. J. Geom. Methods Mod. Phys. 2009, 6, 985. [Google Scholar] [CrossRef]
- Nojiri, S.; Odintsov, S.D. Unified Cosmic History in Modified Gravity: From f (R) theory to Lorentz noninvariant models. Phys. Rep. 2011, 505, 59. [Google Scholar] [CrossRef]
- Cai, Y.F.; Capozziello, S.; De Laurentis, M.; Saridakis, E.N. f (T) Teleparallel Gravity and Cosmology. Rep. Prog. Phys. 2016, 79, 106901. [Google Scholar] [CrossRef]
- Pradhan, A.; Dixit, A.; Varshney, G. LRS Bianchi type-I Cosmological Models with Periodic Time Varying Deceleration Parameter in f (R, T) Gravity. Int. J. Mod. Phys. A 2022, 37, 2250121. [Google Scholar] [CrossRef]
- Zubair, M.; Zeeshan, M.; Hasan, S.S.; Oikonomou, V.K. Impact of Collisional Matter on the Late-time Dynamics of f (R, T) gravity. Symmetry 2018, 10, 463. [Google Scholar] [CrossRef]
- Sharma, U.K.; Kumar, M.; Varshney, G. Scalar Field Models of Barrow Holographic Dark Energy in f (R, T) Gravity. Universe 2022, 8, 642. [Google Scholar] [CrossRef]
- Bamba, K.; Odintsov, S.D.; Sebastiani, L.; Zerbini, S. Finite-time Future Singularities in Modified Gauss-Bonnet and F(R, G) Gravity and Singularity Avoidance. Eur. Phys. J. C 2010, 67, 295. [Google Scholar] [CrossRef]
- Tangphati, T.; Pradhan, A.; Errehymy, A.; Banerjee, A. Quark Stars in the Einstein-Gauss-Bonnet theory: A New Branch of Stellar Configurations. Ann. Phys. 2021, 430, 168498. [Google Scholar] [CrossRef]
- Naicker, S.; Maharaj, S.D.; Brassel, B.P. Isotropic perfect fluids in modified gravity. Universe 2023, 9, 47. [Google Scholar] [CrossRef]
- Shekh, S.H.; Moraes, P.H.R.S.; Sahoo, P.K. Physical Acceptability of the Renyi, Tsallis and Sharma-Mittal Holographic Dark Energy Models in the f (T, B) Gravity under Hubble’s Cutoff. Universe 2022, 7, 67. [Google Scholar] [CrossRef]
- Dixit, A.; Pradhan, A. Bulk viscous FLRW model with Observational Constraints in f (T, B) Gravity. Universe 2022, 8, 650. [Google Scholar] [CrossRef]
- Godani, N.; Samanta, G.C. FRW Cosmology in f (Q, T) Gravity. Int. J. Geom. Methods Mod. Phys. 2021, 18, 2150134. [Google Scholar] [CrossRef]
- Pradhan, A.; Dixit, A. The Models of Transit Cosmology along with Observational Constriction in f (Q, T) Gravity. Int. J. Geom. Methods Mod. Phys. 2021, 18, 2150159. [Google Scholar] [CrossRef]
- Sharma, U.K.; Shweta; Mishra, A.K. Traversable wormhole solutions with non-exotic fluid in framework of f (Q) gravity. Int. J. Geom. Methods Mod. Phys. 2022, 19, 2250019. [Google Scholar] [CrossRef]
- Pradhan, A.; Dixit, A.; Maurya, D.C. Quintessence Behaviour of an Anisotropic Bulk Viscous Cosmological Model in Modified f(Q)-gravity. Symmetry 2022, 14, 2630. [Google Scholar] [CrossRef]
- Shekh, S.H.; Myrzakulov, N.; Pradhan, A.; Mussatayera, A. Observational constraints on F(T, TG) gravity with Hubble parametrization. Symmetry 2023, 15, 321. [Google Scholar] [CrossRef]
- Linder, E.V. Einstein’s other Gravity and the Acceleration of the Universe. Phys. Rev. D 2010, 81, 127301. [Google Scholar] [CrossRef]
- Capozziello, S.; Carloni, S.; Troisi, A. Quintessence without Scalar Fields. Recent Res. Dev. Astron. Astrophys. 2003, 1, 625. [Google Scholar]
- Harko, T.; Lobo, F.S.N.; Nojiri, S.; Odintsov, S.D. f (R, T) Gravity. Phys. Rev. D 2011, 84, 024020. [Google Scholar] [CrossRef]
- Nojiri, S.; Odintsov, S.D.; Oikonomou, V.K. Modified Gravity Theories on a Nutshell: Inflation, Bounce and Late-time Evolution. Phys. Rep. 2017, 692, 1–104. [Google Scholar] [CrossRef]
- Teruel, G.R.P. κ(R, T) Gravity. Europhys. J. C 2018, 78, 660. [Google Scholar]
- Ahmed, N.; Pradhan, A. Probing Cosmic Acceleration in κ(R, T) Gravity. Indian J. Phys. 2022, 96, 301–307. [Google Scholar] [CrossRef]
- Nojiri, S.; Odintsov, S.D. Modified f (R) Gravity consistent with Realistic Cosmology: From a Matter Dominated Epoch to a Dark Energy Universe. Phys. Rev. D 2006, 74, 086005. [Google Scholar] [CrossRef]
- Rastall, P. Generalization of the Einstein Theory. Phys. Rev. D 1972, 6, 3357. [Google Scholar] [CrossRef]
- Einstein, A. Die Feldgleichungen der Gravitation; Sitzungsberichte der PreussischenAkademie der Wissenschaften: Berlin, Germany, 1915; pp. 844–847. [Google Scholar]
- Renn, J.; Schemmel, M. The Genesis of General Relativity; Springer: Berlin/Heidelberg, Germany, 2007. [Google Scholar]
- Hilbert, D. Die Grundlagen der Physik. Konigl. Gesell. d. Wiss. Göttingen. Nachr. Math.-Phys. Kl. 1915, 1915, 395–407. [Google Scholar]
- Maxwell, J.C. On physical lines of force. Philos. Mag. 1861, 90, 11–23. [Google Scholar] [CrossRef]
- Bennett, C.L.; Halpern, M.; Hinshaw, G.; Jarosik, N.; Kogut, A.; Limon, M.; Meyer, S.S.; Page, L.; Spergel, D.N.; Tucker, G.S.; et al. First year Wilkinson Microwave Anisotropy Probe (WMAP) Observations: Preliminary Maps and Basic Results. Astrophys. J. Suppl. 2003, 148, 1. [Google Scholar] [CrossRef]
- Beck, C. Axiomatic approach to the cosmological constant. Phys. A 2009, 388, 3384. [Google Scholar] [CrossRef]
- We, H.; Zou, X.B.; Li, H.Y.; Xue, D.Z. Cosmological constant, fine structure constant and beyond. Eur. Phys. J. C 2017, 77, 14. [Google Scholar] [CrossRef]
- Wang, P.; Meng, X.H. Can vacuum decay in our Universe? Class. Quantum Gravity 2005, 22, 283. [Google Scholar] [CrossRef]
- Overduin, J.M.; Cooperstock, F.I. Evolution of the scale factor with a variable cosmological term. Phys. Rev. D 1998, 58, 043506. [Google Scholar] [CrossRef]
- Overduin, J.M.; Wesson, P.S. Dark Matter and Background Light. Phys. Rep. 2004, 402, 267. [Google Scholar] [CrossRef]
- Carvalho, J.C.; Lima, J.A.S.; Waga, I. Cosmological consequences of a time-dependent Λ term. Phys. Rev. D 1992, 46, 2404. [Google Scholar] [CrossRef]
- Dixit, A.; Pradhan, A.; Chaubey, R. Cosmological Scenario in κ(R, T) Gravity. Int. J. Geom. Methods Mod. Phys. 2022, 19, 2250013. [Google Scholar] [CrossRef]
- Wang, B.; Gong, Y.; Abdalla, E. Thermodynamics of an Accelerated Expanding Universe. Phys. Rev. D 2006, 74, 083520. [Google Scholar] [CrossRef]
- Ade, P.A.R.; Aghanim, N.; Arnaud, M.; Ashdown, M.; Aumont, J.; Baccigalupi, C.; Banday, A.J.; Barreiro, R.B.; Bartolo, N.; Battaner, P.; et al. Planck 2015 results XIV. Dark energy and modified gravity. Astron. Astrophys. 2016, 594, A14. [Google Scholar]
- Hinshaw, G.F.; Larson, D.; Komatsu, E.; Spergel, D.N.; Bennett, C.L.; Dunkley, J.; Nolta, M.R.; Halpern, M.; Hill, R.S.; Odegard, N.; et al. Nine-year Wilkinson Microwave Anisotropy Probe (WMAP) Observations: Cosmological Parameter Results. Astrophys. J. Suppl. Ser. 2013, 208, 19. [Google Scholar] [CrossRef]
- Komatsu, E.J.; Dunkley, M.R.; Nolta, C.L.; Bennett, B.; Gold, G.; Hinshaw, N.; Jarosik, D.; Larson, M.; Limon, L.; Page, D.; et al. WMAP, Five-year Wilkinson Microwave Anisotropy Probe Observations: Cosmological Interpretation. Astrophys. J. Suppl. 2009, 180, 330–376. [Google Scholar] [CrossRef]
- Feng, B.; Wang, X.L.; Zhang, X.M. Dark energy Constraints from the Cosmic age and Supernova. Phys. Lett. B 2005, 607, 35. [Google Scholar] [CrossRef]
- Pradhan, A.; Zia, R.; Singh, R.P. Viscous Fluid Cosmology with Time Dependent q and Λ-term in Bianchi Type-I Space-time and late time acceleration. Indian J. Phys. 2013, 87, 1157–1167. [Google Scholar] [CrossRef]
- Capozziello, S.; Nojiri, S.I.; Odintsov, S.D. The role of Energy Conditions in f (R) Cosmology. Phys. Lett. B 2018, 781, 99. [Google Scholar] [CrossRef]
- Sharma, U.K.; Dubey, V.C. Statefinder Diagnostic for the Renyi Holographic Dark Energy. New Astron. 2020, 80, 101419. [Google Scholar] [CrossRef]
- Sahni, V.; Saini, T.D.; Starobinsky, A.A.; Alam, U. Statefinder-A new geometrical diagnostic of dark energy. JETP Lett. 2003, 77, 201. [Google Scholar] [CrossRef]
- Alam, U.; Sahni, V.; Saini, T.D.; Starobinsky, A.A. Exploring the Expanding Universe and Dark Energy using the Statefinder Diagnostic. Mon. Not. R. Astron. Soc. 2003, 344, 1057. [Google Scholar] [CrossRef]
- Sami, M.; Shahalam, M.; Skugoreva, M.; Toporensky, A. Cosmological Dynamics of a Nonminimally Coupled Scalar Field System and its Late Time Cosmic Relevance. Phys. Rev. D 2012, 86, 103532. [Google Scholar] [CrossRef]
- Tu, F.Q.; Chen, Y.X.; Huang, Q.H. Thermodynamics in the Universe described by the emergence of Space and the Energy Balance Relation. Entropy 2019, 21, 167. [Google Scholar] [CrossRef] [PubMed]
- Chen, Y.; Kumar, S.; Ratra, B. Determining the Hubble constant from Hubble parameter measurements. Astrophys. J. 2017, 835, 86. [Google Scholar] [CrossRef]
- Ade, P.A.; Aghanim, N.; Armitage-Caplan, C.; Arnaud, M.; Ashdown, M.; Atrio-Barandela, F.; Aumont, J.; Baccigalupi, C.; Banday, A.J.; Barreiro, R.B.; et al. Planck 2013 results XVI Cosmological parameters. Astron. Astrophys. 2014, 571, A16. [Google Scholar]
- Suzuki, N.; Rubin, D.; Lidman, C.; Aldering, G.; Amanullah, R.; Barbary, K.; Barrientos, L.F.; Botyanszki, J.; Brodwin, M.; Connolly, N.; et al. The Hubble Space Telescope cluster supernova survey. Improving the dark-energy constraints above z > 1 and building an early-type-hosted supernova sample. Astrophy. J. 2012, 746, 85. [Google Scholar] [CrossRef]












| Range of | WECs | DECs | NECs | SCEs | |
|---|---|---|---|---|---|
| −1.005 | K = 3 | K = 6 | K = 0.7 | K = 0.5 | |
| −1.005 | K = 0 | K = 2.4 | K = −0.03 | K = −3 | |
| K = 0.3 | |||||
| 0.010 | K = 3 | K = 6 | K = 0.7 | K = 0.5 | |
| 0.010 | K = 0 | K = 2.4 | K = −0.3 | K = −3 | |
| K = 0.4 | |||||
| 1.005 | K = 0 | K = 6 | K = 0.06 | K = 0.5 | |
| K = 0.8 | [1.5, 10] | [2, 10] | |||
| [2, 10] | |||||
| 1.005 | K = 1 | K = 2.4 | K = −0.2 | K = −3 | |
| Data | Model Parameter ()t | |
|---|---|---|
Disclaimer/Publisher’s Note: The statements, opinions and data contained in all publications are solely those of the individual author(s) and contributor(s) and not of MDPI and/or the editor(s). MDPI and/or the editor(s) disclaim responsibility for any injury to people or property resulting from any ideas, methods, instructions or products referred to in the content. |
© 2023 by the authors. Licensee MDPI, Basel, Switzerland. This article is an open access article distributed under the terms and conditions of the Creative Commons Attribution (CC BY) license (https://creativecommons.org/licenses/by/4.0/).
Share and Cite
Dixit, A.; Gupta, S.; Pradhan, A.; Beesham, A. Thermodynamics of the Acceleration of the Universe in the κ(R, T) Gravity Model. Symmetry 2023, 15, 549. https://doi.org/10.3390/sym15020549
Dixit A, Gupta S, Pradhan A, Beesham A. Thermodynamics of the Acceleration of the Universe in the κ(R, T) Gravity Model. Symmetry. 2023; 15(2):549. https://doi.org/10.3390/sym15020549
Chicago/Turabian StyleDixit, Archana, Sanjeev Gupta, Anirudh Pradhan, and Aroonkumar Beesham. 2023. "Thermodynamics of the Acceleration of the Universe in the κ(R, T) Gravity Model" Symmetry 15, no. 2: 549. https://doi.org/10.3390/sym15020549
APA StyleDixit, A., Gupta, S., Pradhan, A., & Beesham, A. (2023). Thermodynamics of the Acceleration of the Universe in the κ(R, T) Gravity Model. Symmetry, 15(2), 549. https://doi.org/10.3390/sym15020549

