Thermal Onsets of Viscous Dissipation for Radiative Mixed Convective Flow of Jeffery Nanofluid across a Wedge
Abstract
:1. Introduction
2. Computational Modelling
| Magnetic field factor | |
| Prandtl number | |
| Brownian motion factor | |
| Thermophoresis factor | |
| Lewis number | |
| Radiation factor | |
| Source/sink factor | |
| Eckert number | |
| Concentration to thermal buoyancy ratio factor | |
| Mixed convection factor | |
| Grashof number | |
| Deborah number |
Heat and Mass Transport Coefficients
3. Numerical Computation
4. Results and Discussion
4.1. Impact on the Profiles of Velocity, Temperature, and Nanofluid Concentration (NC)
4.2. Impact of on Velocity, Temperature, and NC Profiles
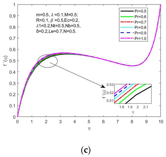
4.3. Influence of Pr on Temperature, Concentration, and Velocity Patterns of the Nanofluids
4.4. Effect of Ec on Temperature, Concentration, and Velocity Profiles of the Nanofluids
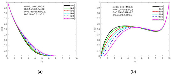
4.5. Impact of Nb on Velocity, Temperature, and Concentration Patterns of the Nanofluids
4.6. Effect of δ Temperature, Concentration, and Velocity Profiles of the Nanofluids
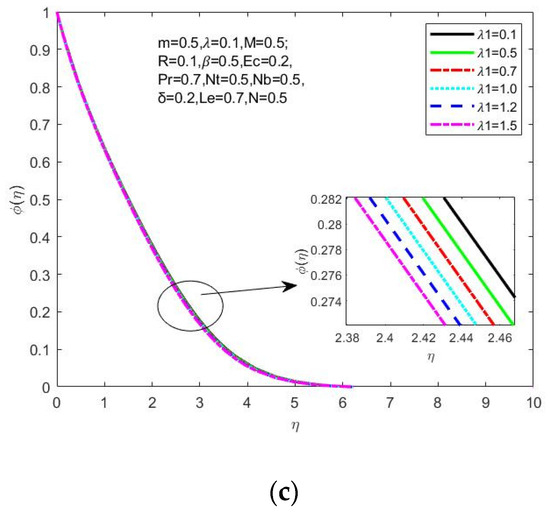
4.7. Impact of on Concentration, Velocity, and Temperature Patterns of the Nanofluids
4.8. Influence of Le on the Concentration, Velocity, and Temperature Profiles of the Nanofluids
4.9. Impact of on Fluid Velocity, Concentration, and Temperature Patterns of the Nanofluids
4.10. Impact of on Velocity, Concentration, and Temperature Patterns of the Nanofluids
4.11. Impact of on Concentration, Fluid Velocity, and Temperature Patterns of the Nanofluids
4.12. Influence of 𝛽 on Fluid Velocity, Concentration, and Temperature Patterns of the Nanofluids
5. Conclusions
- The fluid velocity reduces due to the higher range of radiation and Eckert number parameters;
- The augmentation in the Prandtl number leads to the improvement in velocity; at the same time, it shows the decreasing phenomena in temperature and nanoparticle concentration field;
- The temperature field is an increasing function of the mixed convection and buoyancy ratio parameters;
- An increment in Brownian motion and the Eckert number parameters results in a decrement in the nanoparticle concentration field.
Author Contributions
Funding
Data Availability Statement
Acknowledgments
Conflicts of Interest
Abbreviations
| List of Symbols | |
| Nomenclature | |
| Magnetic field strength | |
| Concentration | |
| Ambient concentration | |
| Sheet concentration | |
| Fluid temperature | |
| Sheet temperature | |
| Ambient fluid temperature | |
| Coefficient of Brownian diffusion | |
| Coefficient of Thermophoretic diffusion | |
| Eckert number | |
| Thermal conductivity | |
| Lewis parameter | |
| Pressure gradient parameter | |
| Magnetic field parameter | |
| Concentration to thermal buoyancy ratio parameter | |
| Brownian diffusion parameter | |
| Thermophoresis parameter | |
| Prandtl number | |
| Radiative heat flux | |
| Radiation parameter | |
| Relaxation time | |
| Ratio of relaxation and retardation time | |
| Velocity components | |
| Cartesian coordinates | |
| Local Grashof number | |
| Thermal diffusivity | |
| Coefficient of thermal expansion | |
| Coefficient of concentration expansion | |
| Wedge angle parameter | |
| Heat source/sink parameter | |
| Similarity parameter | |
| Temperature similarity function | |
| Concentration similarity function | |
| Mixed convection parameter | |
| Kinematic viscosity | |
| Density | |
| Ratio of the effective heat capacity | |
| Electrical conductivity |
References
- Shahzad, F.; Baleanu, D.; Jamshed, W.; Nisar, K.S.; Eid, M.R.; Safdar, R.; Ismail, K.A. Flow and heat transport phenomenon for dynamics of Jeffrey nanofluid past stretchable sheet subject to Lorentz force and dissipation effects. Sci. Rep. 2021, 11, 1–15. [Google Scholar] [CrossRef] [PubMed]
- Ur Rasheed, H.; AL-Zubaidi, A.; Islam, S.; Saleem, S.; Khan, Z.; Khan, W. Effects of Joule heating and viscous dissipation on magnetohydrodynamic boundary layer flow of Jeffrey nanofluid over a vertically stretching cylinder. Coatings 2021, 11, 353. [Google Scholar] [CrossRef]
- Abdullah Mohamed, R.; Mahmoud Aly, A.; Elsayed Ahmed, S.; Sayed Soliman, M. MHD Jeffrey NanoFluids Flow Over a Stretching Sheet Through a Porous Medium in Presence of Nonlinear Thermal Radiation and Heat Generation/Absorption. Chall. Nano Micro Scale Sci. Technol. 2020, 8, 9–22. [Google Scholar]
- Mohamed, R.A.; Ahmed, S.E.; Aly, A.M.; Chamkha, A.J.; Soliman, M.S. MHD Casson nanofluid flow over a stretching surface embedded in a porous medium effect of thermal radiation and slop conditions. Lat. Am. Appl. Res. 2021, 51, 229–239. [Google Scholar]
- Al-Kouz, W.; Owhaib, W. Numerical analysis of Casson nanofluid three-dimensional flow over a rotating frame exposed to a prescribed heat flux with viscous heating. Sci. Rep. 2022, 12, 4256. [Google Scholar] [CrossRef] [PubMed]
- Patil, V.S.; Humane, P.P.; Patil, A.B. MHD Williamson nanofluid flow past a permeable stretching sheet with thermal radiation and chemical reaction. Int. J. Model. Simul. 2022, 1–15. [Google Scholar] [CrossRef]
- Abdal, S.; Siddique, I.; Alrowaili, D.; Al-Mdallal, Q.; Hussain, S. Exploring the magnetohydrodynamic stretched flow of Williamson Maxwell nanofluid through porous matrix over a permeated sheet with bioconvection and activation energy. Sci. Rep. 2022, 12, 278. [Google Scholar] [CrossRef]
- Abbas, A.; Jeelani, M.B.; Alnahdi, A.S.; Ilyas, A. MHD Williamson Nanofluid Fluid Flow and Heat Transfer Past a Non-Linear Stretching Sheet Implanted in a Porous Medium: Effects of Heat Generation and Viscous Dissipation. Processes 2022, 10, 1221. [Google Scholar] [CrossRef]
- Loganathan, K.; Rajan, S. An entropy approach of Williamson nanofluid flow with Joule heating and zero nanoparticle mass flux. J. Therm. Anal. Calorim. 2020, 141, 2599–2612. [Google Scholar] [CrossRef]
- Jeffreys, H. The Earth, 4th ed.; Cambridge University Press: London, UK, 1929. [Google Scholar]
- Bird, R.B.; Armstrong, R.C.; Hassager, O. Dynamics of polymeric liquids. In Fluid Dynamics, 2nd ed.; Wiley: New York, NY, USA, 1987; Volume 1. [Google Scholar]
- Nadeem, S.; Akbar, N.S. Peristaltic flow of a Jeffery fluid with variable viscosity in an asymmetric channel. Z. Für Nat. A 2009, 64a, 713–722. [Google Scholar] [CrossRef]
- Hayat, T.; Shehzad, S.A.; Qasim, M.; Obaidat, S. Radiative flow of Jeffery fluid in a porous medium with power law heat flux and heat source. NuclEng. Des. 2012, 243, 15–19. [Google Scholar] [CrossRef]
- Prasad, V.R.; Gaffar, S.A.; Keshava Reddy, E.; Anwar Be´g, O. Flow and heat transfer of Jeffrey’s non-Newtonian fluid from horizontal circular cylinder. J. Thermophys Heat Transfer. 2014, 28, 764–770. [Google Scholar] [CrossRef]
- Abdul Gaffar, S.; Ramachandra Prasad, V.; Keshava Reddy, E. Mixed convection boundary layer flows of a non-Newtonian Jeffrey’s fluid from a non-isothermal wedge. Ain Shams Eng. J. 2017, 8, 145–162. [Google Scholar] [CrossRef]
- Prasad, V.R.; Gaffar, S.A.; Keshava Reddy, E.; Anwar Beg´, O. Numerical study of non-Newtonian boundary layer flow of Jeffrey fluid past a vertical porous plate in a non-Darcy porous medium. Int. J. Comput. Methods Eng. Sci. Mech. 2014, 15, 372–389. [Google Scholar] [CrossRef]
- Ara, A.; Khan, N.A.; Khan, H.; Sultan, F. Radiation effects on boundary layer flow of an Eyring–Powell fluid over an exponentially shrinking sheet. Ain Shams Eng. J. 2014, 5, 1337–1342. [Google Scholar] [CrossRef]
- Noor, N.F.; Abbasbandy, S.; Hashim, I. Heat and mass transfer of thermophoretic MHD flow over an inclined radiate isothermal permeable surface in the presence of heat source/sink. Int. J. Heat Mass Transf. 2012, 5, 2122–2128. [Google Scholar] [CrossRef]
- Gupta, D.; Kumar, L.; Be´g, O.A.; Singh, B. Finite element simulation of mixed convection flow of micropolar fluid over a shrinking sheet with thermal radiation. Proc. IChemE-Part E J. Process. Mech. Eng. 2012, 228, 61–72. [Google Scholar] [CrossRef]
- Shahid, A.; Bhatti, M.M.; Ellahi, R.; Mekheimer, K.S. Numerical experiment to examine activation energy and bi-convection Carreau nanofluid flow on an upper paraboloid porous surface: Application in solar energy. Sustain. Energy Technol. Assess. 2022, 52, 102029. [Google Scholar] [CrossRef]
- Bhargava, R.; Sharma, R.; Be´g, O.A. A numerical solution for the effect of radiation on micropolar flow and heat transfer past a horizontal stretching sheet through a porous medium. In Proceedings of the 7th SWEAS International Conference on Heat Mass Transfer (HMT’10), Cambridge, UK, 23–25 February 2010; University of Cambridge: Cambridge, UK, 2010; pp. 88–96. [Google Scholar]
- Rosenhead, L. Laminar Boundary Layers; Oxford: Cambridge, UK, 1963. [Google Scholar]
- Cebeci, T.; Keller, H.B. Shooting and parallel shooting methods for solving the Falkner–Skan boundary-layer equation. J. Comput. Phys. 1971, 7, 289–300. [Google Scholar] [CrossRef]
- Peddieson, J. Wedge and cone flows of viscoelastic liquids. AIChE J. 1973, 19, 377–379. [Google Scholar] [CrossRef]
- Sparrow, E.M.; Eichhorn, R.; Gregg, J.L. Combined forced and free convection in boundary layer flow. Phys. Fluids 1959, 2, 319–328. [Google Scholar] [CrossRef]
- Watanabe, T.; Funazaki, K.; Taniguchi, H. Theoretical analysis on mixed convection boundary layer flow over a wedge with uniform suction or injection. Acta Mech. 1994, 105, 133–411. [Google Scholar] [CrossRef]
- Kafoussias, N.G.; Nanousis, N.D. Magnetohydrodynamic laminar boundary layer flow over a wedge with suction or injection. Can. J. Phys. 1997, 75, 733–742. [Google Scholar] [CrossRef]
- Nanousis, N.D. Theoretical magneto hydrodynamics analysis of mixed convection boundary layer flow over a wedge with uniform suction or injection. Acta Mech. 1999, 138, 21–30. [Google Scholar] [CrossRef]
- Gorla, R.S.R. Unsteady heat transfer in laminar non-Newtonian boundary layer over a wedge. AIChemE J. 1982, 28, 56–60. [Google Scholar] [CrossRef]
- Yih, K.A. Radiation effects on mixed convection over an isothermal wedge in the porous media: The entire regime. Heat Transf. Eng. 2001, 22, 26–32. [Google Scholar] [CrossRef]
- Rashidi, M.M.; Rastegari, M.T.; Asadi, M.; Anwar Be´g, O. A study of non-Newtonian flow and heat transfer over a non-isothermal wedge using the homotopy analysis method. Chem. Eng. Commun. 2012, 199, 231–256. [Google Scholar] [CrossRef]
- Chamkha, A.J.; Mujtaba, M.; Quadri, A.; Issa, C. Thermal radiation effects on MHD forced convection flow adjacent to a non-isothermal wedge in the presence of a heat source or sink. Heat Mass Transf. 2003, 39, 305–312. [Google Scholar] [CrossRef]
- Hsiao, K.L. MHD mixed convection for viscoelastic fluid past a porous wedge. Int. J. Non-Linear Mech. 2011, 46, 1–8. [Google Scholar] [CrossRef]
- Ishak, A.; Nazar, R.; Pop, I. Moving wedge and flat plate in a power law fluid. Int. J. Non-Linear Mech. 2011, 46, 1017–1021. [Google Scholar] [CrossRef]
- Dadhich, Y.; Jain, R.; Gyeltshen, S. Insights of Heat and Mass Transfer in Magneto-Mixed Convective Sisko Nanofluid over a Wedge with Viscous Dissipation. Math. Probl. Eng. 2022, 2022, 3091897. [Google Scholar] [CrossRef]
- Khan, M.; Sardar, H. On steady two-dimensional Carreau fluid flow over a wedge in the presence of infinite shear rate viscosity. Results Phys. 2018, 8, 516–523. [Google Scholar] [CrossRef]
- Prabakaran, R.; Eswaramoorthi, S.; Loganathan, K.; Sarris, I.E. Investigation on thermally radiative mixed convective flow of carbon nanotubes/Al2O3 nanofluid in water past a stretching plate with joule heating and viscous dissipation. Micromachines 2022, 13, 1424. [Google Scholar] [CrossRef]
- Du, J.; Wang, R.; Zhuo, Q.; Yuan, W. Heat transfer enhancement of Fe3O4-water nanofluid by the thermo-magnetic convection and thermophorestic effect. Int. J. Energy Res. 2022, 46, 9521–9532. [Google Scholar] [CrossRef]
- Wang, R.; Chen, T.; Qi, J.; Du, J.; Pan, G.; Huang, L. Investigation on the heat transfer enhancement by nanofluid under electric field considering electrophorestic and thermophoretic effect. Case Stud. Therm. Eng. 2021, 28, 101498. [Google Scholar] [CrossRef]
- Sharma, B.K.; Nidhish, K.M.; Mekheimer, K.S. Combined effect of thermophoresis and Brownian motion on MHD mixed convective flow over an inclined stretching surface with radiation and chemical reaction. Int. J. Mod. Phys. B 2022. [CrossRef]
- Ajeeb, W.; da Silva, R.R.S.T.; Murshed, S.M.S. Experimental investigation of heat transfer performance of Al2O3 nanofluids in a compact plate heat exchanger. Appl. Therm. Eng. 2023, 218, 119321. [Google Scholar] [CrossRef]
- Botmart, T.; Sabir, Z.; Raja, M.A.Z.; Weera, W.; Sadat, R.; Ali, M.R. Stochastic procedures to solve the nonlinear mass and heat transfer model of Williamson nanofluid past over a stretching sheet. Ann. Nucl. Energy. 2023, 181, 109564. [Google Scholar] [CrossRef]
- Ma, H.; He, B.; Su, L.; He, D. Heat transfer enhancement of nanofluid flow at the entry region of microtubes. Int. J. Therm. Sci. 2023, 184, 107944. [Google Scholar] [CrossRef]
- Pazarlıoğlu, H.K.; Ekiciler, R.; Arslan, K.; Mohammed, N.A.M. Exergetic, Energetic, and entropy production evaluations of parabolic trough collector retrofitted with elliptical dimpled receiver tube filled with hybrid nanofluid. Appl. Therm. Eng. 2023, 223, 120004. [Google Scholar] [CrossRef]
- Sturdza, P. An Aerodynamic Design Method for Supersonic Natural Laminar Flow Aircraft. Ph.D. Thesis, Department Aeronautics and Astronautics, Stanford University, Stanford, CA, USA, December 2003. [Google Scholar]


















| Gaffar et al. [15] | Current Study | |||
|---|---|---|---|---|
| 0.1 | 0.2083 | 0.3126 | 0.2292 | 0.3301 |
| 0.2 | 0.2122 | 0.3261 | 0.2362 | 0.3417 |
| 0.3 | 0.2162 | 0.3398 | 0.2376 | 0.3508 |
| 0.4 | 0.2202 | 0.3531 | 0.2426 | 0.3692 |
| 0.1 | 0.1 | 0.7 | 0.2 | 0.2 | 0.5 | 0.2292 | 0.3301 |
| 0.5 | 0.2302 | 0.3322 | |||||
| 1.0 | 0.2317 | 0.3348 | |||||
| 0.5 | 0.7 | 0.2 | 0.2302 | 0.3322 | |||
| 1.0 | 0.2455 | 0.3318 | |||||
| 2.0 | 0.2571 | 0.3309 | |||||
| 0.1 | 0.7 | 0.2 | 0.2292 | 0.3301 | |||
| 0.3 | 0.2340 | 0.3605 | |||||
| 0.5 | 0.2399 | 0.3723 | |||||
| 0.1 | 0.7 | 0.2 | 0.0 | 0.2684 | 0.3092 | ||
| 0.2 | 0.2292 | 0.3301 | |||||
| 0.4 | 0.1896 | 0.6527 | |||||
| 0.1 | 0.5 | 0.7 | 0.2 | 0.2 | 0.5 | 0.2302 | 0.3322 |
| 0.7 | 0.2293 | 0.3213 | |||||
| 1.0 | 0.2267 | 0.3124 |
Disclaimer/Publisher’s Note: The statements, opinions and data contained in all publications are solely those of the individual author(s) and contributor(s) and not of MDPI and/or the editor(s). MDPI and/or the editor(s) disclaim responsibility for any injury to people or property resulting from any ideas, methods, instructions or products referred to in the content. |
© 2023 by the authors. Licensee MDPI, Basel, Switzerland. This article is an open access article distributed under the terms and conditions of the Creative Commons Attribution (CC BY) license (https://creativecommons.org/licenses/by/4.0/).
Share and Cite
Dadhich, Y.; Alessa, N.; Jain, R.; Kaladgi, A.R.; Loganathan, K.; Devi, V.R. Thermal Onsets of Viscous Dissipation for Radiative Mixed Convective Flow of Jeffery Nanofluid across a Wedge. Symmetry 2023, 15, 385. https://doi.org/10.3390/sym15020385
Dadhich Y, Alessa N, Jain R, Kaladgi AR, Loganathan K, Devi VR. Thermal Onsets of Viscous Dissipation for Radiative Mixed Convective Flow of Jeffery Nanofluid across a Wedge. Symmetry. 2023; 15(2):385. https://doi.org/10.3390/sym15020385
Chicago/Turabian StyleDadhich, Yogesh, Nazek Alessa, Reema Jain, Abdul Razak Kaladgi, Karuppusamy Loganathan, and V. Radhika Devi. 2023. "Thermal Onsets of Viscous Dissipation for Radiative Mixed Convective Flow of Jeffery Nanofluid across a Wedge" Symmetry 15, no. 2: 385. https://doi.org/10.3390/sym15020385
APA StyleDadhich, Y., Alessa, N., Jain, R., Kaladgi, A. R., Loganathan, K., & Devi, V. R. (2023). Thermal Onsets of Viscous Dissipation for Radiative Mixed Convective Flow of Jeffery Nanofluid across a Wedge. Symmetry, 15(2), 385. https://doi.org/10.3390/sym15020385

