The Symmetry Energy: Current Status of Ab Initio Predictions vs. Empirical Constraints
Abstract
1. Introduction
2. Symmetry Energy: General Aspects
3. Theoretical Tools
3.1. Energy per Nucleon in Infinite Matter
3.2. Chiral Effective Field Theory
3.2.1. Quantifying Errors in Chiral EFT
3.3. The Two-Nucleon Force
3.4. The Three-Nucleon Force
4. Ab Initio Predictions in Infinite Matter
4.1. Symmetric Nuclear Matter
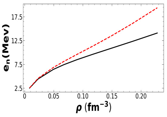
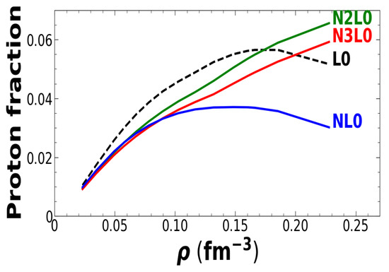
4.2. Neutron Matter and the Symmetry Energy
4.3. Impact on the Neutron Skin
5. Impact of the Isovector Part of the Free-Space Force
6. Conclusions and Future Perspective: Where Do We Go from Here?
Funding
Institutional Review Board Statement
Informed Consent Statement
Data Availability Statement
Acknowledgments
Conflicts of Interest
References
- Available online: https://frib.msu.edu (accessed on 3 December 2022).
- Zahed, I.; Broen, G.E. The Skyrme model. Phys. Rept. 1986, 142, 1. [Google Scholar] [CrossRef]
- Li, G. Skyrme forces and their Applications in Low Energy Nuclear Physics. Commun. Theor. Phys. 1990, 13, 457. [Google Scholar]
- Bender, M.; Heenen, P.-H.; Reinhard, P.-G. Self-consistent mean-field models for nuclear structure. Rev. Mod. Phys. 2003, 75, 121. [Google Scholar] [CrossRef]
- Waletcka, J.D. A Theory of highly condensed matter. Annals Phys. 1974, 83, 491. [Google Scholar] [CrossRef]
- Serot, B.D.; Waletcka, J.D. The Relativistic Nuclear Many Body Problem. Adv. Nucl. Phys. 1986, 16, 1. [Google Scholar]
- Serot, B.D.; Waletcka, J.D. Recent Progress in Quantum Hadrodynamics. Int. J. Mod. Phys. 1997, E6, 515. [Google Scholar] [CrossRef]
- Brown, B.A. Neutron Radii in Nuclei and the Neutron Equation of State. Phys. Rev. Lett. 2000, 85, 5296. [Google Scholar] [CrossRef]
- Piekarewicz, J.; Fattoyev, F. Neutron-rich matter in heaven and on Earth. Phys. Today 2019, 72, 30. [Google Scholar] [CrossRef]
- Santos, B.M.; Dutra, M.; Lourenco, O.; Delfino, A. Correlations between the nuclear matter symmetry energy, its slope, and curvature. J. Phys. Conf. Ser. 2015, 630, 012033. [Google Scholar] [CrossRef]
- Fattoyev, F.J.; Horowitz, C.J.; Piekarewicz, J.; Shen, G. Relativistic effective interaction for nuclei, giant resonances, and neutron stars. Phys. Rev. C 2010, 82, 055803. [Google Scholar] [CrossRef]
- Roca-Maza, X.; Centelles, M.; Vinas, X.; Warda, M. Neutron Skin of 208Pb, Nuclear Symmetry Energy, and the Parity Radius Experiment. Phys. Rev. Lett. 2011, 106, 252501. [Google Scholar] [CrossRef]
- Mondal, C.; Agrawal, B.K.; De, J.N.; Samaddar, S.K.; Centelles, M.; Vinas, X. Searching for a universal correlation among symmetry energy parameters. Proc. DAE Symp. Nucl. Phys. 2017, 62, 72. [Google Scholar]
- Tews, I.; Lattimer, J.M.; Ohnishi, A.; Kolomeitsev, E.E. Symmetry Parameter Constraints from a Lower Bound on Neutron-matter Energy. Astrophys. J. 2017, 848, 105. [Google Scholar] [CrossRef]
- Mondal, C.; Agrawal, B.K.; De, J.N.; Samaddar, S.K. Correlations among symmetry energy elements in Skyrme models. Int. J. Mod. Phys. E 2018, 27, 1850078. [Google Scholar] [CrossRef]
- Tong, H.; Ren, X.-L.; Ring, P.; Shen, S.-H.; Wang, S.-B.; Meng, J. Relativistic Brueckner-Hartree-Fock theory in nuclear matter without the average momentum approximation. Phys. Rev. C 2018, 98, 054302. [Google Scholar] [CrossRef]
- Holt, J.W.; Lim, Y. Universal correlations in the nuclear symmetry energy, slope parameter, and curvature. Phys. Lett. B 2018, 784, 77. [Google Scholar] [CrossRef]
- Agrawal, B.K.; De, J.N.; Samaddar, S.K.; Colo, G.; Sulaksono, A. Constraining the density dependence of symmetry energy from nuclear masses. Phys. Rev. C 2013, 87, 051306. [Google Scholar] [CrossRef]
- Vinas, X.; Centelles, M.; Roca-Maza, X.; Warda, M. Density dependence of the nuclear symmetry energy from measurements of neutron radii in nuclei. AIP Conf. Proc. 2014, 1606, 256. [Google Scholar]
- Agrawal, B.K.; De, J.N.; Samaddar, S.K. Determining the density content of symmetry energy and neutron skin: An empirical approach. Phys. Rev. Lett. 2012, 109, 262501. [Google Scholar] [CrossRef]
- Tsang, M.B.; Zhang, Y.; Danielewicz, P.; Famiano, M.; Li, Z.; Lynch, W.G.; Steiner, A.W. Constraints on the density dependence of the symmetry energy. Phys. Rev. Lett. 2009, 102, 122701. [Google Scholar] [CrossRef]
- Tsang, M.B.; Stone, J.R.; Camera, F.; Danielewicz, P.; Gandolfi, S.; Hebeler, K.; Horowitz, C.J.; Jenny, L.; Lynch, Z.; Kohley, Z.; et al. Constraints on the symmetry energy and neutron skins from experiments and theory. Phys. Rev. C 2012, 86, 015803. [Google Scholar] [CrossRef]
- Lattimer, J.M.; Lim, Y. Constraining the symmetry parameters of the nuclear interaction. Astrophys. J. 2013, 771, 51. [Google Scholar] [CrossRef]
- Kortelainen, M.; Lesinski, T.; Moré, J.; Nazarewicz, W.; Sarich, J.; Schunck, N.; Stoitsov, M.V.; Wild, S. Nuclear energy density optimization. Phys. Rev. C 2010, 82, 024313. [Google Scholar] [CrossRef]
- Danielewicz, P.; Lee, J. Symmetry energy II: Isobaric analog states. Nucl. Phys. A 2014, 922, 1. [Google Scholar] [CrossRef]
- Roca-Maza, X.; Viñas, X.; Centelles, M.; Agrawal, B.K.; Colò, G.; Paar, N.; Piekarewicz, J.; Vretenar, D. Neutron skin thickness from the measured electric dipole polarizability in 68Ni, 120Sn, and 208Pb. Phys. Rev. C 2015, 92, 064304. [Google Scholar] [CrossRef]
- Tamii, A.; Poltoratska, I.; von Neumann-Cosel, P.; Fujita, Y.; Adachi, T.; Bertulani, C.A.; Carter, J.; Dozono, M.; Fujita, H.; Fujita, K.; et al. Complete Electric Dipole Response and the Neutron Skin in 208Pb. Phys. Rev. Lett. 2011, 107, 062502. [Google Scholar] [CrossRef]
- Brown, B.A. Constraints on the Skyrme Equations of State from Properties of Doubly Magic Nuclei. Phys. Rev. Lett. 2013, 111, 232502. [Google Scholar] [CrossRef]
- Russotto, P.; Gannon, S.; Kupny, S.; Lasko, P.; Acosta, L.; Adamczyk, M.; Al-Ajlan, A.; Al-Garawi, M.; Al-Homaidhi, S.; Amorini, F.; et al. Results of the ASY-EOS experiment at GSI: The symmetry energy at suprasaturation density. Phys. Rev. C 2016, 94, 034608. [Google Scholar] [CrossRef]
- Russotto, P.; Wu, P.Z.; Zoric, M.; Chartier, M.; Leifels, Y.; Lemmon, R.C.; Li, Q.; Łukasik, J.; Pagano, A.; Pawłowski, P.; et al. Symmetry energy from elliptic flow in 197Au + 197Au. Phys. Lett. B 2011, 697, 471. [Google Scholar] [CrossRef]
- Weinberg, S. Nuclear forces from chiral lagrangians. Phys. Lett. B 1990, 251, 288. [Google Scholar] [CrossRef]
- Weinberg, S. Three-body interactions among nucleons and pions. Phys. Lett. B 1992, 295, 114. [Google Scholar] [CrossRef]
- Reed, B.T.; Fattoyev, F.J.; Horowitz, C.J.; Piekarewicz, J. Implications of PREX-II on the equation of state of neutron-rich matter. Phys. Rev. Lett. 2021, 126, 172503. [Google Scholar] [CrossRef]
- Sammarruca, F.; Millerson, R. The Equation of State of Neutron-Rich Matter at Fourth Order of Chiral Effective Field Theory and the Radius of a Medium-Mass Neutron Star. Universe 2022, 8, 133. [Google Scholar] [CrossRef]
- Alam, N.; Agrawal, B.K.; Fortin, M.; Pais, H.; Providencia, C.; Raduta, A.R.; Sulaksono, A. Strong correlations of neutron star radii with the slopes of nuclear matter incompressibility and symmetry energy at saturation. Phys. Rev. C 2016, 94, 052801. [Google Scholar] [CrossRef]
- Coraggio, L.; Holt, J.W.; Itaco, N.; Machleidt, R.; Marcucci, L.E.; Sammarruca, F. Nuclear-matter equation of state with consistent two- and three-body perturbative chiral interactions. Phys. Rev. C 2014, 89, 044321. [Google Scholar] [CrossRef]
- Carbone, A.; Cipollone, A.; Barbieri, C.; Rios, A.; Polls, A. Self-consistent Green’s functions formalism with three-body interactions. Phys. Rev. C 2013, 88, 054326. [Google Scholar] [CrossRef]
- Machleidt, R.; Entem, D.R. Chiral Effective Field Theory and Nuclear Forces. Phys. Rep. 2011, 503, 1. [Google Scholar] [CrossRef]
- Epelbaum, E.; Krebs, H.; Meißner, U.-G. Improved chiral nucleon-nucleon potential up to next-to-next-to-next-to-leading order. Eur. Phys. J. A 2015, 51, 53. [Google Scholar] [CrossRef]
- Entem, D.R.; Machleidt, R.; Nosyk, Y. High-quality two-nucleon potentials up to fifth order of the chiral expansion. Phys. Rev. C 2017, 96, 024004. [Google Scholar] [CrossRef]
- Hoferichter, M.; Ruiz de Elvira, J.; Kubis, B.; Meissner, U.-G. Matching Pion-Nucleon Roy-Steiner Equations to Chiral Perturbation Theory. Phys. Rev. Lett. 2015, 115, 192301. [Google Scholar] [CrossRef]
- Hoferichter, M.; Ruiz de Elvira, J.; Kubis, B.; Meissner, U.-G. Roy-Steiner-equation analysis of pion-nucleon scattering. Phys. Rep. 2016, 625, 1. [Google Scholar] [CrossRef]
- Hoppe, J.; Drischler, C.; Furnstahl, R.J.; Hebeler, K.; Schwenk, A. Weinberg eigenvalues for chiral nucleon-nucleon interactions. Phys. Rev. C 2017, 96, 054002. [Google Scholar] [CrossRef]
- Drischler, C.; Hebeler, K.; Schwenk, A. Chiral interactions up to next-to-next-to-next-to-leading order and nuclear saturation. Phys. Rev. Lett. 2019, 122, 042501. [Google Scholar] [CrossRef] [PubMed]
- Epelbaum, E.; Nogga, A.; Glöckle, W.; Kamada, H.; Meißner, U.-G.; Witala, H. Three nucleon forces from chiral effective field theory. Phys. Rev. C 2002, 66, 064001. [Google Scholar] [CrossRef]
- Holt, J.W.; Kaiser, N.; Weise, W. Chiral three-nucleon interaction and the 14C-dating β decay. Phys. Rev. C 2009, 79, 054331. [Google Scholar] [CrossRef]
- Holt, J.W.; Kaiser, N.; Weise, W. Density-dependent effective nucleon-nucleon interaction from chiral three-nucleon forces. Phys. Rev. C 2010, 81, 024002. [Google Scholar] [CrossRef]
- Hebeler, K.; Schwenk, A. Chiral three-nucleon forces and neutron matter. Phys. Rev. C 2010, 82, 014314. [Google Scholar] [CrossRef]
- Bernard, V.; Epelbaum, E.; Krebs, H.; Meißner, U.-G. Subleading contributions to the chiral three-nucleon force: Long-range terms. Phys. Rev. C 2008, 77, 064004. [Google Scholar] [CrossRef]
- Bernard, V.; Epelbaum, E.; Krebs, H.; Meißner, U.-G. Subleading contributions to the chiral three-nucleon force. II. Short-range terms and relativistic corrections. Phys. Rev. C 2011, 84, 054001. [Google Scholar] [CrossRef]
- Kaiser, N.; Singh, B. Density-dependent NN interaction from subleading chiral three-nucleon forces: Long-range terms. Phys. Rev. C 2019, 100, 014002. [Google Scholar] [CrossRef]
- Kaiser, N. Density-dependent nn-potential from subleading chiral three-neutron forces: Long-range terms. arXiv 2020, arXiv:2010.02739v4. [Google Scholar]
- Kaiser, N.; Niessner, V. Density-dependent NN interaction from subleading chiral 3N forces: Short-range terms and relativistic corrections. Phys. Rev. C 2018, 98, 054002. [Google Scholar] [CrossRef]
- Treuer, L. Density-Dependent Neutron-Neutron Interaction from Subleading Chiral Three-Neutron Forces. arXiv 2020, arXiv:2009.11104. [Google Scholar]
- Drischler, C.; Hebeler, K.; Schwenk, A. Supplemental Material for “Chiral Interactions up to Next-to-Next-to-Next-to-Leading Order and Nuclear Saturation”. Available online: https://journals-aps-org.uidaho.idm.oclc.org/prl/supplemental/10.1103/PhysRevLett.122.042501/MC_MBPT_short_supp.pdf (accessed on 2 February 2023).
- Nosyk, Y.; Entem, D.R.; Machleidt, R. Nucleon-nucleon potentials from Δ-full chiral effective-field-theory and implications. Phys. Rev. C 2021, 104, 054001. [Google Scholar] [CrossRef]
- Sammarruca, F.; Millerson, R. Overview of symmetric nuclear matter properties from chiral interactions up to fourth order of the chiral expansion. Phys. Rev. C 2021, 104, 064312. [Google Scholar] [CrossRef]
- Hu, B.; Jiang, W.; Miyagi, T.; Sun, Z.; Ekström, A.; Forssen, C.; Hagen, G.; Holt, J.D.; Papenbrock, T.; Stroberg, S.R.; et al. Ab initio predictions link the neutron skin of 208Pb to nuclear forces. Nat. Phys. 2022, 18, 1196–1200. [Google Scholar] [CrossRef]
- Sammarruca, F.; Millerson, R. Analysis of the neutron matter equation of state and the symmetry energy up to fourth order of chiral effective field theory. Phys. Rev. C 2021, 104, 034308. [Google Scholar] [CrossRef]
- Drischler, C.; Carbone, A.; Hebeler, K.; Schwenk, A. Neutron matter from chiral two- and three-nucleon calculations up to N3LO. Phys. Rev. C 2016, 94, 054307. [Google Scholar] [CrossRef]
- Oyamatsu, K.; lida, K.; Koura, H. Neutron drip line and the equation of state of nuclear matter. Phys. Rev. C 2010, 82, 027301. [Google Scholar] [CrossRef]
- Baldo, M.; Burgio, G.F. The Nuclear Symmetry Energy. Prog. Part. Nucl. Phys. 2016, 91, 203. [Google Scholar] [CrossRef]
- Burrello, S.; Colonna, M.; Zheng, H. The Symmetry Energy of the Nuclear EoS: A Study of Collective Motion and Low-Energy Reaction Dynamics in Semiclassical Approaches. Front. Phys. 2019, 7, 53. [Google Scholar] [CrossRef]
- Moeller, P.; Myers, W.D.; Sagawa, H.; Yoshida, S. New Finite-Range Droplet Mass Model and Equation-of-State Parameters. Phys. Rev. Lett. 2012, 108, 052501. [Google Scholar] [CrossRef] [PubMed]
- Moeller, P.; Sierk, A.J.; Ichikawa, T.; Sagawa, H. Nuclear ground-state masses and deformations (FRDM) 2012. At. Data Nucl. Tables 2016, 109, 1. [Google Scholar] [CrossRef]
- Lynch, W.G.; Tsang, M.B. Decoding the density dependence of the nuclear symmetry energy. Phys. Lett. B 2022, 830, 137098. [Google Scholar] [CrossRef]
- Akmal, A.; Pandharipande, V.R.; Ravenhall, D.G. Equation of state of nucleon matter and neutron star structure. Phys. Rev. C 1998, 58, 1804. [Google Scholar] [CrossRef]
- Drischler, C.; Soma, V.; Schwenk, A. Microscopic calculations and energy expansions for neutron-rich matter. Phys. Rev. C 2014, 89, 025806. [Google Scholar] [CrossRef]
- Drischler, C.; Furnstahl, R.J.; Melendez, J.A.; Phillips, D.R. How Well Do We Know the Neutron-Matter Equation of State at the Densities Inside Neutron Stars? A Bayesian Approach with Correlated Uncertainties. Phys. Rev. Lett. 2020, 125, 202702. [Google Scholar] [CrossRef]
- Zhang, Z.; Chen, L.-W. Electric dipole polarizability in 208Pb as a probe of the symmetry energy and neutron matter around ρ0/3. Phys. Rev. C 2015, 92, 031301. [Google Scholar] [CrossRef]
- Page, D.; Lattimer, J.M.; Prakash, M.; Steiner, A.W. Neutrino Emission from Cooper Pairs and Minimal Cooling of Neutron Stars. Astrophys. J. 2009, 707, 1131. [Google Scholar] [CrossRef]
- Lattimer, J.M.; Pethick, C.J.; Prakash, M.; Haensel, P. Direct URCA Process in Neutron Stars. Phys. Rev. Lett. 1991, 66, 2701. [Google Scholar] [CrossRef]
- Thapa, V.B.; Sinah, M. Direct URCA process in light of PREX-2. arXiv 2022, arXiv:2203.02272. [Google Scholar]
- Malik, T.; Agrawal, B.K.; Providencia, C. Inferring the nuclear symmetry energy at supra saturation density from neutrino cooling. Phys. Rev. C 2022, 106, L042801. [Google Scholar] [CrossRef]
- Patra, N.K.; Iman, S.k.M.d.A.; Agrawal, B.K.; Mukherjee, A.; Malik, T. Nearly model-independent constraints on dense matter equation of state. Phys. Rev. D 2022, 106, 043024. [Google Scholar] [CrossRef]
- Sammarruca, F. Neutron skin systematics from microscopic equations of state. Phys. Rev. C 2022, 105, 064303. [Google Scholar] [CrossRef]
- Drischler, C.; Holt, J.W.; Wellenhofer, C. Chiral Effective Field Theory and the High-Density Nuclear Equation of State. Annu. Rev. Nucl. Part. Sci. 2021, 71, 403. [Google Scholar] [CrossRef]
- Lim, Y.; Holt, J. Bayesian modeling of the nuclear equation of state for neutron star tidal deformabilities and GW170817. Eur. Phys. J. A 2019, 55, 209. [Google Scholar] [CrossRef]
- Reinhard, P.-G.; Roca-Maza, X.; Nazarewicz, W. Combined Theoretical Analysis of the Parity-Violating Asymmetry for 48Ca and 208Pb. Phys. Lett. 2022, 129, 232501. [Google Scholar] [CrossRef]
- PREX, CREX, and Nuclear Models: The Plot Thickens. Available online: https://frib.msu.edu/news/2022/prl-paper.html (accessed on 3 December 2022).










| Order | n | |||||
|---|---|---|---|---|---|---|
| NLO | 2 | −0.74 | −3.61 | 2.44 | ||
| NLO | 2 | −1.07 | −5.32 | 3.56 | −118.13 | −0.25 |
| Observable | Median | 68% CR | 90% CR | Our Predictions |
|---|---|---|---|---|
| −15.2 | [−16.3, −13.9] | [17.1, −13.4] | −14.98 ± 0.85 | |
| 0.163 | [0.147, 0.176] | [0.140, 0.186] | 0.161 ± 0.015 | |
| 264 | [219, 300] | [202, 336] | 216 ± 33 |
| (MeV) | (MeV) | (MeV) | (MeV/fm) | |
|---|---|---|---|---|
| 1 | 15.56 ± 1.10 | 31.57 ± 1.53 (33.3 ± 1.3) | 49.58 ± 8.47 (59.6 ± 22.1) | 2.562 ± 0.438 (3.2 ± 1.2) |
| 0.72 (0.72 ± 0.01) | 11.52 ± 0.43 | 26.46 ± 0.82 (25.4 ± 1.1) | 44.91 ± 3.40 | 1.05 ± 0.13 |
| 0.67 (0.66 ± 0.04) | 10.81 ± 0.41 | 25.25 ± 0.72 (25.5 ± 1.1) | 44.65 ± 3.23 (53.1 ± 6.1) | 0.859 ± 0.120 |
| 0.63 (0.63 ± 0.03) | 10.39 ± 0.41 | 24.47 ± 0.66 (24.7 ± 0.8) | 43.81 ± 3.11 | 0.748 ± 0.116 |
| 0.31 (0.31 ± 0.03) | 6.715 ± 0.086 | 15.43 ± 0.12 (15.9 ± 1.0) | 32.35 ± 0.55 | 0.174 ± 0.008 |
| 0.21 (0.22 ± 0.07) | 5.472 ± 0.039 | 11.73 ± 0.05 (10.1 ± 1.0) | 27.57 ± 0.11 | 0.106 ± 0.002 |
| J (MeV) | L (MeV) | S (fm) | Source for J, L |
|---|---|---|---|
| 31.3 ± 0.8 | 52.6 ± 4.0 | [0.13, 0.17] | [34] |
| (31.1, 32.5) | [44.8, 56.2] | [0.12, 0.17] | [44] |
| (28, 35) | [20, 72] | [0.078, 0.20] | [77] |
| (27, 43) | [7.17, 135] | [0.055, 0.28] | [78] |
| 38.29 ± 4.66 | 109.56 ± 36.41 | [0.17, 0.31] | [33] |
| Calculated Quantity | NLO(450) | Modified Potential |
|---|---|---|
| (MeV) | 11.11 | 13.88 |
| (MeV/fm) | 39.79 | 70.03 |
| (MeV/fm) | 0.956 | 1.68 |
Disclaimer/Publisher’s Note: The statements, opinions and data contained in all publications are solely those of the individual author(s) and contributor(s) and not of MDPI and/or the editor(s). MDPI and/or the editor(s) disclaim responsibility for any injury to people or property resulting from any ideas, methods, instructions or products referred to in the content. |
© 2023 by the author. Licensee MDPI, Basel, Switzerland. This article is an open access article distributed under the terms and conditions of the Creative Commons Attribution (CC BY) license (https://creativecommons.org/licenses/by/4.0/).
Share and Cite
Sammarruca, F. The Symmetry Energy: Current Status of Ab Initio Predictions vs. Empirical Constraints. Symmetry 2023, 15, 450. https://doi.org/10.3390/sym15020450
Sammarruca F. The Symmetry Energy: Current Status of Ab Initio Predictions vs. Empirical Constraints. Symmetry. 2023; 15(2):450. https://doi.org/10.3390/sym15020450
Chicago/Turabian StyleSammarruca, Francesca. 2023. "The Symmetry Energy: Current Status of Ab Initio Predictions vs. Empirical Constraints" Symmetry 15, no. 2: 450. https://doi.org/10.3390/sym15020450
APA StyleSammarruca, F. (2023). The Symmetry Energy: Current Status of Ab Initio Predictions vs. Empirical Constraints. Symmetry, 15(2), 450. https://doi.org/10.3390/sym15020450
