Controller Design and Stability Analysis for a Class of Leader-Type Stochastic Nonlinear Systems
Abstract
1. Introduction
- For stability analysis of a leader-type system model, we choose the control of the prescribed time. By the non-scalar design approach for stochastic nonlinear systems, the controller is designed in this paper. This approach allows for designing of a simpler controller because it does not use a scalar function in the coordinate transformation, which can significantly reduce the computational burden of the time-varying scalar function.
- We considered the stability of the systems with the controller, which is obtained by the above method. It can be proved that the controller can make the system achieve stability for the prescribed time in this paper. Then, we obtain two important mean-square estimates.
2. Preliminaries and Model Description
2.1. Preliminaries
2.2. Model Description
3. Main Results
3.1. Controller Design
3.2. Mean-Square Stability Analysis
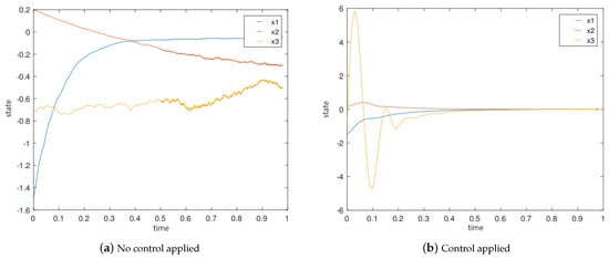
4. Simulation Example
5. Conclusions
Funding
Data Availability Statement
Acknowledgments
Conflicts of Interest
References
- Paternoster, B.; Shaikhet, L. About stability of nonlinear stochastic difference equations. Appl. Math. Lett. 2000, 13, 27–38. [Google Scholar] [CrossRef]
- Mao, X.R.; Yuan, C.G. Stochastic Differential Equations with Markovian Switching; Imperial College Press: London, UK, 2006. [Google Scholar]
- Verriest, E.I.; Michiels, W. Stability analysis of systems with stochastically varying delays. Syst. Control Lett. 2009, 58, 783–791. [Google Scholar] [CrossRef]
- Rafail, K. Stochastic Modelling and Applied Probability; Springer: Berlin/Heidelberg, Germany, 2012. [Google Scholar]
- Li, W.Q.; Krstic, M. Stochastic nonlinear prescribed-time stabilization and inverse optimality. IEEE Trans. Autom. Control 2012, 67, 1179–1193. [Google Scholar] [CrossRef]
- Elbsat, M.N.; Yaz, E.E. Robust and resilient finite-time control of a class of continuous-time nonlinear systems. IFAC Proc. Vol. 2012, 45, 15–20. [Google Scholar] [CrossRef]
- Lv, X.X.; Li, X.D. Finite time stability and controller design for nonlinear impulsive sampled-data systems with applications. ISA Trans. 2017, 70, 30–36. [Google Scholar] [CrossRef]
- Song, Y.D.; Wang, Y.J.; Holloway, J.; Krstic, M. Time-varying feedback for regulation of normal-form nonlinear systems in prescribed finite time. Automatica 2017, 82, 243–251. [Google Scholar] [CrossRef]
- Yaghobipour, S.; Yarahmadi, M. Optimal control design for a class of quantum stochastic systems with financial applications. Phys. A Stat. Mech. Its Appl. 2018, 512, 507–522. [Google Scholar] [CrossRef]
- Hansen, S.D.; Huang, W.Y.; Young, K.L.; Groves, J.T. Stochastic fluctuation sensing in a bistable phosphatidylinositol-based reaction diffusion system. Biophys. J. 2016, 110, 421a. [Google Scholar] [CrossRef]
- Polimeni, S.; Meraldi, L.; Moretti, L.; Leva, S.; Manzolini, G. Development and experimental validation of hierarchical energy management system based on stochastic model predictive control for off-grid microgrids. Adv. Appl. Energy 2021, 2, 100028. [Google Scholar] [CrossRef]
- Kumar, S.; Sharma, R.K.; Kamal, S. Design of Guidance Law with Predefined Upper Bound of Settling Time. IFAC-PapersOnLine 2022, 55, 418–423. [Google Scholar] [CrossRef]
- Kumar, S.; Soni, S.K.; Pal, A.K.; Kamal, S.; Xiong, X.G. Nonlinear Polytopic Systems with Predefined Time Convergence. IEEE Trans. Circuits Syst. II Express Briefs 2021. [CrossRef]
- Zhou, Y.; Wan, X.X.; Huang, C.X.; S, X. Yang. Finite-time stochastic synchronization of dynamic networks with nonlinear coupling strength via quantized intermittent control. Appl. Math. Comput. 2020, 376, 125157. [Google Scholar]
- Sun, K.L.; Yu, H.; Xia, X.H. Distributed control of nonlinear stochastic multi-agent systems with external disturbance and time-delay via event-triggered strategy. Neurocomputing 2021, 452, 275–283. [Google Scholar] [CrossRef]
- Wang, F.; Liu, Z.; Zhang, Y.; Chen, C.L.P. Adaptive finite-time control of stochastic nonlinear systems with actuator failures. Fuzzy Sets Syst. 2019, 374, 170–183. [Google Scholar] [CrossRef]
- Nacif, L.A.; Bessa, M.R. Stochastic nonlinear model with individualized plants and demand elasticity for large-scale hydro-thermal power systems. Electr. Power Syst. Res. 2023, 220, 109283. [Google Scholar] [CrossRef]
- Tan, Z.L.; Liu, Y.; Sun, J.Y.; Zhang, H.G.; Xie, X.P. Chaos synchronization control for stochastic nonlinear systems of interior pmsms based on fixed-time stability theorem. Appl. Math. Comput. 2022, 430, 127115. [Google Scholar] [CrossRef]
- Chen, W.S.; Jiao, L.C. Finite-time stability theorem of stochastic nonlinear systems. Automatica 2010, 46, 2105–2108. [Google Scholar] [CrossRef]
- Yin, J.L.; Khoo, S.Y.; Man, Z.H.; Yu, X.H. Finite-time stability and instability of stochastic nonlinear systems. Automatica 2011, 47, 2671–2677. [Google Scholar] [CrossRef]
- Arbi, A.; Cao, J.D.; Alsaedi, A. Improved synchronization analysis of competitive neural networks with time-varying delays. Nonlinear Anal. Model. Control 2018, 23, 82–107. [Google Scholar] [CrossRef]
- Ai, Z.D.; Zong, G.D. Finite-time stochastic input-to-state stability of impulsive switched stochastic nonlinear systems. Appl. Math. Comput. 2014, 245, 462–473. [Google Scholar]
- Li, W.Q.; Krstic, M. Prescribed-time mean-square nonlinear stochastic stabilization. IFACPapersOnLine 2020, 53, 2195–2200. [Google Scholar] [CrossRef]
- Li, W.Q.; Krstic, M. Prescribed-time output-feedback control of stochastic nonlinear systems. IEEE Trans. Autom. Control 2023, 68, 1431–1446. [Google Scholar] [CrossRef]
- Steeves, D.; Krstic, M.; Vazquez, R. Prescribed-time estimation and output regulation of the linearized schrodinger equation by backstepping. Eur. J. Control 2020, 55, 3–13. [Google Scholar] [CrossRef]






Disclaimer/Publisher’s Note: The statements, opinions and data contained in all publications are solely those of the individual author(s) and contributor(s) and not of MDPI and/or the editor(s). MDPI and/or the editor(s) disclaim responsibility for any injury to people or property resulting from any ideas, methods, instructions or products referred to in the content. |
© 2023 by the author. Licensee MDPI, Basel, Switzerland. This article is an open access article distributed under the terms and conditions of the Creative Commons Attribution (CC BY) license (https://creativecommons.org/licenses/by/4.0/).
Share and Cite
Zhang, H. Controller Design and Stability Analysis for a Class of Leader-Type Stochastic Nonlinear Systems. Symmetry 2023, 15, 2049. https://doi.org/10.3390/sym15112049
Zhang H. Controller Design and Stability Analysis for a Class of Leader-Type Stochastic Nonlinear Systems. Symmetry. 2023; 15(11):2049. https://doi.org/10.3390/sym15112049
Chicago/Turabian StyleZhang, Haiying. 2023. "Controller Design and Stability Analysis for a Class of Leader-Type Stochastic Nonlinear Systems" Symmetry 15, no. 11: 2049. https://doi.org/10.3390/sym15112049
APA StyleZhang, H. (2023). Controller Design and Stability Analysis for a Class of Leader-Type Stochastic Nonlinear Systems. Symmetry, 15(11), 2049. https://doi.org/10.3390/sym15112049
