Abstract
In this research, random censoring is employed as a methodology for parameter estimation within the context of an exponential distribution. These parameter estimations are conducted using both the Bayesian and maximum likelihood approaches. In the Bayesian framework, Lindley’s approximation method is applied to derive estimates, which are subsequently assessed under three distinct balanced loss functions. To gauge the efficacy of different estimation techniques, simulation-based investigations are conducted. Additionally, a real-world data analysis is executed to illustrate the practical applicability of these methodologies. The findings consistently underscore the superiority of Bayesian parameter estimates in comparison with their maximum likelihood counterparts across all analyzed methodologies.
Keywords:
randomly censored; exponential distribution; maximum likelihood estimation; Bayesian estimation; Lindley’s approximation MSC:
62N01; 62N02; 62F10
1. Introduction
The exponential distribution (EXPD) stands as a foundational form of probability distribution, employed to illustrate the duration of events occurring at a consistent and uniform pace. This continuous probability distribution finds extensive application across various domains to depict situations encompassing intervals of waiting, lifespans, or time frames. Owing to its unchanging failure rate and memoryless property, the EXPD holds significant importance in survival analysis, particularly within the realm of cure rate modeling. Approaches for computing cure fractions make use of this distribution to integrate insights from ailments such as cancer, thus furnishing a comprehensive understanding of survival probabilities. The CDF of the EXPD can be formulated as follows:
Additionally, its corresponding PDF is defined as
The qth quantile function of the EXPD can be expressed as
Numerous academics have paid close attention to the lifetime distribution modeled by the EXPD. Through a multiple type-II censoring method, Kang and Park [1] investigated estimating the exponentiated EXPD. Within the context of a multiple type-II censoring scheme, Singh and Kumar [2] produced Bayes estimators for the exponential parameter. Using a type-II hybrid censoring approach, Ganguly et al. [3] concentrated on exact inference regarding the two-parameter EXPD. Childs et al. [4] looked at the exact distribution of MLEs for the two-parameter EXPD’s parameters and quantiles while taking the hybrid censoring scheme into account. Using several type-II censored samples, Kang et al. [5] investigated entropy estimation for a double EXPD. When dealing with lower record values in the data, Kang et al. [6] generated MLEs and approximations for the unknown parameters of the generalized EXPD. Chan et al. [7] focused on type-II progressive hybrid censoring and statistical inference for the two-parameter EXPD. In the context of a generalized progressive hybrid censoring scheme, Cho et al. [8] examined the exact distribution of MLEs and the confidence intervals for EXPD parameters. Ahmed [9] explored Bayesian estimation methods for the EXPD using interval-censored data featuring a cure fraction.
Figure 1 shows different curves of the PDF for the EXPD with varying values of .
Figure 1.
Plot of the PDF of the EXPD.
In life testing scenarios, the researcher may encounter limitations in observing the lifetimes of all the tested items due to constraints such as time, cost, and data collection logistics. To mitigate the challenges associated with time and cost, censored observations are often employed. Life testing models encompass a range of censoring approaches, among which conventional type-I and type-II censoring and progressive, hybrid, and random censoring schemes are frequently utilized. Within this paper, our focus is on situations where an item is lost or exits the testing experiment in an arbitrary manner before experiencing failure or completing the full test duration. This type of scheme is termed random censoring. Such censored observations are notably prevalent in medical studies, particularly in clinical trials. In these trials, patients might discontinue treatment before reaching the intended endpoint. Consequently, the precise survival times for these subjects remain unknown, classifying them as randomly censored observations.
Gilbert [10] brought the idea of randomly censored data into the literature. Then, in the setting of random censorship, Breslow and Crowley [11] carried out an extensive investigation that involved large sample analysis of life table and product limit estimates. Csorgo and Horvath [12] contributed to this field by presenting the Koziol–Green model, which was designed specifically to address random censorship scenarios. Additionally, Kim [13] devised chi-square goodness of fit tests, which are tailored for datasets subject to random censorship. Further contributions were made by Ghitany and Al-Awadhi [14], who delved into the subject of maximum likelihood estimation for the parameters of the Burr XII distribution under the influence of random censoring. Saleem and Aslam [15] concentrated on the Rayleigh distribution within the context of a random censoring time. Under the constraints of random censoring, Danish and Aslam [16,17] investigated Bayesian estimation for the generalized exponential and Weibull distributions, respectively. Furthermore, when dealing with randomly censored data, Krishna et al. [18] generated estimates for the Maxwell distribution. The randomly censored generalized inverted EXPD was examined by Garg et al. [19]. The development of the maximum likelihood and Bayesian estimate methods for the randomly censored geometric distribution was pioneered by Krishna and Goel [20].
Building on this, Krishna and Goel [21] broadened their investigation to consider both conventional and Bayesian conclusions in the context of the two-parameter EXPD with randomly censored data. Using data that had been randomly censored, Kumar and Kumar [22] looked at estimates inside the inverse Weibull distribution. Recently, Garg et al. [23] focused on the parameter and reliability characteristic estimates in the Lindley distribution when presented with randomly censored data. Objective Bayesian analysis for the Weibull distribution was the topic of discussion for Ajmal et al. [24], who then applied their findings to the field of random censorship modeling. Goel and Krishna [25] investigated several methods for estimating the parameters within the two-parameter Geometric distribution when confronted with randomly censored data in a parallel line of research.
The subsequent sections of this article are structured as follows. Section 2 presents the mathematical framework for randomly censored data, where both the failure and censoring times adhere to the EXPD. In Section 3, the focus is on the MLE for the parameters that are not known. Moving on to Section 4, Bayes estimators are developed within the context of three balanced loss functions, utilizing Lindley’s approximation method. Section 5 offers an illustrative example using numerical data. Section 6 encompasses the simulation study. Finally, Section 7 provides the concluding remarks.
2. Randomly Censored Exponential Distribution
Let us consider an experimental set-up involving n units, each with lifetimes denoted as . These lifetimes are characterized as independent and identically distributed (iid) random variables with the CDF and PDF . Additionally, we have another sequence representing the iid random censoring times for these units, described by the CDF and PDF Assuming mutual independence between and , we can observe iid random pairs , where , . Additionally, we define as
It becomes apparent that the joint PDF of and is
Additionally, the random variables X and T adhere to the proportional hazards model governed by the proportionality constant , given by
3. Maximum Likelihood Estimators
In this section, we initiate our inquiry by utilizing a randomly censored sample represented by for Our emphasis is on examining the MLE procedure to ascertain the values of the unspecified parameters. From Equation (7), the likelihood function connected with the provided sample can be articulated in the subsequent manner:
The logarithmic likelihood function connected with the EXPD, denoted by Equation (9), can be expressed as
Thus, to obtain the MLEs for and , we compute the initial derivatives of the natural logarithm of the likelihood function Equation (10) with respect to and . By equating these derivatives to zero, we derive the subsequent system of three equations:
The inverted Fisher information matrix is as follows:
The diagonal elements represent the variances of the MLEs for the parameters. By substituting the MLEs of the parameters and , we obtain the estimated variances for MLEs and .
4. Bayesian Inference
This section involves a discussion of the Bayes estimators for the undisclosed parameters of the model defined in Equation (7), utilizing randomly censored data. During this analysis, we employ three distinct balanced loss functions, specifically BSE, BLINEX, and BGE. Within this framework, we make an assumption about the independent gamma priors for the parameters and as follows:
The joint prior distribution of and can be expressed as follows:
The joint posterior distribution of and is as follows:
In Bayesian estimation, we employ both symmetrical and asymmetrical balanced loss functions. This approach is elucidated in the following description.
4.1. Symmetric Balanced Loss Functions
The BSE Loss Function
Jozani et al. [26] introduced a generalized balanced loss function, denoted as
where (with ) is a weight parameter and represents a user-defined loss function. The target estimator is often obtained through the ML or least squares methods. For the BSE loss function, we choose , leading to the following form:
The Bayes estimate for the unknown parameter is then given by
In this equation, represents a weight parameter, and is a user-defined loss function. The estimator serves as a general “target” estimator for , often obtained through methods like ML, least squares, or unbiasedness. This balanced loss function can be customized to various loss functions, including absolute value, squared error, LINEX, and general entropy loss functions. By selecting the loss function , Equation (16) simplifies to the BSE loss function. in the following form:
The corresponding Bayes estimate for the unknown parameter is then determined as follows:
4.2. Asymmetric Balanced Loss Functions
4.2.1. The BLINEX Loss Function
The BLINEX loss function with a shape parameter a (where ) is derived by defining , as discussed by Zellner [27]. As a result, the Bayes estimation of using the BLINEX function is given by
4.2.2. The BGE Loss Function
The BGE loss function, determined by the shape parameter a, is defined as . Consequently, the Bayes estimation of using the BGE loss function is expressed as follows:
The versatility of the balanced loss functions is evident as they encompass various special cases, including the ML estimate and both the symmetric and asymmetric Bayes estimates. For example, under the BSE loss function in Equation (20), the Bayes estimate reduces to the ML estimate when , while for , it becomes the Bayes estimate relative to the SE loss function.
Likewise, the Bayes estimator under the BLINEX loss function, as shown in Equation (21), reduces to the ML estimate when , and when , it corresponds to the case of the LINEX loss function, which is asymmetric.
Similarly, under the BGE loss function in Equation (22), the Bayes estimator reduces to the ML estimate when , and when , it corresponds to the GE loss function.
4.3. Lindley’s Approximation
In this section, we apply Lindley’s approximation method to calculate the values of and based on random censoring using BSE, BLINEX, and BGE loss functions (refer to Lindley [28]). The ratio of integrals that arises in Bayesian analysis is expressed as follows:
To obtain an asymptotic approximation of Lindley’s procedure, we utilize a Taylor series expansion for and in Equation (23), centered around the MLE of :
where and then
where
The variables h and t can each take on values of zero, one, two, or three, with the condition that their sum, , equals three. In this particular context, the function represents the log-likelihood function of the observed data, and denotes the joint prior density function for . Furthermore, refers to the (i, j)th element of the inverse FIM. Lastly, and represent the ML estimators for and , respectively.
The Bayes estimates for various parameters using the BSE, BLINEX, and BGE loss functions are given by the following equations, where :
- (1)
- The case of the BSE loss function
If , then the Bayes estimate is given by
- (2)
- The case of the BLINEX loss function
If , then the Bayes estimate is given by
- (3)
- The case of the BGE loss function
If , then the Bayes estimate is given by
5. Clinical Applications
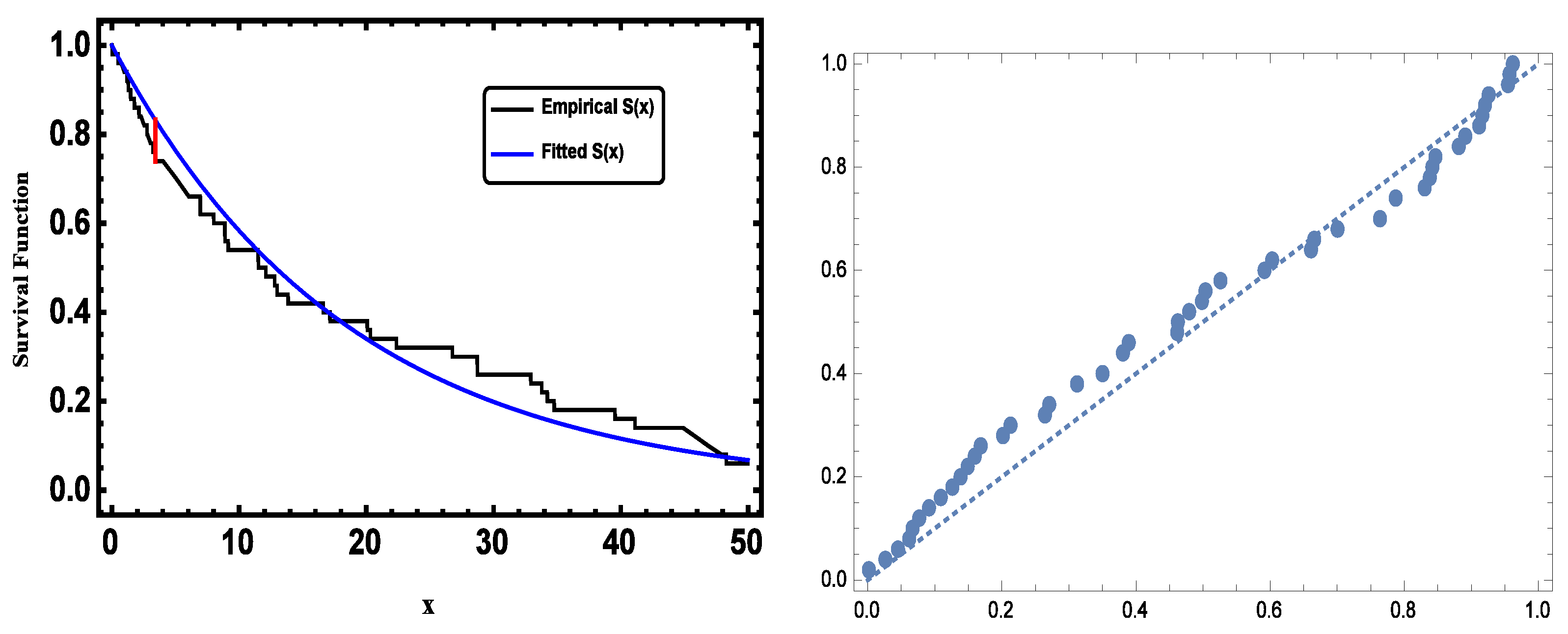
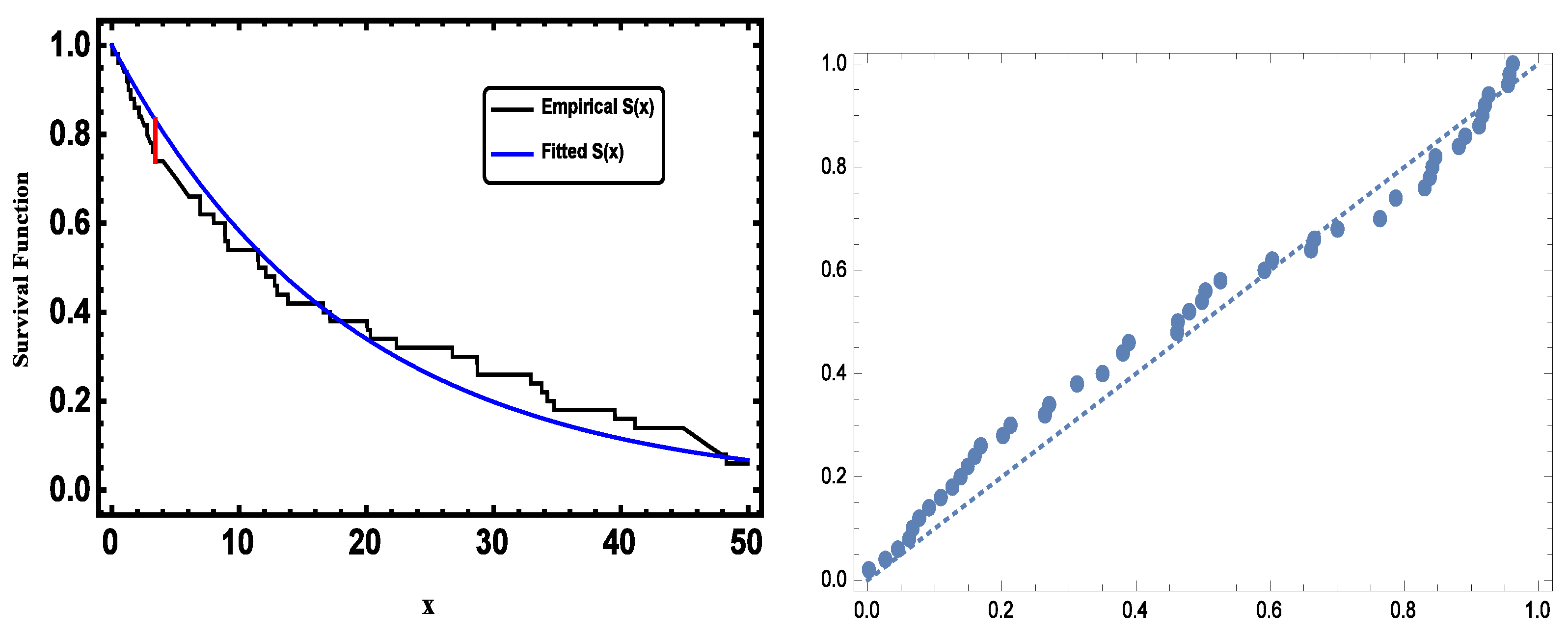
To exemplify the proposed methodologies, we scrutinize the numerical data provided by Ghitany and Al-Awadhi [14]. The subsequent datasets pertain to 101 patients diagnosed with advanced acute myelogenous leukemia, as documented in the International Bone Marrow Transplant Registry. Among these patients, 50 underwent an allogeneic bone marrow transplant, utilizing marrow from a histocompatibility leukocyte antigen (HLA)-matched sibling to restore their immune systems. The remaining 51 patients received an autologous bone marrow transplant, wherein their own marrow was reintroduced after substantial chemotherapy doses with the intention of rejuvenating their compromised immune systems. The recorded durations of leukemia-free survival (measured in months) for the 50 allogeneic transplant patients (denoted by “asterisks” to indicate instances of random censorship) are as follows: , , *, , *, , , , *, , *, , , *, , , *, , , , , , *, , , , , *, , *, *, , *, , *, , *, , *, , *, , *, , , *, , *, , and .
The K-S test was employed to ascertain whether a given sample adhered to a specific distribution. In this context, our aim was to employ the K-S test in order to verify if the observed durations of leukemia-free survival among the allogeneic transplant patients conformed to an EXPD. Upon performing the Kolmogorov–Smirnov test for the EXPD, the resulting value was computed to be 0.0915978. Notably, this value is lower than the corresponding critical value at the 5% significance level, which stands at 0.1884 at n = 50. Additionally, the associated p value was found to be 0.761215.
As the p value surpasses the threshold significance level of 0.05, it can be deduced that the data align with an EXPD. Furthermore, we generated a graphical representation of the empirical CDF of the dataset along with the CDF of the EXPD, depicted in Figure 2. The visual representation indicates a remarkable proximity between the two CDFs, thereby offering supplementary support to the conclusion that the EXPD adequately characterizes this dataset.
Figure 2.
Plot of the fitted functions and a PP plot of the EXPD.
In order to obtain the estimations, we employed both the maximum likelihood method and the Lindley method. For the latter, non-informative gamma priors were utilized for both and . In this specific context, the hyperparameters were designated as zero (). Subsequently, an exploration was conducted to assess the influence of diverse loss functions, specifically BSE loss, BLINEX loss, and BGE loss. This investigation encompassed varying values for the shape parameter “a” within the BLINEX and BGE loss functions. Furthermore, the analysis encompassed different magnitudes of “” for the parameters and . The comprehensive outcomes of this investigation are meticulously detailed in Table 1.
Table 1.
Estimation of and using MLE and Lindley method.
6. Simulation Study
In this subsection, a concise simulation study is conducted to illustrate the effectiveness of both the ML estimators and Lindley’s approximation for the EXPD. The dataset was generated from the EXPD using the quantile function outlined in Equation (3). Subsequently, estimates and MSE values were computed. The following formula was employed to determine the MSE values:
For the simulation design, the parameter values were set to and . Additionally, the chosen sample sizes were n = 10, 20, 30, 40, 50 60, 70, 80, 90, and 100. Lindley’s approximation method involved employing informative gamma priors for both and . In this particular scenario, the hyperparameters were set to (). Subsequently, an exploration was carried out to evaluate the impact of various loss functions, specifically the BSE loss, BLINEX loss, and BGE loss. This investigation covered the manipulation of different values for the shape parameter “a” within the BLINEX and BGE loss functions. Furthermore, the analysis encompassed varying magnitudes of “” for the parameters and . The simulation results are presented in Table 2 and Table 3, encompassing the true values, parameter estimates, and corresponding MSE values.
Table 2.
Estimation of and corresponding MSEs using MLE and Lindley method.
Table 3.
Estimation of and corresponding MSEs using MLE and Lindley method.
7. Conclusions
This paper focused on the investigation of a parameterized EXPD utilizing randomly censored data. The analysis encompassed various classical estimation techniques, notably MLE. Moreover, Bayes estimators were explored using Lindley’s approximation method within the framework of three balanced loss functions. These estimators were evaluated under the assumption of both informative and non-informative priors for the parameters applied for simulation and real data, respectively. The performances of both the classical and Bayesian estimators were subjected to computational analysis via simulation studies. The results from these simulations indicate that the performance of the Bayes estimates outperformed that of the MLEs. Additionally, a practical application of the developed methodology was demonstrated through real data analysis. The results obtained from the simulation demonstrate the precise computation of parameters within the EXPD. Moreover, it is evident from Table 2 and Table 3 that as the sample sizes increased, the values of the MSEs for the parameter estimates decreased. The performance of the Bayes estimates surpassed that of the MLEs, given their smaller MSEs. Notably, the Bayes estimates using the BGE approach exhibited superior performance compared with those using BLINEX and BSE, as indicated by their smaller MSEs. Additionally, with an increase in “,” there was a corresponding decrease in the MSEs.
8. Future Work
In our forthcoming research, we plan to utilize random censoring within the context of the Rayleigh distribution while considering various loss functions, such as LINEX, entropy, and the unbalanced loss function. This will enable us to elucidate the pivotal role played by the choice of the prior distribution type in influencing the quality of an estimation.
Author Contributions
Conceptualization, M.M.H.; methodology, M.M.H.; software, M.M.H.; validation, O.S.B.; formal analysis, O.S.B.; investigation, O.S.B.; resources, M.E.B.; data curation, M.E.B.; writing—original draft, M.M.H.; writing—review and editing, M.E.B. All authors have read and agreed to the published version of the manuscript.
Funding
This study was funded by Researchers Supporting Project number (RSPD2023R1004), King Saud University, Riyadh, Saudi Arabia.
Institutional Review Board Statement
Not applicable.
Informed Consent Statement
Not applicable.
Data Availability Statement
All datasets are reported within the article.
Conflicts of Interest
The authors declare no conflict of interest.
Abbreviations
The following abbreviations are used in this manuscript:
| EXPD | Exponential distribution |
| BSE | Balanced squared error loss function |
| BLINEX | Balanced linear exponential loss function |
| BGE | Balanced general entropy loss function |
| Probability density function | |
| CDF | Cumulative distribution function |
| MLEs | Maximum likelihood estimators |
| ML | Maximum likelihood |
| FIM | Fisher information matrix |
| MSEs | Mean squared errors |
| K-S | Kolmogorov–Smirnov |
References
- Kang, S.B.; Park, S.M. Estimation for the exponentiated exponential distribution based on multiply Type-II censored samples. Commun. Stat. Appl. Methods 2005, 12, 643–652. [Google Scholar] [CrossRef]
- Singh, U.; Kumar, A. Bayesian estimation of the exponential parameter under a multiply Type-II censoring scheme. Austrian J. Stat. 2007, 36, 227–238. [Google Scholar] [CrossRef]
- Ganguly, A.; Mitra, S.; Samanta, D.; Kundu, D. Exact inference for the two-parameter exponential distribution under Type-II hybrid censoring. J. Stat. Plan. Inference 2012, 142, 613–625. [Google Scholar] [CrossRef]
- Childs, A.; Balakrishnan, N.; Chandrasekar, B. Exact distribution of the MLEs of the parameters and of the quantiles of two-parameter exponential distribution under hybrid censoring. Statistics 2012, 46, 441–458. [Google Scholar] [CrossRef]
- Kang, S.B.; Cho, Y.S.; Han, J.T.; Kim, J. An estimation of the entropy for a double exponential distribution based on multiply Type-II censored samples. Entropy 2012, 14, 161–173. [Google Scholar] [CrossRef]
- Kang, S.B.; Seo, J.I.; Kim, Y.K. Estimation for two-parameter generalized exponential distribution based on records. Commun. Stat. Appl. Methods 2013, 20, 29–39. [Google Scholar] [CrossRef]
- Chan, P.S.; Ng, H.K.T.; Su, F. Exact likelihood inference for the two-parameter exponential distribution under Type-II progressively hybrid censoring. Metrika 2015, 78, 747–770. [Google Scholar] [CrossRef]
- Cho, Y.S.; Sun, H.K.; Lee, K.J. Exact likelihood inference for an exponential parameter under generalized progressive hybrid censoring scheme. Stat. Methodol. 2015, 23, 18–34. [Google Scholar] [CrossRef]
- Ahmed, A.M. Bayesian Estimations of Exponential Distribution Based on Interval-Censored Data with a Cure Fraction. J. Math. 2021, 2021, 9822870. [Google Scholar] [CrossRef]
- Gilbert, J.P. Random Censorship. Ph.D. Thesis, University of Chicago, Chicago, IL, USA, 1962. [Google Scholar]
- Breslow, N.; Crowley, J. A large sample study of the life table and product limit estimates under random censorship. Ann. Stat. 1974, 2, 437–453. [Google Scholar] [CrossRef]
- Csorgo, S.; Horvath, L. On the Koziol-Green model for random censorship. Biometrika 1981, 68, 391–401. [Google Scholar] [CrossRef]
- Kim, J.H. Chi-Square goodness-of-fit tests for randomly censored data. Ann. Stat. 1993, 21, 1621–1639. [Google Scholar] [CrossRef]
- Ghitany, M.E.; Al-Awadhi, S. Maximum likelihood estimation of Burr XII distribution parameters under random censoring. J. Appl. Stat. 2002, 29, 955–965. [Google Scholar] [CrossRef]
- Saleem, M.; Aslam, M. On Bayesian analysis of the Rayleighsurvival time assuming the random censor time. Pak. J. Stat. 2009, 25, 71–82. [Google Scholar]
- Danish, M.Y.; Aslam, M. Bayesian estimation for randomly censored generalized exponential distribution under asymmetric loss functions. J. Appl. Stat. 2013, 40, 1106–1119. [Google Scholar] [CrossRef]
- Danish, M.Y.; Aslam, M. Bayesian inference for the randomly censored Weibull distribution. J. Stat. Comput. Simul. 2014, 84, 215–230. [Google Scholar] [CrossRef]
- Krishna, H.; Vivekan; Kumar, K. Estimation in Maxwell distribution with randomly censored data. J. Stat. Comput. Simul. 2015, 85, 3560–3578. [Google Scholar] [CrossRef]
- Garg, R.; Dube, M.; Kumar, K.; Krishna, H. On randomly censored generalized inverted exponential distribution. Am. J. Math. Manag. Sci. 2016, 35, 361–379. [Google Scholar] [CrossRef]
- Krishna, H.; Goel, N. Maximum likelihood and Bayes estimation in randomly censored geometric distribution. J. Probab. Stat. 2017, 2017, 4860167. [Google Scholar] [CrossRef]
- Krishna, H.; Goel, N. Classical and Bayesian inference in two parameter exponential distribution with randomly censored data. Comput. Stat. 2018, 33, 249–275. [Google Scholar] [CrossRef]
- Kumar, K.; Kumar, I. Estimation in inverse Weibull distribution based on randomly censored data. Statistica 2019, 79, 47–74. [Google Scholar]
- Garg, R.; Dube, M.; Krishna, H. Estimation of parameters and reliability characteristics in Lindley distribution using randomly censored data. Stat. Optim. Inf. Comput. 2020, 8, 80–97. [Google Scholar] [CrossRef]
- Ajmal, M.; Danish, M.Y.; Arshad, I.A. Objective Bayesian analysis for Weibull distribution with application to random censorship model. J. Stat. Comput. Simul. 2021, 92, 43–59. [Google Scholar] [CrossRef]
- Goel, N.; Krishna, H. Different methods of estimation in two parameter Geometric distribution with randomly censored data. Int. J. Syst. Assur. Eng. Manag. 2022, 13, 1652–1665. [Google Scholar] [CrossRef]
- Jozani, M.J.; March, É.; Parsian, A. Bayes and robust Bayesian estimation under a general class of balanced loss functions. Stat. Pap. 2012, 53, 51–60. [Google Scholar] [CrossRef]
- Zellner, A. Bayesian estimation and prediction using asymmetric loss functions. J. Am. Assoc. Nurse Pract. 1986, 81, 446–545. [Google Scholar] [CrossRef]
- Lindley, D.V. Approximate Bayesian method. Trab. Estadística Investig. Oper. 1980, 31, 223–237. [Google Scholar] [CrossRef]
Disclaimer/Publisher’s Note: The statements, opinions and data contained in all publications are solely those of the individual author(s) and contributor(s) and not of MDPI and/or the editor(s). MDPI and/or the editor(s) disclaim responsibility for any injury to people or property resulting from any ideas, methods, instructions or products referred to in the content. |
© 2023 by the authors. Licensee MDPI, Basel, Switzerland. This article is an open access article distributed under the terms and conditions of the Creative Commons Attribution (CC BY) license (https://creativecommons.org/licenses/by/4.0/).

